当前位置:首页>文档>高二数学第一次月考卷01(参考答案)(江苏专用)(1)_1多考区联考_2510052025-2026学年高二数学上学期第一次月考

高二数学第一次月考卷01(参考答案)(江苏专用)(1)_1多考区联考_2510052025-2026学年高二数学上学期第一次月考

  • 2026-04-10 07:21:04 2026-02-11 02:46:24

文档预览

高二数学第一次月考卷01(参考答案)(江苏专用)(1)_1多考区联考_2510052025-2026学年高二数学上学期第一次月考
高二数学第一次月考卷01(参考答案)(江苏专用)(1)_1多考区联考_2510052025-2026学年高二数学上学期第一次月考
高二数学第一次月考卷01(参考答案)(江苏专用)(1)_1多考区联考_2510052025-2026学年高二数学上学期第一次月考
高二数学第一次月考卷01(参考答案)(江苏专用)(1)_1多考区联考_2510052025-2026学年高二数学上学期第一次月考
高二数学第一次月考卷01(参考答案)(江苏专用)(1)_1多考区联考_2510052025-2026学年高二数学上学期第一次月考
高二数学第一次月考卷01(参考答案)(江苏专用)(1)_1多考区联考_2510052025-2026学年高二数学上学期第一次月考
高二数学第一次月考卷01(参考答案)(江苏专用)(1)_1多考区联考_2510052025-2026学年高二数学上学期第一次月考
高二数学第一次月考卷01(参考答案)(江苏专用)(1)_1多考区联考_2510052025-2026学年高二数学上学期第一次月考
高二数学第一次月考卷01(参考答案)(江苏专用)(1)_1多考区联考_2510052025-2026学年高二数学上学期第一次月考
高二数学第一次月考卷01(参考答案)(江苏专用)(1)_1多考区联考_2510052025-2026学年高二数学上学期第一次月考
高二数学第一次月考卷01(参考答案)(江苏专用)(1)_1多考区联考_2510052025-2026学年高二数学上学期第一次月考
高二数学第一次月考卷01(参考答案)(江苏专用)(1)_1多考区联考_2510052025-2026学年高二数学上学期第一次月考

文档信息

文档格式
docx
文档大小
0.479 MB
文档页数
8 页
上传时间
2026-02-11 02:46:24

文档内容

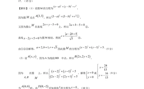
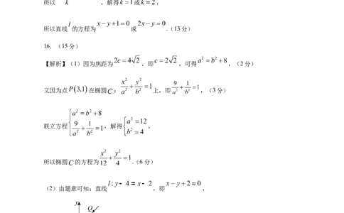
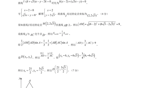
2025-2026 学年高二数学上学期第一次月考卷 01(江苏专用) 参考答案 第一部分(选择题 共58分) 一、选择题:本题共8小题,每小题5分,共40分。在每小题给出的四个选项中,只有一项是符合题目要 求的。 1 2 3 4 5 6 7 8 D B B C A A C A 二、选择题:本题共3小题,每小题6分,共18分.在每小题给出的选项中,有多项符合题目要求.全部 选对的得6分,部分选对的得部分分,有选错的得0分. 9 10 11 BCD ABC AC 第二部分(非选择题 共92分) 三、填空题:本题共3小题,每小题5分,共15分。 12.1或 13. 14.5 四、解答题:本题共5小题,共77分。解答应写出文字说明、证明过程或演算步骤。 15.(13分) 【解析】(1)因为 ,所以 ,且 ,(2分) 由 ,得 ,解得 或 (舍去) 所以 .(5分) (2)因为点 在直线 上, 所以 ,得 ,所以点 的坐标为 ,(7分) 1 / 8 学学科科网网((北北京京))股股份份有有限限公公司司所以设直线 的方程为 ( ),(9分) 令 ,则 ,令 ,则 , 因为直线 在两坐标轴上的截距之和为0, 所以 ,解得 或 , 所以直线 的方程为 或 .(13分) 16.(15分) 【解析】(1)因为焦距为 ,即 ,可得 ,(2分) 又因为点 在椭圆 : 上,即 ,(3分) 联立方程 ,解得 , 所以椭圆 的方程为 .(6分) (2)由题意可知:直线 ,即 , 联立方程 ,解得 或 ,(9分) 2 / 8 学学科科网网((北北京京))股股份份有有限限公公司司不妨设 ,则 ,(11分) 且点 到直线 的距离 ,(13分) 所以 的面积 .(15分) 17.(15分) 【解析】(1)设圆M的方程为 , 因为圆 过点 ,所以 , 又因为圆心 在直线 上,所以 ②, 直线 与圆M相切,得到 ③, 由①②③解得: 因此圆 的方程为 (5分) 的 (2)设 ,因为A为线段BD 中点,所以 , 因为 在圆 上,所以 ,解得 或 (8分) 当 时,由 可知直线 的方程为 ;(10分) 当 时,由 可得斜率 , 故直线 的方程为 ,即 .(14分) 3 / 8 学学科科网网((北北京京))股股份份有有限限公公司司综上,直线 的方程为 或 (15分) 18.(17分) 【解析】(1)因为 ,所以 ,由题意得直线 方程为 ,(2分) 直线 可化为 , 令 ,解得 ,故直线 经过的定点坐标为 ,(4分) 易知直线 经过的定点 在直线 上,所以 , 设直线 与 交于点 ,所以 , 即 ,所以 , 设 ,所以 ,即 , 所以 ,所以 ,(7分) 将 点坐标代入直线 的方程,解得 ,所以直线 的方程为 ;(9 分) 4 / 8 学学科科网网((北北京京))股股份份有有限限公公司司(2)设 关于 的对称点 ,关于 的对称点 , 直线 的方程为 ,即 ,(11分) 所以 , 解得 ,所以 ,(14分) 由题意得 四点共线, ,由对称性得 , 所以入射光线 的直线方程为 ,即 (17分) 19.(17分) 【解析】(1)设圆M的方程为 , 则 ,解得 , 所以圆M的标准方程为 ;(4分) (2)设直线 的方程为 ,即 , 5 / 8 学学科科网网((北北京京))股股份份有有限限公公司司则圆心(0,2)到直线 的距离 , 所以 ,(6分) ①若 ,则直线 斜率不存在, 则 , ,则 ,(8分) 若 ,则直线 得方程为 ,即 , 则圆心(0,2)到直线 的距离 , 所以 , 则 , 当且仅当 ,即 时,取等号, 综上所述,因为 ,所以S的最大值为7; 6 / 8 学学科科网网((北北京京))股股份份有有限限公公司司(11分) ②设 , 联立 ,消 得 , 则 , 直线 的方程为 , 直线 的方程为 , 联立 ,解得 ,(13分) 则 ,(15分) 所以 , 所以点N在定直线 上. 7 / 8 学学科科网网((北北京京))股股份份有有限限公公司司(17分) 8 / 8 学学科科网网((北北京京))股股份份有有限限公公司司