当前位置:首页>文档>2022-2023学年生物人教版新教材选择性必修2课时素养练:第3章专题强化练3 种群、群落和生态系统的综合_E015高中全科试卷_生物试题_选修2_2.同步练习_3.课时素养练(第三套)

2022-2023学年生物人教版新教材选择性必修2课时素养练:第3章专题强化练3 种群、群落和生态系统的综合_E015高中全科试卷_生物试题_选修2_2.同步练习_3.课时素养练(第三套)

  • 2026-04-08 12:06:06 2026-02-14 22:43:37

文档预览

2022-2023学年生物人教版新教材选择性必修2课时素养练:第3章专题强化练3 种群、群落和生态系统的综合_E015高中全科试卷_生物试题_选修2_2.同步练习_3.课时素养练(第三套)
2022-2023学年生物人教版新教材选择性必修2课时素养练:第3章专题强化练3 种群、群落和生态系统的综合_E015高中全科试卷_生物试题_选修2_2.同步练习_3.课时素养练(第三套)
2022-2023学年生物人教版新教材选择性必修2课时素养练:第3章专题强化练3 种群、群落和生态系统的综合_E015高中全科试卷_生物试题_选修2_2.同步练习_3.课时素养练(第三套)
2022-2023学年生物人教版新教材选择性必修2课时素养练:第3章专题强化练3 种群、群落和生态系统的综合_E015高中全科试卷_生物试题_选修2_2.同步练习_3.课时素养练(第三套)
2022-2023学年生物人教版新教材选择性必修2课时素养练:第3章专题强化练3 种群、群落和生态系统的综合_E015高中全科试卷_生物试题_选修2_2.同步练习_3.课时素养练(第三套)
2022-2023学年生物人教版新教材选择性必修2课时素养练:第3章专题强化练3 种群、群落和生态系统的综合_E015高中全科试卷_生物试题_选修2_2.同步练习_3.课时素养练(第三套)
2022-2023学年生物人教版新教材选择性必修2课时素养练:第3章专题强化练3 种群、群落和生态系统的综合_E015高中全科试卷_生物试题_选修2_2.同步练习_3.课时素养练(第三套)
2022-2023学年生物人教版新教材选择性必修2课时素养练:第3章专题强化练3 种群、群落和生态系统的综合_E015高中全科试卷_生物试题_选修2_2.同步练习_3.课时素养练(第三套)
2022-2023学年生物人教版新教材选择性必修2课时素养练:第3章专题强化练3 种群、群落和生态系统的综合_E015高中全科试卷_生物试题_选修2_2.同步练习_3.课时素养练(第三套)
2022-2023学年生物人教版新教材选择性必修2课时素养练:第3章专题强化练3 种群、群落和生态系统的综合_E015高中全科试卷_生物试题_选修2_2.同步练习_3.课时素养练(第三套)
2022-2023学年生物人教版新教材选择性必修2课时素养练:第3章专题强化练3 种群、群落和生态系统的综合_E015高中全科试卷_生物试题_选修2_2.同步练习_3.课时素养练(第三套)

文档信息

文档格式
docx
文档大小
0.279 MB
文档页数
11 页
上传时间
2026-02-14 22:43:37

文档内容

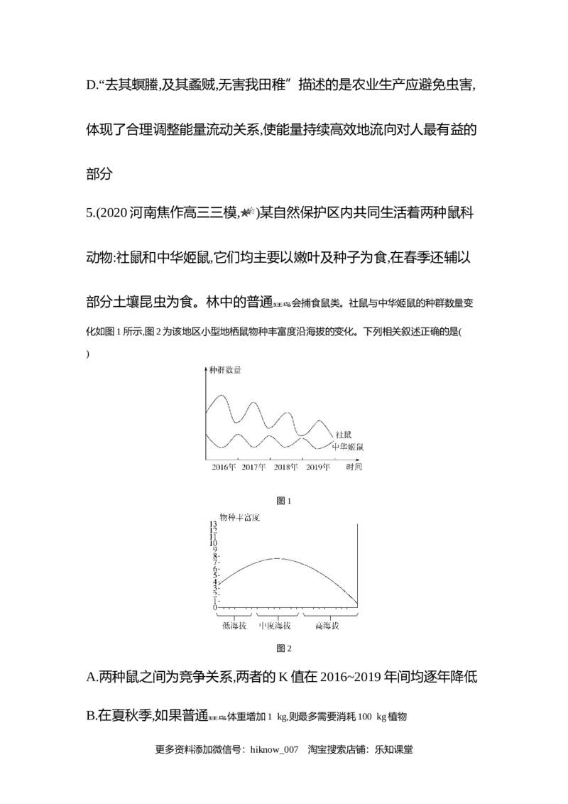
专题强化练 3 种群、群落和生态系统的综合 1.(2020河北张家口高二上期末, )下列关于种群、群落、生态系统 的说法,正确的是( ) A.样方法既可用来调查植物的种群密度又可用来调查植物的物种丰 富度 B.种群水平的研究包括种群的数量特征、空间结构和范围边界 C.果园生态系统养鸡会延长食物链,降低生态系统的稳定性 D.生态系统的物质循环是指组成生物体的化合物在生物群落与非生 物环境间循环的过程 2.(2020安徽省定远中学高二上月考, )下列关于生态学问题的叙述 中错误的是( ) A.大力植树造林是缓解温室效应的重要途径 B.被有机物轻度污染的流动水体中,距排污口越近的水体溶解氧越多 C.当水和土壤被重金属污染时,营养级越高的消费者体内的重金属含 量越高 更多资料添加微信号:hiknow_007 淘宝搜索店铺:乐知课堂D.抵抗力稳定性高的生态系统,恢复力稳定性往往比较低 3.(2019黑龙江哈尔滨六中高二上期中, )稻田生态系统是四川盆地 重要的农田生态系统,卷叶螟和褐飞虱是稻田中的两种主要害虫,拟水 狼蛛是这两种害虫的天敌。下列叙述错误的是( ) A.害虫与拟水狼蛛间的信息传递,有利于维持生态系统的稳定 B.防治稻田害虫,可提高生产者和消费者之间的能量传递效率 C.精耕稻田和弃耕稻田的生物群落,演替的方向和速度有差异 D.用性外激素专一诱捕卷叶螟,短期内褐飞虱种群密度会下降 4.(2020湖北四校联考高二上月考, )中国传统文化中有很多关于农 牧业生产的现象描述和规律总结,下列有关说法错误的是( ) A.“毋覆巢,毋杀孩虫”描述了对野生动物资源利用时,应避免捕杀幼 年个体,这样有利于维持种群正常的性别比例,提高出生率 B.“无田甫田,维莠骄骄”描述的是农田中狗尾草的生长的现象,狗尾 草等杂草与农作物之间是竞争关系 C.“地虽瘠薄,常加粪灰,皆可化为良田”描述的是通过施肥改良农田 的做法,表明生态系统具有物质循环功能 更多资料添加微信号:hiknow_007 淘宝搜索店铺:乐知课堂D.“去其螟螣,及其蟊贼,无害我田稚”描述的是农业生产应避免虫害, 体现了合理调整能量流动关系,使能量持续高效地流向对人最有益的 部分 5.(2020河南焦作高三三模, )某自然保护区内共同生活着两种鼠科 动物:社鼠和中华姬鼠,它们均主要以嫩叶及种子为食,在春季还辅以 部分土壤昆虫为食。林中的普通 会捕食鼠类。社鼠与中华姬鼠的种群数量变 狂鸟 化如图1所示,图2为该地区小型地栖鼠物种丰富度沿海拔的变化。下列相关叙述正确的是( ) 图1 图2 A.两种鼠之间为竞争关系,两者的K值在2016~2019年间均逐年降低 B.在夏秋季,如果普通 体重增加1 kg,则最多需要消耗100 kg植物 狂鸟 更多资料添加微信号:hiknow_007 淘宝搜索店铺:乐知课堂C.中华姬鼠的种群数量达到K值时,种内竞争最激烈,种群的增长速率也最大 D.该地区小型地栖鼠物种丰富度随海拔的升高而逐渐增大,中度海拔种群密度一定大于低海拔 6. (2020福建高二期末, )某稳定的生态系统中,灰线小卷蛾幼虫以落 叶松松针为食,幼虫摄食对松树的代谢活动有一定影响,进而影响下一 年幼虫食物的质和量。幼虫密度与最大松针长度的变化如图所示,下 列叙述正确的是( ) A.可利用标记重捕法调查幼虫的密度 B.幼虫摄食改变了落叶松的物种丰富度 C.幼虫摄食对松针长度的影响具有滞后性 D.该生态系统的自我调节能力很低 7.(2020山东师大附中高二上期末, )下列关于生态系统稳定性说法 错误的是( ) A.在森林中害虫数量增多,食虫鸟数量随之增多,害虫数量就会受到抑 制,这是群落内部负反馈调节 更多资料添加微信号:hiknow_007 淘宝搜索店铺:乐知课堂B.在林业生产上,采用科学合理的间伐,森林依然能够保持持续更新的 能力 C.生态系统的信息传递能够调节生物的种间关系,以维持生态系统的 平衡与稳定 D. 自然界中的群落演替都是朝着抵抗力稳定性增加的方向进 行的 8.(2020广东汕头金山中学高二上期末, )下列与图示相关的叙述正 确的是( ) A.图甲所示为初生演替,群落的演替速度不受人类活动的影响 B.图甲所示群落的演替过程,可以发生在任何陆地区域 C.若图乙表示城市生态系统中的生物量(有机物总量)组成,则流经该 生态系统的总能量几乎全部来自该生态系统中植物固定的太阳能 更多资料添加微信号:hiknow_007 淘宝搜索店铺:乐知课堂D.若图丙表示生态系统的碳循环,则C和E在其中的作用最为关键 9.(2020湖北高二上期末改编, )原产于南美的红火蚁是危害性极大 的外来入侵物种,其食性杂,食物来源包括多种植物、小型动物及腐肉 等。如图表示入侵早期,红火蚁种群出生率和死亡率的关系(①表示 出生率,②表示死亡率)。 (1)在生态系统组成成分中,红火蚁属于 。同一个蚁巢中,不同 形态的红火蚁生活在不同的蚁室, (填“能”或“不能”) 体现群落的空间结构。 (2)在图示的时间段内,红火蚁种群数量呈“ ”形增长,判断依据 是 。 (3)对被红火蚁入侵的原生草地和人工草坪两处群落进行调查,其中人 工草坪受到破坏更明显,原因是 更多资料添加微信号:hiknow_007 淘宝搜索店铺:乐知课堂。这说明红火蚁入侵后,会使当地群落演替的 发生明 显变化。 (4)在适宜温度、湿度等信息因素作用下,蚁后和雄蚁会进行交配产卵, 这说明信息传递能影响 。 10.(2020山西高三月考, )生态系统服务是指通过生态系统的结构、 过程和功能直接或间接得到的生命支持产品和服务,其价值评估是生 态环境保护、生态功能区划、环境经济核算和生态补偿决策的重要 依据和基础。如图1表示8种生态系统的单位面积服务价值,回答下 列问题: 图1 (1)图1中生态系统单位面积服务价值最高的生态系统是 。 图1中自我调节能力最弱的生态系统是 ,原因是该生态系统 。 更多资料添加微信号:hiknow_007 淘宝搜索店铺:乐知课堂(2)海洋生态系统中不同水层分布着不同的生物,这属于群落的 结构,决定这一结构的主要环境因素有 等(答出一点即 可)。 (3)在某草地生态系统中有A、B、C、D 4种生物,在物质循环中二氧 化碳通过生物A进入生物群落,A、C、D均有流向生物B的物质,生 物C和生物D的关系如图2所示且其中一种以A为食,请在图3中补 充完整该生态系统中关于这4种生物的能量流动过程。 图2 图3 专题强化练3 种群、群落和生态系统的综合 1.A 2.B 3.B 4.A 5.B 6.C 7.D 8.D 1.A 样方法可用来调查植物的种群密度及物种丰富度,A正确;空间结构和范围边界是群落 水平研究的问题,B错误;果园生态系统养鸡会延长食物链,增加物种丰富度,提高生态系统的 更多资料添加微信号:hiknow_007 淘宝搜索店铺:乐知课堂稳定性,C错误;生态系统的物质循环是指组成生物体的元素在生物群落与非生物环境间循环 的过程,D错误。 2.B 植树造林,利用绿色植物吸收大气中的二氧化碳,是缓解温室效应的重要途径,A正确;离 排污口越近,有机物越多,微生物也越多,微生物分解有机物产生的无机盐随着水体流向下游, 有利于藻类等生长及光合作用产生氧气,因此距排污口越远的水体溶解氧越多,B错误;重金 属等在生物体内的含量可沿食物链不断升高,因此营养级越高的消费者体内重金属含量越 高,C正确;一般来说,抵抗力稳定性高的生态系统组分多,营养结构复杂,恢复力稳定性往往比 较低,D正确。 3.B 信息传递能够调节生物的种间关系,进而维持生态系统的平衡与稳定,A正确;防治害虫 只能提高能量利用率,使能量朝着有利于人类的方向流动,能量传递效率是不能提高的,B错 误;精耕稻田受到人的影响,其演替方向和速度与弃耕稻田的有差异,C正确;卷叶螟和褐飞虱 是拟水狼蛛的捕食对象,当卷叶螟被性外激素大量诱捕导致其数量下降时,拟水狼蛛通过大量 捕食褐飞虱来维持种群数量,短期内褐飞虱种群密度下降,D正确。 4.A 避免捕杀幼年个体有利于维持种群正常的年龄结构,A错误;杂草与农作物之间竞争阳 光、水分等,是竞争关系,B正确;施肥改良农田,即利用微生物的分解作用将有机肥中的有机 物分解成多种无机盐返回非生物环境,体现了生态系统具有物质循环功能,C正确;农田除虫, 减少流向害虫的能量,使能量持续高效地流向对人最有益的部分,D正确。 5.B 分析图1,社鼠与中华姬鼠之间存在着“此消彼长”的竞争关系。分析图2:在一定范围 内,小型地栖鼠物种丰富度随海拔的升高,逐渐增大,在中度海拔达到最大,海拔进一步升高,物 种丰富度又逐渐降低。据图1分析可知,两种鼠之间为竞争关系,在2016~2019年间社鼠的K 值逐年降低,中华姬鼠的K值保持稳定,A错误;在夏秋季,植物→鼠→普通狂鸟这条食物 链中,如果普通狂鸟体重增加1 kg,最多消耗植物的量应按能量传递效率10%计算,故最 多需要消耗植物=1÷10%÷10%=100(kg),B正确;中华姬鼠的种群数量达到K值时,种内竞争最 激烈,种群的增长速率为0,C错误;分析图2可知,在一定范围内,小型地栖鼠物种丰富度随海 拔的升高逐渐增大,在中度海拔达到最大,海拔进一步升高,物种丰富度逐渐降低,且图中只能 得知物种丰富度的大小,不能判断种群密度大小,D错误。 6.C 幼虫个体小,不易被标记,且活动范围小、活动能力弱,不能用标记重捕法调查其种群密 度,A错误;由题干“灰线小卷蛾幼虫以落叶松松针为食,幼虫摄食对松树的代谢活动有一定 影响”可知,幼虫摄食可能改变了落叶松的种群密度,B错误;从题图中看出,松针长度变化慢 更多资料添加微信号:hiknow_007 淘宝搜索店铺:乐知课堂于幼虫密度变化,因此幼虫摄食对松针长度的影响具有滞后性,C正确;该生态系统处于稳定 状态,自我调节能力强,D错误。 7.D 在森林中,害虫数量增多时食虫鸟的数量也会增多,进而害虫种群的增长受到抑制,最终 两者数量处于动态平衡之中,此现象属于负反馈调节,A正确;科学合理的间伐不会破坏森林 的稳定性,森林依然能够保持持续更新的能力,B正确;生态系统的信息传递能够调节生物的 种间关系,以维持生态系统的平衡与稳定,C正确;自然界中的部分群落会朝着营养结构逐渐 简单的方向演替,如气候突然变干燥,某些森林可能会演替成草原,导致抵抗力稳定性降低,D 错误。 8.D 人类活动往往使群落按照不同于自然演替的方向和速度进行,因此人类活动会影响群 落演替的速度和方向,A错误;群落演替的结果往往是由环境和群落内的生物共同作用而决定 的,并非任何陆地区域的演替都可以达到森林阶段,B错误;城市生态系统是一个特殊的人工 生态系统,流入该生态系统的能量大于生产者固定的太阳能,C错误;分析图丙可知:C表示生 产者,D表示大气中的二氧化碳库,E表示分解者,A、B表示消费者,在生态系统的碳循环中生 产者和分解者的作用最为关键,D正确。 9.答案 (1)消费者、分解者 不能 (2)J 此时间段内种群的增长率>0,且保持不变(或出生 率>死亡率,且保持稳定) (3)人工草坪生物种类少,营养结构简单,自我调节能力弱 速度和 方向 (4)生物种群繁衍 解析 (1)红火蚁食性杂,取食多种植物、小型动物,属于消费者,同时红火蚁取食腐肉,属于分 解者。不同形态的红火蚁同属一个种群,其生活在不同蚁室不能体现群落的空间结构。(2)图 示时间段,红火蚁种群的出生率始终大于死亡率,且两者差值为定值,即种群增长率恒定且大 于0,种群呈“J”形增长。(3)人工草坪物种丰富度小,营养结构简单,自我调节能力弱,抵抗力 稳定性低,因此红火蚁入侵原生草地和人工草坪后,人工草坪受到的破坏更明显。这说明红火 蚁入侵后,破坏当地生态系统,影响当地群落演替的速度和方向。(4)温度、湿度等信息因素 影响红火蚁交配产卵,体现了信息传递影响生物种群繁衍。 10.答案 (1)湿地 农田 物种数量少,营养结构简单 (2)垂直 光的穿透性、温度、氧气 (答出一点即可) (3)如图 更多资料添加微信号:hiknow_007 淘宝搜索店铺:乐知课堂解析 (1)由图1可得生态系统单位面积服务价值最高的是湿地生态系统。农田生态系统属 于人工生态系统,其物种组成少,营养结构简单,自我调节能力弱。(2)群落在垂直方向上的配 置状况称为群落的垂直结构,海洋中不同水层分布着不同的生物,属于群落的垂直结构,决定 这一结构的主要环境因素有光的穿透性、温度、氧气等。(3)分析题干信息可知,A属于生产 者,B属于分解者,图2中两种生物的种间关系为捕食,且C为捕食者,D为被捕食者,A、C、D 形成的食物链为A→D→C,A、B、C、D 4种生物间的能量流动过程见答案。 更多资料添加微信号:hiknow_007 淘宝搜索店铺:乐知课堂