当前位置:首页>文档>湖南省A佳教育联盟三新教育联考2025-2026学年高二上学期期中联考地理试题Word版含解析_251204湖南省A佳教育联盟三新教育联考2025-2026学年高二上学期期中联考(全)

湖南省A佳教育联盟三新教育联考2025-2026学年高二上学期期中联考地理试题Word版含解析_251204湖南省A佳教育联盟三新教育联考2025-2026学年高二上学期期中联考(全)

  • 2026-04-08 16:57:29 2026-02-19 00:35:21

文档预览

湖南省A佳教育联盟三新教育联考2025-2026学年高二上学期期中联考地理试题Word版含解析_251204湖南省A佳教育联盟三新教育联考2025-2026学年高二上学期期中联考(全)
湖南省A佳教育联盟三新教育联考2025-2026学年高二上学期期中联考地理试题Word版含解析_251204湖南省A佳教育联盟三新教育联考2025-2026学年高二上学期期中联考(全)
湖南省A佳教育联盟三新教育联考2025-2026学年高二上学期期中联考地理试题Word版含解析_251204湖南省A佳教育联盟三新教育联考2025-2026学年高二上学期期中联考(全)
湖南省A佳教育联盟三新教育联考2025-2026学年高二上学期期中联考地理试题Word版含解析_251204湖南省A佳教育联盟三新教育联考2025-2026学年高二上学期期中联考(全)
湖南省A佳教育联盟三新教育联考2025-2026学年高二上学期期中联考地理试题Word版含解析_251204湖南省A佳教育联盟三新教育联考2025-2026学年高二上学期期中联考(全)
湖南省A佳教育联盟三新教育联考2025-2026学年高二上学期期中联考地理试题Word版含解析_251204湖南省A佳教育联盟三新教育联考2025-2026学年高二上学期期中联考(全)
湖南省A佳教育联盟三新教育联考2025-2026学年高二上学期期中联考地理试题Word版含解析_251204湖南省A佳教育联盟三新教育联考2025-2026学年高二上学期期中联考(全)
湖南省A佳教育联盟三新教育联考2025-2026学年高二上学期期中联考地理试题Word版含解析_251204湖南省A佳教育联盟三新教育联考2025-2026学年高二上学期期中联考(全)
湖南省A佳教育联盟三新教育联考2025-2026学年高二上学期期中联考地理试题Word版含解析_251204湖南省A佳教育联盟三新教育联考2025-2026学年高二上学期期中联考(全)
湖南省A佳教育联盟三新教育联考2025-2026学年高二上学期期中联考地理试题Word版含解析_251204湖南省A佳教育联盟三新教育联考2025-2026学年高二上学期期中联考(全)
湖南省A佳教育联盟三新教育联考2025-2026学年高二上学期期中联考地理试题Word版含解析_251204湖南省A佳教育联盟三新教育联考2025-2026学年高二上学期期中联考(全)
湖南省A佳教育联盟三新教育联考2025-2026学年高二上学期期中联考地理试题Word版含解析_251204湖南省A佳教育联盟三新教育联考2025-2026学年高二上学期期中联考(全)
湖南省A佳教育联盟三新教育联考2025-2026学年高二上学期期中联考地理试题Word版含解析_251204湖南省A佳教育联盟三新教育联考2025-2026学年高二上学期期中联考(全)

文档信息

文档格式
docx
文档大小
1.580 MB
文档页数
13 页
上传时间
2026-02-19 00:35:21

文档内容

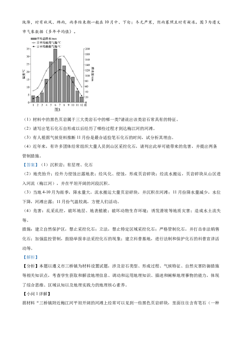
2025 年 11 月 A 佳教育高二期中联考 地理 班级:________姓名:________准考证号:________ (本试卷共19题,考试用时75分钟,全卷满分100分) 注意事项: 1.答题前,先将自己的班级、姓名、准考证号写在试题卷和答题卡上,并将准考证条形码粘 贴在答题卡上的指定位置。 2.选择题的作答:每小题选出答案后,用2B铅笔把答题卡上相应题目的答案标号涂黑。写在 试题卷、草稿纸和答题卡上的非答题区域均无效。 3.非选择题的作答:用签字笔直接答在答题卡上对应的答题区域内,写在试题卷、草稿纸和 答题卡上的非答题区域均无效。 4.考试结束后,将答题卡上交 一、选择题:本题共16小题,每小题3分,共48分。在每小题给出的四个选项中,只有一 项是符合题目要求的。 2025年是新疆维吾尔自治区成立70周年。70年来,新疆经济社会发展取得了历史性成就,新型工业 化、信息化、城镇化、农业现代化同步发展。人口规模持续增长,城镇化水平显著提高,形成了以乌鲁木 齐为核心、多个区域中心城市协同发展的格局。据此完成下面小题。 1. 自自治区成立以来,新疆人口总量持续增长,其根本原因是( ) A. 国家政策支持,社会稳定,经济发展 B. 医疗卫生条件改善,死亡率下降 C. 资源开发吸引大量外来人口迁入 D. 少数民族地区计划生育政策宽松 2. 在“一带一路”倡议下,新疆作为核心区,其城市体系的发展趋势最可能是( ) A. 所有城市均衡发展,规模趋于一致 B. 乌鲁木齐的首位度(最大城市与第二大城市人口比值)会持续降低 C. 口岸城市、交通枢纽城市的发展速度加快 D. 资源枯竭型城市面临衰退,人口大量外流 【答案】1. A 2. C 【解析】 【1题详解】 死亡率下降和人口迁入是直接原因,但促使这些直接原因出现的“根本原因”在于国家政策支持带来的社 会稳定和经济发展,为人口增长创造了宏观环境,排除B、C,A正确。少数民族地区计划生育政策宽松是特定时期的因素,且不是最根本、最持久的原因,排除D。故选A。 【 2题详解】 “一带一路”倡议极大地提升了新疆的交通枢纽地位。作为核心区,其口岸城市(如霍尔果斯、喀什)和 交通枢纽城市(如乌鲁木齐、库尔勒)将获得前所未有的发展机遇,增长速度可能加快,C正确。“均衡 发展”不符合城市发展的客观规律,排除A。乌鲁木齐作为核心城市,其首位度可能因其他城市发展而波 动,但“持续降低”缺乏依据,排除B。D选项描述了一种可能性,但考虑到“一带一路”倡议下,该地 区发展前景良好,因此“最可能”的趋势应是整体性的积极发展,排除D。故选C。 【点睛】城镇体系指具有时空地域结构的城镇网络,常以主要城市为核心,其他城镇形成规模、职能各异 的层级系列,各城镇间存在相互联系与制约关系。该概念起源于1920年代德国地理学家克里斯塔勒的研究, 1960年代首次作为独立概念应用于美国经济地理描述,中国自1984年《中华人民共和国城市规划条例》 颁布后将其用于规划实践。 江苏省城市足球联赛,简称“苏超”,13个城市(下图)争先恐后、你追我赶,官方主动玩梗(如 “比赛第一,友谊第十四”“人人都想当南哥”),迅速走红成为2025年现象级体育IP。在“苏超”的 带动下,“湘超”联赛于9月7日顺利开幕,各地市呈现出“围攻长沙”的态势,衡阳“衡扫长沙”、郴 州“郴霸长沙”、益阳“益制长沙”、常德“常胜长沙”等口号火药味十足。据此完成下面小题。 3. 与湖南各地市“围攻长沙”相比,苏超联赛“十三太保”竞争格局形成的原因是( ) A. 省会的虹吸效应显著 B. 地域文化多元,城市魅力大 C. 经济发达,居民消费水平高 D. 经济差异较小,竞争意识强 4. 长沙推出“一张票玩转一座城”,永州推出“看湘超,免费游永州”,这些举措的主要目的是( ) A. 提高城市人气,为球队助威 B. 提高政策补贴,发展门票经济 C. 促进产业融合,激发经济潜力 D. 吸引人才迁入,发展新兴产业 5. 湖南省省内球迷赴异地观看“湘超”赛事时,普遍能够实现当日往返,这主要得益于湖南( ) A. 河网密布 B. 城市空间距离近 C. 高速交通网络发达 D. 人均经济收入高【答案】3. D 4. C 5. C 【解析】 【3题详解】 结合材料信息可知,苏超的走红,得益于13个城市争先恐后、你追我赶,说明每个地级市都有能力与省会 等强市竞争,而江苏省位于我国东部沿海地区,经济发达且省内各城市经济差异较小,竞争意识强。相比 之下,湖南省会长沙对省内其他城市的产业、资金、人才的虹吸效应显著,经济地位突出,故而其他城市 将长沙作为主要挑战目标,形成了“围攻长沙”的态势,故D正确;省会的虹吸效应显著更符合湖南的情 况,A错误;长沙地域文化多元,城市魅力大,出现“围攻长沙”,B不符合题意,B错误;赛场竞争意 识与居民消费水平高关系不大,C错误。故选D。 【4题详解】 “一张票玩转一座城”、“看湘超,免费游永州”等举措的核心是推行“体育+旅游”的产业融合模式。 其目的不是单纯为了球赛门票或现场助威,而是以赛事为吸引点,联动餐饮、住宿、交通、景点等消费, 形成一条完整的消费链,从而盘活城市整体经济,激发远超门票本身的经济潜力,C正确,AB错误;这 些举措主要是针对旅游和体育赛事,不是吸引人才迁入发展新兴产业,D错误。故选C。 【5题详解】 湖南省球迷能够普遍实现赴异地观赛并当日往返,主要得益于省内发达的高速交通网络,特别是高铁和城 际铁路构成的快速交通体系,以及配套的精细化赛事服务保障,如铁路部门为“湘超”联赛开通了球迷专 列,C正确;水路运输速度较慢,A错误;湖南省内一些城市如永州到长沙的直线距离超过200公里,B 错误;普遍实现当日往返强调的是交通基础设施的便捷性,而非个人的支付能力,D错误。故选C。 【点睛】影响服务业的区位因素:地理因素:地理位置提供了服务业所需的资源和空间;人口因素:包括 人口规模、消费水平和居民消费偏好等,影响服务业的市场需求;经济因素:市场需求、交通运输便利性 和劳动力的可用性是商业性服务业区位选择的重要条件;政策因素:政府的政策法规和支持措施会影响服 务业的布局和发展;技术因素:技术进步和信息化水平也在不断改变服务业的区位选择。 2025年,我国某城市正面临日益严峻的热岛效应问题。为响应国家“绿色城市”建设倡议,市政府与 当地多所中学合作,开展“降温增湿绿化行动”。学生们在地理老师指导下,参与多阶段调研。项目分为 两个阶段:一是绿化树种筛选,二是土壤环境评估。第一阶段绿化树种筛选,备选树种如下表。第二阶段 土壤环境评估:某校学生用相同容器采集三种土壤样本进行实验(下图):样本甲:加水后迅速透水,搓 揉不成条;样本乙:透水慢,可搓成细条但易断;样本丙:透水性差,可搓成光滑长条。据此完成下面小 题。 树种 叶片特征 蒸腾作用强度 香樟 革质,常绿 中等梧桐 大而薄,落叶 强 雪松 针状叶,常绿 弱 6. 第一阶段绿化树筛选,为达到最佳降温增湿效果,应优先选择( ) A. 香樟 B. 梧桐 C. 雪松 D. 香樟+雪松混植 7. 三种土壤的质地类型依次为( ) A. 壤土—砂土—黏土 B. 砂土—壤土—黏土 C. 黏土—砂土—壤土 D. 砂土—黏土—壤土 【答案】6. B 7. B 【解析】 【6题详解】 降温增湿的关键是植被的“蒸腾作用”——蒸腾作用越强,水汽释放越多,降温增湿效果越显著。表中梧 桐“蒸腾作用强度”为“强”,优于香樟(中等)和雪松(弱)。综上,B正确,排除ACD。故选B。 【7题详解】 土壤质地的核心差异是颗粒大小(砂粒>粉粒>黏粒),决定透水性和可塑性:样本甲:透水性强(砂粒 多),搓揉不成条→砂土;样本乙:透水性中等(砂粒、粉粒、黏粒比例适中),可搓成细条,但易断→ 壤土;样本丙:透水性差(黏粒多),可搓成光滑长条→黏土。综上,B正确,排除ACD。故选B。 【点睛】绿地对城市小气候调节作用:(1)调节气温作用,由于乔灌木的树冠阻挡,吸收和反射太阳辐 射,植被的蒸腾吸收了一些热量,以及乔灌草枝叶阻挡空气快速流通作用,缓和了气温的日变化,所以可 形成较好的绿地小气候环境。(2)增加湿度作用。植物从土壤吸收大量水分,叶片在生长季节进行大量 的蒸腾作用,挥发大量水分,这样就提高了空气湿度。 大黄鱼在中国沿海均有分布,最适宜的生长温度为22~26℃。我国自行建造的全球最大的智慧养殖工 船“国信1号”通过“船载舱养”的模式,在离岸50~100海里的深海水域养殖大黄鱼,每日不间断换水, 是“移动的海洋牧场”。下图为“国信1号”游弋路线图。据此完成下面小题。8. “国信1号”夏季最适宜的下锚地点及原因是( ) A. 南澎岛盐度较低 B. 台山列岛水温较高 C. 舟山群岛盐度较高 D. 千里岩水温较低 9. 在秋季向冬季转场过程中,“国信1号”游弋过程可能是( ) A. 顺风顺水 B. 顺风逆水 C. 逆风顺水 D. 逆风逆水 10. 与传统网箱养殖相比,“国信1号”养殖大黄鱼的优势是( ) ①产品品质更好②养殖成本更低③生长周期更短④台风危害更大 A. ①② B. ②③ C. ①③ D. ③④ 【答案】8. D 9. A 10. C 【解析】 【8题详解】 根据材料可知“最适宜的生长温度为22~26℃”,夏季为海洋温度最高季节,结合图中等温线可知,①地 位于24~26℃之间,①地千里岩合适,D正确;③台山列岛、④南澎岛两处海水温度在26~28°C之间,不 适合,AB错误;②地舟山群岛位于长江口附近,夏季长江口河水流量大,舟山群岛盐度较低,C错误。 故选D。 【9题详解】 秋季转冬季时,受冬季风(偏北风)影响,我国沿岸表层海流主要由北向南流动,“国信1号”自北向南 转场可顺风顺水,A正确,排除BCD。故选A。 【10题详解】 根据材料可知,“国信一号”在离岸50~100海里的深海纯净水域养殖大黄鱼,每日不间断换水,故产品 品质更好,①正确;因为船只和技术设备的成本高,故养殖成本更高,②错误;船只可以移动,能够保证 大黄鱼始终处在最适合的水温、盐度等生长环境中,故生长周期更短,③正确;船只可以移动,提前避开 台风区域,故台风危害实际更小,④错误。综合以上,①③正确,C正确,排除ABD。故选C。 【点睛】影响渔场的自然条件:浅海大陆架海域,阳光充足,水温适宜;寒暖流交汇处或上升流海域;入 海河流带来丰富的营养盐类。 花岗伟晶岩是一种侵入岩,主要是岩浆在冷凝形成花岗岩后,剩余岩浆向上迁移到裂隙处产出的脉状岩石。四川西部某地的花岗伟晶岩型锂矿探明储量位居亚洲前列。下图为四川西部某地区的地质剖面图。 据此完成下面小题。 的 11. 图中最可能产出锂矿 地方是( ) A. 甲 B. 乙 C. 丙 D. 丁 12. 图中( ) A. 甲处为背斜,适合建造隧道 B. 乙处为断层,工程施工难度小 C. 丙处为向斜,适合修建水库 D. 丁处岩性坚硬,是岩浆冷凝形成 【答案】11. B 12. D 【解析】 【11题详解】 结合材料分析,川西锂矿为花岗伟晶岩型,其形成关键条件是“岩浆冷凝出花岗岩后,剩余岩浆沿裂隙向 上迁移形成脉状岩石”可知,花岗伟晶岩需形成于与地下花岗岩相连的裂隙之中。甲地位于致密抗风化的 向斜槽部,地质条件不利于形成连通下方花岗岩体的裂隙,A错误;丁地是花岗岩体本身,并非花岗伟晶 岩,D错误;丙地虽有断层,但并未向下延伸沟通了深部花岗岩体,不具备产出伟晶岩的条件,C错误; 只有乙地发育的断层向下延伸并沟通了深部花岗岩体,这为花岗岩结晶后剩余的富锂岩浆提供了向上迁移 的通道,可形成花岗伟晶岩脉,从而最有可能产出锂矿,B正确。故选B。 【12题详解】 读图分析,甲处岩层向下弯曲,为向斜构造,不适合建造隧道,A错误;乙处为断层构造,岩石破碎,地 质基础不稳固,工程施工难度大,B错误;丙处为断层构造,岩石破碎,地质基础不稳固,不适合修建水 库,C错误;丁处为花岗岩,由岩浆冷却凝固而形成,岩性坚硬,D正确。故选D。 【点睛】地质构造直接影响工程施工的安全性与可行性。褶皱地区需避开核部脆弱岩层,断层带易引发坍 塌、渗漏,施工需加固或避让;岩层产状决定边坡稳定性,缓倾岩层利于工程布局,陡倾或直立岩层需防 范滑动。施工前需勘察地质构造,制定适配方案,降低地质灾害风险,保障工程稳定。 广东肇庆市(23°N,112°E)的七星岩仙女湖畔,有一座长达1000多米的天然石山,酷似一尊卧佛。 每年都有几天,在太阳下山时,可见到太阳徐徐从卧佛口中落下,形成“卧佛含丹”的地理奇观,见下图。该地主管部门将每年的10月3日(太阳直射约2.5°S)定为“卧佛含丹”节。据此完成下面小题。 13. 2025年国庆假期,“驴友”小王在仙女湖畔观赏到了“卧佛含丹”这一地理奇观,并拍摄这一景观如 上图,推断小王拍照时,摄像头朝向为( ) A. 正西 B. 西南 C. 东北 D. 西北 14. 小王准备回去后向其他“驴友”推荐这一奇观,并带领他们来观赏。下一次“卧佛含丹”现象出现的 日期是( ) A. 3月31日 B. 3月11日 C. 9月13日 D. 11月3日 【答案】13. B 14. B 【解析】 【13题详解】 10月3日太阳直射点在南半球,全球除极昼地区以外,日出东南,日落西南,故摄像头朝向为西南,B正 确,A、C、D错误。故选B。 【14题详解】 根据所学知识可知,要再次观赏到这一奇景,昼长必须与10月3日同样长短,日出日落时刻和方位才能相 同,即日期关于二至对称,10月3日距离冬至日2个月19天,所以,下次观看要在冬至日后2个月19天, 即3月11日前后,B正确,A、C、D错误。故选B。 【点睛】对于北半球的广东省肇庆市而言,夏半年(3月21日-9月23日)太阳从东北升起、西北落下; 冬半年(9月23日-次年3月21日)太阳从东南升起、西南落下。 2025年10月8日,湖南气象台于下午4时发布高温黄色预警:预计9日白天,湖南全省大部分地区将 达到35℃以上高温。专家指出,本次异常高温与某一气压带持续控制有关。下图为长沙10月9日—10月 13日天气预报和大气受热过程示意图。据此完成下面小题。15. 导致长沙10月13日昼夜温差减小的原因是( ) A. ②增强、③增强 B. ①减弱、④增强 C. ②减弱、④减弱 D. ①增强、③减弱 16. 下列图示中,与本次高温天气有关的气压带及两侧风带示意正确的是( ) A. ① B. ② C. ③ D. ④ . 【答案】15 B 16. D 【解析】 【15题详解】 读大气受热过程示意图可知,①是到达地面的太阳辐射,②是大气对太阳辐射的削弱作用,③是地面辐射, ④是大气逆辐射。从天气预报示意图中可以得知,10月13日是阴雨天气,相较于晴天,云量多,大气对 太阳辐射的削弱作用增强(②增强),导致到达地面的太阳辐射减少(①减少),继而导致地面辐射减弱 (③减弱),因此白天温度降低;夜间多云天气,相较于晴天,大气逆辐射增强(④增强),保温作用显 著,导致夜间降温幅度小,因此昼夜温差小。综上,B正确,ACD错误。故选B。 【16题详解】 根据题意可知,10月9日长沙为晴天,材料中提到“本次异常高温与某一气压带持续控制有关”,因此推 测长沙受高气压带控制,又因为长沙位于低纬度地区,因此该气压带为北半球副热带高气压带,其北侧为 盛行西风带(西南风),南侧为东北信风带,故ABC错误,D正确。故选D。 【点睛】昼夜温差的影响因素:1.天气状况:晴天,云量少,白天大气削弱太阳辐射弱(升温快),夜晚 大气保温作用弱(降温快),温差大。阴天或雨天,温差小。 2.下垫面性质:陆地比热容小,升温快、 降温快,温差大。海洋(湖泊、河流)比热容大,升温慢、降温慢,温差小。3.纬度位置:低纬度正午太 阳高度大且变化小,昼夜长短差异小,温差相对较小。中高纬度正午太阳高度和昼夜长短季节变化大,尤其冬季晴天时,温差更明显。4.海拔高度:海拔高空气稀薄,大气削弱和保温作用都弱,白天升温快、夜 晚降温快,温差大(如高原地区)。 海拔低空气浓密,保温和削弱作用强,温差相对较小。 二、非选择题:本题共3小题,共52分。 17. 阅读图文材料,完成下列问题。 材料一:2025年湖南省足球联赛(湘超联赛)于9月7日19:35在长沙贺龙体育馆正式开幕,赛事覆 盖全省14个市州,从9月持续至12月;赛事主打“快乐足球,全民参与”,这场以足球之名的湖湘盛宴, 不仅展现了参与者的竞技热情,也吸引全球各地湖湘游子的大量关注。 (1)“湘超”开幕式9月7日正值我国二十四节气的________;在接下来“湘超”赛事持续的三个月内, 长沙昼夜长短的变化特点是________。 材料二:简短的开幕式后,20:00揭幕赛长沙队vs娄底队正式开赛,下图为“湘超”揭幕赛开赛时, 地球局部经纬网与晨昏线图。 (2)图中AB为________(填“晨线”或“昏线”),角a约为________度,经线X的经度为________。 (3)9月7日晚上恰逢一次难得的月全食天象,家住长沙的球迷小明在看完长沙对娄底的揭幕赛之后,继 续观赏月食,请解释月食的原理。 (4)月全食时,月亮并未从天空中消失,而是能看到一轮暗红色的月亮,下列不是影响红月亮形成的因 素是( ) A. 光的散射 B. 光的折射 C. 光的吸收 D. 光的反射 【答案】(1) ①. 白露 ②. 昼渐短,夜渐长 (2) ①. 晨线 ②. 3.9或4 ③. 90°W (3)月球与地球都是不发光的天体,月球反射太阳光让地球上的人看到光亮;当月、地、日运行到一条 直线时,月球进入地球的本影,太阳投射在月球上的光全被地球挡住,形成月全食。 (4)C 【解析】 【分析】本题以湖南省足球联赛为材料设置试题,涉及昼夜长短的变化特点、晨昏线的判读、月全食现象 等相关内容,考查学生获取和解读地理信息、调动和运用地理知识和基本技能的能力,体现综合思维、区 域认知以及地理实践力的地理核心素养。 【小问1详解】 二十四节气顺序为:立春、雨水、惊蛰、春分、清明、谷雨、立夏、小满、芒种、夏至、小暑、大暑、立秋、处暑、白露、秋分、寒露、霜降、立冬、小雪、大雪、冬至、小寒、大寒。9月7日位于处暑(8月 23日左右)与秋分(9月23日左右)之间,为白露(约9月7-9日)。9月7日至12月,太阳直射点从北 半球南移,经过秋分(全球昼夜等长)至南半球。长沙位于北半球,此期间昼渐短、夜渐长。 【小问2详解】 材料二中揭幕赛开赛时间为9月7日,此时太阳直射北半球,北半球昼长夜短,北极附近有极昼。根据地 球自西向东自转,顺着自转方向,AB线由夜进入昼,为晨线。角a是晨线与经线的夹角,等于太阳直射点 纬度,太阳直射点移动的速度大致为23.5°/3月,7.8°/月,此时接近秋分,离秋分还有一个节气,但仍 在北半球,直射点纬度约为北纬3.9°或者北纬4°;图中经线X是晨线与赤道相交的点所在的经线,地方 时为6:00(晨线与赤道交点的地方时始终为6点)。已知揭幕赛时间北京时间(120°E)20:00,求地 方时为6:00的经线,(20-6)×15°=210°,该地地方时比北京时间晚,在120°E以西,故为90°W。 【小问3详解】 太阳属于恒星,是自身能发光的天体,提供光源,地球是行星,月球是卫星,都是不发光的天体,依靠反 射太阳光才能被看到;当月、地、日运行到一条直线时,且地球位于月球与太阳之间时,月球会完全进入 地球的本影区; 此时太阳射向月球的光会被地球全部挡住,形成月全食。 【小问4详解】 月全食时,地球大气将波长较长的红光折射到月面上,使月亮呈暗红色,这涉及光的散射(散射使蓝光散 射掉,红光透过)、光的折射(红光偏折到月球)、光的反射(月球反射红光到地面),ABD不符合题意; 光的吸收不是红月亮形成的主要原因,符合题意,C正确。故选C。 18. 阅读图文材料,完成下列问题。 材料一:三桥镇位于遵义市北部,地处大娄山山脉东麓,属典型的喀斯特地貌区。该区域地质构造复 杂,经历了多次构造运动。山上石灰岩和奥陶系黑色页岩广泛分布。 材料二:三桥镇附近梅江河平坦开阔的河滩上经常可以见到一些黑色页岩碎块,里面往往含有笔石 (一种海洋生物)化石。 材料三:化石是古代生物的遗体、遗物或遗迹被泥质(或砂质)沉积物埋藏在地下,经过漫长的地质 年代石化形成的。 材料四:遵义市地处低纬度地区,春暖风和而时有倒春寒;初夏多雨,盛夏多旱,但热而不酷;秋温陡降,时有秋风、绵雨,雨季结束期一般在10月中、下旬;冬无严寒,阴雨寡照且时有凝冻。图3为遵义 市气象数据(多年平均值)。 (1)材料中的黑色页岩属于三大类岩石中的哪一类?请说出该类岩石常具有的特征。 (2)请写出笔石化石自形成以后经历了哪些过程才到达梅江河的河滩。 (3)有人根据气候资料推断11月份是最合适捡笔石化石的时间,试分析其理由。 (4)近年来,有许多团体经常组织大量人员到山区采挖化石,请列出此举可能带来的危害,并提出两条 管制措施。 【答案】(1)沉积岩;有层理、化石 (2)地壳抬升;经外力侵蚀出露地表;经风化、侵蚀,形成页岩碎块;经流水搬运,页岩碎块从山区进 入河流(梅江河),并在平坦开阔的河段沉积。 (3)当地4-10月为雨季,降水量大,流水搬运大量页岩碎块,并沉积在河滩;11月份降水量减少,水位 下降,河滩出露;11月份气温较高,方便人们活动。 (4)危害:乱采乱挖,破坏地层、地表植被;破坏动物生存环境;诱发滑坡等地质灾害;造成水土流失 等。 措施:建立自然保护区,禁止采挖化石;立法,禁止特定区域采挖化石;严格管制化石,并打击非法销售 化石;加强监控管制,鼓励举报非法采挖化石的现象;建立科普基地,进行法制和保护化石的科普宣讲活 动等。 【解析】 【分析】本题以遵义市三桥镇为材料设置试题,涉及岩石类型、形成过程、气候特征、自然灾害防御措施 等相关知识点,考查学生获取和解读地理信息、调动和运用地理知识、描述和阐释地理事物的能力,体现 了综合思维、区域认知以及地理实践力的地理核心素养。 【小问1详解】 据材料“三桥镇附近梅江河平坦开阔的河滩上经常可以见到一些黑色页岩碎块,里面往往含有笔石(一种海洋生物)化石”可知,黑色页岩含有笔石(海洋生物)化石,而沉积岩的重要特征就是常含有化石,因 此黑色页岩属于沉积岩。沉积岩特征:具有层理构造(岩石呈层状分布)、常含有化石(保留古代生物的 遗体或遗迹)。 【小问2详解】 笔石化石存在于页岩中,页岩属于沉积岩,在地下一定深度处经固结成岩作用形成;需要先经历地壳抬升; 经外力侵蚀(剥蚀)以后才能出露地表;再经历风化、外力侵蚀,形成页岩碎块;最后经流水搬运,页岩 碎块从山区进入梅江河,并在平坦开阔的河段因为流速减慢而发生沉积。 【 小问3详解】 依据遵义市气象数据可知,4-10月为当地雨季,降水量大,河流水位较高,不太适合捡拾;但是4-10月 河流水量较大,容易搬运大量山区岩石碎块(含有笔石化石),并沉积在河滩;11月份降水量减少,水位 下降,河滩出露;相比于12-3月份,当地11月份气温较高,更加方便人们活动。 【小问4详解】 危害:大量人员到山区采挖化石带来的危害,有些是直接的危害,如乱采乱挖,破坏地层、地表植被;破 坏动物生存环境;还有一些是间接的,如诱发滑坡等地质灾害;造成水土流失等。 管制措施:具体问题,具体分析。许多团体经常组织大量人员采挖化石,无非是为了牟利。所以可以通过 对于重点化石及地区进行建立保护区,立法禁止化石交易,鼓励民众监督举报等形式减少人们的采挖活动; 通过加大宣传教育等方式提高民众保护化石的意识;通过建立科普基地等方式增加民众的知识,满足大家 的好奇心。通过以上措施可以减少民众采挖化石的现象。 19. 下图为澳大利亚大陆及附近地区某年某日海平面等压线(单位:hPa)分布图。读图,完成下列问题。 (1)说出图示季节达尔文港的盛行风,并从气压带、风带移动的角度说明其形成原因。 (2)说明图示时刻澳大利亚西南部地区的气压形势对珀斯天气的影响。 (3)指出此时控制亚欧大陆的大气活动中心名称,并说出其成因。 【答案】(1)盛行风:西北季风(或西北风) 。 成因:此时为南半球夏季,太阳直射点南移;北半球的东北信风向南越过赤道,在地转偏向力的影响下向左偏,形成西北季风。 (2)澳大利亚西南部地区受高压(高压脊)控制,盛行下沉气流,风力较弱;空气下沉增温,水汽不易 凝结,降水少,多晴天;晴天多,气温较高;昼夜温差较大。 (3)亚洲高压(蒙古—西伯利亚高压) 亚欧大陆位于北半球,此时为冬季,受海陆热力性质差异影响,气温低,空气下沉形成高压,高压中心位 于蒙古国和西伯利亚地区,形成亚洲高压或蒙古—西伯利亚高压。 【解析】 【分析】本题以澳大利亚大陆及附近地区某年某日海平面等压线分布图设置问题,涉及气压低风带的季节 移动、海陆分布对气压带的影响、天气系统等知识点,考查学生获取和解读地理信息、调动和运用地理知 识的能力,体现了区域认知、综合思维的核心素养。 【小问1详解】 由图可知,此时澳大利亚陆地上气压低于相邻的周边海域,说明陆地气温相对较高,说明是南半球夏季, 受太阳直射点南移的影响,北半球的东北信风向南越过赤道,在地转偏向力的影响下向左偏,形成西北季 风。因此,此时达尔文港盛行西北季风。 【小问2详解】 图示时刻澳大利亚西南部(珀斯附近)受高压(或高压脊)控制,气压较高,盛行下沉气流,风力较弱; 位于高压脊北侧,受地转偏向力影响,风向左偏转为偏南风;高压(高压脊)附近盛行下沉气流,水汽不 易凝结,降水少,湿度小,多晴天;太阳辐射强,气温高;多晴天,白天大气对太阳辐射的削弱作用弱, 气温较高,夜间大气逆辐射弱,气温较低,昼夜温差大。 【小问3详解】 由图可知,此时澳大利亚陆地上气压低,海洋上气压高,说明此时刻为南半球夏季,则北半球为冬季。受 海陆热力性质差异影响,冬季陆地气温低于海洋,空气冷却下沉,在近地面形成冷高压,此高压中心位于 蒙古国和西伯利亚地区,故称亚洲高压或蒙古—西伯利亚高压。