当前位置:首页>文档>福建省龙岩市一级校联盟2024-2025学年高三上学期11月期中考试历史Word版含答案_2024-2025高三(6-6月题库)_2024年11月试卷

福建省龙岩市一级校联盟2024-2025学年高三上学期11月期中考试历史Word版含答案_2024-2025高三(6-6月题库)_2024年11月试卷

  • 2026-04-02 03:39:42 2026-02-19 08:33:11

文档预览

福建省龙岩市一级校联盟2024-2025学年高三上学期11月期中考试历史Word版含答案_2024-2025高三(6-6月题库)_2024年11月试卷
福建省龙岩市一级校联盟2024-2025学年高三上学期11月期中考试历史Word版含答案_2024-2025高三(6-6月题库)_2024年11月试卷
福建省龙岩市一级校联盟2024-2025学年高三上学期11月期中考试历史Word版含答案_2024-2025高三(6-6月题库)_2024年11月试卷
福建省龙岩市一级校联盟2024-2025学年高三上学期11月期中考试历史Word版含答案_2024-2025高三(6-6月题库)_2024年11月试卷
福建省龙岩市一级校联盟2024-2025学年高三上学期11月期中考试历史Word版含答案_2024-2025高三(6-6月题库)_2024年11月试卷
福建省龙岩市一级校联盟2024-2025学年高三上学期11月期中考试历史Word版含答案_2024-2025高三(6-6月题库)_2024年11月试卷
福建省龙岩市一级校联盟2024-2025学年高三上学期11月期中考试历史Word版含答案_2024-2025高三(6-6月题库)_2024年11月试卷

文档信息

文档格式
docx
文档大小
0.247 MB
文档页数
7 页
上传时间
2026-02-19 08:33:11

文档内容

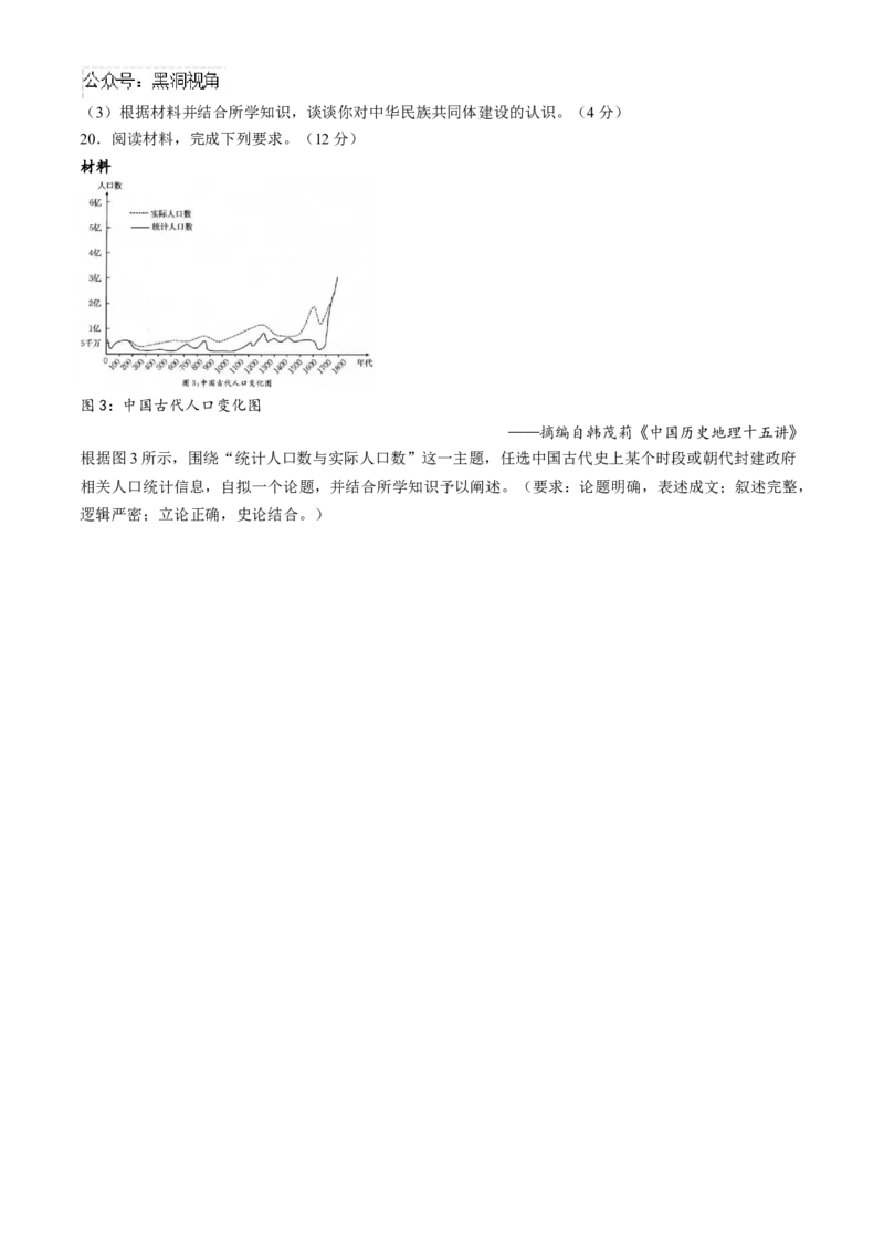
龙岩市一级校联盟 2024—2025 学年第一学期半期考联考 高三历史试题 (考试时间:75分钟 总分:100分) 一、选择题:本题共16小题,每小题3分,共48分。在每小题给出的四个选项中,只有一 项是符合题目要求的。 1.《诗经·商颂·殷武》称颂汤的业绩说:“昔有成汤,自彼氐羌,莫敢不来享,莫敢不来王。”氐、羌是 分布于今天陕西西部直至甘肃、青海一带的游牧民族,也向商称臣纳贡。这一记载表明( ) A.商朝对西北地区实行间接统治 B.商初国力强盛且影响力强 C.游牧民族对中原文化的向心力 D.中华文明呈多元一体特征 2.自西周到春秋末期,人们所言之“利”大多都是“公利”,如民之利、国之利、社稷之利、公室之利。 战国时期,社会“上下交征利”,不论国家还是个人,都以获得最大化的“利”作为行事、判断的准则。 导致这一变化的主要原因是( ) A.血缘宗法制逐渐崩溃 B.社会秩序与格局重构 C.社会主体士阶层崛起 D.社会生产的显著发展 3.西汉初期,政府多次颁布禁酤酒法令,文帝后元元年(公元前163年)“朕忧水旱之灾……禁秣马酤酒 贮积”,景帝中元三年(公元前147年)“夏旱,禁酤酒”。上述法令颁布的直接目的是( ) A.维护社会治安 B.巩固西汉王朝统治 C.缓解财政不足 D.营造戒奢尚俭风气 4.魏晋南北朝时期汉语文字在西域继续传播使用,表1为西域出土的各类汉字文书或典籍。据此可知( ) 表1 类别 出土的汉字文书或典籍 尼雅遗址出土了晋中央政府册封西域五国时下达到尼雅屯田军的汉文诏书,楼兰遗址出土 行政文书类 了西域长史转发朝廷的汉文诏书 吐鲁番阿斯塔那古墓出土了《毛诗郑笺》《论语》写本残卷,高昌遗址出土了《汉书》 文化类 《三国志》等书籍,楼兰遗址出土了《战国策》抄本 经济类 楼兰遗址出土的汉晋简牍记载“人三百一十九匹,今为住人买采四千三百廿六匹” A.西域地区与中原交流加强 B.边疆风俗政令受到内地影响 C.少数民族封建化进程加快 D.中原政权对西域管理的强化 5.唐中叶以后,朝廷为节度使加平章事、侍中、中书令等宰相衔。带相衔的节度使入京朝觐时可在一定 限度内履行宰相权责,享受宰相待遇。这有利于( ) A.朝廷笼络地方割据势力 B.转变外重内轻的形势 C.中央改革地方治理体系 D.调整中枢政务的运转 6.研究表明,辽中京城规整有序,改变了上京“以东为尊”、随形就势的布局,设有外城、内城和宫城 三部分,三重城均只在南墙开门,有贯穿南北的中轴线。据此可知,辽中京城的营建( )辽中京遗址平面图(图1) A.反映出对中原文化的吸纳 B.体现了辽代文化的单一性 C.彻底改变了游牧行国体制 D.因地制宜而形成方正布局 7.宋代理学家反复强调,“天理”作为普遍绝对的本体存在,也是一种道德存在。“理”就是一个最高 的道德原理。“天理”支配着世界的秩序和变化,不仅是一切自然物的内在法则,也是社会生活的规范与 人文法则。这反映出当时( ) A.三教合一的趋势加强 B.儒学的哲学化与体系化 C.封建统治危机的加深 D.儒学的世俗化与宗教化 8.杨宁一先生在《历史学习新视野》中说:“元代以前各朝代的地方行政体制,无论是两级制还是三级 制,都不同程度地存在着中央与地方行政区之间空隙过大的缺陷。而元代行省既是一级地方行政机构,本 身又具有中央派出机构的特点⋯⋯使全国的的行政体制基本上做到了上下结合,浑然一体。”材料强调的是 元代行省( ) A.合理地划分了中央与地方的权力 B.是中央派出的地方行政权力机构 C.有效地弥补了中央与地方的空当 D.加强了对中央对地方的军事控制 9.“揭帖”原为明仁宗即位后特许近臣密陈朝政得失的公文,后演变为内阁专享的密奏文书,故称“密 揭”。明代中后期,密揭成为内阁与皇帝沟通的主要方式,直接影响着最高决策的形成。这一变化表明( ) A.内阁参政地位有所提高 B.内阁职权范围得到扩大 C.中枢运转机制走向成熟 D.行政决策遵循民主原则 10.表2为清代汉口会馆公所分类统计情况(单位:个),表中同业组织的数量变化反映出( ) 表2 行业类型 组织类型 名称 时段 商业 手工业 常服务业 同乡 同业 兼同乡、同业性质 会馆 公所 其他 顺康雍 14 1 7 4 4 7 4 4 乾嘉道 22 4 1 13 10 4 8 13 6 咸同 18 5 3 3 21 2 3 11 11 光宣 23 7 2 4 22 6 2 18 13 合计 77 17 6 27 57 16 20 46 34 A.政府重视工商业的管理 B.商业资本快速扩张 C.会馆群体价值取向趋同 D.专业化生产的发展 11.从魏源提倡“师夷之长技以制夷”,到清政府兴办“洋务”,不过20年左右;从洋务思想到早期改良 思想,也不过20年左右;从早期改良思想到维新变法思想的传播,不过十年多的时间;从维新变法失败到民主革命的高涨,不到十年;从辛亥革命失败到新文化运动的兴起和马克思主义的传播,也不到十年。这 说明( ) A.社会急剧变化加速思想更新 B.中国近代民主思想日渐成熟 C.民族资本主义经济初步发展 D.政治革新助推西学东渐开始 12.有资料显示,1872—1895年,官办或官商合办工业资本额占民族工业总资本额64.56%,民营工业占 33.01%,中外合办企业占2.43%。1896—1911年,上述数据分别为21.44%、57.88%、20.68%。这一变化 反映出( ) A.晚清经济结构发生了根本变化 B.列强对华经济侵略的加剧 C.晚清经济政策调整有一定成效 D.洋务运动工业化成就显著 13.图2为中国某个历史时期的张贴画,从中可以得出( ) 图2 A.中国革命性质发生根本变化 B.民众力量联合推动革命 C.五四运动激发民众爱国热情 D.民主共和思潮影响深远 14.中华苏维埃共和国临时中央政府成立后,通过了《关于苏维埃经济建设的决议》《苏维埃经济建设任 务》等一系列经济建设的决议,并颁布法律文件规定:“苏维埃应保证商业自由,不应干涉经常的商品市 场关系”等。这些措施( ) A.推动了中共的工作重心转移 B.打破了对根据地的经济封锁 C.解决了根据地物资短缺问题 D.践行了工农武装割据的思想 15.1935年12月27日,毛泽东作了《论反对日本帝国主义的策略》的报告,明确提出:“党的任务就是 把红军的活动和全国的工人、农民、学生、小资产阶级、民族资产阶级的一切活动汇合起来,成为一个统 一的民族革命战线。”这表明当时的中国共产党( ) A.建立了抗日民族统一战线 B.彰显执政党的民族责任感 C.把握了中国主要矛盾变化 D.筹备着建立新生人民政权 16.1946年4月16日,中共中央指示东北局,现尚在手中但不久即将退出的铁路,均望发令各地进行大 规模的彻底破坏。1947年6月4日,中共中央发出停止破路指示。我军所到之处,对于铁路员工及铁路设 备一律加以保护,并劝告人民一律保护。这一变化( ) A.适应了解放战争战略态势转换 B.意在打破国民政府的经济封锁 C.表明中共意识到决战时机成熟 D.说明党的工作重心转移到城市 二、非选择题:4题,第17、18题各8分,第19题24分,第20题12分,共52分。 17.阅读材料,完成下列要求。(8分) 材料一 唐代科举取士,以进士、明经两科为主,“大抵众科之目,进士尤为贵,其得人亦最为盛焉”。唐代明经、进士两科的考试内容(如表3所示): 表3 初试 二试 三试 选《礼记》或《左传》之一及《孝经》《论语》《尔 明经 口答诸经大义十条 答时务策三道 雅》、每经帖十条 进士 选《礼记》或《左传》之一及《尔雅》,每经帖十条 作诗、赋、文各一篇 作时务策五道 ——摘编自陈茂同《中国历代选官制度》 材料二 王安石熙宁年间科举改革围绕着“罢诗赋及明经诸科专以经义论策试士”展开,其核心是罢除考试声 病对偶之文、即“变声律为议论,变墨义为大义”。要求士人各治《诗经》《尚书》《周易》《周礼》 《礼记》一经,兼习《论语》《孟子》。每次分四场考试,第一场考本经、第二场考兼经大义十道,第三 场考论一首,第四场策三道。中书门下撰“大义式”颁行。经义程文每篇不得超过500字。 ——摘编自王阔《论王安石“罢诗赋而取经义”的科举改革》 根据上述材料,说明在人才选拔取向上,唐代科举考试内容和宋代王安石科举改革的相同之处,并结合所 学知识评述王安石科举改革的合理性。(8分) 18.阅读材料,完成下列要求。(8分) 材料 20世纪30年代初,中国的金融货币极为紊乱,严重阻碍了商品交换和贸易的发展。与此同时,由于 世界资本主义经济危机的冲击,英镑、美元、日元相继贬值,金贱银贵,中国贸易条件急剧恶化。九一八 事变后,日本对中国东北的掠夺和日本货的倾销,对中国经济发展是一个严重打击。为了应对日益严重的 局势,1935年11月,国民政府宣布实施币制改革,废除银本位制并实行白银国有,把钞票发行权收归中 央、中国、交通、农民四大银行,统一发行法币,依附于英镑和美元,实行“汇兑本位”制。 ——摘编自王桧林主编《中国现代史》 根据材料并结合所学知识,简要评价20世纪30年代国民政府的币制改革。(8分) 19.阅读材料,完成下列要求。(24分) 材料一 先秦时期,就已经有了以华夏民族为中心的多民族分布的空间观念,即“五服”观念。这一观念下, “华夷”为一个共同体,共处在一个天下。到秦汉时期,以司马迁为代表的历史学家为顺应统一多民族国 家巩固和发展的需要,提出了“华夷共祖”的民族思想,主张各民族同宗同源,应和平共处、共同进步。 以“仁爱”为核心的儒家民族观是古代社会处理民族问题的主要依据。 ——摘编自赵本燕《习近平关于铸牢中华民族共同体意识重要论述的多维阐释》 材料二 19世纪末20世纪初,以梁启超为代表的晚清知识分子反复强调,由于帝国主义列强争霸世界的竞争 日益激烈,中国的民族危机已迫在眉睫。为谋救亡图存,中国唯一可以倚恃的武器,就是民族主义。可见, 近代中国民族主义是在帝国主义列强不断进逼的深重危机下,被激荡出来的一种“自卫型民族主义”。自 此以后,“反帝救亡”的主题始终盛行不衰,蔚为中国近代民族主义最为明显的基调。 ——摘编自王建朗等主编《两岸新编中国近代史(晚清卷·下)》 (1)根据材料一并结合所学知识,概括中国古代民族观的特点,并分析其形成的时代背景。(10分) (2)与材料一相比,指出材料二中近代中国民族观的新发展,并结合所学知识分析其原因。(10分)(3)根据材料并结合所学知识,谈谈你对中华民族共同体建设的认识。(4分) 20.阅读材料,完成下列要求。(12分) 材料 图3:中国古代人口变化图 ——摘编自韩茂莉《中国历史地理十五讲》 根据图3所示,围绕“统计人口数与实际人口数”这一主题,任选中国古代史上某个时段或朝代封建政府 相关人口统计信息,自拟一个论题,并结合所学知识予以阐述。(要求:论题明确,表述成文;叙述完整, 逻辑严密;立论正确,史论结合。)龙岩市一级校联盟 2024—2025 学年第一学期半期考联考 高三历史参考答案 一、选择题:本题共16小题,每小题3分,共48分。在每小题给出的四个选项中,只有一 项是符合题目要求的。 题号 1 2 3 4 5 6 7 8 9 10 11 12 13 14 15 16 答案 B D C A A A B C A D A C B D C A 二、非选择题:4大题,第17、18题各8分,第19题24分,第20题12分,共52分。 17.(8分) 相同:两者都重视对儒学的考查;两者体现主流价值观;两者都重视对官员实际能力的考查。(答出其中 两点即可,4分) 合理性:王安石科举改革重视对儒学的考查,体现对儒学主流地位的维护;改革完善科举考试程序,有利 于增强考试的公正性(或公信力),巩固封建统治;改革侧重时务,“以经义论策试士”,注重官员的执 政能力,有利于选拔实用人才,服务变法的需要。(答出其中两点即可,4分) 18.(8分) 评价: 积极方面:国民政府统一发行法币,抑制了白银的外流,稳定了物价;推动了社会经济的恢复与发展,有 利于国内统一市场的形成;同时又加强了国家对经济的控制,为正面战场的持久抗战奠定了基础;(任答 2点即可,4分) 消极方面:但在改革中,法币依附于英镑和美元,中国未能摆脱帝国主义经济附庸的地位;也为日后的通 货膨胀留下了隐患。(4分) 19.(24分) (1)特点:以华夏族为中心;强调各民族同宗同源、共同发展(或进步)和天下一家;儒家民族观成为 当时处理民族问题的主要依据。(4分,任答2点即可) 背景:中国历史上就是一个多民族的国家;各民族在地理分布和生产方式上的差异;受儒家思想的影响; 历代中央政权民族政策的影响。(6分,任答3点即可) (2)发展:谋求反帝救亡(或谋求救亡图存)。(2分) 原因:中华民族强烈的忧患意识和凝聚力;西方列强入侵带来深重的民族危机;民族资本主义经济发展; 近代政治运动的推动;国人民族意识的增强;西学东渐(或西方近代民族观)的影响。(任答其中4点即 可,8分) (3)认识:各民族交融汇聚成多元一体中华民族的历史;中华民族是一个命运共同体;中华民族共同体 是自古以来逐步形成的;中华民族共同体建设有助于推动中华民族的伟大复兴。(4分,答出两点即可, 其他答案言之有理亦可) 20.(12分) 示例一: 论题:东汉末至魏晋南北朝时,封建政府统计人口数长期低于实际人口数。(2分) 阐述:东汉末至魏晋南北朝时,由于国家长期分裂割据,战乱不断,社会动荡不安;国家的社会基层组织和户籍制度遭到破坏;民族迁徙与民族交融频繁;佛教盛行,寺院经济繁荣;地主土地兼并严重,大量的 农民依附于豪强。这些因素的存在,不仅严重削弱了中央集权,破坏了社会经济的持续发展,而且还严重 影响了政府的赋税收入、兵役和徭役的征发,更是导致了此时段的封建政府长期以来统计到的人口数低于 实际的人口数。(8分) 总之,受所处时代国家政治、户籍制度、民族状况和宗教发展等诸多因素的影响,东汉末至魏晋南北朝时 封建政府统计的人口数长期低于实际人口数。(2分) 示例二: 论题:清朝前中期时,封建政府统计人口数与实际人口数趋向一致。(2分) 阐述:清朝前中期统治时,国家统一,社会稳定;国家疆域的开拓与巩固;政府改革赋税制度;外来高产 农作物的引进和推广;同时政府推行里甲、保甲制,大力加强基层组织建设。这些因素的存在,不仅推动 了国家的大一统,政权的巩固,社会隐匿人口现象的减少,人口数量的激增和社会经济的持续发展;而且 还促进了政府赋税收入的增加,兵役、徭役征发的稳定;更是导致了封建政府统计到的社会人口数与实际 的人口数趋向一致。(8分) 总之,受所处时代国家政治、赋税制度改革、农业物种和基层组织等诸多因素的影响,清朝前中期统治时 封建政府统计的人口数与实际人口数趋向一致。(2分) (“示例”仅供参考,对其他时段或朝代的合理解读均可酌情给分)