当前位置:首页>文档>2014年北京市高考物理试卷(原卷版)_全国卷+地方卷_4.物理_1.物理高考真题试卷_2008-2020年_地方卷_北京高考物理08-21_A4word版_PDF版(赠送)

2014年北京市高考物理试卷(原卷版)_全国卷+地方卷_4.物理_1.物理高考真题试卷_2008-2020年_地方卷_北京高考物理08-21_A4word版_PDF版(赠送)

  • 2026-04-06 04:58:05 2026-03-05 13:43:14

文档预览

2014年北京市高考物理试卷(原卷版)_全国卷+地方卷_4.物理_1.物理高考真题试卷_2008-2020年_地方卷_北京高考物理08-21_A4word版_PDF版(赠送)
2014年北京市高考物理试卷(原卷版)_全国卷+地方卷_4.物理_1.物理高考真题试卷_2008-2020年_地方卷_北京高考物理08-21_A4word版_PDF版(赠送)
2014年北京市高考物理试卷(原卷版)_全国卷+地方卷_4.物理_1.物理高考真题试卷_2008-2020年_地方卷_北京高考物理08-21_A4word版_PDF版(赠送)
2014年北京市高考物理试卷(原卷版)_全国卷+地方卷_4.物理_1.物理高考真题试卷_2008-2020年_地方卷_北京高考物理08-21_A4word版_PDF版(赠送)
2014年北京市高考物理试卷(原卷版)_全国卷+地方卷_4.物理_1.物理高考真题试卷_2008-2020年_地方卷_北京高考物理08-21_A4word版_PDF版(赠送)
2014年北京市高考物理试卷(原卷版)_全国卷+地方卷_4.物理_1.物理高考真题试卷_2008-2020年_地方卷_北京高考物理08-21_A4word版_PDF版(赠送)
2014年北京市高考物理试卷(原卷版)_全国卷+地方卷_4.物理_1.物理高考真题试卷_2008-2020年_地方卷_北京高考物理08-21_A4word版_PDF版(赠送)

文档信息

文档格式
pdf
文档大小
0.606 MB
文档页数
7 页
上传时间
2026-03-05 13:43:14

文档内容

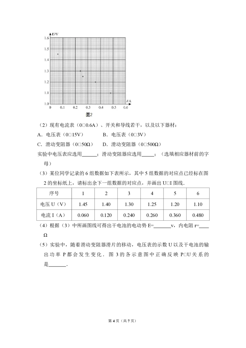
2014 年北京市高考物理试卷 一.选择题 1.(3分)下列说法中正确的是( ) A.物体温度降低,其分子热运动的平均动能增大 B.物体温度升高,其分子热运动的平均动能增大 C.物体温度降低,其内能一定增大 D.物体温度不变,其内能一定不变 2.(3分)质子、中子和氘核的质量分别为 m 、m 和 m .当一个质子和一个 1 2 3 中子结合成氘核时,释放的能量是(c表示真空中的光速)( ) A.(m +m ﹣m )c B.(m ﹣m ﹣m )c 1 2 3 1 2 3 C.(m +m ﹣m )c2 D.(m ﹣m ﹣m )c2 1 2 3 1 2 3 3.(3分)如图所示,实线表示某静电场的电场线,虚线表示该电场的等势 面。下列判断正确的是( ) A.1、2两点的场强相等 B.1、3两点的场强相等 C.1、2两点的电势相等 D.2、3两点的电势相等 4.(3分)带电粒子 a、b在同一匀强磁场中做匀速圆周运动,它们的动量大 小相等,a运动的半径大于 b运动的半径.若 a、b的电荷量分别为 q 、q , a b 质量分别为m 、m ,周期分别为 T 、T .则一定有( ) a b a b A.q <q B.m <m a b a b C.T <T D. < a b 5.(3分)一简谐机械横波沿 x轴正方向传播,波长为 λ,周期为 T,t=0时刻 的波形如图 1所示,a、b是波上的两个质点.图 2是波上某一质点的振动图 象.下列说法正确的是( ) 第1页(共7页)A.t=0时质点a的速度比质点b的大 B.t=0时质点 a的加速度比质点 b的小 C.图 2可以表示质点a的振动 D.图2可以表示质点b的振动 6.(3 分)应用物理知识分析生活中的常见现象,可以使物理学习更加有趣和 深入。例如平伸手掌托起物体,由静止开始竖直向上运动,直至将物体抛 出。对此现象分析正确的是( ) A.手托物体向上运动的过程中,物体始终处于超重状态 B.手托物体向上运动的过程中,物体始终处于失重状态 C.在物体离开手的瞬间,物体的加速度大于重力加速度 D.在物体离开手的瞬间,手的加速度大于重力加速度 7.(3 分)伽利略创造的把实验、假设和逻辑推理相结合的科学方法,有力地 促进了人类科学认识的发展。利用如图所示的装置做如下实验:小球从左侧 斜面上的 O 点由静止释放后沿斜面向下运动,并沿右侧斜面上升。斜面上先 后铺垫三种粗糙程度逐渐减低的材料时,小球沿右侧斜面上升到的最高位置 依次为 1、2、3.根据三次实验结果的对比,可以得到的最直接的结论是 ( ) A.如果斜面光滑,小球将上升到与O 点等高的位置 B.如果小球不受力,它将一直保持匀速运动或静止状态 C.如果小球受到力的作用,它的运动状态将发生改变 D.小球受到的力一定时,质量越大,它的加速度越小 第2页(共7页)8.(3 分)以往,已知材料的折射率都为正值(n>0).现已有针对某些电磁 波设计制作的人工材料,其折射率可以为负值(n<0),称为负折射率材 料.位于空气中的这类材料,入射角 i与折射角 γ依然满足 =n,但是 折射线与入射线位于法线的同一侧(此时折射角取负值).若该材料对于电 磁波的折射率 n=﹣1,正确反映电磁波穿过该材料的传播路径的示意图是 ( ) A. B. C. D. 二.实验题 9.(18 分)利用电流表和电压表测定一节干电池的电动势和内电阻.要求尽 量减小实验误差. (1)应该选择的实验电路是图1中的 (选项“甲”或“乙”). 第3页(共7页)(2)现有电流表(0﹣0.6A)、开关和导线若干,以及以下器材: A.电压表(0﹣15V) B.电压表(0﹣3V) C.滑动变阻器(0﹣50Ω) D.滑动变阻器(0﹣500Ω) 实验中电压表应选用 ;滑动变阻器应选用 ;(选填相应器材前的字 母) (3)某位同学记录的6组数据如下表所示,其中5组数据的对应点已经标在图 2的坐标纸上,请标出余下一组数据的对应点,并画出 U﹣I 图线. 序号 1 2 3 4 5 6 电压 U(V) 1.45 1.40 1.30 1.25 1.20 1.10 电流I(A) 0.060 0.120 0.240 0.260 0.360 0.480 (4)根据(3)中所画图线可得出干电池的电动势 E= v,内电阻 r= Ω (5)实验中,随着滑动变阻器滑片的移动,电压表的示数 U 以及干电池的输 出功率 P 都会发生变化.图 3的各示意图中正确反映 P﹣U 关系的 是 . 第4页(共7页)三.计算题 10.(16分)如图所示,竖直平面内的四分之一圆弧轨道下端与水平桌面相 切,小滑块 A 和 B分别静止在圆弧轨道的最高点和最低点.现将 A 无初速 释放,A 与 B 碰撞后结合为一个整体,并沿桌面滑动.已知圆弧轨道光滑, 半径 R=0.2m;A 和 B 的质量相等;A 和 B 整体与桌面之间的动摩擦因数 μ=0.2.重力加速度g取10m/s2.求: (1)碰撞前瞬间A 的速率v; (2)碰撞后瞬间A 和B整体的速率v′; (3)A 和B整体在桌面上滑动的距离l. 11.万有引力定律揭示了天体运动规律与地上物体运动规律具有内在的一致 性. (1)用弹簧秤称量一个相对于地球静止的小物体的重量,随称量位置的变化可 能会有不同的结果.已知地球质量为 M,自转周期为 T,万有引力常量为 G.将地球视为半径为 R、质量均匀分布的球体,不考虑空气的影响.设在 地球北极地面称量时,弹簧秤的读数是 F 0 a.若在北极上空高出地面 h处称量,弹簧秤读数为 F ,求比值 的表达式, 1 第5页(共7页)并就h=1.0%R的情形算出具体数值(计算结果保留两位有效数字); b.若在赤道地面称量,弹簧秤读数为F ,求比值 的表达式. 2 (2)设想地球绕太阳公转的圆周轨道半径为r、太阳的半径为R 和地球的半径 s R三者均减小为现在的 1.0%,而太阳和地球的密度均匀且不变.仅考虑太阳 和地球之间的相互作用,以现实地球的 1年为标准,计算“设想地球”的一年 将变为多长? 12.(20分)导体切割磁感线的运动可以从宏观和微观两个角度来认识.如图 所示,固定于水平面的 U 型导线框处于竖直向下的匀强磁场中,金属直导线 MN 在于其垂直的水平恒力 F 作用下,在导线框上以速度 v做匀速运动,速 度v与恒力F 的方向相同:导线MN 始终与导线框形成闭合电路.已知导线 MN 电阻为 R,其长度 L恰好等于平行轨道间距,磁场的磁感应强度为 B.忽略摩擦阻力和导线框的电阻. (1)通过公式推导验证:在△t时间内,F 对导线 MN 所做的功 W等于电路获 得的电能W′,也等于导线 MN 中产生的焦耳热Q; (2)若导线 MN 的质量 m=8.0g,长度 L=0.10m,感应电流 I=1.0A,假设一个 原子贡献一个自由电子,计算导线 MN 中电子沿导线长度方向定向移动的平 均速率v (下表中列出一些你可能会用到的数据); e 阿伏伽德罗常数N 6.0×1023mol﹣1 A 元电荷e 1.6×10﹣19C 导线MN 的摩尔质量μ 6.0×10﹣2Kg/mol (3)经典物理学认为,金属的电阻源于定向运动的自由电子和金属离子(即金 属原子失去电子后的剩余部分)的碰撞.展开你想象的翅膀,给出一个合理 的自由电子的运动模型;在此基础上,求出导线 MN 中金属离子对一个自由 电子沿导线长度方向的平均作用力 f 的表达式. 第6页(共7页)第7页(共7页)