当前位置:首页>文档>高三数学答案(1)_2023年10月_0210月合集_2024届重庆市七校高三上学期第一次月考_重庆市七校2024届高三上学期第一次月考数学

高三数学答案(1)_2023年10月_0210月合集_2024届重庆市七校高三上学期第一次月考_重庆市七校2024届高三上学期第一次月考数学

  • 2026-03-23 18:37:24 2026-02-13 19:53:05

文档预览

高三数学答案(1)_2023年10月_0210月合集_2024届重庆市七校高三上学期第一次月考_重庆市七校2024届高三上学期第一次月考数学
高三数学答案(1)_2023年10月_0210月合集_2024届重庆市七校高三上学期第一次月考_重庆市七校2024届高三上学期第一次月考数学
高三数学答案(1)_2023年10月_0210月合集_2024届重庆市七校高三上学期第一次月考_重庆市七校2024届高三上学期第一次月考数学
高三数学答案(1)_2023年10月_0210月合集_2024届重庆市七校高三上学期第一次月考_重庆市七校2024届高三上学期第一次月考数学
高三数学答案(1)_2023年10月_0210月合集_2024届重庆市七校高三上学期第一次月考_重庆市七校2024届高三上学期第一次月考数学
高三数学答案(1)_2023年10月_0210月合集_2024届重庆市七校高三上学期第一次月考_重庆市七校2024届高三上学期第一次月考数学
高三数学答案(1)_2023年10月_0210月合集_2024届重庆市七校高三上学期第一次月考_重庆市七校2024届高三上学期第一次月考数学
高三数学答案(1)_2023年10月_0210月合集_2024届重庆市七校高三上学期第一次月考_重庆市七校2024届高三上学期第一次月考数学
高三数学答案(1)_2023年10月_0210月合集_2024届重庆市七校高三上学期第一次月考_重庆市七校2024届高三上学期第一次月考数学
高三数学答案(1)_2023年10月_0210月合集_2024届重庆市七校高三上学期第一次月考_重庆市七校2024届高三上学期第一次月考数学
高三数学答案(1)_2023年10月_0210月合集_2024届重庆市七校高三上学期第一次月考_重庆市七校2024届高三上学期第一次月考数学
高三数学答案(1)_2023年10月_0210月合集_2024届重庆市七校高三上学期第一次月考_重庆市七校2024届高三上学期第一次月考数学

文档信息

文档格式
docx
文档大小
0.441 MB
文档页数
8 页
上传时间
2026-02-13 19:53:05

文档内容

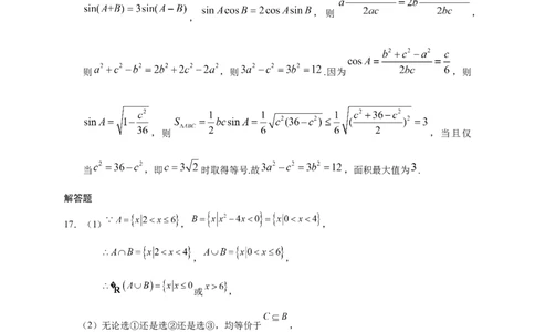
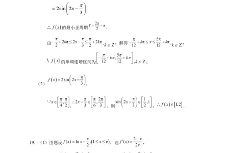
2023—2024 学年度高三第一学月七校联考 高三数学答案 1 2 3 4 5 6 7 8 9 10 11 12 B D A C C A B A BC BCD ACD ABD 13. 7 14. 15. 16. 12 3 8.【详解】正数 满足 , 所以 ,即 ,所以 , 令 ,所以 在 上单调递增, 所以 ,即 , 所以 ,令 , 所以 在 上 单减;在 上 单增, 所以 的最小值是 ,所以 的最小值为 . 选A 12.【详解】函数 , 求导得 ,再次求导得 , 对于A,当 时, ,有 ,函数 在 上单调递增,A正确; 对于 B,当 时, ,有 ,函数 在 2023-2024学年度高三第一学月七校联考数学答案 第1页 共6页 学科网(北京)股份有限公司上单调递增, 而 ,则 使得 , 当 时, ,当 时, ,因此 在 上递减,在 上递增, 由 选 项 A 知 , 在 上 递 增 , 又 ,则 , 使得 ,因此函数 在 上有两个零点,B正确; 对于C,对 恒有 ,由选项B知, , 则有 ,由 得: , , 令 , , 函数 在 上单调递减, ,又 , 则有 ,因此整数 的最大值为 ,C不正确; 对 于 D , 当 时 , 令 , 则 , 函数 在 上递减, ,即 ,函数 在 上递增, ,即 , 令 , , 显然 在 上单调递增,则有函数 在 上单调递增, 2023-2024学年度高三第一学月七校联考数学答案 第2页 共6页 学科网(北京)股份有限公司因此 ,即 ,所以当 时, 成立,D正确. 故选:ABD 16.【详解】由 可得 ,由 ,则 ,则 . 因 为 , 所 以 , 则 ,则 , , 则 ,则 .因为 ,则 ,则 ,当且仅 当 ,即 时取得等号.故 ,面积最大值为 . 解答题 17.(1) , , , , 或 , (2)无论选①还是选②还是选③,均等价于 , ①若 ,则 ,解得 , ②若 ,则 ,解得 , 综上, 2023-2024学年度高三第一学月七校联考数学答案 第3页 共6页 学科网(北京)股份有限公司18. (1)∵ ∴ 的最小正周期 , 由 , ,解得 , , 的单调递增区间为 , ; (2) , , ,则 , , 19.(1)由题设 ,则 , 所以在 上 , 递增,在 上 , 递减, 则 ,极大值 , 综上, 最大值为 ,最小值为 . (2)(法1)根据题意,只需 即可, 2023-2024学年度高三第一学月七校联考数学答案 第4页 共6页 学科网(北京)股份有限公司一方面,由 在 上 , 另一方面,由 且 , 当 时, ,此时 递增且值域为R,所以满足题设; 当 时, 上 , 递增; 上 , 递减; 所以 ,此时 ,可得 , 综上,a的取值范围 . (法2)因为 在 上 , 原问题等价于 使得 成立, 即 使得 成立,即 令 ,则 所以 在区间 上单减,在区间 上单增 所以 ,从而 20.(1)解:因为 ,由正弦定理可得 , 所以, , 因为 ,所以 ,所以 ,因为 ,所以 . (2)解:在△ABC中,因为 , 所以 ,所以 ,解得 或 2023-2024学年度高三第一学月七校联考数学答案 第5页 共6页 学科网(北京)股份有限公司当 时, ,则 为钝角,不符合题意, 当 时, ,则 为锐角,合乎题意,故 , 因为 为 的中点,则 , 所以, ,故 . 21.(1) (2) , 当且仅当 时取等,所以当广告促销费用定为2.5万元的时候,该产品利 润最大,为15.5万元 22. (1)先作换底变换: .则 , 当 时 ,则 ,而 , 则切线方程为 ,即 .....................(4分:注,如 2023-2024学年度高三第一学月七校联考数学答案 第6页 共6页 学科网(北京)股份有限公司果没作换底求对了也给分,导数求对给1分,斜率算对1分,函数值求对给1分,方程求对给1 分) (2)由(1)知 ,分母不影响符号,故只研究分 子 的 变 化 情 况 . 设 , 则 . ..............(1分) 第一种情形,若 ,则 ,而 ,则 在 上恒成立,则 在 上单调递增,又因为当 时, ,则 在 上恒成立, 即 在 上恒成立,则 在 上单调递增,则 在定义域内无极值点. .....................(1分) 第二种情形,若 ,令 得 ,易知 在 单调递减,当 时, , 单调递增,当 时, , 单调递减. 而 ,又因为当 时, , 当 时 , , 则 存 在 唯 一 的 实 数 , 使 得 当 时, , , 单调递增,当 时, , , 2023-2024学年度高三第一学月七校联考数学答案 第7页 共6页 学科网(北京)股份有限公司单 调 递 减 , 则 为 函 数 的 极 大 值 点 , 所 以 的 取 值 范 围 为 . .........................(3分) 由前面的分析知 的极大值点 满足方程 , 而 , 则 , 当且仅当 时取等号,此时 .故 成立. ..................(3分) (注:如果学生分离参数解决,求 的范围正确给3分,证明不等式正确给5分,具体细则自 行决定,其他情况请酌情给分。) 2023-2024学年度高三第一学月七校联考数学答案 第8页 共6页 学科网(北京)股份有限公司