当前位置:首页>文档>黄金卷04(理科)(参考答案)-赢在高考·黄金8卷备战2024年高考数学模拟卷(全国卷专用)_2024高考押题卷_92024赢在高考全系列

黄金卷04(理科)(参考答案)-赢在高考·黄金8卷备战2024年高考数学模拟卷(全国卷专用)_2024高考押题卷_92024赢在高考全系列

  • 2026-03-23 16:12:49 2026-02-14 03:08:22

文档预览

黄金卷04(理科)(参考答案)-赢在高考·黄金8卷备战2024年高考数学模拟卷(全国卷专用)_2024高考押题卷_92024赢在高考全系列
黄金卷04(理科)(参考答案)-赢在高考·黄金8卷备战2024年高考数学模拟卷(全国卷专用)_2024高考押题卷_92024赢在高考全系列
黄金卷04(理科)(参考答案)-赢在高考·黄金8卷备战2024年高考数学模拟卷(全国卷专用)_2024高考押题卷_92024赢在高考全系列
黄金卷04(理科)(参考答案)-赢在高考·黄金8卷备战2024年高考数学模拟卷(全国卷专用)_2024高考押题卷_92024赢在高考全系列
黄金卷04(理科)(参考答案)-赢在高考·黄金8卷备战2024年高考数学模拟卷(全国卷专用)_2024高考押题卷_92024赢在高考全系列
黄金卷04(理科)(参考答案)-赢在高考·黄金8卷备战2024年高考数学模拟卷(全国卷专用)_2024高考押题卷_92024赢在高考全系列
黄金卷04(理科)(参考答案)-赢在高考·黄金8卷备战2024年高考数学模拟卷(全国卷专用)_2024高考押题卷_92024赢在高考全系列
黄金卷04(理科)(参考答案)-赢在高考·黄金8卷备战2024年高考数学模拟卷(全国卷专用)_2024高考押题卷_92024赢在高考全系列
黄金卷04(理科)(参考答案)-赢在高考·黄金8卷备战2024年高考数学模拟卷(全国卷专用)_2024高考押题卷_92024赢在高考全系列
黄金卷04(理科)(参考答案)-赢在高考·黄金8卷备战2024年高考数学模拟卷(全国卷专用)_2024高考押题卷_92024赢在高考全系列
黄金卷04(理科)(参考答案)-赢在高考·黄金8卷备战2024年高考数学模拟卷(全国卷专用)_2024高考押题卷_92024赢在高考全系列
黄金卷04(理科)(参考答案)-赢在高考·黄金8卷备战2024年高考数学模拟卷(全国卷专用)_2024高考押题卷_92024赢在高考全系列

文档信息

文档格式
docx
文档大小
0.433 MB
文档页数
8 页
上传时间
2026-02-14 03:08:22

文档内容

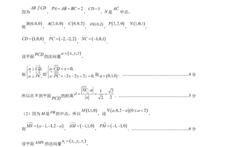
【赢在高考·黄金8卷】备战2024年高考数学模拟卷(全国卷专用) 黄金卷04 (考试时间:120分钟 试卷满分:150分) 第 I 卷(选择题) 一、选择题:本大题共12小题,每小题5分,共60分.在每小题给出的四个选项中,只有一项是符合题 目要求的. 1 2 3 4 5 6 7 8 9 10 11 12 C A C D C C B D D D C D 第 II 卷(非选择题) 二、填空题:本大题共4小题,每小题5分,共20分 13. 14.4 15. 16. 三、解答题:本大题共70分.解答应写出文字说明、证明过程或演算步骤.第17~21题为必考题,每个试 题考生都必须作答.第22、23题为选考题,考生根据要求作答. (一)必考题:共60分. 17.【详解】(1)由题意得 , ,......................................1分 则 ,........................................3分 所以 是首项 ,公差为1的等差数列. ...................................................................5分 (2)由(1)得 ,则 ,.......................................................7分 当 为偶数时, ..............................................................................9分当 为奇数时, 为偶数, 则 .......................................................................11分 综上, .....................................................................................................................12分 18.【详解】(1)由频率分布直方图,得 . 2分 .........4分 (2)(i)由(1)可知 , ,.....................................................................5分 所以 , ,...........................................................6分 显然抽查中的零件指标 ,故需停止生产并检查设备.................................................7分 (ii)抽测一个零件关键指标在 之内的概率为 , 所以抽测一个零件关键指标在 之外的概率为 , 故 ,.........................................................................................................................9分 所以 ,..................................................11分 X的数学期望 ........................................................................................12分 19.【详解】(1)因为 平面 , 平面 ,所以 , . 在平面 内作 ,又 ,所以 两两垂直,......................................1分 以B为坐标原点建立如图所示的空间直角坐标系.............................................................................................................2分 因为 , , ,N是 中点, 则 , , , , , , , , . 设平面 的法向量 , 则 即 取 .................................................................4分 所以点N到平面 的距离 ....................................................................5分 (2)因为M是 的中点,所以 ,设 , 则 , , ........................................................6分 设平面 的法向量 , 则 即 取 ............................................7分 设平面 的法向量 , 则 即 取 ...............................9分设二面角 的大小为 ,则 . 设 ,因为二面角 的正弦值为 , 所以 ,解得 ,此时 ,..........................................................................11分 所以 ........................................................................................................................................12分 20.【详解】(1)依题意可得 ,可设 , , 由 ,消去 整理得 ,............................................2分 , , , , ,.......................................................................................................................4分 所以 ,解得 或 (舍去), 所以 ...............................................................................................................................................4分 (2)由(1)知 , , 若直线 斜率存在,则 , 直线 ,由 得 ,又点 在线段 上,.......................................................5分 所以 ,即 ,又 , ,...............................................................................................................7分 设 ,则 , ; 当 时, 为定值,此时 ,则 ,此时 在定直线 上; 当 时, 不为定值,不合题意;.............................................................................9分 若直线 斜率不存在,由椭圆和圆的对称性,不妨设 ,从而有 , , 此时 ,则直线 , 设 ,则 , , , 则 时, ,满足题意;..............................................................................................11分 综上所述:当 为定值,点 在定直线 上................................................................12分21.【详解】(1)因为 ,所以 ,......................................1分 当 时, ,函数 在 上单调递增;...................................................2分 当 时,由 ,得 , 函数 在区间 上单调递增, 由 ,得 ,函数 在区间 上单调递减........4分 (2)要证 ,即证 , 即证 ,...........................................................................5分 设 , 故 在 上单调递增,又 ,所以 , 又因为 ,所以 , 所以 ,...................................................................7分 ①当 时,因为 ,所以 ;............................8分 ②当 时,令 ,则 , 设 ,则 ,设 ,则 ,因为 ,所以 , 所以 即 在 上单调递增,..........................................................................................10分 所以 ,所以 在 上单调递增, 所以 ,即 , 所以 在 上单调递增, , 即 . 综上可知,当 时, , 即 ........................................................................................................................12分 (二)选考题:共10分.请考生在22、23题中任选一题作答,如果多做,则按所做的第一题计分. 选修4-4:坐标系与参数方程 22.【详解】(1)将 代入 得 , 所以 ,所以射线l的极坐标方程为 ,.................................................................2分 将 代入 得 , 所以曲线C的极坐标方程为 ;....................................................................................4分 (2)由题可知,可以设 , ,..............................................................................5分 则 , ,...............................................................................7分 所以 ,.............................................................................................................................8分 所以 ................................................................................................................10分 选修4-5:不等式选讲23.【详解】(1)由题知,当 时,原不等式即 , 当 时,不等式为 ,解得 ;.............................................................1分 当 时,不等式为 ,恒成立;...................................................................2分 当 时,不等式为 ,解得 ,........................................................................3分 综上,不等式 的解集为 ;..................................................................................5分 (2)因为 ,...........................................................................7分 当且仅当 时不等式取等号,即 , 所以 ,解得 ,..........................................................................................9分 所以 的取值范围是 .........................................................................................10分