当前位置:首页>文档>四川省九师联盟2025届高三仿真模拟卷地理(HG)_2025年5月_250511九师联盟2025届高三仿真模拟卷(G)(全科)

四川省九师联盟2025届高三仿真模拟卷地理(HG)_2025年5月_250511九师联盟2025届高三仿真模拟卷(G)(全科)

  • 2026-04-19 00:23:47 2026-02-11 02:13:16

文档预览

四川省九师联盟2025届高三仿真模拟卷地理(HG)_2025年5月_250511九师联盟2025届高三仿真模拟卷(G)(全科)
四川省九师联盟2025届高三仿真模拟卷地理(HG)_2025年5月_250511九师联盟2025届高三仿真模拟卷(G)(全科)
四川省九师联盟2025届高三仿真模拟卷地理(HG)_2025年5月_250511九师联盟2025届高三仿真模拟卷(G)(全科)
四川省九师联盟2025届高三仿真模拟卷地理(HG)_2025年5月_250511九师联盟2025届高三仿真模拟卷(G)(全科)
四川省九师联盟2025届高三仿真模拟卷地理(HG)_2025年5月_250511九师联盟2025届高三仿真模拟卷(G)(全科)
四川省九师联盟2025届高三仿真模拟卷地理(HG)_2025年5月_250511九师联盟2025届高三仿真模拟卷(G)(全科)
四川省九师联盟2025届高三仿真模拟卷地理(HG)_2025年5月_250511九师联盟2025届高三仿真模拟卷(G)(全科)
四川省九师联盟2025届高三仿真模拟卷地理(HG)_2025年5月_250511九师联盟2025届高三仿真模拟卷(G)(全科)
四川省九师联盟2025届高三仿真模拟卷地理(HG)_2025年5月_250511九师联盟2025届高三仿真模拟卷(G)(全科)
四川省九师联盟2025届高三仿真模拟卷地理(HG)_2025年5月_250511九师联盟2025届高三仿真模拟卷(G)(全科)

文档信息

文档格式
pdf
文档大小
1.615 MB
文档页数
6 页
上传时间
2026-02-11 02:13:16

文档内容

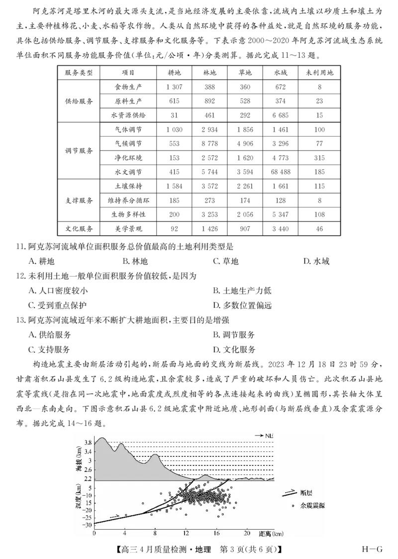
! " + , ! !! #$%&! "’!"#$%&’()%&’*+$!,$"(($"-"./)*$0! +’1’2"-345678(’*9:;<=>?@ABCDEFGHIJKL! ,’-3M1."NB1O1P1’QR!%&’ST’%U1OV"6+-WAX1’QRYZ’ H[1O\]^;#)%&’N678(’*9:;<=>?@AP1’QR_’[1’‘aF M1"’()*+,-./)012"34*5#6789:)12$ !!!!!!!!!!!!! !!!! !!!!!!!! !’!#b’cd$e-cd! ;#<=*!>?*@!"A*"BA*#C"@$%C$3BA*D(/EF?@ 0’AB/CDE -’FGHIJK 1’L41MNO 2’FGP,QR +’S/0123TUVWXYZ[\ 0’]^_‘Tabc -’deFGfghi 1’jkS/l,Qm 2’]nS/opqr ,’0123TUVstuvTUVw&TUVax 0’/CQyz{|}~(cid:127) -’(cid:128)xycX(cid:129)(cid:130)(cid:131)(cid:132)(cid:133) 1’o(cid:134)(cid:135)45W(cid:136)(cid:137)(cid:138)(cid:139) 2’P,1(cid:140)(cid:141)(cid:142){|]^ !!(cid:155)(cid:156)n(cid:157)(cid:158)(cid:159)(cid:160)¡¢j£⁄¥ƒ"§¤'“«¥"‹¤›fifl(cid:176)–†‡"·(cid:181)¶•[‚„'!”h »"…'‰v(cid:190)¿(cid:192)`%´6(cid:181)ˆ(cid:127)˜¯˘˙¨&(cid:201)˚$¸(cid:204)¯")˝˛ˇM"nˇ/—'’%(cid:209)(cid:210)(cid:211)(cid:212)(cid:213)(cid:214) (cid:215)(cid:216)(cid:217)"(cid:218)(cid:219)(cid:220)(cid:221)'‚„(cid:145)"(cid:222)(cid:223)(cid:220)(cid:224)(cid:144)Æ(cid:226)!H2"n(cid:157)(cid:158)(cid:192)ª…'(cid:132)(cid:228)(cid:229)(cid:230)(cid:231)ŁØM"Œº(cid:220)‚„' T(cid:236)%(cid:237):(cid:238)(cid:239)(cid:240)%æ'"(cid:242)(cid:243)(cid:244)ıU(cid:246)(cid:247)(cid:238)(cid:239)!łøœßn(cid:157)(cid:158)(cid:159)(cid:252)!(cid:151)(cid:152)(cid:153)(cid:154)!!*’! !!"!#$%&’"!"!(!!!!")#*#)$% $%& 书书书!’0(cid:143)(cid:144)(cid:145)(cid:146):|(cid:147)(cid:148)bc(cid:149)(cid:150)(cid:151)(cid:152)(cid:153)&(cid:154)(cid:155)(cid:156) 0’(cid:157)(cid:158)(cid:159)(cid:160)¡¢ -’£⁄¥ƒ¢§ 1’(cid:138)¤+'“X 2’«\(cid:159)(cid:160)P, *’‹0(cid:143)(cid:144)›fifl(cid:149)(cid:176)–†+W<=‡·@ 0’^(cid:181)¶+•‚&„{”+»¡ -’¶+…‰&defl(cid:149)(cid:190)¿(cid:192)` 1’(cid:190)¿´ˆfl(cid:149)&˜!(cid:152)(cid:153)¯% 2’(cid:132)fl˘˙&¨(cid:201)¶˚¸(cid:204)˜! !!(cid:253)ho(cid:254)(cid:255)!(cid:150)"~#h,#($%"&’()·*(cid:130)+(cid:254),·*(cid:130)ß-[(cid:253)ho.!/01(cid:128)o .2b[(cid:242)(cid:243)3(cid:133)%(cid:253)ho.456(cid:181)"*(cid:130)(cid:254)7(cid:160)89":(cid:253);<(cid:242)(cid:243)=5!(cid:139)>(cid:210)(cid:253)ho(cid:254)(cid:255)!? @"_'•ABC"D(cid:181)(cid:253)hoEF(cid:144)G8!łøœß+(((!+(+(h1(cid:128)(cid:253)ho.¥(cid:204)‹HıhI&J (cid:159)$h’K(cid:145)!(cid:151)(cid:152)(cid:153)(cid:154)#!.’! #’+(((!+(+(˝&˛;ˇ˝1—(cid:209)(cid:210)(cid:211)(cid:212)¿¢(cid:209) 0’(cid:213)(cid:214)de -’(cid:215)(cid:216)(cid:217)e 1’(cid:218)(cid:219)wd 2’(cid:218)dw(cid:219) )’˛;ˇ˝1(cid:220)xi‹+(((!+(+(˝(cid:221)(cid:222)(cid:131)(cid:223)W(cid:224)dÆ?&(cid:155)6W(cid:226)ªZ "(cid:151)x(cid:228)(cid:229)(cid:230)~&(cid:220)x(cid:231)Ł(cid:138)¤!#ØŒ$%(cid:224)d&ˇ˝1(cid:216)$(cid:133)º!$(cid:129)(cid:236)(cid:237)(cid:238)(cid:132)K&(cid:220)x‡(cid:239)de %¯x(cid:240)æ(cid:219)(cid:242)&(cid:220)x=(cid:243)˜! 0’"# -’#$ 1’"% 2’$% .’(cid:244)\˜!ˇ˝1(cid:220)xiWl,ıI@ 0’(cid:246)ˆ(cid:247)(cid:244)łø&Qˆaxˇ˝1(cid:220)xœß -’XYˇ˝(cid:212)¿&(cid:252)Y(cid:253)o(cid:254)46(cid:190)(cid:255) 1’^!"k#$%¯xXY&]^(cid:220)x(cid:231)Ł 2’JK&ˇ(cid:231)(cid:246)&(cid:138)¤ˇ˝1w’() !!łøœßL¤M"/)(!+(+(Nh¥(cid:204)>(cid:159)K(cid:145)O&PR(cid:150)h>(cid:159)[K(cid:145)O’!(cid:151)(cid:152)(cid:153)(cid:154)/!"(’! /’"/)(!+(((˝&*+,¢(cid:142)(cid:133)-´.@ 0’/01(cid:219) -’2k(cid:224)d 1’2k1(cid:219) 2’/0(cid:224)d "(’(cid:211)*+,¢(cid:142)(cid:133)-345(cid:131)(cid:223)W@ 0’Ø,¶˚ -’,6+7 1’•89: 2’•8»¡ !!"!#$%&’"!"!(!!!!+)#*#)$% $%&!!QRST~UwVT[(cid:131)(cid:181)!WXY"~…'Z[@\[](cid:147)^_"YaF(cid:221)‘abc(cid:221)(‘(cid:221)(cid:139) ]"](cid:147)(cid:239)def%T(cid:236)%>g(cid:215)(cid:224)Mh!oij(cid:129)klmnop[_(cid:239)qr"F~(cid:129)klm[s4t+" u’vwxys4%z{s4%X|s4(}(cid:145)s4(cid:215)!ł~œß+(((!+(+(hQRSTYa3(cid:127)(cid:128)˛ J(cid:159)¶•(cid:242)(cid:129)s4t+s4(cid:130)(cid:131)&J(cid:159)$(cid:132)((cid:133)(cid:134))h’$im(cid:135)!(cid:151)(cid:152)(cid:153)(cid:154)""!",’! s4iˆ GH (cid:136)' (cid:137)' (cid:138)' >a (cid:139)(cid:140)6' (cid:141)h3(cid:142) ",() ,.. ,#( #)+ . xys4 ƒ(cid:143)3(cid:142) #"* ./+ *+. ,)! +, >(cid:255)!xy ," !#" +/+ ##.* "* (cid:144)’z{ "(,( +/,! ".*# "!#" "(( (cid:144)(cid:145)z{ **, .)). !/(# ,+/# )) z{s4 (cid:146)(cid:145)lm "*, +*)+ "#+( !)), ,"* >}z{ !"* *)!! ,*/! #.!.. ".* (cid:221)‘(cid:147)(cid:148) "*.! ,*)+ ++#" "##" ""* X|s4 (cid:149)(cid:148):$(cid:150)l ".* +), ")! "+. . 3h(cid:132)(cid:151)(cid:152) +(( ,+*, +(*# *,!) "(. }(cid:145)s4 (cid:153)(cid:154)(cid:155)(cid:156) /+ "!+# /() ,!!( !# ""’;<=>•8?(cid:142)»¡@AB‰C5!W¶+[(cid:146)D%@ 0’”+ -’E+ 1’F+ 2’¢8 "+’G[(cid:146)¶+HI?(cid:142)»¡@A‰CJe&@ªK 0’1—#}J(cid:127) -’¶+(cid:129)¯(cid:204)e 1’(cid:211)LM.NO 2’PQ(cid:142)R(cid:217)S ",’;<=>•8T˝UVW„{”+»¡&<=XW@]n 0’YZ@A -’[£@A 1’\/@A 2’]-@A !!(cid:157)(cid:158)'(cid:159)](cid:147)(cid:160)(cid:243)¡¢(cid:130)£⁄["(cid:243)¡¶ª'¶[¥E(cid:139)(cid:243)¡E!+(+,h"+ƒ".§+,.*/$" ¤'“•«(cid:155)(cid:158)@3(cid:220)#’+(cid:140)(cid:157)(cid:158)'(cid:159)",‹(cid:159)P(cid:132)"(cid:158)(cid:154)(cid:220)›5[fifl(o(cid:176)–†!(cid:152)‡•«(cid:155)(cid:158)' (cid:159)(cid:215)(cid:159)E&~#P(cid:129)(cid:150)‡'(cid:159)n"'¶(cid:159)·(cid:181)¶·•(cid:215)[_‚„”⁄»[»E’…‰(cid:190)¿"(cid:192)(cid:133)`(cid:181)’… ¢j*(cid:156)´ˆ˜!łøœß•«(cid:155)(cid:158)#’+(cid:140)'(cid:159)(cid:159)n¯”'c%'¿˘¶&ª(cid:243)¡E˙7’¨‹(cid:159)(cid:159)!$ ¸!(cid:151)(cid:152)(cid:153)(cid:154)"!!"#’! !!"!#$%&’"!"!(!!!!,)#*#)$% $%&"!’^_‘a+7W+$(cid:152)(cid:146)@ 0’¢(cid:209)bc -’¢(cid:209)de 1’fgbc 2’fgde "*’7§h}’›i$%’+7j(cid:160)’(cid:228)(cid:229)¢(cid:209)!kªlm&o‘a+7nop}Z34W@ 0’"k -’+k 1’,k 2’!k "#’34¡qr(cid:144)‘a+7s7tuvwgW<=ªl@ 0’xq(cid:254)$ -’+$æy 1’+z{} 2’r+wg Q#R<=*!@&’C$ ")’|}~](cid:127)(cid:128)&J(cid:192)(cid:224)(cid:129)=(cid:243)(#"#(cid:130)$ !!M(cid:139)·(cid:201)(cid:145)˚æ!ƒ(cid:143)"¸(cid:204)ł˝˛3(cid:142)(cid:238)(cid:239)iˇ(cid:132)"(cid:142)(cid:238)—(cid:209)(cid:210)(cid:127)(cid:211)«(cid:145)(cid:142)(cid:238)(cid:212)O[)*3a R!+(+!h"+ƒ,§"n(cid:128)(cid:213)(cid:181)ˆ«(cid:145)(cid:128)(cid:214)ª(cid:153)(cid:128)(cid:213)(cid:215)(cid:216)«(cid:145)(cid:214)(cid:144)ØM[¸(cid:204)GHP(cid:217)(cid:156)(cid:218)(cid:219)§ ¤(cid:220)(cid:130)"(cid:212)(cid:221)(cid:255)(cid:222)(cid:223)*+"(cid:224)(cid:132)!ÆGH(cid:221)(cid:142)V"B(cid:226)ªn(cid:128)(cid:128)Fe(cid:228)(cid:229)(cid:204)(cid:230)(cid:142)(cid:238)xZ(cid:231)(cid:157)(cid:152)ŁØŒ ’"Iº(cid:128)Fl(cid:236)•(cid:237)(cid:142)(cid:238)—(cid:238)!łøœß(cid:239)(cid:240)æ(cid:181)(cid:242)‘¨(cid:218)(cid:219)¸(cid:204)GH(cid:159)(cid:252)! #"$(cid:131)(cid:130)(cid:132)(cid:133)(cid:134)(cid:135)(cid:136)X›HW6(cid:142)>?(#!(cid:130)$ #+$j’m;q-(cid:137)(cid:138)(cid:139)(cid:243)(cid:140)p(cid:141)l(cid:152)W<=XW(##(cid:130)$ #,$(cid:130)(cid:142)(cid:134)(cid:135)l(cid:152)(cid:136)Xo(cid:132)(cid:133)(cid:143)Ł’(cid:228)(cid:229)XYWZ[34(##(cid:130)$ !!"!#$%&’"!"!(!!!!!)#*#)$% $%&".’|}~](cid:127)(cid:128)&J(cid:192)(cid:224)(cid:129)=(cid:243)(#"#(cid:130)$ !!(cid:243)”(cid:244)a»"Pı(cid:221)eƒ(cid:156)+(cid:246)(cid:247)łø*œß•(cid:220)(cid:252)·(cid:242)(cid:215)[(cid:253)(cid:254)(cid:221)'¡"7”(cid:255)!P2(cid:243)3" æ#(cid:149)R"(cid:192)R$ß•(cid:220)P%C&’[()(cid:244)*(cid:134)ı(cid:221)!Zv(cid:220)ı(cid:221)%(cid:253)(cid:254)(cid:221)[ß•"Y>+,"- (cid:254)(cid:209)(cid:158),./0V"PTY1234@ı(cid:220)(cid:190)5%e6[Rıł(cid:253)[(cid:253)(cid:221)7"(cid:253)(cid:221)78n['˙¿(cid:154) (cid:220)+(cid:253)(cid:221)(cid:137),"H2+(cid:253)(cid:221)(cid:137),9r(cid:160)¿(cid:154):;!łøœß(cid:247)¢<(cid:158)+(cid:253)(cid:221)(cid:137),(cid:155)(cid:156)! #"$(cid:131)(cid:130)(cid:144)(cid:145)(cid:146)(cid:147)(cid:148)(cid:149)Z[\)(cid:150)¶E*z(cid:192)W(cid:153)$´.(#!(cid:130)$ #+$(cid:130)(cid:142)(cid:222)(cid:151)9:´.o)(cid:150)¶E*+(cid:152)z(cid:192)W34(##(cid:130)$ #,$(cid:153)¶!(cid:226))(cid:150)¶E*QyJ(cid:127)&j’(cid:154)(cid:155)6W(cid:226)ª(##(cid:130)$ !!"!#$%&’"!"!(!!!!*)#*#)$% $%&"/’|}~](cid:127)(cid:128)&J(cid:192)(cid:224)(cid:129)=(cid:243)(#+((cid:130)$ !!(cid:132)h(cid:156)m@(cid:223)´A9PK="(cid:230)>?(cid:138)(cid:139)](cid:147)~oi@A(cid:220)vO[BC(cid:144)’DE%[!˛zt (cid:151)‡œ"´AFGR[d(cid:137)(cid:255)!¶•j"/.#h[(cid:242)H"¥˙}:6=H+(+"h[”"+¥˙}:" I(cid:150)7“BJK´A3(cid:127)(cid:128)˛[LMK(cid:145)!(cid:230)>@(cid:223)"´AFG¢œ(cid:243)6d(cid:137)¶•P(cid:156)œ(cid:181)!łø œß´AFG(cid:159)(cid:252)! #"$(cid:130)(cid:142)(cid:154)%W(cid:155)(cid:156)9(cid:216)(cid:157)(cid:158)(cid:159)(cid:160)¡¢(cid:133)£W(cid:226)ª(##(cid:130)$ #+$⁄{9Ø•¥}(cid:130)(cid:142)¡¢ƒ§¤(cid:149)'](cid:150)“»¡J«(cid:149){W(cid:226)ª(##(cid:130)$ #,$j’¡¢(cid:133)£+6W(cid:150)“D%&‹(cid:131)(cid:130),›(#!(cid:130)$ #!$fiT¡¢(cid:133)£(cid:155)6o¡¢+6(cid:129)flrvy(cid:192)Wno(#!(cid:130)$ !!"!#$%&’"!"!(!!!!#)#*#)$% $%&