当前位置:首页>文档>湖北省部分重点中学数学答案_2025年1月_250116湖北省部分重点中学2025届高三第二次联考(全科)

湖北省部分重点中学数学答案_2025年1月_250116湖北省部分重点中学2025届高三第二次联考(全科)

  • 2026-04-23 05:47:28 2026-02-11 13:42:11

文档预览

湖北省部分重点中学数学答案_2025年1月_250116湖北省部分重点中学2025届高三第二次联考(全科)
湖北省部分重点中学数学答案_2025年1月_250116湖北省部分重点中学2025届高三第二次联考(全科)
湖北省部分重点中学数学答案_2025年1月_250116湖北省部分重点中学2025届高三第二次联考(全科)
湖北省部分重点中学数学答案_2025年1月_250116湖北省部分重点中学2025届高三第二次联考(全科)
湖北省部分重点中学数学答案_2025年1月_250116湖北省部分重点中学2025届高三第二次联考(全科)
湖北省部分重点中学数学答案_2025年1月_250116湖北省部分重点中学2025届高三第二次联考(全科)
湖北省部分重点中学数学答案_2025年1月_250116湖北省部分重点中学2025届高三第二次联考(全科)
湖北省部分重点中学数学答案_2025年1月_250116湖北省部分重点中学2025届高三第二次联考(全科)
湖北省部分重点中学数学答案_2025年1月_250116湖北省部分重点中学2025届高三第二次联考(全科)
湖北省部分重点中学数学答案_2025年1月_250116湖北省部分重点中学2025届高三第二次联考(全科)
湖北省部分重点中学数学答案_2025年1月_250116湖北省部分重点中学2025届高三第二次联考(全科)

文档信息

文档格式
pdf
文档大小
0.436 MB
文档页数
7 页
上传时间
2026-02-11 13:42:11

文档内容

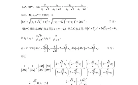
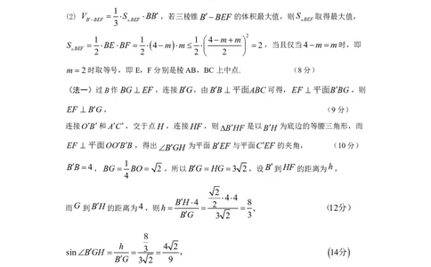
湖北省部分重点中学 2025 届高三第二次联考 高三数学试卷参考答案 一、单项选择题:本题共8小题,每小题5分,共40分,在每小题给出的四个选项中,只 有一项是符合要求的。 1 2 3 4 5 6 7 8 A B D B C C A D 二、选择题:本题共3小题,每小题6分,共18分.在每小题给出的选项中,有多项符合 题目要求.全部选对的得6分,部分选对的得部分分,有选错的得0分. 9 10 11 AD BCD ACD 第 II 卷(非选择题) 三、填空题:本题共3小题,每小题5分,共15分。 12.16 13.2 14.2 四、解答题:本题共5小题,共77分,解答应写出必要的文字说明、证明过程及验算步骤。  π 15. (13分)(1)因为sinAsin2B0,则sinA2sinBcosB,又B0, ,则sinB0,  2 sinA a 3 4 所以cosB   ,则sinB 1cos2B  , (2分) 2sinB 2b 5 5 24 所以sinA2sinBcosB , (3分) 25  π 7 又A0, ,所以cosA 1sin2 A  , (4分)  2 25 7 3 24 4 3 所以cosC cosABcosAcosBsinAsinB     . (7分) 25 5 25 5 5 3 (2)设AM m,AN n,由(1)知cosBcosC  ,则BC,cb5,又 5 1 1 1 1 S :S 1:5,则S  S ,即 mnsinA  bcsinA,得mn5, (9分) △AMN △ABC AMN 5 ABC 2 5 2 14 36 所以MN2 m2n22mncosA2mn mn , (12分) 25 5 6 5 当且仅当mn 5时等号成立,所以MN的最小值为 . (13分) 516. (15分)(1)以C为坐标原点,CO,CB,CC为x,y,z轴建 立空间直角坐标系,如图:设AE  BF m(0m4),则 A 4,4,4  ,F  0,4m,0  ,C 0,0,4  ,E  4m,4,0  , (2分)     AF 4,m,4 ,CE  4m,4,4 ,由AFCE 164m4m160,  AF CE. (5分) 1 (2) V  S BB,若三棱锥BBEF 的体积最大值,则S 取得最大值, BBEF 3 BEF BEF 1 1 1 4mm 2 S  BEBF   4m m    2,当且仅当4mm时,即 BEF 2 2 2  2  m2时取等号,即E,F分别是棱AB,BC上中点. (8分) (法一)过B作BG  EF,连接BG,由BB 平面ABC可得,EF 平面BBG,则 EF  BG, (9分) 连接OB和AC,交于点H,连接HF,则BHF 是以 BH 为底边的等腰三角形,而 EF  平面OOBB,得出BGH 为平面BEF 与平面CEF 的夹角, (10分) 1 BB4,BG  BO  2 ,所以BGHG3 2,设B 到HF的距离为h, 4 2 44 BH4 8 而G到BH的距离为4,则h  2  , (12分) BG 3 2 3 8 sinBGH  h  3  4 2 ,  14分 BG 3 2 9 4 2 故平面BEF 与平面CEF 的夹角正弦值为 . (15分) 9 (法二)设平面BEF 与平面CEF 的夹角为 ,B(0,4,4),E(2,4,0),F(0,2,0),     C 0,0,4  , BE (2,0,4),BF (0,2,4),CE (2,4,4),CF (0,2,4),     n BE 2x (4)z 0, 设平面BEF 的一个法向量为n (x ,y ,z ),则 1  1 1 1 1 1 1 n BF 2y (4)z 0, 1 1 1 令z 1,则x 2,y 2,故n (2,2,1), (10分) 1 1 1 1     n CE 2x 4y 4z 0, 设平面CEF 的一个法向量为n (x ,y ,z ),则 2  2 2 2 2 2 2 2 n CF 2y (4)z 0, 2 2 2  令z 1,则x 2,y 2,故n (2,2,1), (12分) 2 2 2 2     n n 7 4 2 则cos|cosn,n | 1 2  ,sin 1cos2 , (14分) 1 2 |n ||n | 9 9 1 2 4 2 故平面BEF 与平面CEF 的夹角正弦值为 . (15分) 9 1 3 1 2 19 17. (15分)(1)由题意甲第2局赢的概率为P   (1 )  , (3分) 2 2 5 2 3 30 19 11 所以乙赢的概率为P1  ; (4分) 30 30 3 2 1 2 (2)由已知i2时,P  P  (1P ) P  , (6分) i 5 i1 3 i1 15 i1 3 5 1 5 5 1 5 1 1 所以P  (P  ),又P  ,所以数列{P }是首项为 ,公比为 的等 i 8 15 i1 8 1 8 8 i 8 8 15 比数列,所以P 5 ( 1 )( 1 )i1,所以P ( 1 )( 1 )i1 5 iN* ; (9分) i 8 8 15 i 8 15 8 1 (3)ePi lnP1k 0即k lnP1ePi,令 f(x)ln(x1)ex,则 f(x) ex,易 i i x1 知 f(x)是减函数, f(0)0,所以x0时, f(x)0, f(x)递减, 显然P 0(iN*),因此要求lnP1ePi的最大值,即求P的最小值, (11分) i i i 又P ( 1 )( 1 )i1 5 iN* ,i为偶数时,P  5 ,i为奇数时,P  5 , i 8 15 8 i 8 i 8 1 1 5 5 1 1 且在i为奇数时,P ( )( )i1   ( )i1是单调递增的, i 8 15 8 8 8 15 1 所以P  是{P}中的最小值, (13分) 1 2 i 1 1 所以 k ln(1 )e2,又 f(x)ln(x1)ex在(0,)上是减函数, 2 1 1 1 1 1 所以 f( ) f(0)1,而e2 2,故 f( )ln(1 )e2 2 2 2 2 所以2ln(1 1 )e 1 2 1,所以满足 k ln(1 1 )e 1 2的整数k的最小值为1. (15分) 2 2 (xm)2  y2 m    18. (17分)(1)设点P x,y ,由题意可知 n2 n ,即 x mm  2 x2 y2 (xm)2  y2   xn ,经化简,得C的方程为  1, (3分)  n  n2 n2 m2 当mn时,曲线C是焦点在x轴上的椭圆;当mn时,曲线C是焦点在x轴上的双曲 线. (5分) x2 y2     由 ① 可 知 C 的 方 程 为  1,A 2,0 ,B  2,0 , 设 点 4 2 M  x ,y  ,N  x ,y  ,M x ,y  , 其 中 y 0,y 0 且 x x ,y y , 因 为 1 1 2 2 3 3 1 2 3 2 3 2 y y y y AM //BN,所以 1  2  2  3 , x  2 x  2 x  2 x  2 1 2 2 3 因此,M,A,M三点共线,且 BN   x  2 2  y2   x  2 2  y 2  AM  , (7分) 2 2 2 2   (法一)设直线MM的方程为xty 2 ,联立C的方程,得 t2 2 y2 2 2ty20, 2 2t 2 则 y  y  ,y y  , 1 3 t2 2 1 3 t2 2 2 4 2 2 由(1)可知 AM  x  2 x , BN  AM 2 x , (9分) 2 1 2 2 1 2 3 所以  2   2   2   2  2 x 2 x  1 ty 1 ty  1 1 AM  BN  2 1   2 3   2 1   2 3      AM BN AM  BN  2  2   2  2  2 x 2 x  1 ty 1 ty  2 1 2 3 2 1 2 3       2  2 2t  2 2 2 t  y 1  y 3  2 2 t   t2 2      2 , 所 以 2 1 2  2 2t  1  2  1 t  y  y  t2y y 1 t  t2    2 1 3 2 1 3 2  t2 2  2  t2 2  1 1  为定值2; (12分) AM BN AM 2 2 (法二)设MAx ,则有  ,解得 AM  , 2 AM cos 2 2 2cosAM 2 2 同理由  ,解得 AM  , (9分) 2 AMcos 2 2 2cos 1 1 1 1 2 2cos 2 2cos      2 AM BN AM AM 2 2 所以 , 1 1 所以  为定值2; (12分) AM BN 由 椭 圆 定 义 BQ  QM  MA 4 , 得 QM 4 BQ  AM , , AM QM 4 BQ  AM AM //BN,   BN BQ BQ     4 AM  BN 4 BN  AM 解得 BQ  ,同理可得 AQ  , AM  BN AM  BN       4 BN  AM 4 AM  BN 4 AM  BN 2 AM  BN 所以 AQ  BQ    AM  BN AM  BN AM  BN 2 4 413 1 1 .因为 AB 2 2 ,  AM BN 所以ABQ的周长为定值32 2. (14分) x2 y2 ②当mn时,曲线C的方程为  1,轨迹为双曲线, n2 m2 n2 根据(ⅰi)的证明,同理可得M,A,M三点共线,且 BN  AM , 1 1 2n 同理可得   , AM BN m2 n2 由双曲线的定义 BQ  QM  MA 2n,得 QM 2n AM  BQ ,   AM QM 2n AM  BN AM AQ 根据  ,解得 BQ  ,同理根据  ,解得 BN BQ AM  BN BN QN   2n BN  AM AQ  , AM  BN    2n BN  AM 2n AM  BN 2 AM  BN 所以 AQ  BQ    2n AM  BN AM  BN AM  BN 2 m2 n2 m2 n2 2n 2n  1 1 n n ,  AM BN 1   由内切圆性质可知,S  AB  AQ  BQ r, 2 1 m2 n2 (mn)2 当S r 时,  AB  AQ  BQ  m  (常数). 2 2n 2n (mn)2 因此,存在常数使得S r 恒成立,且 . (17分) 2n 19. (17分)解:(1) 9 2n3 9 2n1 n 当n2时, na n a 1 2a 2 na n  a 1 2a 2  n1a n1    4  43n1  4  43n2    3n1 , n1 n1 1 9 5 1 a   , (3分)又 a   1 也适合此式,a   , (4分) n 3 1 4 4 n 3 n 1 1  数列a n 是首项为1,公比为 1 3 的等比数列,故 T n  3 1   3 2    1 3 1 n    ; (5分) 1 3 (2)b 1,b R R  nN*可知R 0,R R  R R ,则 1  1 1 , (7 1 n1 n n1 n n1 n n n1 R R n1 n 分) 数列   1   是首项为1,公差为1的等差数列,其通项 1 n ,故R  1 ; (9分) R  R n n n n (3) 不妨令T 0,则c RT (R R R )(T T )  nN*, 0 n n n1 1 2 n n n1 令数列R 的前n项和W , n n 则c RT (R R R )(T T )(W W )T W (T T )WT W T , n n n1 1 2 n n n1 n n1 n1 n n n1 n n n1 n1 累加,则S WT 0, n n n 3 1  1 1 S WT  1 1   ( 11分) n n n 2 3n  2 n , 3 1 1  1   ① ( 12分) 2 2 nx 下面先证不等式 ln1x(x0) ② 1x 1 1 x gx    0(x 0) 令 gxln1x x ,则 1x (1x)2 (1x)2 . 1x gxg00(x0),即②成立. (14分) 1 在②中令 x 1 ,得到 ln  1 1  n  1 ③ (15分) n  n 1 n1 1 n 当n1时, S  3 ;当n2时,由①及③得: 1 2 3 1 1 3  1  1  S  1   1ln2ln1  ln1  n 2 2 n 2  2  n 1 3 3   1ln2ln3ln2  (lnn lnn 1)   1lnn. (17分) 2 2