当前位置:首页>文档>2023学年第一学期浙南名校朕盟第一次联考高三年级物理学科参考答案(1)_2023年10月_0210月合集_2024届浙江省浙南名校联盟高三上学期第一次联考

2023学年第一学期浙南名校朕盟第一次联考高三年级物理学科参考答案(1)_2023年10月_0210月合集_2024届浙江省浙南名校联盟高三上学期第一次联考

  • 2026-04-11 15:31:34 2026-02-12 10:54:07

文档预览

2023学年第一学期浙南名校朕盟第一次联考高三年级物理学科参考答案(1)_2023年10月_0210月合集_2024届浙江省浙南名校联盟高三上学期第一次联考
2023学年第一学期浙南名校朕盟第一次联考高三年级物理学科参考答案(1)_2023年10月_0210月合集_2024届浙江省浙南名校联盟高三上学期第一次联考
2023学年第一学期浙南名校朕盟第一次联考高三年级物理学科参考答案(1)_2023年10月_0210月合集_2024届浙江省浙南名校联盟高三上学期第一次联考
2023学年第一学期浙南名校朕盟第一次联考高三年级物理学科参考答案(1)_2023年10月_0210月合集_2024届浙江省浙南名校联盟高三上学期第一次联考
2023学年第一学期浙南名校朕盟第一次联考高三年级物理学科参考答案(1)_2023年10月_0210月合集_2024届浙江省浙南名校联盟高三上学期第一次联考
2023学年第一学期浙南名校朕盟第一次联考高三年级物理学科参考答案(1)_2023年10月_0210月合集_2024届浙江省浙南名校联盟高三上学期第一次联考

文档信息

文档格式
pdf
文档大小
0.368 MB
文档页数
3 页
上传时间
2026-02-12 10:54:07

文档内容

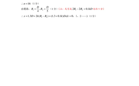
2023 学年第一学期浙南名校联盟第一次联考 高三年级物理学科参考答案 一、选择题Ⅰ(本题共13小题,每小题3分,共39分。每小题列出的四个备选项中只有一 个是符合题目要求的,不选、多选、错选均不得分) 1 2 3 4 5 6 7 D B A A D C D 8 9 10 11 12 13 C A C D C C 二、选择题Ⅱ(本题共2小题,每小题3分,共6分。每小题列出的四个备选项中至少有一 个是符合题目要求的,全部选对的得3分,选对但不全的得2分,有选错的得0分) 14 15 AD AD 三、非选择题(本题共5小题,共55分) 16.I.(1)AB(2分,漏选得1分,错选、多选得0分) 2 (2)2.4 (2分) (3) −m (2分)(4)B (1分) k 0 II.(1)B (1分) (2) (  n x −  d ) 1 l (1分)(3) 630(1分) Ⅲ.(1)5 (1分)(2)a (1分)(3)2.9 (1分) 0.80 (1分) 注:数据结果有效位数不正确,不得分。 17.(8分)(1)等于、大于、大于;(3分)(注:每空1分,写“=”、“>”、“>”也给分) (2) 400J、6L ①理想气体等容变化吸收热量100J,内能增加400J;等压变化温度上升相同,因此内 能也增加400J。(2分)(注:提到温度上升相同,结果正确,都给2分) W ②等压变化过程中:U =W +Q ,可得W=-200J, V = =2L(1分) P V T 1 = V + T  2 V (1分) 1 V = V ,可得V =6L(1分)(注:有公式,无中间结果,最终结果正确,给全分) 3 1 18.(11分)(1)①mgR= mv 2(1分), 2 B v2 a = B =2g 方向向上 (1分) n R 1 mv2 ②mgRsin= mv2,F −mgsin= (1分)(注:写对1条或2条公式,给1分) 2 R {#{QQABTQoAogCAQAAAAQhCEwVCCAIQkACCCAoORAAMoAAAABFABAA=}#}F 3 m g s i n c o s   =  (1分)(注:写出关系式 或 得到45º,都给1分。) 3 F = mg(1分) max 2 (2)③全过程动量守恒: m v 1 = 2 m v 2 ,  m x 1 = 2 m x 2 (1分)  x 1 = R , L = 2 R (1分)(注:分段列动量守恒,算对结果也得分) 1 1 ④下滑过程能量守恒:mg(H +R)= mv2 + 2mv2(1分) 2 1 2 2  v 1 = 2 g R , v 2 = g R (1分)(注:写对能量守恒公式,无结果也得2分) 上滑过程: m v 1 = 3 m v 3 1 1 , mv2 =mgh+ 3mv2(1分) 2 1 2 3  h = 4 3 R (1分) 19.(11分)(1)刚进入磁场区域时: a b    (2分) (2) − B I  2 d  t = m v 1 − m v 0 , U c = B L v 1 , C = Q U c (2分) (注:公式写对任意2条得2分)  v 1 = 2 .1 m / s , Q = 0 .8 4 C (1分) Bdv (3)由Ⅰ→Ⅱ:−BIdt =Mv −Mv ,I = (1分)(注:写对动量定理得1分) 2 1 R 即: − B 2 d R 2 x = M v 2 − M v 1 ,  v 2 = 1 .6 m / s (1分) 穿越磁场区域Ⅱ过程 B  2 d  Q = M v 3 − M v 2 , C =   Q U ,  U = B  2 d ( v 3 − v 1 ) (1分) v =2m/s(1分) 3 B2d2x 由Ⅱ→Ⅲ:− =Mv −Mv ,v =1m/s(1分) R 4 3 4 1 1 Q= Mv2 − Mv2 =0.12J (1分) 2 3 2 4 20.(11分)(1) B q v = m v R 2 1 1 ,−qU = mv2 − mv2(1分) MN 2 2 0 4 R 5 v= v , 1 = (1分) 5 0 R 4 2 {#{QQABTQoAogCAQAAAAQhCEwVCCAIQkACCCAoORAAMoAAAABFABAA=}#}(2)恰不从上边界打出磁场 有几何关系: 9 0  =  恰不从下边界打出磁场: R R s i n 2 3 D   +  = , s i n 1 2  = (1分) v s i n v 0 s i n   = (1分) s i n = 2 5   (1分)(注:其它方法求出β也得2分) (3)经过n次加速后: n q U M N = 1 2 m v 2n − 1 2 m v 20 9 (1分),即v =v n+1 n 0 25 有几何关系 0 . 9 D + 0 . 4 D  2 m q B v 2 n  0 . 9 D + 0 . 5 D (1分) ,且 m q v B n 2  2 3 D (1分)  n = 1 6 (1分) D D 由题意:R = ,R = (1分)(注:或写成 1 4 2 5 2 R 1 − 2 R 2 = 0 .1 k D 也给1分)  x = 1 .3 D + 2 k ( R 1 − R 2 ) = (1 .3 + 0 .1 k ) D , ( k = 0 、 1 、 2      ) (1分) {#{QQABTQoAogCAQAAAAQhCEwVCCAIQkACCCAoORAAMoAAAABFABAA=}#}