当前位置:首页>文档>2022-2023学年生物人教版新教材选择性必修2课时素养练:第2章第3节 群落的演替_E015高中全科试卷_生物试题_选修2_2.同步练习_3.课时素养练(第三套)

2022-2023学年生物人教版新教材选择性必修2课时素养练:第2章第3节 群落的演替_E015高中全科试卷_生物试题_选修2_2.同步练习_3.课时素养练(第三套)

  • 2026-04-01 13:49:12 2026-02-14 22:43:07

文档预览

2022-2023学年生物人教版新教材选择性必修2课时素养练:第2章第3节 群落的演替_E015高中全科试卷_生物试题_选修2_2.同步练习_3.课时素养练(第三套)
2022-2023学年生物人教版新教材选择性必修2课时素养练:第2章第3节 群落的演替_E015高中全科试卷_生物试题_选修2_2.同步练习_3.课时素养练(第三套)
2022-2023学年生物人教版新教材选择性必修2课时素养练:第2章第3节 群落的演替_E015高中全科试卷_生物试题_选修2_2.同步练习_3.课时素养练(第三套)
2022-2023学年生物人教版新教材选择性必修2课时素养练:第2章第3节 群落的演替_E015高中全科试卷_生物试题_选修2_2.同步练习_3.课时素养练(第三套)
2022-2023学年生物人教版新教材选择性必修2课时素养练:第2章第3节 群落的演替_E015高中全科试卷_生物试题_选修2_2.同步练习_3.课时素养练(第三套)
2022-2023学年生物人教版新教材选择性必修2课时素养练:第2章第3节 群落的演替_E015高中全科试卷_生物试题_选修2_2.同步练习_3.课时素养练(第三套)
2022-2023学年生物人教版新教材选择性必修2课时素养练:第2章第3节 群落的演替_E015高中全科试卷_生物试题_选修2_2.同步练习_3.课时素养练(第三套)
2022-2023学年生物人教版新教材选择性必修2课时素养练:第2章第3节 群落的演替_E015高中全科试卷_生物试题_选修2_2.同步练习_3.课时素养练(第三套)
2022-2023学年生物人教版新教材选择性必修2课时素养练:第2章第3节 群落的演替_E015高中全科试卷_生物试题_选修2_2.同步练习_3.课时素养练(第三套)
2022-2023学年生物人教版新教材选择性必修2课时素养练:第2章第3节 群落的演替_E015高中全科试卷_生物试题_选修2_2.同步练习_3.课时素养练(第三套)
2022-2023学年生物人教版新教材选择性必修2课时素养练:第2章第3节 群落的演替_E015高中全科试卷_生物试题_选修2_2.同步练习_3.课时素养练(第三套)
2022-2023学年生物人教版新教材选择性必修2课时素养练:第2章第3节 群落的演替_E015高中全科试卷_生物试题_选修2_2.同步练习_3.课时素养练(第三套)
2022-2023学年生物人教版新教材选择性必修2课时素养练:第2章第3节 群落的演替_E015高中全科试卷_生物试题_选修2_2.同步练习_3.课时素养练(第三套)
2022-2023学年生物人教版新教材选择性必修2课时素养练:第2章第3节 群落的演替_E015高中全科试卷_生物试题_选修2_2.同步练习_3.课时素养练(第三套)
2022-2023学年生物人教版新教材选择性必修2课时素养练:第2章第3节 群落的演替_E015高中全科试卷_生物试题_选修2_2.同步练习_3.课时素养练(第三套)
2022-2023学年生物人教版新教材选择性必修2课时素养练:第2章第3节 群落的演替_E015高中全科试卷_生物试题_选修2_2.同步练习_3.课时素养练(第三套)
2022-2023学年生物人教版新教材选择性必修2课时素养练:第2章第3节 群落的演替_E015高中全科试卷_生物试题_选修2_2.同步练习_3.课时素养练(第三套)
2022-2023学年生物人教版新教材选择性必修2课时素养练:第2章第3节 群落的演替_E015高中全科试卷_生物试题_选修2_2.同步练习_3.课时素养练(第三套)
2022-2023学年生物人教版新教材选择性必修2课时素养练:第2章第3节 群落的演替_E015高中全科试卷_生物试题_选修2_2.同步练习_3.课时素养练(第三套)

文档信息

文档格式
docx
文档大小
0.291 MB
文档页数
19 页
上传时间
2026-02-14 22:43:07

文档内容

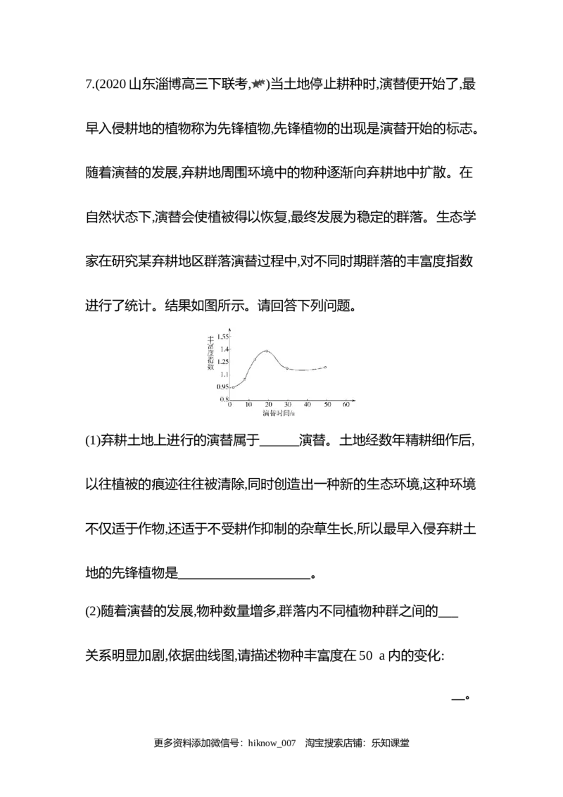
第 3 节 群落的演替 基础过关练 题组一 理解群落演替的概念和类型 1.(2020湖南郴州高二上期末)下列有关群落演替的叙述,错误的是( ) A.演替就是随着时间的推移,一个种群被另一个种群取代的过程 B.从裸岩阶段发展成森林阶段的演替,属于初生演替 C.火灾过后的草原上进行的演替是次生演替 D.人类的活动往往影响群落演替的速度和方向 2.(2020河北唐山高二上期末改编)“荒漠中的沙丘→草地→灌木→树 林”过程为我国某地的荒漠经多年治理的变化情况,下列相关叙述正 确的是( ) A.该演替过程为群落的次生演替 B.演替过程中群落的水平结构不变 C.灌木阶段草本植物被灌木完全取代 D.乔木阶段垂直结构比灌木阶段更复杂 更多资料添加微信号:hiknow_007 淘宝搜索店铺:乐知课堂3.(2020山东泰安高三下联考改编)某农田弃耕一段时间后,逐渐出现 杂草、灌木及小型动物。下列有关叙述正确的是( ) A.由于灌木丛较高,灌木遮挡草本植物,导致群落对光的利用率减少 B.经过漫长的演替过程,该地必然能形成森林群落 C.群落演替过程中,各影响因素常处于动态变化过程中,适应变化的种 群数量增长或维持,不适应变化的种群数量减少甚至被淘汰 D.为加速群落演替,可构建人工林以缩短演替时间,这对提高物种丰富 度有积极作用 4.(2020黑龙江大庆中学高二上期末改编)下列哪项不是自然群落演替 的一般趋势( ) A.生物种类增多 B.种间关系越来越复杂 C.有些物种可能灭绝 D.土壤中的有机物越来越少 5.下列有关自然群落演替的说法错误的是( ) 更多资料添加微信号:hiknow_007 淘宝搜索店铺:乐知课堂A.初生演替的速度慢,趋向形成新群落,次生演替的速度快,趋向于恢 复原来的群落 B.无论初生演替还是次生演替,都是从结构简单的群落发展为结构复 杂的群落 C.生物的迁入、迁出和群落内部种群的相互关系均是影响群落演替 的因素 D.群落演替到相对稳定的状态后群落结构不再变化 6.(2019河北辛集中学高二期中改编)有关生物群落演替的叙述正确的 是( ) 易错 A.演替是群落结构发生变化的现象 B.人类活动能决定演替的方向和速度 C.裸岩→地衣→苔藓→草本植物→灌木→乔木五个阶段为初生演替 的必经过程 D.群落的结构受到干扰或破坏,才会出现群落的演替 7.(2020江西赣州高二下检测)乱石窑裸地上的群落演替过程如图所示。 据图分析正确的是( ) 更多资料添加微信号:hiknow_007 淘宝搜索店铺:乐知课堂A.乱石窑裸地与人工砍伐后的阔叶林上发生的演替种类相同 B.相同群落发生的群落演替演变成的群落类型不一定相同 C.杂木群落的物种丰富度大于阔叶林群落 D.演替的最终平衡状态取决于人类活动 8.根据群落演替的理论,在光裸的岩地上经过一定的时间,最终可能会 演替出森林。请据此回答问题: (1)光裸的岩地上最终演替出森林,其过程大致是裸岩阶段→ →苔藓阶段→ → →乔木阶段。 (2)地衣首先在裸岩上定居,同时,地衣分泌的 腐蚀了坚 硬的岩石表面,加速岩石风化形成 的过程。于是,土壤颗粒和 有机物逐渐增多。 (3)各种昆虫及其他小动物开始进入生物群落的阶段是 。 更多资料添加微信号:hiknow_007 淘宝搜索店铺:乐知课堂(4)地衣阶段与苔藓阶段相比,土壤中的有机物含量较多的是 ,微生物种类较多的是 。 (5)在以下演替的各阶段中,所需时间最长的是 ,所需时间最短 的是 。 A.地衣阶段到苔藓阶段 B.草本植物阶段到灌木阶段 C.灌木阶段到乔木阶段 题组二 认识人类活动对群落演替的影响 9.(2020天津六校联考)如图a~f表示10万年前某水体演替的过程示 意图,但近5万年以来,该地区由于气候越来越干燥,森林逐渐被灌木丛 取代;尤其是近50年来,由于人类过度开垦,导致局部灌木丛出现了荒 漠化。下列有关叙述不正确的是( ) 更多资料添加微信号:hiknow_007 淘宝搜索店铺:乐知课堂A.图中a~f演替过程属于初生演替,该演替过程所需的时间较长 B.在f阶段将树木砍伐,重新演替到f阶段所需的时间较图过程短 C.近50年来,人类的活动改变了演替的方向 D.近50年来,人类的活动改变了演替的速度 10.(原创)关于群落演替的说法错误的是( ) A.群落演替的结果往往是由环境和群落内的生物共同作用而决定的 B.自然界的群落演替是普遍的,没有规律可循 C.演替过程只要不遭到人类的破坏和各种自然力的干扰,其总的趋势 是物种多样性增加 D.人类活动对演替的影响有时超过其他自然因素对演替的影响 更多资料添加微信号:hiknow_007 淘宝搜索店铺:乐知课堂11.(2019福建三明高二下期末)某岛屿由海底火山喷发形成,现已成为 旅游胜地,岛上植被茂盛、风景优美。下列叙述正确的是( ) 易错 A.次生演替的速度比初生演替的速度慢 B.该演替为次生演替,且发生在海底火山喷发形成岛屿后 C.演替达到相对稳定的阶段后,群落内物种组成不再变化 D.海岛旅游可能使岛上的群落演替按照不同于自然演替的速度进行 题组三 认识退耕还林、还草、还湖 12.(2019福建“百校联考”高三期末改编)“退耕还林、退耕还草、退 耕还湖”是实现“绿水青山就是金山银山”的重要生态工程。如表 是某地退耕还林后的植被变化,请据表分析说法错误的是( ) 演替时间(年) 优势物种 主要物种 草本植物:荻、艾蒿、黄背草、 5 荻 苔草等 10 牡荆 灌木:牡荆、杠柳、酸枣等 20 刺槐 乔木:刺槐、黄连木、构树 A.退耕之后的农田发生的演替为次生演替,由于保留了原有土壤条件, 演替速度快于冰川泥上发生的演替 B.退耕还林、还草、还湖说明群落的演替规律是不可改变的 更多资料添加微信号:hiknow_007 淘宝搜索店铺:乐知课堂C.退耕农田先后经历了草本植物、灌木和乔木阶段,垂直方向上出现 了明显的分层现象,提高了利用阳光等环境资源的能力 D.“退耕还林、退耕还草、退耕还湖”是人类活动对群落演替产生的 积极影响 13.(2020四川广安高二上期末改编)“退耕还林”是实现“绿水青山就 是金山银山”的重要措施之一。下图是科研人员对某地不同退耕年 限植物群落的物种数目变化的调查结果,请分析作答: (1)在演替过程中,群落的 发生了较大的变化,这是区分不同 群落的重要特征。 (2)发生在退耕地上的演替为 ,其演替速度快的原因是 。 更多资料添加微信号:hiknow_007 淘宝搜索店铺:乐知课堂(3)该群落在演替的过程中,决定植物优势种变化的主要环境因素是 ,而决定动物优势种变化的主要因素是 。 (4)如果第2年在该地区人为种植一些灌木和乔木,并加以保护,则草本 植物的丰富度达到最大的时间将 (填“不发生变化” “提前”或“推后”)。与自然演替相比,退耕还林与禁牧使得该山区 群落的演替速度 (填“变快”或“变慢”),这说明人类活 动 。 能力提升练 题组一 掌握演替的类型和特点 1.(2020山东青岛胶州高二上期末改编, )某山区实施退耕还林之后, 经数十年的演替最终发展为森林,其中物种甲、乙、丙的光合速率受 光照强度的影响如图所示,下列说法正确的是( ) 更多资料添加微信号:hiknow_007 淘宝搜索店铺:乐知课堂A.物种甲、乙、丙最先定居的物种可能是甲 B.植物群落在垂直结构上的分布自下而上依次为甲、乙、丙 C.习性相似物种的生活区域重叠得越多,对资源的利用越充分 D.演替过程中物种丰富度逐渐增加 2.(不定项)(2020山东济南一中高二期中改编, )如图表示弃耕农田 的群落演替情况,相关叙述不合理的是( ) A.群落的演替顺序就是生物进化的顺序 B.b阶段存在群落的水平结构,不存在垂直结构 C.从演替的过程可以看出,群落的演替就是指植物的演替 D.b阶段为c阶段的群落形成创造了适宜环境 3.(2020中国人民大学附中高三上月考, )在由裸岩向森林的初生演 替过程中,地衣和苔藓植物群落延续的时间最长,草本植物群落演替速 更多资料添加微信号:hiknow_007 淘宝搜索店铺:乐知课堂度最快,乔木群落演替的速度又逐渐减慢。下列相关叙述不正确的是( ) A.地衣和苔藓植物群落演替速度最慢是因为土壤的形成和积累需要 漫长的时间 B.在草本植物群落演替过程中,多年生植物逐渐取代了一年生或二年 生植物 C.乔木群落演替速度较慢是因为乔木生长周期较长 D.不同地区的群落演替达到稳定的群落时均是森林群落 题组二 辨析人类活动及其他因素对群落演替的影响 4.(原创)下列有关群落演替的叙述,正确的是( ) A.建立人工群落对群落的演替会产生不利影响 B.自然群落的演替导致种间关系越来越简单 C.砍伐森林可以在短期内改变森林群落中的物种组成和丰富度,进而 改变群落演替的方向 D.人类活动可以任意对生物与环境的相互关系加以控制 5.(原创)( )下列有关影响群落演替的因素叙述错误的是( ) 更多资料添加微信号:hiknow_007 淘宝搜索店铺:乐知课堂A.人类可以对群落演替起促进、抑制、改造和建设作用 B.生物本身不断进行繁殖、迁徙会影响群落的演替 C.种间关系会影响群落演替,种内关系则不会影响群落演替 D.决定群落演替的根本原因存在于群落内部,环境变化也是影响演替 的重要条件 题组三 群落演替的综合 6.(2020四川攀枝花高二上期末, )群落的演替可分为初生演替和次 生演替,以P代表群落的总生产量,以R代表群落的总呼吸量,下列有 关说法中正确的是( ) A.P/R可以作为表示群落演替方向的一个优良指标 B.群落结构受到干扰或破坏不会影响该群落演替的原有方向和速度 C.火灾后的森林依次出现杂草、灌木林、乔木林,先发生初生演替,后 发生次生演替 D.当P/R接近或等于1时,说明群落中的有机物收支平衡,群落演替不 再进行 更多资料添加微信号:hiknow_007 淘宝搜索店铺:乐知课堂7.(2020山东淄博高三下联考, )当土地停止耕种时,演替便开始了,最 早入侵耕地的植物称为先锋植物,先锋植物的出现是演替开始的标志。 随着演替的发展,弃耕地周围环境中的物种逐渐向弃耕地中扩散。在 自然状态下,演替会使植被得以恢复,最终发展为稳定的群落。生态学 家在研究某弃耕地区群落演替过程中,对不同时期群落的丰富度指数 进行了统计。结果如图所示。请回答下列问题。 (1)弃耕土地上进行的演替属于 演替。土地经数年精耕细作后, 以往植被的痕迹往往被清除,同时创造出一种新的生态环境,这种环境 不仅适于作物,还适于不受耕作抑制的杂草生长,所以最早入侵弃耕土 地的先锋植物是 。 (2)随着演替的发展,物种数量增多,群落内不同植物种群之间的 关系明显加剧,依据曲线图,请描述物种丰富度在50 a内的变化: 。 更多资料添加微信号:hiknow_007 淘宝搜索店铺:乐知课堂(3)经调查研究发现,群落中有一部分植物能在自然条件下无性繁殖,属 于克隆植物。在群落演替的中后期,这些克隆植物占据优势地位,与大 部分非克隆植物相比,克隆植物能通过分株之间的连接物实现资源共 享,有效地提高了克隆植物的环境适应能力,这种现象叫生理整合。请 据此推测群落演替过程中物种丰富度曲线下降的原因: 。 第3节 群落的演替 基础过关练 1.A 2.D 3.C 4.D 5.D 6.A 7.B 9.C 10.B 11.D 12.B 1.A 群落演替是指随着时间的推移,一个群落被另一个群落代替的过程,A错误;从裸岩阶段 发展成森林阶段的演替,属于初生演替,B正确;火灾过后的草原基本保留原有土壤条件,甚至 还保留了植物的种子或其他繁殖体,所以火灾过后的草原上进行的演替是次生演替,C正确; 人类活动往往会使群落演替按照不同于自然演替的速度和方向进行,D正确。 2.D 发生在沙丘上的演替为初生演替,A错误;演替过程中群落的水平结构不断发生改变,B 错误;灌木比草本植物更为高大,因而能获得更多的阳光,在竞争中占优势,所以灌木逐渐取代 草本植物的优势地位,而草本植物仍然存在,C错误;乔木阶段上层为乔木,中层为灌木,下层为 草本植物,其垂直结构比灌木阶段更复杂,D正确。 更多资料添加微信号:hiknow_007 淘宝搜索店铺:乐知课堂3.C 随着草本植物阶段演替至灌木阶段,群落结构变得复杂,所以群落对光的利用率增加,A 错误;除演替时间外,该农田能否演替至森林阶段还取决于环境,如果是在干旱的地方,很难演 替至森林阶段,或许只能演替至草本植物阶段或者灌木阶段,B错误;群落演替过程中,由于群 落内部种群相互关系的发展变化等,所以各影响因素常处于动态变化中,适应变化的种群数量 增长或维持,不适应变化的种群数量减少甚至被淘汰,C正确;人工林生物种类简单,不利于提 高物种丰富度,D错误。 4.D 群落演替一般是从结构简单的群落发展成结构复杂的群落,群落中的物种数量和群落 层次增多。在自然群落演替中,土壤中的有机物越来越丰富,群落中物种丰富度(生物种类)逐 渐加大,食物网(种间关系)越来越复杂,A、B不符合题意,D符合题意;有些物种可能灭绝,是因 为不适应环境的生物被适应性更强的生物彻底代替,C不符合题意。 5.D 初生演替速度慢,趋向形成新群落,经历的阶段相对较多;次生演替速度快,趋向于恢复原 来的群落,经历的阶段相对较少,A正确。在自然群落演替中,无论初生演替还是次生演替,随 着物种丰富度增加,群落结构越来越复杂,B正确。影响自然群落演替的因素有群落外界环境 的变化,生物的迁入、迁出,群落内部种群相互关系的发展变化等,C正确。自然群落演替最 终都会达到一个与群落所处环境相适应的相对稳定的状态,但并不是一个绝对稳定的状态,群 落结构还会随气候变化等因素发生改变,D错误。 6.A 随着时间的推移,一个群落被另一个群落代替的过程为群落演替,故演替是群落结构发 生变化的现象,A正确;人类活动往往能影响演替的方向和速度,但不能决定,B错误;初生演替 的初始条件不同,不一定从裸岩开始,另外,只有在气候条件等适宜的情况下,群落才会演替到 乔木阶段,有的群落只能发展到草本植物阶段或稀疏的灌木阶段,C错误;在群落的结构没有 受到干扰和破坏时,也可能发生群落演替,D错误。 陷阱分析 ①人类活动往往能影响演替的方向和速度,但不能决定演替的方向和速度。 ②裸岩→地衣→苔藓→草本植物→灌木→乔木五个阶段并不是初生演替的必经阶段。 7.B 在乱石窑裸地上发生的演替为初生演替,人工砍伐后的阔叶林有土壤、植被条件,发生 的演替是次生演替,A错误;由题图分析,杂木群落在山坡地带和凹谷地带由于环境因素不同, 演变成的群落类型不同,B正确;杂木群落向阔叶林群落演替过程中物种丰富度增加,因此杂 木群落物种丰富度比阔叶林群落小,C错误;演替的平衡状态往往是由环境和群落内的生物共 同决定的,而不取决于人类活动,人类活动只能影响群落演替的方向和速度,D错误。 更多资料添加微信号:hiknow_007 淘宝搜索店铺:乐知课堂8.答案 (1)地衣阶段 草本植物阶段 灌木阶段 (2)有机酸 土壤 (3)草本植物阶段 (4) 苔藓阶段 苔藓阶段 (5)A B 解析 (1)光裸的岩地上最终演替出森林,属于初生演替,其过程大致是裸岩阶段→地衣阶段 →苔藓阶段→草本植物阶段→灌木阶段→乔木阶段。(2)地衣首先在裸岩上定居,地衣分泌的 有机酸腐蚀了坚硬的岩石表面,加速了岩石风化形成土壤的过程。(3)经过苔藓阶段,在土壤 能保持一定水分时,草本植物的种子就能够萌发生长。竞争的结果是较高的草本植物逐渐占 据了优势。这时各种昆虫和其他小动物开始进入这个地区。所以各种昆虫及其他小动物开 始进入生物群落的阶段是草本植物阶段。(4)在地衣开拓的基础上,苔藓便能生长起来,苔藓 的生长会进一步使岩石分解,土层加厚,有机物增多,土壤中微生物的种类也越来越丰富。故 苔藓阶段与地衣阶段相比,土壤中的有机物含量较多的是苔藓阶段,微生物种类较多的也是苔 藓阶段。(5)以裸岩为基质进行初生演替时,只有地衣和苔藓可以依附在裸岩上,并通过分泌 有机酸将岩石慢慢分解,形成土壤颗粒,再混以地衣、苔藓死亡后的有机质而逐渐成为土壤, 有了土壤,草本植物才能够出现,故过程非常缓慢。草本植物阶段土壤中有机物较丰富,通气 性好,为灌木生长提供良好的条件,故过程相对较快。乔木是指树身高大的树木,需要的土壤 层相对较厚,需要的水等资源也比较多,而且乔木种子迁入后长成乔木需要的时间比较长,因 此由灌木阶段到乔木阶段需要的时间相对草本植物阶段到灌木阶段长一些。 9.C 由题图可知,该演替过程的起点是原生裸地,故图中a~f演替过程属于初生演替,该演替 过程所需的时间较长,A正确;在f阶段将树木砍伐,重新演替到f阶段属于次生演替,则所需的 时间较题图过程短,B正确;根据题意可知,该地区气候越来越干燥,无论是否有人类活动,该树 林都会退化为荒漠,说明人类的活动没有改变演替的方向,人类活动只是加快了荒漠化的进程, 因此人类活动改变了演替的速度,C错误,D正确。 10.B 演替是生物和环境反复相互作用而发生的群落变化,因此演替的结果往往是由环境和 群落内的生物共同作用而决定的,A正确;在自然界,群落的演替是普遍现象,而且有一定的规 律,人类掌握了这些规律就能根据现有情况预测群落的未来,从而正确掌握群落的动向,B错 误;演替过程在自然状态下的总趋势是物种多样性增加,C正确;人类活动对群落演替有一定 的影响,有时会超过其他自然因素的影响,例如,过度放牧导致土地荒漠化等,D正确。 11.D 次生演替具有原有土壤条件等,因此演替的速度比初生演替的速度快,A错误;由题意 知,该岛屿由海底火山喷发形成,所以后来出现的植被应该是漫长的初生演替的结果,B错误; 演替达到相对稳定的阶段后,由于自然环境的变化、人类活动的影响等,群落内物种组成会发 更多资料添加微信号:hiknow_007 淘宝搜索店铺:乐知课堂生变化,C错误;人类的许多活动影响着群落的演替,往往使群落演替按照不同于自然演替的 速度进行,D正确。 易错警示 群落稳定≠物种组成不再变化,由于自然环境的变化、人类活动的影响等,群落内物种组成会 发生变化。 12.B 由于保留了原有土壤条件等,退耕之后的农田发生的演替为次生演替,而冰川泥上发生 的演替属于初生演替,故退耕之后的农田发生的演替速度快于冰川泥上发生的演替,A正确; 退耕还林、还草、还湖说明群落的演替规律是可以改变的,B错误;据题表可知,退耕农田先 后经历了草本植物、灌木和乔木阶段,群落垂直结构越来越复杂,显著提高了植物利用阳光等 环境资源的能力,C正确;“退耕还林、退耕还草、退耕还湖”有利于改善环境,是人类活动对 群落演替产生的积极影响,D正确。 13.答案 (1)物种组成 (2)次生演替 保留了原有土壤条件,甚至还保留了植物的种子或其 他繁殖体 (3)光照 食物条件 (4)提前 变快 可以改变演替的速度 解析 (1)物种组成是区分不同群落的重要特征。(2)发生在退耕地上的演替属于次生演替, 因为该演替具备原有土壤条件,土壤里甚至还有植物的种子或其他繁殖体,所以演替速度比较 快。(3)发生在退耕地上的群落演替过程中,植物主要竞争阳光,因此影响植物优势种变化的 主要环境因素是光照。动物主要竞争食物,因此决定动物优势种变化的主要因素是食物条件。 (4)如果人为种植一些灌木和乔木,加快了自然演替的速度,则草本植物的丰富度达到最大的 时间与自然演替相比会提前。与自然演替相比,退耕还林与禁牧可以帮助群落重建,使演替速 度加快,说明人类活动可以改变群落演替的速度。 能力提升练 1.D 2.ABC 3.D 4.C 5.C 6.A 1.D 在群落演替过程中,随着优势种的变化,最先定居的物种不再占优势,导致其光合速率下 降,结合题图可知,物种丙随着光照强度的增加,光合速率逐渐下降,因此最先定居的物种可能 是丙,A错误;在强光下,甲光合速率最大,丙最小,因此群落在垂直方向上自下而上依次分布着 丙、乙、甲,B错误;习性相似物种的生活区域重叠得越多,对资源的竞争越激烈,对整体资源 的利用不能达到最优,C错误;演替过程中生物种类增多,物种丰富度逐渐增加,D正确。 2.ABC 进化的基本单位是种群,其方向是由自然选择决定的。生物进化的时间跨度极大,环 境变化异常剧烈,而群落演替是指在当前的环境下,随着时间的推移,一个群落被另一个群落 更多资料添加微信号:hiknow_007 淘宝搜索店铺:乐知课堂代替的过程,A错误;b阶段存在群落的垂直结构和水平结构,B错误;群落的演替是群落内部所 有生物的演替,而不是只指植物的演替,C错误;在群落演替过程中,草本植物阶段在动植物的 共同作用下,土壤有机物越来越丰富,土壤的通气性也越来越好,为灌木阶段群落的形成创造 了适宜环境,D正确。 3.D 地衣和苔藓依附在岩石上,地衣通过分泌有机酸将岩石慢慢分解,形成土壤颗粒,再混以 地衣、苔藓死亡后的有机质而逐渐成为土壤,有了土壤,草本植物才能够出现,故过程非常缓 慢,A正确;多年生植物在生长和繁殖中都比一年生植物占优势,因此在草本植物群落演替过 程中,多年生植物逐渐取代了一年生或二年生植物,B正确;乔木群落演替速度较慢是因为乔 木生长周期较长,C正确;并不是所有群落最终都能演替为森林群落,群落演替还与气候等环 境因素有关,D错误。 4.C 建立人工群落可以使群落朝着物种增多、结构复杂的方向演替,有利于群落的正常发 展,A错误;一般情况下,自然群落的演替会使物种丰富度增加,进而导致种间关系越来越复 杂,B错误;砍伐森林可以在短期内让森林退化成草原甚至是荒漠,进而改变群落演替的方向,C 正确;人类活动往往可以改变生物与环境的部分关系,而不能任意控制,D错误。 5.C 人类可以对群落演替起促进、抑制、改造和建设作用,使之朝着对人类有益的方向发 展,例如退耕还草、还湖工程,A正确;生物本身不断进行繁殖、迁徙会使群落的物种组成和 结构发生变化,从而影响群落的演替,B正确;生物群落的演替往往是群落内部关系(包括种内 和种间关系)与外界环境综合作用的结果,C错误;决定群落演替的根本原因存在于群落内部, 即内因是群落演替的决定因素,群落之外的条件如气候、自然灾害等也是影响演替的重要条 件,D正确。 6.A P/R反映了群落中有机物的净积累量的变化,可以作为表示群落演替方向的一个优良指 标,A正确;若群落的结构受到了干扰或者破坏,群落的演替很有可能受到影响,从而改变群落 演替原有的方向和速度,B错误;火灾后的森林进行的演替为次生演替,C错误;当P/R接近或 等于1时,说明群落中的有机物收支平衡,达到稳定,但这样的群落也是会发生演替的,D错误。 7.答案 (1)次生 不受耕作抑制的杂草(或一年生杂草) (2)竞争 在演替的前20 a内物种 丰富度逐渐升高并达到最大,20~30 a间物种丰富度下降,30 a后物种丰富度达到稳定状态 (3)因为克隆植物有生理整合的特征,克隆植物与非克隆植物相比有很大竞争优势,阻碍了其 他非克隆植物的发展,使得该地区物种丰富度降低 解析 (1)在弃耕土地上发生的演替属于次生演替,根据题中信息可知,弃耕之后,最先生长的 是不受耕作抑制的杂草(一年生杂草)。(2)随着群落演替的发展,物种数量越来越多,不同植物 更多资料添加微信号:hiknow_007 淘宝搜索店铺:乐知课堂种群间竞争关系明显加剧。依据曲线图,物种丰富度在50 a内的变化为在演替的前20 a内 物种丰富度逐渐升高并达到最大,20~30 a间物种丰富度下降,30 a后物种丰富度达到稳定状 态。(3)生理整合特征的存在,使得克隆植物与非克隆植物相比在生长繁殖和利用资源等方面 有很大的优势,从而在群落中逐渐占据优势地位。据此推测群落演替过程中,物种丰富度曲线 下降是因为克隆植物生理整合的特征使其与非克隆植物相比有很大的竞争优势,阻碍了其他 非克隆植物的发展。 更多资料添加微信号:hiknow_007 淘宝搜索店铺:乐知课堂