当前位置:首页>文档>数学-2024年1月新“九省联考”考后提升卷(解析版)_2024年4月_其他_2024年1月新“九省联考”考后提升卷(原卷+解析)_2024年1月新“九省联考”考后提升卷(数学)(原卷+解析)

数学-2024年1月新“九省联考”考后提升卷(解析版)_2024年4月_其他_2024年1月新“九省联考”考后提升卷(原卷+解析)_2024年1月新“九省联考”考后提升卷(数学)(原卷+解析)

  • 2026-04-07 04:55:32 2026-02-22 05:32:30

文档预览

数学-2024年1月新“九省联考”考后提升卷(解析版)_2024年4月_其他_2024年1月新“九省联考”考后提升卷(原卷+解析)_2024年1月新“九省联考”考后提升卷(数学)(原卷+解析)
数学-2024年1月新“九省联考”考后提升卷(解析版)_2024年4月_其他_2024年1月新“九省联考”考后提升卷(原卷+解析)_2024年1月新“九省联考”考后提升卷(数学)(原卷+解析)
数学-2024年1月新“九省联考”考后提升卷(解析版)_2024年4月_其他_2024年1月新“九省联考”考后提升卷(原卷+解析)_2024年1月新“九省联考”考后提升卷(数学)(原卷+解析)
数学-2024年1月新“九省联考”考后提升卷(解析版)_2024年4月_其他_2024年1月新“九省联考”考后提升卷(原卷+解析)_2024年1月新“九省联考”考后提升卷(数学)(原卷+解析)
数学-2024年1月新“九省联考”考后提升卷(解析版)_2024年4月_其他_2024年1月新“九省联考”考后提升卷(原卷+解析)_2024年1月新“九省联考”考后提升卷(数学)(原卷+解析)
数学-2024年1月新“九省联考”考后提升卷(解析版)_2024年4月_其他_2024年1月新“九省联考”考后提升卷(原卷+解析)_2024年1月新“九省联考”考后提升卷(数学)(原卷+解析)
数学-2024年1月新“九省联考”考后提升卷(解析版)_2024年4月_其他_2024年1月新“九省联考”考后提升卷(原卷+解析)_2024年1月新“九省联考”考后提升卷(数学)(原卷+解析)
数学-2024年1月新“九省联考”考后提升卷(解析版)_2024年4月_其他_2024年1月新“九省联考”考后提升卷(原卷+解析)_2024年1月新“九省联考”考后提升卷(数学)(原卷+解析)
数学-2024年1月新“九省联考”考后提升卷(解析版)_2024年4月_其他_2024年1月新“九省联考”考后提升卷(原卷+解析)_2024年1月新“九省联考”考后提升卷(数学)(原卷+解析)
数学-2024年1月新“九省联考”考后提升卷(解析版)_2024年4月_其他_2024年1月新“九省联考”考后提升卷(原卷+解析)_2024年1月新“九省联考”考后提升卷(数学)(原卷+解析)
数学-2024年1月新“九省联考”考后提升卷(解析版)_2024年4月_其他_2024年1月新“九省联考”考后提升卷(原卷+解析)_2024年1月新“九省联考”考后提升卷(数学)(原卷+解析)
数学-2024年1月新“九省联考”考后提升卷(解析版)_2024年4月_其他_2024年1月新“九省联考”考后提升卷(原卷+解析)_2024年1月新“九省联考”考后提升卷(数学)(原卷+解析)
数学-2024年1月新“九省联考”考后提升卷(解析版)_2024年4月_其他_2024年1月新“九省联考”考后提升卷(原卷+解析)_2024年1月新“九省联考”考后提升卷(数学)(原卷+解析)
数学-2024年1月新“九省联考”考后提升卷(解析版)_2024年4月_其他_2024年1月新“九省联考”考后提升卷(原卷+解析)_2024年1月新“九省联考”考后提升卷(数学)(原卷+解析)
数学-2024年1月新“九省联考”考后提升卷(解析版)_2024年4月_其他_2024年1月新“九省联考”考后提升卷(原卷+解析)_2024年1月新“九省联考”考后提升卷(数学)(原卷+解析)
数学-2024年1月新“九省联考”考后提升卷(解析版)_2024年4月_其他_2024年1月新“九省联考”考后提升卷(原卷+解析)_2024年1月新“九省联考”考后提升卷(数学)(原卷+解析)

文档信息

文档格式
docx
文档大小
0.860 MB
文档页数
16 页
上传时间
2026-02-22 05:32:30

文档内容

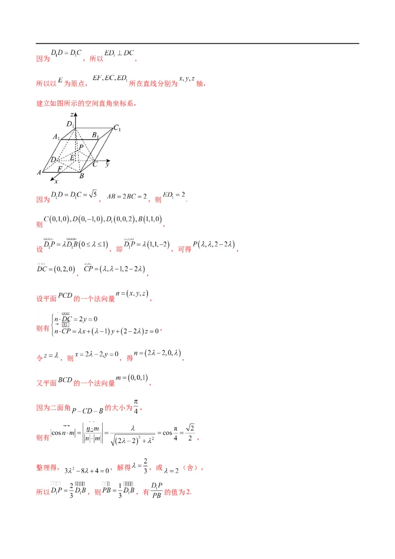
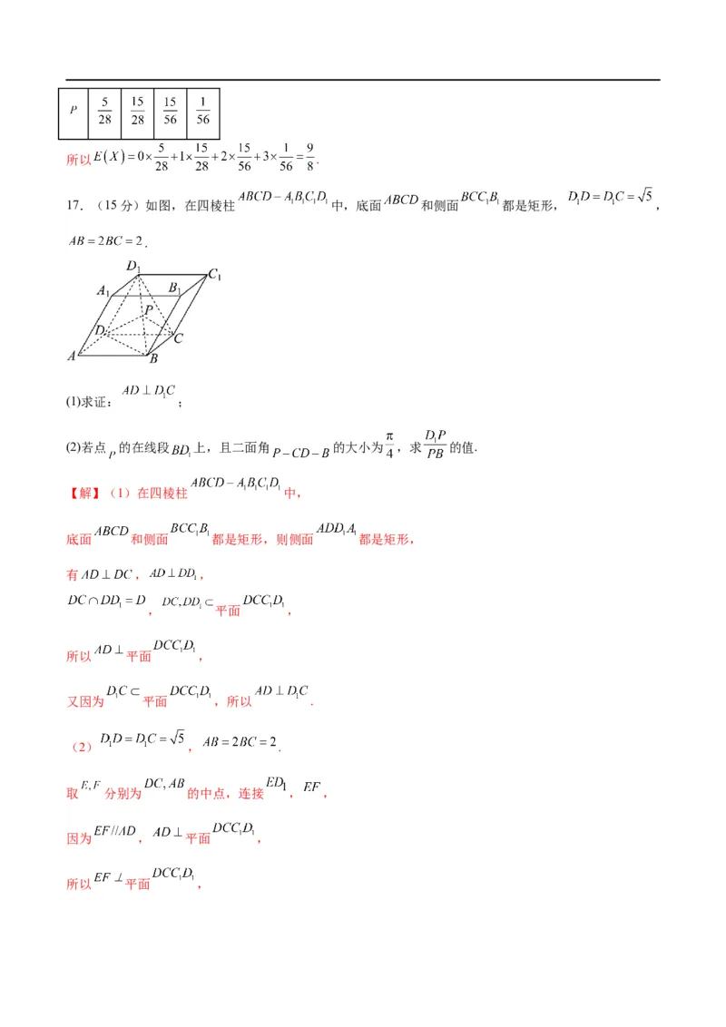
2024 年 1 月“九省联考”考后提升卷 高三数学 (考试时间:150分钟 试卷满分:150分) 注意事项: 1.答卷前,考生务必将自己的姓名、准考证号填写在答题卡上。 2.回答选择题时,选出每小题答案后,用铅笔把答题卡上对应题目的答案标号涂黑。如需改动,用橡皮 擦干净后,再选涂其他答案标号。回答非选择题时,将答案写在答题卡上。写在本试卷上无效。 3.考试结束后,将本试卷和答题卡一并交回。 一、单项选择题:本题共8小题,每小题5分,共40分.在每小题给出的四个选项中,只有一项是符合题 目要求的. 1.某篮球兴趣小组7名学生参加投篮比赛,每人投10个,投中的个数分别为8,5,7,5,8,6,8,则 这组数据的众数和中位数分别为( ) A.5,7 B.6,7 C.8,5 D.8,7 【答案】D 【解析】数据由小到大排列为5,5,6,7,8,8,8, 因此,这组数据的众数为8,中位数为7.故选:D. 2.设椭圆的两个焦点分别为 、 ,过 作椭圆长轴的垂线交椭圆于点 ,若 为等腰直角三角形, 则椭圆的离心率是( ) A. B. C. D. 【答案】C 【解析】依题意,设椭圆的长轴为 ,半焦距为 , 则 ,则 , ,于是 , .故选:C. 3.若数列 满足 ,其前 项和为 ,若 , ,则 ( ) A. B. C. D. 【答案】B 【解析】因为数列 满足 ,则数列 为等差数列, 设数列 的公差为 ,则 ,可得 , 所以, , 所以, ,故选B. 4.已知 、 是两个不同的平面, 、 是两条不同的直线,则下列命题中不正确的是( ) A.若 , ,则 B.若 , , ,则 C.若 , ,则 D.若 , , ,则 【答案】D 【解析】对于A选项,因为 ,过直线 作平面 ,使得 , 因为 , , ,则 , 因为 , ,则 ,故 ,A对;对于B选项,若 , ,则 ,又因为 ,故 ,B对; 对于C选项,若 , ,则 ,C对; 对于D选项,若 , , ,则 、 平行或相交,D错. 故选D. 5.在党的二十大报告中,习近平总书记提出要发展“高质量教育”,促进城乡教育均衡发展.某地区教育 行政部门积极响应党中央号召,近期将安排甲、乙、丙、丁4名教育专家前往某省教育相对落后的三个地区指 导教育教学工作,则每个地区至少安排1名专家的概率为( ) A. B. C. D. 【答案】B 【解析】甲、乙、丙、丁4名教育专家到三个地区指导教育教学工作的安排方法共有: 种; 每个地区至少安排1名专家的安排方法有: 种; 由古典概型的计算公式,每个地区至少安排1名专家的概率为: . 故选:B. 6.设 为抛物线 的焦点, 为该抛物线上三点,若 ,则 ( ) A.9 B.6 C.4 D.3 【答案】D 【解析】设 , , , , , ,抛物线焦点坐标 ,准线方程: , , 点 是 重心, 则 , . 而 , ,, 故选:D. 7.已知 ,则 ( ) A. B. C.1 D. 【答案】A 【解析】由题 , 得 , 则 或 , 因为 ,所以 , . 故选:A 8.已知 分别为双曲线 的左、右焦点,过 且与双曲线的一条渐近线平行的直线 交双曲线于点 ,若 ,则双曲线的离心率为( ) A. B. C. D. 【答案】B【解析】 如图,不妨设点P为与双曲线渐近线 平行的直线与双曲线的交点. 由已知结合双曲线的定义可得 , 所以, , , ,且 为锐角. 又 , , 所以, . 又 , 在 中,由余弦定理可得 , 整理可得, , 所以 , . 故选:B. 二、多项选择题:本题共3小题,每小题6分,共18分.在每小题给出的选项中,有多项符合题目要求. 全部选对的得6分,部分选对的得部分分,有选错的得0分. 9.若函数 的图象向左平移 个单位长度后得到函数 的图象,则( ) A. 的最小正周期为B. 是奇函数 C. 的图象关于直线 对称 D. 在 上单调递增 【答案】ACD 【解析】由题意,可得 , 则 的最小正周期为 ,且 不是奇函数,所以A正确,B不正确; 当 时,可得 , 所以 的图象关于直线 对称,所以C正确; 由 ,得 ,所以 在 上单调递增,所以D正确. 故选:ACD. 10.已知复数 , ( , )( 为虚数单位), 为 的共轭复数,则下列结论正确 的是( ) A. 的虚部为 B. C. D.若 ,则在复平面内 对应的点形成的图形的面积为 【答案】CD 【解析】由题意可得 ,所以 的虚部为 ,A错误, ,故 ,B错误,,C正确, 表示点 到 的距离不大于1的点构成的图形,故为以 为圆心,以1为半径的圆以及 内部,故面积为 ,D正确, 故选:CD 11.已知函数 , 的定义域均为R,且 , , ,则下列说法正确的有( ) A. B. 为奇函数 C. 的周期为6 D. 【答案】ACD 【解析】对于A, ,故A正确; , , ,令 , 则 ①, ②, ①+②可得 , , , ,因此 ,故C正确; 令 , , 令 , , ,则 ,故 , , 故 为偶函数,所以B不正确; 因为 ,故 关于 对称, 且 , ,令 , , 则 ,令 , , , 则 , , ,一个周期的和为0, 则 ,故D正确. 故选:ACD 三、填空题:本题共3小题,每小题5分,共15分. 12.已知集合 且 ,则实数a的取值范围是 . 【答案】 【解析】集合 且 ,则 . 13.传说古希腊数学家阿基米德的墓碑上刻着一个圆柱,圆柱内有一个内切球,这个球的直径恰好与圆柱 的高相等.“圆柱容球”是阿基米德最为得意的发现.在一个“圆柱容球”模型中,若球的体积为 ,则 该模型中圆柱的表面积为 . 【答案】 【解析】设球的半径为 ,则圆柱的底面半径为 ,母线长为 , 则球的体积为 ,所以 , 所以圆柱表面积为 .14.对于任意两个正实数a,b,定义 ,其中常数 .若 ,且 与 都 是集合 的元素,则 . 【答案】 / 【解析】由 与 都是集合 的元素, 不妨设 , 因为 ,所以 , 由已知 ,所以 ,则 , 又 ,所以 ,即 , 所以 , 所以 , , 则 ,即 , 因为 ,所以 ,则 ,即 . 四、解答题:本题共5小题,共77分.解答应写出文字说明、证明过程或演算步骤. 15.(13分)已知函数 在点 处的切线与直线 垂直. (1)求 ; 【解】(1) ,则 ,由题意可得 ,解得 ; (2)由 ,故 , 则 , , 故当 时, ,当 时, ,当 时, , 故 的单调递增区间为 、 , 的单调递减区间为 , 故 有极大值 , 有极小值 . 16.(15分)某班为了庆祝我国传统节日中秋节,设计了一个小游戏:在一个不透明箱中装有4个黑球, 3个红球,1个黄球,这些球除颜色外完全相同.每位学生从中一次随机摸出3个球,观察颜色后放回.若摸 出的球中有 个红球,则分得 个月饼;若摸出的球中有黄球,则需要表演一个节目. (1)求一学生既分得月饼又要表演节目的概率; (2)求每位学生分得月饼数的概率分布和数学期望. 【解】(1)记“一学生既分得月饼又要表演节目”为事件A, 可知有两种可能:“2个红球1个黄球”和“1个黑球,1个红球,1个黄球”, 所以 . (2)由题意可知 的可能取值为:0,1,2,3,则有: , , 可得 的分布列为 0 1 2 3所以 . 17.(15分)如图,在四棱柱 中,底面 和侧面 都是矩形, , . (1)求证: ; (2)若点 的在线段 上,且二面角 的大小为 ,求 的值. 【解】(1)在四棱柱 中, 底面 和侧面 都是矩形,则侧面 都是矩形, 有 , , , 平面 , 所以 平面 , 又因为 平面 ,所以 . (2) , . 取 分别为 的中点,连接 , , 因为 , 平面 , 所以 平面 ,因为 ,所以 , 所以以 为原点, 所在直线分别为 轴, 建立如图所示的空间直角坐标系, 因为 , ,则 . 则 , 设 ,即 ,可得 , , , 设平面 的一个法向量 , 则有 , 令 ,则 ,得 , 又平面 的一个法向量 , 因为二面角 的大小为 , 则有 , 整理得, ,解得 ,或 (舍), 所以 ,则 ,有 的值为2.18.(17分)在平面直角坐标系 中,抛物线 的焦点为 的准线 交 轴于点 , 过 的直线 与抛物线 相切于点 ,且交 轴正半轴于点 .已知 上的动点 到点 的距离与到直线 的距离之和的最小值为3. (1)求抛物线 的方程; (2)过点 的直线交 于 两点,过 且平行于 轴的直线与线段 交于点 ,点 满足 .证 明:直线 过定点. 【解】(1)设 ,由题意知准线 , 由抛物线的定义可知点 到点 的距离等于点 到准线 的距离, 所以点 到点 的距离与到直线 的距离之和为 , 由题意知当 时,距离之和最小, 所以 ,解得 , 所以抛物线 的方程为 . (2)由(1)知 ,设 , 联立方程 ,得 , 由 得 ,解得 ,又与 轴交于正半轴,所以 由 解得 ,所以点 , 所以直线 , 所以直线 ,所以 , 因为 斜率存在且不为零,所以设 ,联立 ,消去 ,得 , 则 ,所以 且 . , 又直线 ,令 ,得 ,所以 , 因为 ,所以 , 所以 , 所以直线 的方程为 , 所以 , 因为 , 所以直线 为 ,所以 恒过定点 . 19.(17分)今有一个“数列过滤器”,它会将进入的无穷非减正整数数列删去某些项,并将剩下的项按 原来的位置排好形成一个新的无穷非减正整数数列,每次“过滤”会删去数列中除以 余数为 的项, 将这样的操作记为 操作.设数列 是无穷非减正整数数列.(1)若 , 进行 操作后得到 ,设 前 项和为 ①求 . ②是否存在 ,使得 成等差?若存在,求出所有的 ;若不存在,说明理由. (2)若 ,对 进行 与 操作得到 ,再将 中下标除以4余数为0,1的项 删掉最终得到 证明:每个大于1的奇平方数都是 中相邻两项的和. 【解】(1)①由 知:当 时 ,故 . 则 . ②解:假设存在,由 单调递增,不妨设 化简得 ,显然左式为偶数,右式为奇数,矛盾,故不存在. (2)易知 , 所以保留 ,则 . 又 ,将 删去, 得到 ,则 也即 . 记 ,下面证明: . 由 , 知: ,同理可得: , 合并以上四式,便证明了对任意的 ,都有 . 因此,原命题得证.