当前位置:首页>文档>新疆维吾尔自治区2025年高三三模数学试卷(含答案)_2025年4月_2504092025届新疆维吾尔自治区高三下学期第三次适应性检测(全科)

新疆维吾尔自治区2025年高三三模数学试卷(含答案)_2025年4月_2504092025届新疆维吾尔自治区高三下学期第三次适应性检测(全科)

  • 2026-04-06 09:33:22 2026-02-11 07:14:42

文档预览

新疆维吾尔自治区2025年高三三模数学试卷(含答案)_2025年4月_2504092025届新疆维吾尔自治区高三下学期第三次适应性检测(全科)
新疆维吾尔自治区2025年高三三模数学试卷(含答案)_2025年4月_2504092025届新疆维吾尔自治区高三下学期第三次适应性检测(全科)
新疆维吾尔自治区2025年高三三模数学试卷(含答案)_2025年4月_2504092025届新疆维吾尔自治区高三下学期第三次适应性检测(全科)
新疆维吾尔自治区2025年高三三模数学试卷(含答案)_2025年4月_2504092025届新疆维吾尔自治区高三下学期第三次适应性检测(全科)
新疆维吾尔自治区2025年高三三模数学试卷(含答案)_2025年4月_2504092025届新疆维吾尔自治区高三下学期第三次适应性检测(全科)
新疆维吾尔自治区2025年高三三模数学试卷(含答案)_2025年4月_2504092025届新疆维吾尔自治区高三下学期第三次适应性检测(全科)
新疆维吾尔自治区2025年高三三模数学试卷(含答案)_2025年4月_2504092025届新疆维吾尔自治区高三下学期第三次适应性检测(全科)
新疆维吾尔自治区2025年高三三模数学试卷(含答案)_2025年4月_2504092025届新疆维吾尔自治区高三下学期第三次适应性检测(全科)
新疆维吾尔自治区2025年高三三模数学试卷(含答案)_2025年4月_2504092025届新疆维吾尔自治区高三下学期第三次适应性检测(全科)
新疆维吾尔自治区2025年高三三模数学试卷(含答案)_2025年4月_2504092025届新疆维吾尔自治区高三下学期第三次适应性检测(全科)
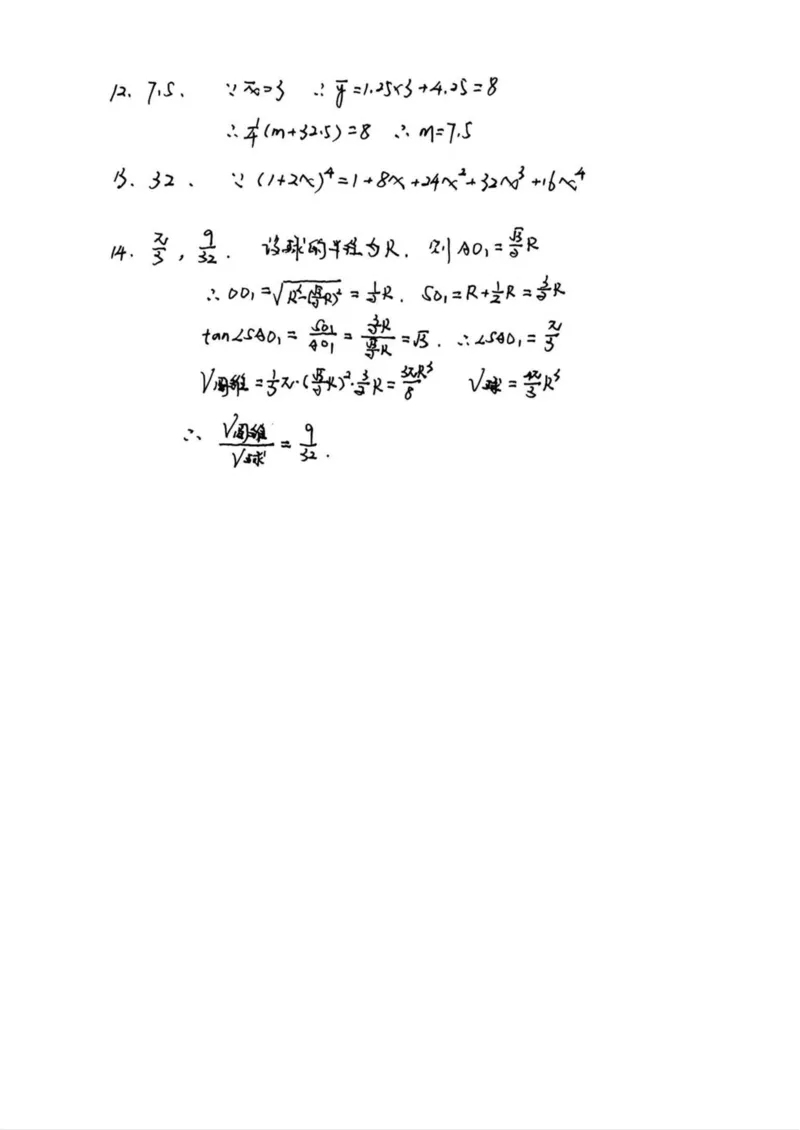
新疆维吾尔自治区2025年高三三模数学试卷(含答案)_2025年4月_2504092025届新疆维吾尔自治区高三下学期第三次适应性检测(全科)
新疆维吾尔自治区2025年高三三模数学试卷(含答案)_2025年4月_2504092025届新疆维吾尔自治区高三下学期第三次适应性检测(全科)
新疆维吾尔自治区2025年高三三模数学试卷(含答案)_2025年4月_2504092025届新疆维吾尔自治区高三下学期第三次适应性检测(全科)
新疆维吾尔自治区2025年高三三模数学试卷(含答案)_2025年4月_2504092025届新疆维吾尔自治区高三下学期第三次适应性检测(全科)
新疆维吾尔自治区2025年高三三模数学试卷(含答案)_2025年4月_2504092025届新疆维吾尔自治区高三下学期第三次适应性检测(全科)

文档信息

文档格式
pdf
文档大小
2.889 MB
文档页数
11 页
上传时间
2026-02-11 07:14:42

文档内容

新疆维吾尔自治区2025年普通高考第三次适应性检测 数学 (卷面分值:150分 考试时间:120分钟) 注意事项: 1 .本试卷分选择题和非选择题两部分,答题前,考生务必将自己的姓名、准考证号填写在 本试卷和答题卡相应位置上. 2 .回答选择题时,选出每小题答案后,用2B铅笫把答题卡上对应题目的答案标号涂黑. 如需改动,用橡皮擦干净后,再选涂其它答案标号,写在本试卷上无效. 3 .回答非选择题时,将答案写在答题卡上,写在本试卷上无效. 4 .考试结束后,将本试卷和答题卡一并交回. 一、选择题:本大题共8小题,每小题5分,共40分.在每小题给出的四个选项中,只有一项是 符合题目要求的. 1.已知全集 U=4U3={%wNI0W#W3],A檀%3) = {1,3},则集合3= A. |0[ B.⑵ C. |0,2] D. {0,1,2,3) 2.若复数z对应复平面上的点(1,1),则1 z 1 = A.短 B.2 C. 710 D. 10 3.直线/;2«+3/-1 = 0的一个方向向量为 A. (3,2) B.(2,3) C. (3,-2) D.(2,-3) 4.函数,*)=(5工-2*)优+”(.>0,且。,1)是奇函数,则坨0 = A. —— B. -1 C.— D.1 2 2 5.如图,有三个边长为1的正方形相接,若乙4BC=a,乙ACD=0,则下列说法正确的是 A. 8ina=-y- B. cosa — ► C.^-a=~ D.AB -AC=7 B C D 新疆维吾尔自治区2025年普通高考第三次适应性检测 数学 第1页 共4页6 .长为3的线段AB的两个端点4和B分别在4轴和y轴上滑动,则点A关于点B对称的点M 的轨迹方程为 7 .安排3名人员去完成4项工作,每人至少完成1项,每项工作由1人完成,则不同的安排方 式共有 A.36 种 B.24 种 C. 18 种 D. 12 种 8 .已知函数口 若/(4)在区间(m,^)上有最大值,则实数m的取值范围是 x+1 4 A. (4,有) B. (a',2) C. (2,3) D.(有,3) 二、选择题:本题共3小题,每小题6分,共18分.在每小题给出的选项中,有多项符合题目 要求.全部选对的得6分,部分选对的得部分分,有选错的得0分. 9 .已知曲线 C:*2cos0 时,则 A. /(%)为偶函数 B. /(%)=lg杼满足这些条件 1+% C・若/(鬻)奇)=2,且切<1,囚<1,则〃 Q)V ♦,(扑/ td就卜/其中…, 新疆维吾尔自治区2025年普通高考第三次适应性检测 数学 第2页 共4页三、填空题+本大题共3小题,每小题5分,共15分. 12 .已知两个变量y与“对应关系如下表: X 1 2 3 4 5 y 5 m 8 9 10.5 若y与“满足一元线性回归模型,且经验回归方程为y= 1. 25x+4. 25,则m=. 13 .二项式(1+24)4的展开式中系数的最大值是. 14 .用一个平面截球0得到的曲面称为球冠,截面为球冠的底面,如图球 冠的高大于球的半径,01为底面圆心,S。】是以为底,点S在球冠 上的圆锥,若底面。的半径是球的半径的多倍,点4为底面圆周上 一点,则SA与底面001所成的角的大小为,圆锥S0,的体积 与球0的体积之比为 四、解答题:本大题共5小题,共77分.解答应写出文字说明、证明过程或演算步骤. 15 . (13 分)已知△ABC 的内角 4,5,C 的对•边分别为 a,b,c,且 bcosC+ccosB=2acosA, ZCAB 的 平分线交BC于点E. (1)求4的大小; (2)若6 = 6,S△枷=3有,求他的长. 16 . (15分)如图,在平面四边形48CD中,48〃8,乙45〃是边长为2的正三角形,九二3,0为 AB的中点,将△400沿0D折到△P。。的位置,PC=7U. (1)求证:尸0J"平面08CD; (2)若点E为线段PC上的动点,且直线BE与平面PDC所成角的正弦值为求妥的值. 5 jfG 17 . (15 分)已知函数/(欠)= /-q*,g>0 且 aKL (1)当a = e(e为自然对数的底数)时,求函数f(x)在%= 1处的切线方程; (2)函数/(%)在(0,+8)上有且仅有两个零点,求q的取值范围. 新疆维百尔自治区2025年普通高考第三次适应性检测 数学 第3页 共4页18.(17分)某地举行中学生科技知识挑战赛,挑战赛分预赛和决赛两个阶段,预赛为闯关比 赛.规定:三人组队参赛,每次只派一个人,且每人只派一次,如果一个人闯关失败,再派下 一个人重新闯关;三人中只要有人闯关成功即视作预赛阶段比赛胜利,无需继续闯关,进入 决赛,决赛设置了 3个问题,每完整答对1个问题,该队决赛成绩记3分,否则记0分,未 进入决赛的参赛队决赛成绩记0分.已知华夏队的甲,乙,丙三名选手在预赛闯关阶段以及 决赛阶段每次完整答对1个问题的概率均为p,g,r(O0),点,/)在椭圆上,椭圆E上存在点N与左焦 点/关于直线y=x对称. (1)求E的方程; (2)若不平行于坐标轴且互相垂直的两条直线均过点2(入,0)(八6 1^),直线乙交后 于4,5两点,直线。交后于C,。两点,M,N分别为弦和CZ)的中点,直线MN交% 轴于点0(%0)56旷),设区=(,1%eN・). ①求储 ②%= |PQl也=看+5,求篇也+]-(-1)1*储. 新疆维吾尔自治区2025年普通高考第三次适应性检测 数学 第4页 共4页新疆维吾尔自治区 年普通高考第三次适应性检测 2025 数学参考答案 一、选择题:本大题共8小题,每小题5分,共40分. 1. C 2. A 3. C 4. A 5. D 6. D 7. A 8.D 二、选择题:本题共3小题,每小题6分,共18分.在每小题给出的选项中,有多项符合题目 要求.全部选对的得6分,部分选对的得部分分,有选错的得0分. 9. ABD H). ABC 11, BCD 三、填空题:本大题共3小题,每小题5分,共15分. 9 12.7.5 13. 32 14. ni2 分)一(3 分) 3 32 四、解答题:本大题共5小题,共77分.解答应写出文字说明、证明过程或演算步骤. 15 .解;(1)由正弦定理得,sinBcQsC+sinCcos8=2siiL4cg4, 即 sin( B+C)= siii4 = 2sin4cos4, (即心 4 e (0,ir)cos4 ............. 6 分 i 17yL (2),., S^ARC = —bcsuyA,.\ 彳x6xcx-^-= 3有,解得 c = 2, 由 S&谢=S&*BE+S&tcE 可得,. AE • sin —+—AC - AE - sin -=3-j3 , Z o 2 o 即!x4Ex(2+6)= 3有,解得 = ............................... 13 分 16 .证明:(1)依题意△48。是边长为2的正三角形,0为力5的中点,所以0D_L4B, 所以 0D 工 PO ,0D LBO ,PD = 2 ,CD=3 ,PC= g, 〃 贝lj DO? +。炉=pc?,所以 po,c。,又 AB//DCi 即 ob DC,所以 OBLPD, 又 0OnPD = D,0O,PDU平面 POD,所以 OB_L 平面尸。£>, 因为0PU平面POO,所以OB LOP, 又 OBnOD^O,OB,ODC^W\ BODC,所以 W面 OBCD.......... 7分 新疆维吾尔自治区2025年普通高考第:次适双性检测 数学编号答案 第I次 共4页(2)如图建立空间直角坐标系,则8( 1,0,0)/(0,0,1 ),0(0,有,0),C(3,百,0), 设方= A??,(0W4 W1),贝I] £:(3A,73A,1-A), 所以 B£ = (3A-1,73A,1-A) ,5c=(3,0,0) ,DP= (0,-A, 1), 设平面PDC的法向量为n-(孙y,z), (n • DC=0 (3% = 0 则 一,即 , Ui • DP=0 ly+z=0 令y= 1例zS".平面PDC的一个法向量为〃 = (0,1 ,百), 设直线BE与平面PDC所成角为0, n, —> \BE - n\ /15" „… 1 ” 3 贝lj sin。= I cos I = —―---- =---,解彳守 A =二或 A =-, \BE\\n\ 5 2 26 所以 p 存 f 的 值为二1 或亲a 15分 17 .解:(1)因为 a = e,所以/(%)= v' -ex, f'(x)= ex~l-ex, /(1 )= 1-e, //(1 ) = 0, 所以函数/(%)在%=1处的切线方程为y=l-e. ............... 5分 (2)因为函数/(%)=/-"在(U,+8 )上有且仅有两个零点,所以方程q”/有且仅有 两个不同的实数根,即方程皿二也有且仅有两个不同的实数根. a \ 令F(x) =⑻,则方程FM = F(q)有血仅有两个不同的实数根, X 1 -Inx .•・尸r (/ %、 )二一^-, X" 所以在区间(0,e)上,F,(%)>0,y = FQ)单调递增, 在区间(e,+8 )上,尸(%)<0,父=F(%)单调递减且/与»(). F(x) =/(e)=一, nmx e 二・尸(%) =/(a)有两个交点,0<皿」■,解得。〉1且a^e. 15分 a e 18 .解:(1)依次派甲乙丙进行闯关时•,设事件A表示“该小组进入决赛”, n. 2 1 3 1 1 1 23 贝ijp(4) = ——+——x——+——x——x——=——. ..................... 4分 3 3 4 3 4 2 24 (2)若依次派甲乙丙进行闯关,设派出人员的数目为X,期望为M,依次派丙乙甲进行 闯关,设派出人员数目的期望为£ 2, X 1 2 3 P P (l-p)q (l-p)(1-7) 新疆维吾尔自治区2025年普通高考第1次适应性检测 数学参考答案 第2页 共4页所以,El=pq-2p-q+3, 同理,& =rq-2r-q+3, 则 £I -E2 =pq-2p-q+3-( rq-2r-q+3)= (p-r) ( q-2), 因为 0E(匕)>矶%), 决赛阶段应由乙选手参加............................................ 17分 19 .解:(1)由题意可得:左焦点F( -。,0)关于直线yr对称点N(0,-c), (21 —H—= 2 a b j ,72 2,解得/=2/J = 2,所以E的方程:、+/ = L •…… 4分 b = c (2)设直线lx的方程为夕30) ,4(町,%),矶的,72),加(町/,力/),M%n,%y), 2 欠 2 1 -----by— - I 由, 2 ,得(1+2 标)%& 沅-2 =0, 、f p“) 4k pn 1 - 1+2肥 所以《 2*〃;-2 ' ④/,二------ ~ 1 +2k2 x. +x7 25,“ 一切” 所以“丁=询,则力W)二百, 2k2Pli -kpn \ 2p” 机) 所以M 同理可得N 1+2储'1+2Ad F+2,^+2/, 因为M,N,Q三点共线,所以%丫(标-%附)=(%\「力,)(心-4), 2k2Pli kp,, 2Pli . 一机 F+2-A^+2 > \+2k2 _ 2 0 "八 rc;1H 孙\+2k2 又外,-% * 0,所以---------=----- kPn -kpn 3 Pn' Xv-y.w k2+2 1+2后 因为 p〃=O (n e N* ),所以 % = (1) (n e N* ). 10分 新疆维吾尔自治区2025年普通高考第•:次适应性检测 数学参考答案 第3页 共4页所以[[4+「( T) / J。人=苫{ [ %-( -1 产%-I ] a2k-i + [ %+1 -(T)"% ] "J 24-2 n 2k 1 2k-] 1 r 2A-+1 1 _2k_ 1 =z + -----1------d------------d------I • 6 +36-T"36 A= I 6 36 6 36/ (4 但 ■3 ,图 1 n /4\A = — lk - 2总 9 设7>和(露 贝"“ 二 lx»2xO +3x(*) + …+〃x n 图.图,图4+…图”' (7)4 / 4 V /4 \,,+, +…+(§) —“X 图 ,'+, 4 9 二■■ n+I - 5 9 史」即+肛),/上) /Hi 解得,= 25 ^ 5 25/ \9 / 9 图建-偿+道,佶『(〃 所以苫[5「(-1)% EN*). ............17分 x 25 \10 50/ 1 9 / A;= 1 L 以上解法仅供参考,如有其他方法,酌情给分. 新疆维吾尔自治区2025年普通高考第:次适应性检测 数学参考答案 第4双 火4山/, C . 'J AubY。,人.AAIGb〉"/' ; ,A. Q r( 、',冈咕 3. G. 3& t,。54)-1。J 峋0 G & 口 L i.k)n(l 々) 3 ~"◎勾2 弋水=a -4) 4. A・ s rcR. '''87》0“尸6、力交_|3©<)久十| 二。 母久二J铲a介九4 *, " G仅=1.A礴,%次言.内/二春、:小6镯食 口产幅.入乂(卜7»个7+世.二泉端.宗热,急地 竭度 乂a勺柔ag&4M石及#4叫cg.7)必、一/) 」、/—=") =7 D4环 ,、》、 长ly/) Ve,G)如夕切 叼 产”。再[小二-f _ ____ 4,t d =八 「,小才 叫5 )-.再串n S .#十/I . 7,A ,牛 收 二3b 右, D , 丫排)京冬安成『xlx城土,@#x)=7g〉」6*)$刍^^«. 当〜7Vl力d t=一常’叫。〈七v| , ,: Jm)"传尸#一才裁,於产成才甚>0 、'胪)无(o . 1凶网弗母,发举《鸡,用火遇彳叫(MT/乂君承不理 %小>[9 4方二相叼“七v| 小工掩 小R"……马,也小舄^粽,:但3| 小0去。弓匕=£,尸〉在(*2),域. 2 , I)§_忒. 当「时 ”勺=3勺夕°)衣盒用磁. ♦'、MV3VAV’备区< M/vJ ,,—> 击 y二oR.n、| .彳 N=土| . ^Jk0) 马乂二彳%.oc'/j忘.8正旃 者C力璃里久,”"3.区必彳,当〃 we,** e匕।-必~ 马/“下3)0铲=卜高.c前仪. 老C %?电兵.号等XV。,甲的=1-志.D谒./o. ARC,老为名q,囚a5共1 及叱%<。,必/尊,可前立於接外4人郎. 老对叫片9豹匕白舛及父此色勾做大j iwq. s y-2京耕可口,今,外,j号双-§, A〃 那&,) 6,2. 4, ZX 4 人二弋.&二 I 书附)6x,&,a. J移八二招 &工1, @齐夜.闻网乜,6.入J耳久n―4.《泡土 介纥其方总4f的时鼠勾叫,超人於6到彳匈叮察不包,皿确 去琲d怪玄寺金古刈.戏〃X形两 d n6 .可k&J 入,-2 4. 6 彳 入二-8 .《=1。 0 d=s琳叶-n,八,4,4名队叩J”碎》 & 时卜叫久,2,叶q小二出• &=i dn&,和]、2,久,6\彳哥 6=0. Az 6 久乏0臼 2胪巧4那对.*a扣网幺应防绿演,CW助 '、'1二,(-2T 人+6+切 >| 禺久小6=2 J、3=。-八 彳&。-%(人7文(《-I)气(4可力二金公-炉+空 :,久S ° .:当分?*以…1,D铐透 〃、8cD. M1A.£^X =。育 ds 时”啮0> 称排)工。 < 6=一外.力)“入)+力⑸二山。)二o耳4(@”一出" 良 另3 8,6饯〉。彳-“*<1,也》噂/二,借债=小段) 当'”/勺-y^0电.拉*0 人次破〉<0 、、、ad)-小曲>四) Djk^).小71工、」心,小64X二8 ,、才(吁二X J、呼” 6. 3? 、 ? 3+2Z寸=1 以《 件.孔白.衣牌守阳SK,到玲。户名R J、a。)n,心率广 N J只.Co产 R+/R=jR EU£M =符。妾=R .、3M 二? y螂小备)号内笋'7戏=纠 、返" 仅球 幺,