当前位置:首页>文档>江苏省高邮市2023-2024学年高三上学期期初学情调研测试数学试卷答案_2023年9月_01每日更新_16号_2024届江苏省高邮市高三上学期期初学情调研测试

江苏省高邮市2023-2024学年高三上学期期初学情调研测试数学试卷答案_2023年9月_01每日更新_16号_2024届江苏省高邮市高三上学期期初学情调研测试

  • 2026-04-18 19:58:53 2026-02-13 03:32:00

文档预览

江苏省高邮市2023-2024学年高三上学期期初学情调研测试数学试卷答案_2023年9月_01每日更新_16号_2024届江苏省高邮市高三上学期期初学情调研测试
江苏省高邮市2023-2024学年高三上学期期初学情调研测试数学试卷答案_2023年9月_01每日更新_16号_2024届江苏省高邮市高三上学期期初学情调研测试
江苏省高邮市2023-2024学年高三上学期期初学情调研测试数学试卷答案_2023年9月_01每日更新_16号_2024届江苏省高邮市高三上学期期初学情调研测试
江苏省高邮市2023-2024学年高三上学期期初学情调研测试数学试卷答案_2023年9月_01每日更新_16号_2024届江苏省高邮市高三上学期期初学情调研测试
江苏省高邮市2023-2024学年高三上学期期初学情调研测试数学试卷答案_2023年9月_01每日更新_16号_2024届江苏省高邮市高三上学期期初学情调研测试
江苏省高邮市2023-2024学年高三上学期期初学情调研测试数学试卷答案_2023年9月_01每日更新_16号_2024届江苏省高邮市高三上学期期初学情调研测试
江苏省高邮市2023-2024学年高三上学期期初学情调研测试数学试卷答案_2023年9月_01每日更新_16号_2024届江苏省高邮市高三上学期期初学情调研测试
江苏省高邮市2023-2024学年高三上学期期初学情调研测试数学试卷答案_2023年9月_01每日更新_16号_2024届江苏省高邮市高三上学期期初学情调研测试
江苏省高邮市2023-2024学年高三上学期期初学情调研测试数学试卷答案_2023年9月_01每日更新_16号_2024届江苏省高邮市高三上学期期初学情调研测试
江苏省高邮市2023-2024学年高三上学期期初学情调研测试数学试卷答案_2023年9月_01每日更新_16号_2024届江苏省高邮市高三上学期期初学情调研测试

文档信息

文档格式
docx
文档大小
0.185 MB
文档页数
6 页
上传时间
2026-02-13 03:32:00

文档内容

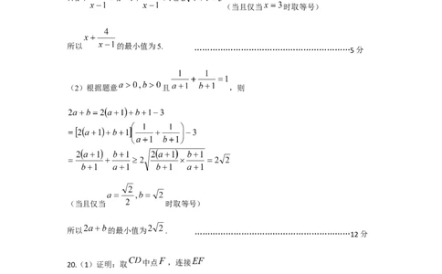
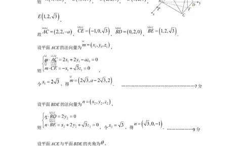
高三期初学情调研测试参考答案 1.C 2.B 3.A 4.B 5.D 6.A 7.C 8.D 9.AC 10.BCD 11.ABD 12.ACD 13. 14. 15. (答案不唯一) 16. 17.解:(1) --------------2分 --------------3分 --------------5分 --------------7分 (2) --------------10分 18.解:(1)法一:若命题p为真命题时, 则 ,即 或 因命题p为假命题,所以 范围为 --------------4分 法二:由题意得, 为真命题, --------------4分 (2) 是 的充分不必要条件 是 的真子集 --------------6分 当 时,即 ,此时 , 满足 是 的真子集. --------------8分 当 时,即 是 的真子集 学科网(北京)股份有限公司, --------------11分 综上, 的范围是 --------------12分 19.解:(1) (当且仅当 时取等号) 所以 的最小值为5. ……………………………………………………5分 (2)根据题意 且 ,则 (当且仅当 时取等号) 所以 的最小值为 . ……………………………………………………12分 20.(1)证明:取 中点 ,连接 是等边三角形, ……………………………………………………2分 又 ……………………………………………………4分 学科网(北京)股份有限公司……………………………………………………5分 (2)解:过点B作 ,以B为坐标原点,分别以 , , 的方向为x, y,z轴的正方向,建立如图所示的空间直角坐标系, 则 , , , , , 故 , , , . 设平面ACE的法向量为 , 则 , 令 ,得 . ……………………………………………7分 设平面BDE的法向量为 , 则 ,令 ,得 . ………………9分 设平面ACE与平面BDE的夹角为 , 则 学科网(北京)股份有限公司……………………………………………………12分 21.解:(1)根据题意可得X=0,1,2, 又P(X=0) = C 1 0 0 C 1 2 0= 9 , C2 38 20 P(X=1) = C 1 1 0 C 1 1 0= 10, C2 19 20 P(X=2) = C 1 2 0 C 1 0 0= 9 , C2 38 20 ∴X的分布列为: X 0 1 2 P 9 10 9 38 19 38 ……………………………………………………3分 9 10 9 ∴E(X)=0× +1× +2× =1; 38 19 38 …………………………………………5分 (2)(i)20个数据从小到大排列后,中位数m即为第10位和第11位数的平均数, 第10位数为23.2,第11位数为23.6, 23.2+23.6 ∴m= =23.4, 2 ……………………………………………………7分 ∴补全列联表为: 合计 对照组 2 8 10 实验组 8 2 10 合计 10 10 20 ……………………………………………………8分 20×(2×2−8×8) 2 (ii)由(i)可知K2= =7.200>3.841, 10×10×10×10 …………………………10 学科网(北京)股份有限公司分 ∴能有95%的把握认为药物对小白鼠生长有抑制作用. ……………………………12分 22.解:(1) ……………………………………2分 ……………………………………………………5分 (2) ……………………………7分 学科网(北京)股份有限公司…………………………9分 ……………………………………………12分 学科网(北京)股份有限公司