当前位置:首页>文档>河南省商丘市第一高级中学2023-2024学年第一学期期中考试数学答案(1)_2023年11月_0211月合集_2024届河南省商丘市第一高级中学第一学期期中考试

河南省商丘市第一高级中学2023-2024学年第一学期期中考试数学答案(1)_2023年11月_0211月合集_2024届河南省商丘市第一高级中学第一学期期中考试

  • 2026-03-22 09:19:13 2026-02-18 09:45:36

文档预览

河南省商丘市第一高级中学2023-2024学年第一学期期中考试数学答案(1)_2023年11月_0211月合集_2024届河南省商丘市第一高级中学第一学期期中考试
河南省商丘市第一高级中学2023-2024学年第一学期期中考试数学答案(1)_2023年11月_0211月合集_2024届河南省商丘市第一高级中学第一学期期中考试
河南省商丘市第一高级中学2023-2024学年第一学期期中考试数学答案(1)_2023年11月_0211月合集_2024届河南省商丘市第一高级中学第一学期期中考试
河南省商丘市第一高级中学2023-2024学年第一学期期中考试数学答案(1)_2023年11月_0211月合集_2024届河南省商丘市第一高级中学第一学期期中考试
河南省商丘市第一高级中学2023-2024学年第一学期期中考试数学答案(1)_2023年11月_0211月合集_2024届河南省商丘市第一高级中学第一学期期中考试
河南省商丘市第一高级中学2023-2024学年第一学期期中考试数学答案(1)_2023年11月_0211月合集_2024届河南省商丘市第一高级中学第一学期期中考试

文档信息

文档格式
docx
文档大小
0.265 MB
文档页数
6 页
上传时间
2026-02-18 09:45:36

文档内容

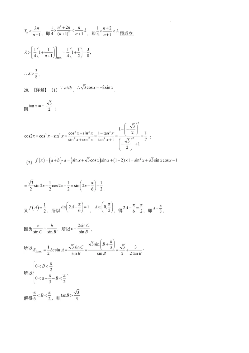
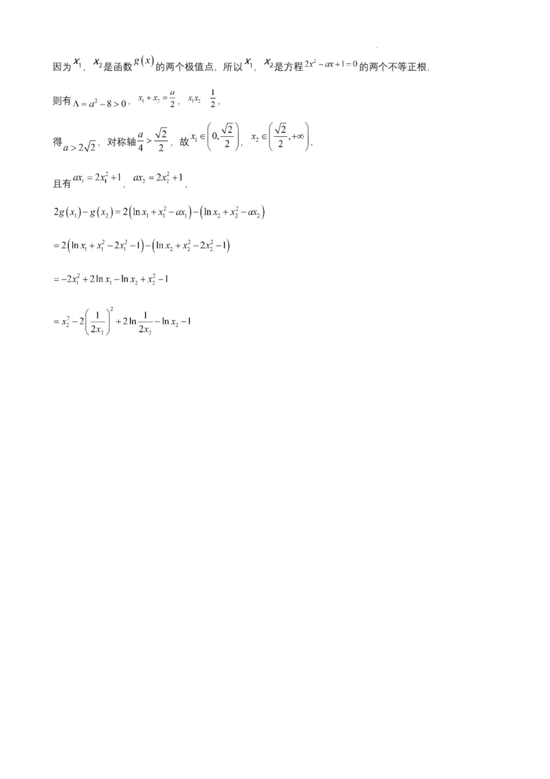
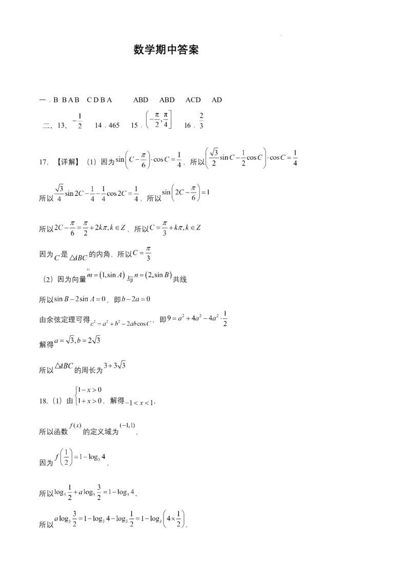
数学期中答案 一.B B A B C D B A ABD ABD ACD AD 二.13. 14.465 15. 16. 17,【详解】(1)因为 ,所以 所以 ,所以 所以 ,所以 因为 是 的内角,所以 (2)因为向量 与 共线 所以 ,即 由余弦定理可得 ,即 解得 所以 的周长为 18.(1)由 ,解得 . 所以函数 的定义域为 . 因为 , 所以 . 所以 . 学科网(北京)股份有限公司又 , 故化简得所求 . (2)由(1)可知 ,其中 , 所以由题设得关于x的方程 在 内有两个不同的实数解.(*) 设函数 , 则因为该函数图像的对称轴方程为 , 所以结合(*)知只需 , 解得 . 故所求实数t的取值范围是 . 19. 【详解】(1) 两边同时除以 , 数列 是首项 ,公差为2的等差数列, , . (2) ,可得 , 学科网(北京)股份有限公司,即 ,即 恒成立. . 20. 【详解】(1) , , 则 ; ; (2) , 又 ,所以 , ,得 ,即 , 因为 ,所以 , 所以 , 所以 , 解得 ,则 学科网(北京)股份有限公司故 , 即 面积的取值范围为 . 21. 【详解】(1)证明:由题意知 的定义域为 . 令 ,则 ,故 . 再令 ,则 , 所以 . 故 为奇函数. (2)由题意得 , 又 , 所以 ,即 , 所以 , 故 是首项为 ,公比为2的等比数列, 所以 , 所以 , 所以 , 学科网(北京)股份有限公司两式相减得 , 所以 . 所以 恒成立,即 恒成立. 设 ,则 ,所以数列 递增. 当n为奇函数时, ,当 时, 有最大值 ,故 ; 当n为偶数时, ,当 时, 有最小值 ,故 . 综上, 的取值范围是 . 22. 【详解】(1)因为 , 所以 , 由 得 或 . ①当 时,因为 ,不满足题意, ②当 时, 在 上单调递减,在 上单调递增, 于是 ,解得 , 所以 的取值范围为 . (2)函数 ,定义域为 , , 学科网(北京)股份有限公司因为 , 是函数 的两个极值点,所以 , 是方程 的两个不等正根, 则有 , , , 得 ,对称轴 ,故 , . 且有 , , 学科网(北京)股份有限公司