当前位置:首页>文档>10月月考答案理数(1)_2023年10月_0210月合集_2024届四川省江油中学高三上期10月月考_四川省江油中学2024届高三上期10月月考数学

10月月考答案理数(1)_2023年10月_0210月合集_2024届四川省江油中学高三上期10月月考_四川省江油中学2024届高三上期10月月考数学

  • 2026-03-28 06:12:13 2026-02-12 10:16:17

文档预览

10月月考答案理数(1)_2023年10月_0210月合集_2024届四川省江油中学高三上期10月月考_四川省江油中学2024届高三上期10月月考数学
10月月考答案理数(1)_2023年10月_0210月合集_2024届四川省江油中学高三上期10月月考_四川省江油中学2024届高三上期10月月考数学
10月月考答案理数(1)_2023年10月_0210月合集_2024届四川省江油中学高三上期10月月考_四川省江油中学2024届高三上期10月月考数学
10月月考答案理数(1)_2023年10月_0210月合集_2024届四川省江油中学高三上期10月月考_四川省江油中学2024届高三上期10月月考数学
10月月考答案理数(1)_2023年10月_0210月合集_2024届四川省江油中学高三上期10月月考_四川省江油中学2024届高三上期10月月考数学
10月月考答案理数(1)_2023年10月_0210月合集_2024届四川省江油中学高三上期10月月考_四川省江油中学2024届高三上期10月月考数学
10月月考答案理数(1)_2023年10月_0210月合集_2024届四川省江油中学高三上期10月月考_四川省江油中学2024届高三上期10月月考数学
10月月考答案理数(1)_2023年10月_0210月合集_2024届四川省江油中学高三上期10月月考_四川省江油中学2024届高三上期10月月考数学
10月月考答案理数(1)_2023年10月_0210月合集_2024届四川省江油中学高三上期10月月考_四川省江油中学2024届高三上期10月月考数学

文档信息

文档格式
docx
文档大小
0.361 MB
文档页数
5 页
上传时间
2026-02-12 10:16:17

文档内容

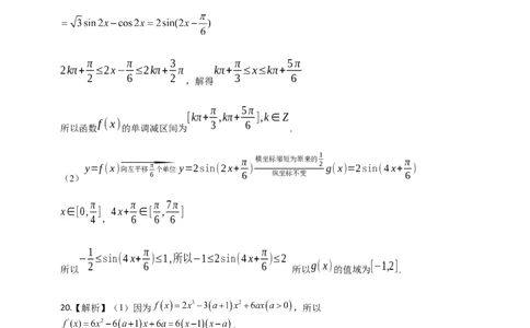
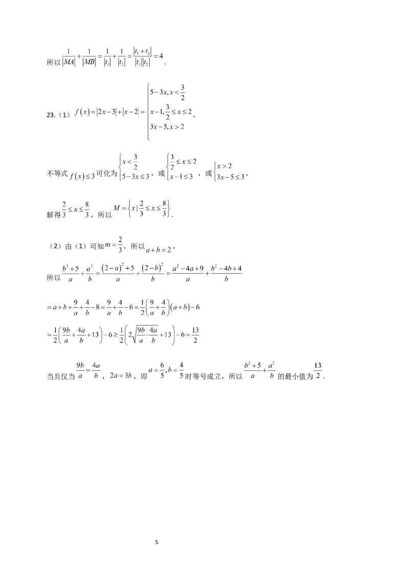
江油中学 2021 级高三上期 10 月月考理数答案 1.B 2.D 3.A 4.C 5.C 6.C 7.B 8.D 9.B 10.B 11.A 12. A 13. 14. 15. 16.②③④ 17.解:因为数列 满足 , , ,所以,数列 是以 为首项,公比为 的等 比数列,所以 ,即数列 的通项公式为 , 设等差数列 的公差为 ,由 , ,得 ,解得 ,所以, ,即数列 的通项公式为 (2)由(1)可知 ,所以,数列 的前 项和 ,即 . 18.解:由正弦定理知, , ∵ ,代入上式得 , ∵ ,∴ , ,∵ ,∴ . (2)若选①:由 平分 得, ∴ , 即 .在 中,由余弦定理得 , 又 ,∴ ,联立 得 ,解得 , (舍去),∴ . 若选②:因为 , 1,得 , 在 中,由余弦定理得 ,即 , 联立 ,可得 ,∴ . f(x)=2√3sinxcosx+(sin2x+cos2x)(sin2x−cos2x) 19.(1) π π 3 π 5π 2kπ+ ≤2x− ≤2kπ+ π kπ+ ≤x≤kπ+ 2 6 2 3 6 ,解得 π 5π [kπ+ ,kπ+ ],k∈Z f (x) 3 6 所以函数 的单调减区间为 . 1 π 横坐标缩短为原来的 π y=f(x⃗)向左平移 π 个单位 y=2sin(2x+ ) 2 g(x)=2sin(4x+ ) (2) 6 6 纵坐标不变 6 π π π 7π x∈[0, ] 4x+ ∈[ , ] 4 , 6 6 6 1 π π − ≤sin(4x+ )≤1,所以−1≤2sin(4x+ )≤2 2 6 6 g(x) [−1,2] 所以 所以 的值域为 . 20.【解析】(1)因为 ,所以 . ①当 时, , 在R上严格递增; ②当 时,由 得 或 ,由 得 , 所以 在 单调递增,在 上单调递减,在 单调递增; ③当 时,由 得 或 ,由 得 , 所以 在 单调递增,在 上单调递减,在 单调递增; (2)由(1)可知①当 时, , 在 上严格递增,此时 在 上的最大值为 ; ②当 时,列表如下: 20 1 + 0 - 0 + 极大值 极小值 由表知, 在 上的最大值只有可能是 或 ,因为 在 上的最大值为 , 所以 ,解得 ,此时 ; ③当 时,列表如下: 0 1 a+1 + 0 - 0 + 极大值 极小值 由表知, 在 上的最大值可能是 或 ,因为 在 上的最大值为 , 所以 ,解得 ,此时 , 由①②③得, ,∴满足条件的 的取值范围是 . 21.(1)解: 在 单调递减, 在 上恒成立,即 在 上恒成立, 设 , ,需 即可, , ,则 , 在 单调递增, ,故 ; (2)由题意,不等式 对 恒成立,则 对 一切 恒成立, ,所以 , 原命题等价于 对一切 恒成立, 对一切 恒成立,令 , , , 3令 ,则 对 恒成立, 在 上单增,又 , 使 ,即 ①, 当 时, ,即 在 递减, 当 时, ,即 在 递增, , 由① , , 设 , ,则 , 函数 在 单调递增, 即 , , 实数 的取值范围为 . 22.(1)由 的参数方程 ,消去参数可得 , 由曲线 的极坐标方程为 ,得 , 所以 的直角坐方程为 ,即 . (2)曲线 的参数方程 ( 为参数), 代入 化简可得 . 设 , 对应的参数分别为 , ,则 , , 4所以 . 23.(1) , 不等式 可化为 ,或 ,或 , 解得 ,所以 . (2)由(1)可知 ,所以 , 所以 当且仅当 , ,即 时等号成立,所以 的最小值为 . 5