当前位置:首页>文档>黑龙江省哈尔滨市第九中学校2023-2024学年高三下学期开学考试数学(1)_2024年2月_022月合集_2024届黑龙江省哈尔滨市第九中学校高三下学期开学考试

黑龙江省哈尔滨市第九中学校2023-2024学年高三下学期开学考试数学(1)_2024年2月_022月合集_2024届黑龙江省哈尔滨市第九中学校高三下学期开学考试

  • 2026-02-22 18:46:10 2026-02-20 02:45:43

文档预览

黑龙江省哈尔滨市第九中学校2023-2024学年高三下学期开学考试数学(1)_2024年2月_022月合集_2024届黑龙江省哈尔滨市第九中学校高三下学期开学考试
黑龙江省哈尔滨市第九中学校2023-2024学年高三下学期开学考试数学(1)_2024年2月_022月合集_2024届黑龙江省哈尔滨市第九中学校高三下学期开学考试
黑龙江省哈尔滨市第九中学校2023-2024学年高三下学期开学考试数学(1)_2024年2月_022月合集_2024届黑龙江省哈尔滨市第九中学校高三下学期开学考试
黑龙江省哈尔滨市第九中学校2023-2024学年高三下学期开学考试数学(1)_2024年2月_022月合集_2024届黑龙江省哈尔滨市第九中学校高三下学期开学考试
黑龙江省哈尔滨市第九中学校2023-2024学年高三下学期开学考试数学(1)_2024年2月_022月合集_2024届黑龙江省哈尔滨市第九中学校高三下学期开学考试
黑龙江省哈尔滨市第九中学校2023-2024学年高三下学期开学考试数学(1)_2024年2月_022月合集_2024届黑龙江省哈尔滨市第九中学校高三下学期开学考试
黑龙江省哈尔滨市第九中学校2023-2024学年高三下学期开学考试数学(1)_2024年2月_022月合集_2024届黑龙江省哈尔滨市第九中学校高三下学期开学考试
黑龙江省哈尔滨市第九中学校2023-2024学年高三下学期开学考试数学(1)_2024年2月_022月合集_2024届黑龙江省哈尔滨市第九中学校高三下学期开学考试
黑龙江省哈尔滨市第九中学校2023-2024学年高三下学期开学考试数学(1)_2024年2月_022月合集_2024届黑龙江省哈尔滨市第九中学校高三下学期开学考试
黑龙江省哈尔滨市第九中学校2023-2024学年高三下学期开学考试数学(1)_2024年2月_022月合集_2024届黑龙江省哈尔滨市第九中学校高三下学期开学考试
黑龙江省哈尔滨市第九中学校2023-2024学年高三下学期开学考试数学(1)_2024年2月_022月合集_2024届黑龙江省哈尔滨市第九中学校高三下学期开学考试
黑龙江省哈尔滨市第九中学校2023-2024学年高三下学期开学考试数学(1)_2024年2月_022月合集_2024届黑龙江省哈尔滨市第九中学校高三下学期开学考试

文档信息

文档格式
pdf
文档大小
3.155 MB
文档页数
12 页
上传时间
2026-02-20 02:45:43

文档内容

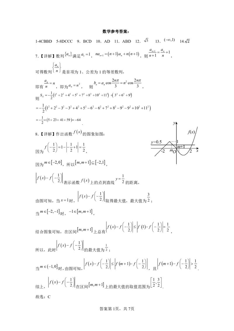
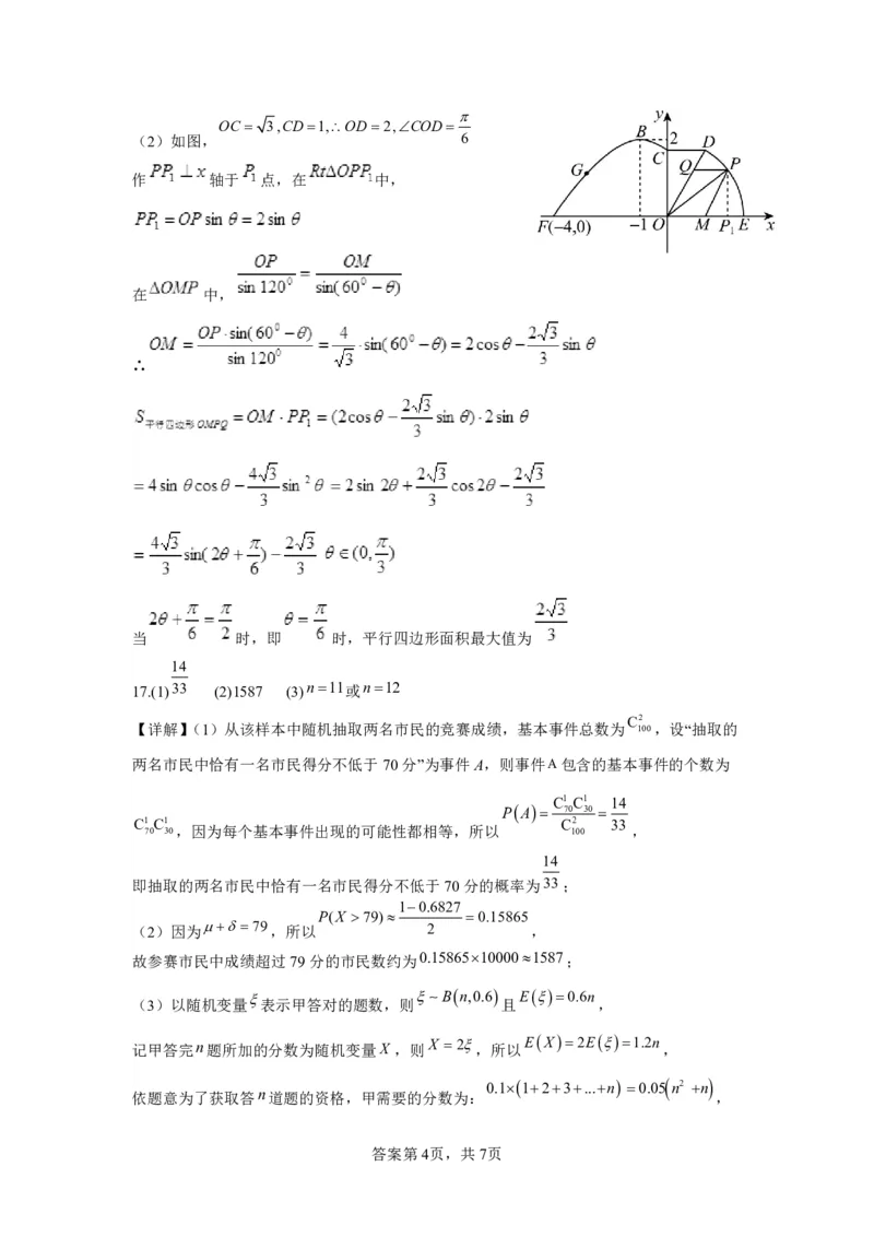
{#{QQABAQSEggiIABIAAQgCAwFqCgKQkBECAIoOwAAEoAABCBNABAA=}#}{#{QQABAQSEggiIABIAAQgCAwFqCgKQkBECAIoOwAAEoAABCBNABAA=}#}{#{QQABAQSEggiIABIAAQgCAwFqCgKQkBECAIoOwAAEoAABCBNABAA=}#}{#{QQABAQSEggiIABIAAQgCAwFqCgKQkBECAIoOwAAEoAABCBNABAA=}#}{#{QQABAQSEggiIABIAAQgCAwFqCgKQkBECAIoOwAAEoAABCBNABAA=}#}数学参考答案: 1-4CBBD 5-8DCCC 9.BCD 10.AD 11.ABD 12. 3 13.(,1) 14. a a 2 7.【详解】数列 a n  满足 a 1 1 , na n1 n1a n nn1 ,则n n  1 1  n n 1 , a   n 可得数列 n 是首项为1、公差为1的等差数列, a 2n 2n n n b a cos n2cos 即有 n ,即为 a n n2 , 则 n n 3 3 , S  1 12 22 42 52 72 82 102 112  32 62 92 则 11 2  1 122232324252626272829292102112 2 1  523415964 2 . f x 8.【详解】作出函数 的图象如图:  1 1 1 f  1  1  因为  2 2 2, m2,0   m,m1 2,1  因为 ,所以 , f x f     1 2    表示函数 f x 上的点到直线 y 1 2的距离, f x f   1  3 由图可知,当x1时,  2 取得最大值,最大值为2; m2,1  1 m,m1  当 时, ,  1  1 1 结合图象可知,在区间  m,m1  上总有 f x f    2    f 1 f    2    2 ,  1 f x f   1 所以,此时  2 的最大值为2 ;  1  1  1 1 当 m1,0 时,由图可知, f x f    2    f m1 f    2   ,且 f m1 f    2    2 .  1 1 3 综上, f x f    2   在区间  m,m1  上的最大值的取值范围为  2 , 2   . 故选:C 答案第1页,共7页 {#{QQABAQSEggiIABIAAQgCAwFqCgKQkBECAIoOwAAEoAABCBNABAA=}#}x2  y2 1 y=± 3 x 11.【详解】因为双曲线C的方程为16 9 ,所以a4,b3,c5,渐近线方程为 4 . F 对于A,因为从 2发出的光线m射在双曲线右支上一点P,经点P反射后,反射光线的反  3 3 k ,  向延长线过 F 1.所以直线 PF 1与双曲线有两个交点,所以  4 4,故A正确; 对于B,由双曲线的定义,结合图形,可得|PF 1 ||PF 2 |2a8,又mn, |PF |2 |PF |2|FF |22c2 100 所以 1 2 1 2 , |PF ||PF |2 |PF |2 |PF |2 2|PF |PF 因为 1 2 1 2 1 2 , 641002|PF | PF |PF ||PF |18 所以 1 2 ,解得 1 2 ,故B正确; FPF  △FPF 对于C,设 1 2 ,在 1 2中,由余弦定理得 FF 2 |PF |2 |PF |2 2|PF ||PF |cos|PF ||PF |221cos|PF |PF 1 2 1 2 1 2 1 2 1 2 , FF  2c 又|PF ||PF |2a, 1 2 , 1 2 所以 |PF 1 ||PF 2 | 2 4 1 c2   co 4 s a  2   1 2 c b o 2 s , S F1PF2  1 2 | PF 1 || PF 2 |sin b 1 2 c s o in s  b2 9 3  tan 2 ,故C错误; |PF | |PF | 1  2 FPF |TF | TF 对于D,因为PT 平分 1 2,由角平分线定理知, 1 2 , |PF 1 |  |TF 1 |  51  3 3 |PF ||PF |8 所以 |PF 2 | TF 2 51 2 ,又|PF 1 ||PF 2 |8,所以2 2 2 ,解得|PF 2 |16, 故D正确. 故选:ABD. y2  4x21  x21  0 14.由题意得: , 即 4x21  x21  0 ,则x42x2 0,解得: 2x 2, 因为 OP 2 x2y2  4x2110,2 , 则 OP 的取值范围为   0, 2 , f x xex ax22ax2a2a fxx1 ex 2a  15.【详解】由 答案第2页,共7页 {#{QQABAQSEggiIABIAAQgCAwFqCgKQkBECAIoOwAAEoAABCBNABAA=}#}①当a0时, f'x0x1 f x 在 1, 上单调递增. f'x0x1 f x ,1 在 上单调递减. ②当a0时,令 f'x0x 1 1,x 2 ln2a a 1 f'xx1  ex  1  (i)当 x 1 x 2 1 时, 2e,  e 1 当x1时, x10,ex  e 0 ,此时 f'x0 ; 1 当x1时, x10,ex  e 0 ,此时 f'x0 ; 1 当x=1时, x10,ex  e 0 ,此时 f'( x )= 0 ; 1 a f'x0 f x 当 2e时, 恒成立,故 在R上单调递增 1 (ii)当 x 1 x 2 a  2e时, f'x0x1 或xln2a, f'x01xln2a ,故 f x ,1 ln2a, 1,ln2a 在 和 上单调递增,在 上单调递减. 1 (iii) 当 x 1 x 2 0a 2e,故 f x 在 ln2a,1 上单调递减,在 ,ln2a 和 1, 上单 调递增. 综上所述:当a0时, f x 在 1, 上单调递增.在 ,1 上单调递减. 1 当a0时,若 a 2e, f x 在R上单调递增; 1 a f x ,1 ln2a, 1,ln2a 若 2e, 在 和 上单调递增,在 上单调递减; 1 0a f x ln2a,1 ,ln2a 1, 若 2e, 在 上单调递减,在 和 上单调递增.  2 2 3  y2sin( x ) ,x[4,0]  16.(1) 6 3 (2)最大值为 3 ,此时 6 . 试题解析:解:(1)由已知条件,得A2, T 2  3,T  12, 又∵ 4  6  2 y2sin( )2  又∵当x=1时,有 6 3  2 y2sin( x ),x[4,0] ∴ 曲线段FBC的解析式为 6 3 . 答案第3页,共7页 {#{QQABAQSEggiIABIAAQgCAwFqCgKQkBECAIoOwAAEoAABCBNABAA=}#} OC  3,CD1,OD2,COD (2)如图, 6 作 轴于 点,在 中, 在 中, ∴ 当 时,即 时,平行四边形面积最大值为 14 17.(1)33 (2)1587 (3)n11或n12 C2 【详解】(1)从该样本中随机抽取两名市民的竞赛成绩,基本事件总数为 100,设“抽取的 两名市民中恰有一名市民得分不低于70分”为事件A,则事件A包含的基本事件的个数为 C1 C1 14 PA 70 30  C1 C1 C2 33 70 30,因为每个基本事件出现的可能性都相等,所以 100 , 14 即抽取的两名市民中恰有一名市民得分不低于70分的概率为33; 10.6827 P(X 79) 0.15865 (2)因为79,所以 2 , 故参赛市民中成绩超过79分的市民数约为0.15865100001587;  Bn,0.6 E0.6n (3)以随机变量 表示甲答对的题数,则 且 , 记甲答完n题所加的分数为随机变量X ,则X 2 ,所以 EX2E1.2n , 0.1123...n 0.05  n2 n  依题意为了获取答n道题的资格,甲需要的分数为: , 答案第4页,共7页 {#{QQABAQSEggiIABIAAQgCAwFqCgKQkBECAIoOwAAEoAABCBNABAA=}#}f n f n1000.05  n2n  1.2n 设甲答完n题后的最终得分为 , 则 23 1 23 8529 0.05n2 n100 (n )2 20 20 2 80 . 由于nN*,所以当n11或n12时, f n 取最大值. 即当他的答题数量为n11或n12时,他获得的平均话费最多. x2 y2  1 18.(1) 9 4 (2)证明见解析 c 5 5 e  c a 【详解】(1)依题意,得 a 3 ,则 3 , 又A,C分别为椭圆上下顶点, AC 4 ,所以2b4,即b2, 5 4 x2 y2 a2 a2  a2 4  1 所以a2c2 b2 4,即 9 9 ,则a2 9,所以椭圆E的方程为 9 4 . x2 y2  1 A0,2,C0,2,B3,0,D3,0 (2)因为椭圆E的方程为 9 4 ,所以 , m2 n2 Pm,n0m3,0n2  1 因为P为第一象限E上的动点,设 ,则 9 4 , 02 2 2 k   y x2 易得 BC 30 3,则直线BC的方程为 3 , n0 n n k   y x3 PD m3 m3,则直线PD的方程为 m3 ,  2  33n2m6   y 3 x2   x 3n2m6   y n x3   y 12n M   33n2m6 , 12n   联立  m3 ,解得  3n2m6 ,即  3n2m6 3n2m6 , n2 n2 n2 k   y x2 而 PA m0 m ,则直线PA的方程为 m , n2 4m 4m  2 x2 x N ,2 令y=2,则 m ,解得 n2,即 n2 , m2 n2 9n2  1 m2 9 又 9 4 ,则 4 ,8m2 7218n2, 答案第5页,共7页 {#{QQABAQSEggiIABIAAQgCAwFqCgKQkBECAIoOwAAEoAABCBNABAA=}#}12n 3n2m6 2 6n4m12n2 k   MN 33n2m6 4m 9n6m18n24m3n2m6  所以 3n2m6 n2 6n24mn8m24 6n24mn8m24   9n28m26mn12m36 9n27218n26mn12m36 6n24mn8m24 2  3n22mn4m12  2    9n26mn12m36 3  3n22mn4m12  3 , 02 2 k   又 CD 30 3,即 k MN k CD,显然,MN与CD不重合,所以MN//CD. 19. 答案第6页,共7页 {#{QQABAQSEggiIABIAAQgCAwFqCgKQkBECAIoOwAAEoAABCBNABAA=}#}答案第7页,共7页 {#{QQABAQSEggiIABIAAQgCAwFqCgKQkBECAIoOwAAEoAABCBNABAA=}#}
基本 文件 流程 错误 SQL 调试
  1. 请求信息 : 2026-02-28 22:35:04 HTTP/1.1 GET : https://www.yeyulingfeng.com/wendang/306581.html
  2. 运行时间 : 0.077091s [ 吞吐率:12.97req/s ] 内存消耗:4,775.09kb 文件加载:144
  3. 缓存信息 : 0 reads,0 writes
  4. 会话信息 : SESSION_ID=cafe52fbe5f155d69094f7d4389d764f
  1. /yingpanguazai/ssd/ssd1/www/wwww.yeyulingfeng.com/public/index.php ( 0.79 KB )
  2. /yingpanguazai/ssd/ssd1/www/wwww.yeyulingfeng.com/vendor/autoload.php ( 0.17 KB )
  3. /yingpanguazai/ssd/ssd1/www/wwww.yeyulingfeng.com/vendor/composer/autoload_real.php ( 2.49 KB )
  4. /yingpanguazai/ssd/ssd1/www/wwww.yeyulingfeng.com/vendor/composer/platform_check.php ( 0.90 KB )
  5. /yingpanguazai/ssd/ssd1/www/wwww.yeyulingfeng.com/vendor/composer/ClassLoader.php ( 14.03 KB )
  6. /yingpanguazai/ssd/ssd1/www/wwww.yeyulingfeng.com/vendor/composer/autoload_static.php ( 6.05 KB )
  7. /yingpanguazai/ssd/ssd1/www/wwww.yeyulingfeng.com/vendor/topthink/think-helper/src/helper.php ( 8.34 KB )
  8. /yingpanguazai/ssd/ssd1/www/wwww.yeyulingfeng.com/vendor/topthink/think-validate/src/helper.php ( 2.19 KB )
  9. /yingpanguazai/ssd/ssd1/www/wwww.yeyulingfeng.com/vendor/ralouphie/getallheaders/src/getallheaders.php ( 1.60 KB )
  10. /yingpanguazai/ssd/ssd1/www/wwww.yeyulingfeng.com/vendor/topthink/think-orm/src/helper.php ( 1.47 KB )
  11. /yingpanguazai/ssd/ssd1/www/wwww.yeyulingfeng.com/vendor/topthink/think-orm/stubs/load_stubs.php ( 0.16 KB )
  12. /yingpanguazai/ssd/ssd1/www/wwww.yeyulingfeng.com/vendor/topthink/framework/src/think/Exception.php ( 1.69 KB )
  13. /yingpanguazai/ssd/ssd1/www/wwww.yeyulingfeng.com/vendor/topthink/think-container/src/Facade.php ( 2.71 KB )
  14. /yingpanguazai/ssd/ssd1/www/wwww.yeyulingfeng.com/vendor/symfony/deprecation-contracts/function.php ( 0.99 KB )
  15. /yingpanguazai/ssd/ssd1/www/wwww.yeyulingfeng.com/vendor/symfony/polyfill-mbstring/bootstrap.php ( 8.26 KB )
  16. /yingpanguazai/ssd/ssd1/www/wwww.yeyulingfeng.com/vendor/symfony/polyfill-mbstring/bootstrap80.php ( 9.78 KB )
  17. /yingpanguazai/ssd/ssd1/www/wwww.yeyulingfeng.com/vendor/symfony/var-dumper/Resources/functions/dump.php ( 1.49 KB )
  18. /yingpanguazai/ssd/ssd1/www/wwww.yeyulingfeng.com/vendor/topthink/think-dumper/src/helper.php ( 0.18 KB )
  19. /yingpanguazai/ssd/ssd1/www/wwww.yeyulingfeng.com/vendor/symfony/var-dumper/VarDumper.php ( 4.30 KB )
  20. /yingpanguazai/ssd/ssd1/www/wwww.yeyulingfeng.com/vendor/guzzlehttp/guzzle/src/functions_include.php ( 0.16 KB )
  21. /yingpanguazai/ssd/ssd1/www/wwww.yeyulingfeng.com/vendor/guzzlehttp/guzzle/src/functions.php ( 5.54 KB )
  22. /yingpanguazai/ssd/ssd1/www/wwww.yeyulingfeng.com/vendor/topthink/framework/src/think/App.php ( 15.30 KB )
  23. /yingpanguazai/ssd/ssd1/www/wwww.yeyulingfeng.com/vendor/topthink/think-container/src/Container.php ( 15.76 KB )
  24. /yingpanguazai/ssd/ssd1/www/wwww.yeyulingfeng.com/vendor/psr/container/src/ContainerInterface.php ( 1.02 KB )
  25. /yingpanguazai/ssd/ssd1/www/wwww.yeyulingfeng.com/app/provider.php ( 0.19 KB )
  26. /yingpanguazai/ssd/ssd1/www/wwww.yeyulingfeng.com/vendor/topthink/framework/src/think/Http.php ( 6.04 KB )
  27. /yingpanguazai/ssd/ssd1/www/wwww.yeyulingfeng.com/vendor/topthink/think-helper/src/helper/Str.php ( 7.29 KB )
  28. /yingpanguazai/ssd/ssd1/www/wwww.yeyulingfeng.com/vendor/topthink/framework/src/think/Env.php ( 4.68 KB )
  29. /yingpanguazai/ssd/ssd1/www/wwww.yeyulingfeng.com/app/common.php ( 0.03 KB )
  30. /yingpanguazai/ssd/ssd1/www/wwww.yeyulingfeng.com/vendor/topthink/framework/src/helper.php ( 18.78 KB )
  31. /yingpanguazai/ssd/ssd1/www/wwww.yeyulingfeng.com/vendor/topthink/framework/src/think/Config.php ( 5.54 KB )
  32. /yingpanguazai/ssd/ssd1/www/wwww.yeyulingfeng.com/config/alipay.php ( 3.59 KB )
  33. /yingpanguazai/ssd/ssd1/www/wwww.yeyulingfeng.com/vendor/topthink/framework/src/think/facade/Env.php ( 1.67 KB )
  34. /yingpanguazai/ssd/ssd1/www/wwww.yeyulingfeng.com/config/app.php ( 0.95 KB )
  35. /yingpanguazai/ssd/ssd1/www/wwww.yeyulingfeng.com/config/cache.php ( 0.78 KB )
  36. /yingpanguazai/ssd/ssd1/www/wwww.yeyulingfeng.com/config/console.php ( 0.23 KB )
  37. /yingpanguazai/ssd/ssd1/www/wwww.yeyulingfeng.com/config/cookie.php ( 0.56 KB )
  38. /yingpanguazai/ssd/ssd1/www/wwww.yeyulingfeng.com/config/database.php ( 2.48 KB )
  39. /yingpanguazai/ssd/ssd1/www/wwww.yeyulingfeng.com/config/filesystem.php ( 0.61 KB )
  40. /yingpanguazai/ssd/ssd1/www/wwww.yeyulingfeng.com/config/lang.php ( 0.91 KB )
  41. /yingpanguazai/ssd/ssd1/www/wwww.yeyulingfeng.com/config/log.php ( 1.35 KB )
  42. /yingpanguazai/ssd/ssd1/www/wwww.yeyulingfeng.com/config/middleware.php ( 0.19 KB )
  43. /yingpanguazai/ssd/ssd1/www/wwww.yeyulingfeng.com/config/route.php ( 1.89 KB )
  44. /yingpanguazai/ssd/ssd1/www/wwww.yeyulingfeng.com/config/session.php ( 0.57 KB )
  45. /yingpanguazai/ssd/ssd1/www/wwww.yeyulingfeng.com/config/trace.php ( 0.34 KB )
  46. /yingpanguazai/ssd/ssd1/www/wwww.yeyulingfeng.com/config/view.php ( 0.82 KB )
  47. /yingpanguazai/ssd/ssd1/www/wwww.yeyulingfeng.com/app/event.php ( 0.25 KB )
  48. /yingpanguazai/ssd/ssd1/www/wwww.yeyulingfeng.com/vendor/topthink/framework/src/think/Event.php ( 7.67 KB )
  49. /yingpanguazai/ssd/ssd1/www/wwww.yeyulingfeng.com/app/service.php ( 0.13 KB )
  50. /yingpanguazai/ssd/ssd1/www/wwww.yeyulingfeng.com/app/AppService.php ( 0.26 KB )
  51. /yingpanguazai/ssd/ssd1/www/wwww.yeyulingfeng.com/vendor/topthink/framework/src/think/Service.php ( 1.64 KB )
  52. /yingpanguazai/ssd/ssd1/www/wwww.yeyulingfeng.com/vendor/topthink/framework/src/think/Lang.php ( 7.35 KB )
  53. /yingpanguazai/ssd/ssd1/www/wwww.yeyulingfeng.com/vendor/topthink/framework/src/lang/zh-cn.php ( 13.70 KB )
  54. /yingpanguazai/ssd/ssd1/www/wwww.yeyulingfeng.com/vendor/topthink/framework/src/think/initializer/Error.php ( 3.31 KB )
  55. /yingpanguazai/ssd/ssd1/www/wwww.yeyulingfeng.com/vendor/topthink/framework/src/think/initializer/RegisterService.php ( 1.33 KB )
  56. /yingpanguazai/ssd/ssd1/www/wwww.yeyulingfeng.com/vendor/services.php ( 0.14 KB )
  57. /yingpanguazai/ssd/ssd1/www/wwww.yeyulingfeng.com/vendor/topthink/framework/src/think/service/PaginatorService.php ( 1.52 KB )
  58. /yingpanguazai/ssd/ssd1/www/wwww.yeyulingfeng.com/vendor/topthink/framework/src/think/service/ValidateService.php ( 0.99 KB )
  59. /yingpanguazai/ssd/ssd1/www/wwww.yeyulingfeng.com/vendor/topthink/framework/src/think/service/ModelService.php ( 2.04 KB )
  60. /yingpanguazai/ssd/ssd1/www/wwww.yeyulingfeng.com/vendor/topthink/think-trace/src/Service.php ( 0.77 KB )
  61. /yingpanguazai/ssd/ssd1/www/wwww.yeyulingfeng.com/vendor/topthink/framework/src/think/Middleware.php ( 6.72 KB )
  62. /yingpanguazai/ssd/ssd1/www/wwww.yeyulingfeng.com/vendor/topthink/framework/src/think/initializer/BootService.php ( 0.77 KB )
  63. /yingpanguazai/ssd/ssd1/www/wwww.yeyulingfeng.com/vendor/topthink/think-orm/src/Paginator.php ( 11.86 KB )
  64. /yingpanguazai/ssd/ssd1/www/wwww.yeyulingfeng.com/vendor/topthink/think-validate/src/Validate.php ( 63.20 KB )
  65. /yingpanguazai/ssd/ssd1/www/wwww.yeyulingfeng.com/vendor/topthink/think-orm/src/Model.php ( 23.55 KB )
  66. /yingpanguazai/ssd/ssd1/www/wwww.yeyulingfeng.com/vendor/topthink/think-orm/src/model/concern/Attribute.php ( 21.05 KB )
  67. /yingpanguazai/ssd/ssd1/www/wwww.yeyulingfeng.com/vendor/topthink/think-orm/src/model/concern/AutoWriteData.php ( 4.21 KB )
  68. /yingpanguazai/ssd/ssd1/www/wwww.yeyulingfeng.com/vendor/topthink/think-orm/src/model/concern/Conversion.php ( 6.44 KB )
  69. /yingpanguazai/ssd/ssd1/www/wwww.yeyulingfeng.com/vendor/topthink/think-orm/src/model/concern/DbConnect.php ( 5.16 KB )
  70. /yingpanguazai/ssd/ssd1/www/wwww.yeyulingfeng.com/vendor/topthink/think-orm/src/model/concern/ModelEvent.php ( 2.33 KB )
  71. /yingpanguazai/ssd/ssd1/www/wwww.yeyulingfeng.com/vendor/topthink/think-orm/src/model/concern/RelationShip.php ( 28.29 KB )
  72. /yingpanguazai/ssd/ssd1/www/wwww.yeyulingfeng.com/vendor/topthink/think-helper/src/contract/Arrayable.php ( 0.09 KB )
  73. /yingpanguazai/ssd/ssd1/www/wwww.yeyulingfeng.com/vendor/topthink/think-helper/src/contract/Jsonable.php ( 0.13 KB )
  74. /yingpanguazai/ssd/ssd1/www/wwww.yeyulingfeng.com/vendor/topthink/think-orm/src/model/contract/Modelable.php ( 0.09 KB )
  75. /yingpanguazai/ssd/ssd1/www/wwww.yeyulingfeng.com/vendor/topthink/framework/src/think/Db.php ( 2.88 KB )
  76. /yingpanguazai/ssd/ssd1/www/wwww.yeyulingfeng.com/vendor/topthink/think-orm/src/DbManager.php ( 8.52 KB )
  77. /yingpanguazai/ssd/ssd1/www/wwww.yeyulingfeng.com/vendor/topthink/framework/src/think/Log.php ( 6.28 KB )
  78. /yingpanguazai/ssd/ssd1/www/wwww.yeyulingfeng.com/vendor/topthink/framework/src/think/Manager.php ( 3.92 KB )
  79. /yingpanguazai/ssd/ssd1/www/wwww.yeyulingfeng.com/vendor/psr/log/src/LoggerTrait.php ( 2.69 KB )
  80. /yingpanguazai/ssd/ssd1/www/wwww.yeyulingfeng.com/vendor/psr/log/src/LoggerInterface.php ( 2.71 KB )
  81. /yingpanguazai/ssd/ssd1/www/wwww.yeyulingfeng.com/vendor/topthink/framework/src/think/Cache.php ( 4.92 KB )
  82. /yingpanguazai/ssd/ssd1/www/wwww.yeyulingfeng.com/vendor/psr/simple-cache/src/CacheInterface.php ( 4.71 KB )
  83. /yingpanguazai/ssd/ssd1/www/wwww.yeyulingfeng.com/vendor/topthink/think-helper/src/helper/Arr.php ( 16.63 KB )
  84. /yingpanguazai/ssd/ssd1/www/wwww.yeyulingfeng.com/vendor/topthink/framework/src/think/cache/driver/File.php ( 7.84 KB )
  85. /yingpanguazai/ssd/ssd1/www/wwww.yeyulingfeng.com/vendor/topthink/framework/src/think/cache/Driver.php ( 9.03 KB )
  86. /yingpanguazai/ssd/ssd1/www/wwww.yeyulingfeng.com/vendor/topthink/framework/src/think/contract/CacheHandlerInterface.php ( 1.99 KB )
  87. /yingpanguazai/ssd/ssd1/www/wwww.yeyulingfeng.com/app/Request.php ( 0.09 KB )
  88. /yingpanguazai/ssd/ssd1/www/wwww.yeyulingfeng.com/vendor/topthink/framework/src/think/Request.php ( 55.78 KB )
  89. /yingpanguazai/ssd/ssd1/www/wwww.yeyulingfeng.com/app/middleware.php ( 0.25 KB )
  90. /yingpanguazai/ssd/ssd1/www/wwww.yeyulingfeng.com/vendor/topthink/framework/src/think/Pipeline.php ( 2.61 KB )
  91. /yingpanguazai/ssd/ssd1/www/wwww.yeyulingfeng.com/vendor/topthink/think-trace/src/TraceDebug.php ( 3.40 KB )
  92. /yingpanguazai/ssd/ssd1/www/wwww.yeyulingfeng.com/vendor/topthink/framework/src/think/middleware/SessionInit.php ( 1.94 KB )
  93. /yingpanguazai/ssd/ssd1/www/wwww.yeyulingfeng.com/vendor/topthink/framework/src/think/Session.php ( 1.80 KB )
  94. /yingpanguazai/ssd/ssd1/www/wwww.yeyulingfeng.com/vendor/topthink/framework/src/think/session/driver/File.php ( 6.27 KB )
  95. /yingpanguazai/ssd/ssd1/www/wwww.yeyulingfeng.com/vendor/topthink/framework/src/think/contract/SessionHandlerInterface.php ( 0.87 KB )
  96. /yingpanguazai/ssd/ssd1/www/wwww.yeyulingfeng.com/vendor/topthink/framework/src/think/session/Store.php ( 7.12 KB )
  97. /yingpanguazai/ssd/ssd1/www/wwww.yeyulingfeng.com/vendor/topthink/framework/src/think/Route.php ( 23.73 KB )
  98. /yingpanguazai/ssd/ssd1/www/wwww.yeyulingfeng.com/vendor/topthink/framework/src/think/route/RuleName.php ( 5.75 KB )
  99. /yingpanguazai/ssd/ssd1/www/wwww.yeyulingfeng.com/vendor/topthink/framework/src/think/route/Domain.php ( 2.53 KB )
  100. /yingpanguazai/ssd/ssd1/www/wwww.yeyulingfeng.com/vendor/topthink/framework/src/think/route/RuleGroup.php ( 22.43 KB )
  101. /yingpanguazai/ssd/ssd1/www/wwww.yeyulingfeng.com/vendor/topthink/framework/src/think/route/Rule.php ( 26.95 KB )
  102. /yingpanguazai/ssd/ssd1/www/wwww.yeyulingfeng.com/vendor/topthink/framework/src/think/route/RuleItem.php ( 9.78 KB )
  103. /yingpanguazai/ssd/ssd1/www/wwww.yeyulingfeng.com/route/app.php ( 3.52 KB )
  104. /yingpanguazai/ssd/ssd1/www/wwww.yeyulingfeng.com/vendor/topthink/framework/src/think/facade/Route.php ( 4.70 KB )
  105. /yingpanguazai/ssd/ssd1/www/wwww.yeyulingfeng.com/vendor/topthink/framework/src/think/route/dispatch/Controller.php ( 4.74 KB )
  106. /yingpanguazai/ssd/ssd1/www/wwww.yeyulingfeng.com/vendor/topthink/framework/src/think/route/Dispatch.php ( 10.44 KB )
  107. /yingpanguazai/ssd/ssd1/www/wwww.yeyulingfeng.com/app/controller/Index.php ( 10.53 KB )
  108. /yingpanguazai/ssd/ssd1/www/wwww.yeyulingfeng.com/app/BaseController.php ( 2.05 KB )
  109. /yingpanguazai/ssd/ssd1/www/wwww.yeyulingfeng.com/vendor/topthink/think-orm/src/facade/Db.php ( 0.93 KB )
  110. /yingpanguazai/ssd/ssd1/www/wwww.yeyulingfeng.com/vendor/topthink/think-orm/src/db/connector/Mysql.php ( 5.44 KB )
  111. /yingpanguazai/ssd/ssd1/www/wwww.yeyulingfeng.com/vendor/topthink/think-orm/src/db/PDOConnection.php ( 52.47 KB )
  112. /yingpanguazai/ssd/ssd1/www/wwww.yeyulingfeng.com/vendor/topthink/think-orm/src/db/Connection.php ( 8.39 KB )
  113. /yingpanguazai/ssd/ssd1/www/wwww.yeyulingfeng.com/vendor/topthink/think-orm/src/db/ConnectionInterface.php ( 4.57 KB )
  114. /yingpanguazai/ssd/ssd1/www/wwww.yeyulingfeng.com/vendor/topthink/think-orm/src/db/builder/Mysql.php ( 16.58 KB )
  115. /yingpanguazai/ssd/ssd1/www/wwww.yeyulingfeng.com/vendor/topthink/think-orm/src/db/Builder.php ( 24.06 KB )
  116. /yingpanguazai/ssd/ssd1/www/wwww.yeyulingfeng.com/vendor/topthink/think-orm/src/db/BaseBuilder.php ( 27.50 KB )
  117. /yingpanguazai/ssd/ssd1/www/wwww.yeyulingfeng.com/vendor/topthink/think-orm/src/db/Query.php ( 15.71 KB )
  118. /yingpanguazai/ssd/ssd1/www/wwww.yeyulingfeng.com/vendor/topthink/think-orm/src/db/BaseQuery.php ( 45.13 KB )
  119. /yingpanguazai/ssd/ssd1/www/wwww.yeyulingfeng.com/vendor/topthink/think-orm/src/db/concern/TimeFieldQuery.php ( 7.43 KB )
  120. /yingpanguazai/ssd/ssd1/www/wwww.yeyulingfeng.com/vendor/topthink/think-orm/src/db/concern/AggregateQuery.php ( 3.26 KB )
  121. /yingpanguazai/ssd/ssd1/www/wwww.yeyulingfeng.com/vendor/topthink/think-orm/src/db/concern/ModelRelationQuery.php ( 20.07 KB )
  122. /yingpanguazai/ssd/ssd1/www/wwww.yeyulingfeng.com/vendor/topthink/think-orm/src/db/concern/ParamsBind.php ( 3.66 KB )
  123. /yingpanguazai/ssd/ssd1/www/wwww.yeyulingfeng.com/vendor/topthink/think-orm/src/db/concern/ResultOperation.php ( 7.01 KB )
  124. /yingpanguazai/ssd/ssd1/www/wwww.yeyulingfeng.com/vendor/topthink/think-orm/src/db/concern/WhereQuery.php ( 19.37 KB )
  125. /yingpanguazai/ssd/ssd1/www/wwww.yeyulingfeng.com/vendor/topthink/think-orm/src/db/concern/JoinAndViewQuery.php ( 7.11 KB )
  126. /yingpanguazai/ssd/ssd1/www/wwww.yeyulingfeng.com/vendor/topthink/think-orm/src/db/concern/TableFieldInfo.php ( 2.63 KB )
  127. /yingpanguazai/ssd/ssd1/www/wwww.yeyulingfeng.com/vendor/topthink/think-orm/src/db/concern/Transaction.php ( 2.77 KB )
  128. /yingpanguazai/ssd/ssd1/www/wwww.yeyulingfeng.com/vendor/topthink/framework/src/think/log/driver/File.php ( 5.96 KB )
  129. /yingpanguazai/ssd/ssd1/www/wwww.yeyulingfeng.com/vendor/topthink/framework/src/think/contract/LogHandlerInterface.php ( 0.86 KB )
  130. /yingpanguazai/ssd/ssd1/www/wwww.yeyulingfeng.com/vendor/topthink/framework/src/think/log/Channel.php ( 3.89 KB )
  131. /yingpanguazai/ssd/ssd1/www/wwww.yeyulingfeng.com/vendor/topthink/framework/src/think/event/LogRecord.php ( 1.02 KB )
  132. /yingpanguazai/ssd/ssd1/www/wwww.yeyulingfeng.com/vendor/topthink/think-helper/src/Collection.php ( 16.47 KB )
  133. /yingpanguazai/ssd/ssd1/www/wwww.yeyulingfeng.com/vendor/topthink/framework/src/think/facade/View.php ( 1.70 KB )
  134. /yingpanguazai/ssd/ssd1/www/wwww.yeyulingfeng.com/vendor/topthink/framework/src/think/View.php ( 4.39 KB )
  135. /yingpanguazai/ssd/ssd1/www/wwww.yeyulingfeng.com/vendor/topthink/framework/src/think/Response.php ( 8.81 KB )
  136. /yingpanguazai/ssd/ssd1/www/wwww.yeyulingfeng.com/vendor/topthink/framework/src/think/response/View.php ( 3.29 KB )
  137. /yingpanguazai/ssd/ssd1/www/wwww.yeyulingfeng.com/vendor/topthink/framework/src/think/Cookie.php ( 6.06 KB )
  138. /yingpanguazai/ssd/ssd1/www/wwww.yeyulingfeng.com/vendor/topthink/think-view/src/Think.php ( 8.38 KB )
  139. /yingpanguazai/ssd/ssd1/www/wwww.yeyulingfeng.com/vendor/topthink/framework/src/think/contract/TemplateHandlerInterface.php ( 1.60 KB )
  140. /yingpanguazai/ssd/ssd1/www/wwww.yeyulingfeng.com/vendor/topthink/think-template/src/Template.php ( 46.61 KB )
  141. /yingpanguazai/ssd/ssd1/www/wwww.yeyulingfeng.com/vendor/topthink/think-template/src/template/driver/File.php ( 2.41 KB )
  142. /yingpanguazai/ssd/ssd1/www/wwww.yeyulingfeng.com/vendor/topthink/think-template/src/template/contract/DriverInterface.php ( 0.86 KB )
  143. /yingpanguazai/ssd/ssd1/www/wwww.yeyulingfeng.com/runtime/temp/10a0c909b6afa23b5a52a2e2d58c3c0f.php ( 21.70 KB )
  144. /yingpanguazai/ssd/ssd1/www/wwww.yeyulingfeng.com/vendor/topthink/think-trace/src/Html.php ( 4.42 KB )
  1. CONNECT:[ UseTime:0.000525s ] mysql:host=127.0.0.1;port=3306;dbname=wenku;charset=utf8mb4
  2. SHOW FULL COLUMNS FROM `fenlei` [ RunTime:0.000733s ]
  3. SELECT * FROM `fenlei` WHERE `fid` = 0 [ RunTime:0.000308s ]
  4. SELECT * FROM `fenlei` WHERE `fid` = 63 [ RunTime:0.000305s ]
  5. SHOW FULL COLUMNS FROM `set` [ RunTime:0.000568s ]
  6. SELECT * FROM `set` [ RunTime:0.000238s ]
  7. SHOW FULL COLUMNS FROM `wendang` [ RunTime:0.000575s ]
  8. SELECT * FROM `wendang` WHERE `id` = 306581 LIMIT 1 [ RunTime:0.000487s ]
  9. UPDATE `wendang` SET `liulancishu` = 5 WHERE `id` = 306581 [ RunTime:0.000815s ]
  10. UPDATE `wendang` SET `lasttime` = 1772289304 WHERE `id` = 306581 [ RunTime:0.000590s ]
  11. SELECT * FROM `wendang` WHERE `id` < 306581 ORDER BY `id` DESC LIMIT 1 [ RunTime:0.000620s ]
  12. SELECT * FROM `wendang` WHERE `id` > 306581 ORDER BY `id` ASC LIMIT 1 [ RunTime:0.000520s ]
  13. SELECT * FROM `wendang` WHERE `id` <> 306581 ORDER BY `id` DESC LIMIT 10 [ RunTime:0.001081s ]
  14. SELECT * FROM `wendang` WHERE `id` <> 306581 ORDER BY `id` DESC LIMIT 10,10 [ RunTime:0.001057s ]
  15. SELECT * FROM `wendang` WHERE `id` <> 306581 ORDER BY `id` DESC LIMIT 20,10 [ RunTime:0.000776s ]
0.078801s