当前位置:首页>文档>1995年辽宁高考理科数学真题及答案_数学高考真题试卷_旧1990-2007·高考数学真题_1990-2007·高考数学真题·PDF_辽宁

1995年辽宁高考理科数学真题及答案_数学高考真题试卷_旧1990-2007·高考数学真题_1990-2007·高考数学真题·PDF_辽宁

  • 2026-03-19 04:39:24 2026-02-16 00:31:41

文档预览

1995年辽宁高考理科数学真题及答案_数学高考真题试卷_旧1990-2007·高考数学真题_1990-2007·高考数学真题·PDF_辽宁
1995年辽宁高考理科数学真题及答案_数学高考真题试卷_旧1990-2007·高考数学真题_1990-2007·高考数学真题·PDF_辽宁
1995年辽宁高考理科数学真题及答案_数学高考真题试卷_旧1990-2007·高考数学真题_1990-2007·高考数学真题·PDF_辽宁
1995年辽宁高考理科数学真题及答案_数学高考真题试卷_旧1990-2007·高考数学真题_1990-2007·高考数学真题·PDF_辽宁
1995年辽宁高考理科数学真题及答案_数学高考真题试卷_旧1990-2007·高考数学真题_1990-2007·高考数学真题·PDF_辽宁
1995年辽宁高考理科数学真题及答案_数学高考真题试卷_旧1990-2007·高考数学真题_1990-2007·高考数学真题·PDF_辽宁
1995年辽宁高考理科数学真题及答案_数学高考真题试卷_旧1990-2007·高考数学真题_1990-2007·高考数学真题·PDF_辽宁
1995年辽宁高考理科数学真题及答案_数学高考真题试卷_旧1990-2007·高考数学真题_1990-2007·高考数学真题·PDF_辽宁
1995年辽宁高考理科数学真题及答案_数学高考真题试卷_旧1990-2007·高考数学真题_1990-2007·高考数学真题·PDF_辽宁
1995年辽宁高考理科数学真题及答案_数学高考真题试卷_旧1990-2007·高考数学真题_1990-2007·高考数学真题·PDF_辽宁
1995年辽宁高考理科数学真题及答案_数学高考真题试卷_旧1990-2007·高考数学真题_1990-2007·高考数学真题·PDF_辽宁

文档信息

文档格式
pdf
文档大小
0.187 MB
文档页数
11 页
上传时间
2026-02-16 00:31:41

文档内容

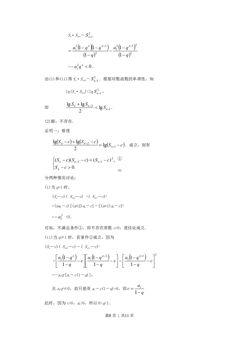
1995 年辽宁高考理科数学真题及答案 本试卷分第Ⅰ卷(选择题)和第Ⅱ卷(非选择题)两部分.满分 150 分,考试时间 120 分. 第Ⅰ卷(选择题共65分) 一、选择题(本大题共15小题,第1—10题每小题4分,第11—15题每小题5分,共65 分.在每小题给出的四个选项中,只有一项是符合题目要求的) 1.已知I为全集,集合M,NI,若M∩N=N,则( ) (A) M  N (B) M  N (C) M  N (D) M  N 1 2.函数y= 的图像是( ) x1   3.函数y=4sin(3x+ )+3cos(3x+ )的最小正周期是( ) 4 4 2  (A) 6π (B) 2π (C) (D) 3 3 4.正方体的全面积是a2,它的顶点都在球面上,这个球的表面积是( ) a2 a2 (A) (B) (C) 2πa2 (D) 3πa2 3 2 第1页 | 共11页5.若图中的直线l,l,l的斜率分别为k,k,k,则( ) 1 2 3 1 2 3 (A) karccosx成立的x的取值范围是( )  2  2   2 (A) 0,  (B)  ,1 (C)1,  (D)  1,0     2 2 2       8.双曲线3x2-y2=3的渐近线方程是( ) 1 3 (A) y=±3x (B) y=± x (C) y=± 3x (D) y=± x 3 3 5 9.已知θ是第三象限角,且sin4θ+cos4θ= ,那么sin2θ等于( ) 9 2 2 2 2 2 2 (A) (B)  (C) (D)  3 3 3 3 10.已知直线l⊥平面α,直线m平面β,有下面四个命题: ①α∥βl⊥m ②α⊥βl∥m ③l∥mα⊥β ④l⊥mα∥β 其中正确的两个命题是( ) (A) ①与② (B) ③与④ (C) ②与④ (D) ①与③ 11.已知y=log(2-ax)在[0,1]上是x的减函数,则a的取值范围是( ) a (A) (0,1) (B) (1,2) (C) (0,2) (D)  2,  S 2n a 12.等差数列{a},{b}的前n项和分别为S与T,若 n  ,则lim n 等于( ) n n n n T 3n1 nb n n 6 2 4 (A) 1 (B) (C) (D) 3 3 9 13.用1,2,3,4,5这五个数字,组成没有重复数字的三位数,其中偶数共( ) (A) 24个 (B) 30个 (C) 40个 (D) 60个 14.在极坐标系中,椭圆的二焦点分别在极点和点(2c,0),离心率为e,则它的极坐 标方程是( ) 第2页 | 共11页c  1e  c  1e2  (A)  (B)  1ecos 1ecos c  1e  c  1e2  (C)  (D)    1ecos e1ecos 15.如图,ABC-ABC是直三棱柱,∠BCA=90°,点D,F分别是AB,AC的中点, 1 1 1 1 1 1 1 1 1 若BC=CA=CC,则BD与AF所成的角的余弦值是( ) 1 1 1 30 1 30 15 (A) (B) (C) (D) 10 2 15 10 第Ⅱ卷(非选择题,共85分) 二、填空题(本大题共5小题,每小题4分,共20分,把答案填在题中横线上) x28 1 16.不等式  32x的解集是__________ 3 17.已知圆台上、下底面圆周都在球面上,且下底面过球心,母线与底面所成的角为  ,则圆台的体积与球体积之比为_____________ 3  18.函数y=sin(x- )cosx的最小值是____________ 6 19.直线l过抛物线y2=a(x+1)(a>0)的焦点,并且与x轴垂直,若l被抛物线截得的 线段长为4,则a= 20.四个不同的小球放入编号为1,2,3,4的四个盒中,则恰有一个空盒的放法共有 __________种(用数字作答) 三、解答题(本大题共6小题,共65分.解答应写出文字说明、证明过程或推演步骤) 21.(本小题满分7分) 在复平面上,一个正方形的四个顶点按照逆时针方向依次为Z,Z,Z,O (其中O是原 1 2 3 点),已知Z对应复数Z 1 3i.求Z和Z对应的复数. 2 2 1 3 22.(本小题满分10分)求sin220°+cos250°+sin20°cos50°的值. 23.(本小题满分12分) 第3页 | 共11页如图,圆柱的轴截面ABCD是正方形,点E在底面的圆周上,AF ⊥DE,F是垂足. (1)求证:AF⊥DB; (2)如果圆柱与三棱锥D-ABE的体积的比等于3π,求直线DE 与平面ABCD所成的角. 24.(本小题满分12分) 某地为促进淡水鱼养殖业的发展,将价格控制在适当范围内,决定对淡水鱼养殖提供 政府补贴.设淡水鱼的市场价格为x元/千克,政府补贴为t元/千克.根据市场调查,当8 ≤x≤14时,淡水鱼的市场日供应量P千克与市场日需求量Q千克近似地满足关系: P=1000(x+t-8)( x≥8,t≥0), Q=500 40  x8 2 (8≤x≤14). 当P=Q时市场价格称为市场平衡价格. (1)将市场平衡价格表示为政府补贴的函数,并求出函数的定义域; (2)为使市场平衡价格不高于每千克10元,政府补贴至少为每千克多少元? 25.(本小题满分12分) 设{a}是由正数组成的等比数列,S是其前n项和. n n lgS lgS (1)证明 n n2 lgS ; 2 n1     lg S c lg S c (2)是否存在常数c>0,使得 n n2 lg  S c  成立?并证明你的 2 n1 结论. 26.(本小题满分12分) x2 y2 已 知 椭 圆  1, 直 线 24 16 x y l:  1P.是l上点,射线OP交椭圆于点R, 12 8 又点Q在OP上且满足|OQ|·|OP|=|OR|,当点P在l 上移动时,求点Q的轨迹方程,并说明轨迹是什么曲线. 参考答案 第4页 | 共11页一、选择题(本题考查基本知识和基本运算) 1.C 2.B 3.C 4.B 5.D 6.D 7.B 8.C 9 . A 10.D 11.B 12.C 13.A 14.D 15.A 二、填空题(本题考查基本知识和基本运算) 7 3 3 16.{x|-20,q>0. n 1 (i)当q=1时,S=na,从而 n 1 S·S -S2 n n+2 n1 =na·(n+2)a-(n+1)2a2 1 1 1 =-a2<0 1   a 1qn (ⅱ)当q≠1时,S  1 ,从而 n 1q 第7页 | 共11页S·S -S2 n n+2 n1 a2  1qn  1qn2  a2  1qn1 2  1  1  1q 2  1q 2 =a2qn 0. 1 由(i)和(ii)得S·S -S2 .根据对数函数的单调性,知 n n+2 n1 lg(S·S )0,使结论成立. (ii)当q≠1时,若条件①成立,因为 (S—c)( S —c)-( S —c)2 n n+2 n+1       2 a 1qn a 1qn2  a 1qn1  = 1 c  1 c  1 c  1q 1q 1q      =-aqn[a-c(1-q)], 1 1 a 且aqn≠0,故只能有a-c(1-q)=0,即c  1 1 1 1q 此时,因为c>0,a>0,所以00,使结论 n 1q 1q 成立. 综合(i)、(ii),同时满足条件①、②的常数c>0不存在,即不存在常数c>0,使     lg S c lg S c n n2 lg  S c  . 2 n1 证法二:用反证法,假设存在常数c>0,使     lg S c lg S c n n2 lg  S c  , 2 n1 则有 S c 0, n ①  S n1 c 0, ②  S c 0,  n2 ③  (S c)(S c) (S c)2.  n n2 n1 ④ 由④得 SS -S2 =c (S + S -2 S ). ⑤ n n+2 n1 n n+2 n+1 根据平均值不等式及①、②、③、④知 S + S -2 S n n+2 n+1    =(S—c)+( S —c)-2(S —c) ≥2 S c S c -2( S —c)=0. n n+2 n+1 n n2 n+1 因为c>0,故⑤式右端非负,而由(1)知,⑤式左端小于零,矛盾.故不存在常数 c>0,使     lg S c lg S c n n2 =lg( S —c) n+1 2 26.本小题主要考查直线、椭圆的方程和性 质,曲线与方程的关系,轨迹的概念和求法,利 用方程判定曲线的性质等解析几何的基本思想 和综合运用知识的能力. 解法一:由题设知点Q不在原点.设P、R、 Q的坐标分别为(x,y),(x,y),(x,y),其 P P R R 中x,y不同时为零. 第9页 | 共11页当点P不在y轴上时,由于点R在椭圆上及点O、Q、R共线,得方程组 x2 y2  R  R 1 24 16  y y  R  x x  R 解得  48x2 ① x2    R 2x2 3y2   48y2 y2    R 2x2 3y2 ② 由于点P在直线l上及点O、Q、P共线,得方程组 x y  p  p 1 12 8  y y  p  x x  p  24x ③ x    p 2x3y 解得 24y  y    p 2x3y ④ 当点P在y轴上时,经验证①-④式也成立. 由题设|OQ|·|OP|=|OR|2,得   2 x2  y2  x2  y2  x2  y2 P P R R 将①-④代入上式,化简整理得 242  x2  y2 2 48  x2  y2    2x3y 2 2x2 3y2 因x与x同号或y与yp同号,以及③、④知2x+3y>0,故点Q的轨迹方程为 p  x1 2  y1 2  1(其中x,y不同时为零). 5 5 2 3 10 15 所以点Q的轨迹是以(1,1)为中心,长、短半轴分别为 和 且长轴与x轴平 2 3 行的椭圆、去掉坐标原点. 第10页 | 共11页解法二:由题设知点Q不在原点.设P,R,Q的坐标分别为(x,y),(x,y),(x, p p R R y),其中x,y不同时为零. 设OP与x轴正方向的夹角为α,则有 x=|OP|cosα,y=|OP|sinα; p p x=|OR|cosα,y=|OR|sinα; R R x=|OQ|cosα,y=|OQ|sinα; 由上式及题设|OQ|·|OP|=|OR|2,得  OP x  x, ① P OQ   OP y  y,  P OQ ②   OP  x2  x2,  R OQ  ③  OP y2  y2,  R OQ  ④ 由点P在直线l上,点R在椭圆上,得方程组 x y P  P 1, ⑤ 12 8 x2 y2 R  R 1, ⑥ 24 16 将①,②,③,④代入⑤,⑥,整理得点Q的轨迹方程为  x1 2  y1 2  1(其中x,y不同时为零). 5 5 2 3 10 15 所以点Q的轨迹是以(1,1)为中心,长、短半轴分别为 和 且长轴与x轴平行 2 3 的椭圆、去掉坐标原点. 第11页 | 共11页