当前位置:首页>文档>专题09特殊三角形(含勾股定理)(4大模块知识梳理+11个考点+5个重难点+3个易错点)(解析版)_02中考总复习(2026版更新中)_02-数学-中考总复习_2025中考复习资料

专题09特殊三角形(含勾股定理)(4大模块知识梳理+11个考点+5个重难点+3个易错点)(解析版)_02中考总复习(2026版更新中)_02-数学-中考总复习_2025中考复习资料

  • 2026-04-02 13:18:09 2026-03-06 02:44:52

文档预览

专题09特殊三角形(含勾股定理)(4大模块知识梳理+11个考点+5个重难点+3个易错点)(解析版)_02中考总复习(2026版更新中)_02-数学-中考总复习_2025中考复习资料
专题09特殊三角形(含勾股定理)(4大模块知识梳理+11个考点+5个重难点+3个易错点)(解析版)_02中考总复习(2026版更新中)_02-数学-中考总复习_2025中考复习资料
专题09特殊三角形(含勾股定理)(4大模块知识梳理+11个考点+5个重难点+3个易错点)(解析版)_02中考总复习(2026版更新中)_02-数学-中考总复习_2025中考复习资料
专题09特殊三角形(含勾股定理)(4大模块知识梳理+11个考点+5个重难点+3个易错点)(解析版)_02中考总复习(2026版更新中)_02-数学-中考总复习_2025中考复习资料
专题09特殊三角形(含勾股定理)(4大模块知识梳理+11个考点+5个重难点+3个易错点)(解析版)_02中考总复习(2026版更新中)_02-数学-中考总复习_2025中考复习资料
专题09特殊三角形(含勾股定理)(4大模块知识梳理+11个考点+5个重难点+3个易错点)(解析版)_02中考总复习(2026版更新中)_02-数学-中考总复习_2025中考复习资料
专题09特殊三角形(含勾股定理)(4大模块知识梳理+11个考点+5个重难点+3个易错点)(解析版)_02中考总复习(2026版更新中)_02-数学-中考总复习_2025中考复习资料
专题09特殊三角形(含勾股定理)(4大模块知识梳理+11个考点+5个重难点+3个易错点)(解析版)_02中考总复习(2026版更新中)_02-数学-中考总复习_2025中考复习资料
专题09特殊三角形(含勾股定理)(4大模块知识梳理+11个考点+5个重难点+3个易错点)(解析版)_02中考总复习(2026版更新中)_02-数学-中考总复习_2025中考复习资料
专题09特殊三角形(含勾股定理)(4大模块知识梳理+11个考点+5个重难点+3个易错点)(解析版)_02中考总复习(2026版更新中)_02-数学-中考总复习_2025中考复习资料
专题09特殊三角形(含勾股定理)(4大模块知识梳理+11个考点+5个重难点+3个易错点)(解析版)_02中考总复习(2026版更新中)_02-数学-中考总复习_2025中考复习资料
专题09特殊三角形(含勾股定理)(4大模块知识梳理+11个考点+5个重难点+3个易错点)(解析版)_02中考总复习(2026版更新中)_02-数学-中考总复习_2025中考复习资料
专题09特殊三角形(含勾股定理)(4大模块知识梳理+11个考点+5个重难点+3个易错点)(解析版)_02中考总复习(2026版更新中)_02-数学-中考总复习_2025中考复习资料
专题09特殊三角形(含勾股定理)(4大模块知识梳理+11个考点+5个重难点+3个易错点)(解析版)_02中考总复习(2026版更新中)_02-数学-中考总复习_2025中考复习资料
专题09特殊三角形(含勾股定理)(4大模块知识梳理+11个考点+5个重难点+3个易错点)(解析版)_02中考总复习(2026版更新中)_02-数学-中考总复习_2025中考复习资料
专题09特殊三角形(含勾股定理)(4大模块知识梳理+11个考点+5个重难点+3个易错点)(解析版)_02中考总复习(2026版更新中)_02-数学-中考总复习_2025中考复习资料
专题09特殊三角形(含勾股定理)(4大模块知识梳理+11个考点+5个重难点+3个易错点)(解析版)_02中考总复习(2026版更新中)_02-数学-中考总复习_2025中考复习资料
专题09特殊三角形(含勾股定理)(4大模块知识梳理+11个考点+5个重难点+3个易错点)(解析版)_02中考总复习(2026版更新中)_02-数学-中考总复习_2025中考复习资料
专题09特殊三角形(含勾股定理)(4大模块知识梳理+11个考点+5个重难点+3个易错点)(解析版)_02中考总复习(2026版更新中)_02-数学-中考总复习_2025中考复习资料
专题09特殊三角形(含勾股定理)(4大模块知识梳理+11个考点+5个重难点+3个易错点)(解析版)_02中考总复习(2026版更新中)_02-数学-中考总复习_2025中考复习资料
专题09特殊三角形(含勾股定理)(4大模块知识梳理+11个考点+5个重难点+3个易错点)(解析版)_02中考总复习(2026版更新中)_02-数学-中考总复习_2025中考复习资料
专题09特殊三角形(含勾股定理)(4大模块知识梳理+11个考点+5个重难点+3个易错点)(解析版)_02中考总复习(2026版更新中)_02-数学-中考总复习_2025中考复习资料
专题09特殊三角形(含勾股定理)(4大模块知识梳理+11个考点+5个重难点+3个易错点)(解析版)_02中考总复习(2026版更新中)_02-数学-中考总复习_2025中考复习资料
专题09特殊三角形(含勾股定理)(4大模块知识梳理+11个考点+5个重难点+3个易错点)(解析版)_02中考总复习(2026版更新中)_02-数学-中考总复习_2025中考复习资料
专题09特殊三角形(含勾股定理)(4大模块知识梳理+11个考点+5个重难点+3个易错点)(解析版)_02中考总复习(2026版更新中)_02-数学-中考总复习_2025中考复习资料
专题09特殊三角形(含勾股定理)(4大模块知识梳理+11个考点+5个重难点+3个易错点)(解析版)_02中考总复习(2026版更新中)_02-数学-中考总复习_2025中考复习资料
专题09特殊三角形(含勾股定理)(4大模块知识梳理+11个考点+5个重难点+3个易错点)(解析版)_02中考总复习(2026版更新中)_02-数学-中考总复习_2025中考复习资料
专题09特殊三角形(含勾股定理)(4大模块知识梳理+11个考点+5个重难点+3个易错点)(解析版)_02中考总复习(2026版更新中)_02-数学-中考总复习_2025中考复习资料
专题09特殊三角形(含勾股定理)(4大模块知识梳理+11个考点+5个重难点+3个易错点)(解析版)_02中考总复习(2026版更新中)_02-数学-中考总复习_2025中考复习资料
专题09特殊三角形(含勾股定理)(4大模块知识梳理+11个考点+5个重难点+3个易错点)(解析版)_02中考总复习(2026版更新中)_02-数学-中考总复习_2025中考复习资料
专题09特殊三角形(含勾股定理)(4大模块知识梳理+11个考点+5个重难点+3个易错点)(解析版)_02中考总复习(2026版更新中)_02-数学-中考总复习_2025中考复习资料
专题09特殊三角形(含勾股定理)(4大模块知识梳理+11个考点+5个重难点+3个易错点)(解析版)_02中考总复习(2026版更新中)_02-数学-中考总复习_2025中考复习资料
专题09特殊三角形(含勾股定理)(4大模块知识梳理+11个考点+5个重难点+3个易错点)(解析版)_02中考总复习(2026版更新中)_02-数学-中考总复习_2025中考复习资料
专题09特殊三角形(含勾股定理)(4大模块知识梳理+11个考点+5个重难点+3个易错点)(解析版)_02中考总复习(2026版更新中)_02-数学-中考总复习_2025中考复习资料
专题09特殊三角形(含勾股定理)(4大模块知识梳理+11个考点+5个重难点+3个易错点)(解析版)_02中考总复习(2026版更新中)_02-数学-中考总复习_2025中考复习资料
专题09特殊三角形(含勾股定理)(4大模块知识梳理+11个考点+5个重难点+3个易错点)(解析版)_02中考总复习(2026版更新中)_02-数学-中考总复习_2025中考复习资料
专题09特殊三角形(含勾股定理)(4大模块知识梳理+11个考点+5个重难点+3个易错点)(解析版)_02中考总复习(2026版更新中)_02-数学-中考总复习_2025中考复习资料
专题09特殊三角形(含勾股定理)(4大模块知识梳理+11个考点+5个重难点+3个易错点)(解析版)_02中考总复习(2026版更新中)_02-数学-中考总复习_2025中考复习资料
专题09特殊三角形(含勾股定理)(4大模块知识梳理+11个考点+5个重难点+3个易错点)(解析版)_02中考总复习(2026版更新中)_02-数学-中考总复习_2025中考复习资料
专题09特殊三角形(含勾股定理)(4大模块知识梳理+11个考点+5个重难点+3个易错点)(解析版)_02中考总复习(2026版更新中)_02-数学-中考总复习_2025中考复习资料
专题09特殊三角形(含勾股定理)(4大模块知识梳理+11个考点+5个重难点+3个易错点)(解析版)_02中考总复习(2026版更新中)_02-数学-中考总复习_2025中考复习资料
专题09特殊三角形(含勾股定理)(4大模块知识梳理+11个考点+5个重难点+3个易错点)(解析版)_02中考总复习(2026版更新中)_02-数学-中考总复习_2025中考复习资料
专题09特殊三角形(含勾股定理)(4大模块知识梳理+11个考点+5个重难点+3个易错点)(解析版)_02中考总复习(2026版更新中)_02-数学-中考总复习_2025中考复习资料
专题09特殊三角形(含勾股定理)(4大模块知识梳理+11个考点+5个重难点+3个易错点)(解析版)_02中考总复习(2026版更新中)_02-数学-中考总复习_2025中考复习资料
专题09特殊三角形(含勾股定理)(4大模块知识梳理+11个考点+5个重难点+3个易错点)(解析版)_02中考总复习(2026版更新中)_02-数学-中考总复习_2025中考复习资料
专题09特殊三角形(含勾股定理)(4大模块知识梳理+11个考点+5个重难点+3个易错点)(解析版)_02中考总复习(2026版更新中)_02-数学-中考总复习_2025中考复习资料
专题09特殊三角形(含勾股定理)(4大模块知识梳理+11个考点+5个重难点+3个易错点)(解析版)_02中考总复习(2026版更新中)_02-数学-中考总复习_2025中考复习资料
专题09特殊三角形(含勾股定理)(4大模块知识梳理+11个考点+5个重难点+3个易错点)(解析版)_02中考总复习(2026版更新中)_02-数学-中考总复习_2025中考复习资料
专题09特殊三角形(含勾股定理)(4大模块知识梳理+11个考点+5个重难点+3个易错点)(解析版)_02中考总复习(2026版更新中)_02-数学-中考总复习_2025中考复习资料
专题09特殊三角形(含勾股定理)(4大模块知识梳理+11个考点+5个重难点+3个易错点)(解析版)_02中考总复习(2026版更新中)_02-数学-中考总复习_2025中考复习资料
专题09特殊三角形(含勾股定理)(4大模块知识梳理+11个考点+5个重难点+3个易错点)(解析版)_02中考总复习(2026版更新中)_02-数学-中考总复习_2025中考复习资料
专题09特殊三角形(含勾股定理)(4大模块知识梳理+11个考点+5个重难点+3个易错点)(解析版)_02中考总复习(2026版更新中)_02-数学-中考总复习_2025中考复习资料
专题09特殊三角形(含勾股定理)(4大模块知识梳理+11个考点+5个重难点+3个易错点)(解析版)_02中考总复习(2026版更新中)_02-数学-中考总复习_2025中考复习资料
专题09特殊三角形(含勾股定理)(4大模块知识梳理+11个考点+5个重难点+3个易错点)(解析版)_02中考总复习(2026版更新中)_02-数学-中考总复习_2025中考复习资料
专题09特殊三角形(含勾股定理)(4大模块知识梳理+11个考点+5个重难点+3个易错点)(解析版)_02中考总复习(2026版更新中)_02-数学-中考总复习_2025中考复习资料
专题09特殊三角形(含勾股定理)(4大模块知识梳理+11个考点+5个重难点+3个易错点)(解析版)_02中考总复习(2026版更新中)_02-数学-中考总复习_2025中考复习资料
专题09特殊三角形(含勾股定理)(4大模块知识梳理+11个考点+5个重难点+3个易错点)(解析版)_02中考总复习(2026版更新中)_02-数学-中考总复习_2025中考复习资料
专题09特殊三角形(含勾股定理)(4大模块知识梳理+11个考点+5个重难点+3个易错点)(解析版)_02中考总复习(2026版更新中)_02-数学-中考总复习_2025中考复习资料
专题09特殊三角形(含勾股定理)(4大模块知识梳理+11个考点+5个重难点+3个易错点)(解析版)_02中考总复习(2026版更新中)_02-数学-中考总复习_2025中考复习资料
专题09特殊三角形(含勾股定理)(4大模块知识梳理+11个考点+5个重难点+3个易错点)(解析版)_02中考总复习(2026版更新中)_02-数学-中考总复习_2025中考复习资料
专题09特殊三角形(含勾股定理)(4大模块知识梳理+11个考点+5个重难点+3个易错点)(解析版)_02中考总复习(2026版更新中)_02-数学-中考总复习_2025中考复习资料
专题09特殊三角形(含勾股定理)(4大模块知识梳理+11个考点+5个重难点+3个易错点)(解析版)_02中考总复习(2026版更新中)_02-数学-中考总复习_2025中考复习资料
专题09特殊三角形(含勾股定理)(4大模块知识梳理+11个考点+5个重难点+3个易错点)(解析版)_02中考总复习(2026版更新中)_02-数学-中考总复习_2025中考复习资料
专题09特殊三角形(含勾股定理)(4大模块知识梳理+11个考点+5个重难点+3个易错点)(解析版)_02中考总复习(2026版更新中)_02-数学-中考总复习_2025中考复习资料
专题09特殊三角形(含勾股定理)(4大模块知识梳理+11个考点+5个重难点+3个易错点)(解析版)_02中考总复习(2026版更新中)_02-数学-中考总复习_2025中考复习资料
专题09特殊三角形(含勾股定理)(4大模块知识梳理+11个考点+5个重难点+3个易错点)(解析版)_02中考总复习(2026版更新中)_02-数学-中考总复习_2025中考复习资料
专题09特殊三角形(含勾股定理)(4大模块知识梳理+11个考点+5个重难点+3个易错点)(解析版)_02中考总复习(2026版更新中)_02-数学-中考总复习_2025中考复习资料
专题09特殊三角形(含勾股定理)(4大模块知识梳理+11个考点+5个重难点+3个易错点)(解析版)_02中考总复习(2026版更新中)_02-数学-中考总复习_2025中考复习资料
专题09特殊三角形(含勾股定理)(4大模块知识梳理+11个考点+5个重难点+3个易错点)(解析版)_02中考总复习(2026版更新中)_02-数学-中考总复习_2025中考复习资料
专题09特殊三角形(含勾股定理)(4大模块知识梳理+11个考点+5个重难点+3个易错点)(解析版)_02中考总复习(2026版更新中)_02-数学-中考总复习_2025中考复习资料
专题09特殊三角形(含勾股定理)(4大模块知识梳理+11个考点+5个重难点+3个易错点)(解析版)_02中考总复习(2026版更新中)_02-数学-中考总复习_2025中考复习资料
专题09特殊三角形(含勾股定理)(4大模块知识梳理+11个考点+5个重难点+3个易错点)(解析版)_02中考总复习(2026版更新中)_02-数学-中考总复习_2025中考复习资料
专题09特殊三角形(含勾股定理)(4大模块知识梳理+11个考点+5个重难点+3个易错点)(解析版)_02中考总复习(2026版更新中)_02-数学-中考总复习_2025中考复习资料
专题09特殊三角形(含勾股定理)(4大模块知识梳理+11个考点+5个重难点+3个易错点)(解析版)_02中考总复习(2026版更新中)_02-数学-中考总复习_2025中考复习资料
专题09特殊三角形(含勾股定理)(4大模块知识梳理+11个考点+5个重难点+3个易错点)(解析版)_02中考总复习(2026版更新中)_02-数学-中考总复习_2025中考复习资料
专题09特殊三角形(含勾股定理)(4大模块知识梳理+11个考点+5个重难点+3个易错点)(解析版)_02中考总复习(2026版更新中)_02-数学-中考总复习_2025中考复习资料
专题09特殊三角形(含勾股定理)(4大模块知识梳理+11个考点+5个重难点+3个易错点)(解析版)_02中考总复习(2026版更新中)_02-数学-中考总复习_2025中考复习资料
专题09特殊三角形(含勾股定理)(4大模块知识梳理+11个考点+5个重难点+3个易错点)(解析版)_02中考总复习(2026版更新中)_02-数学-中考总复习_2025中考复习资料
专题09特殊三角形(含勾股定理)(4大模块知识梳理+11个考点+5个重难点+3个易错点)(解析版)_02中考总复习(2026版更新中)_02-数学-中考总复习_2025中考复习资料
专题09特殊三角形(含勾股定理)(4大模块知识梳理+11个考点+5个重难点+3个易错点)(解析版)_02中考总复习(2026版更新中)_02-数学-中考总复习_2025中考复习资料
专题09特殊三角形(含勾股定理)(4大模块知识梳理+11个考点+5个重难点+3个易错点)(解析版)_02中考总复习(2026版更新中)_02-数学-中考总复习_2025中考复习资料
专题09特殊三角形(含勾股定理)(4大模块知识梳理+11个考点+5个重难点+3个易错点)(解析版)_02中考总复习(2026版更新中)_02-数学-中考总复习_2025中考复习资料
专题09特殊三角形(含勾股定理)(4大模块知识梳理+11个考点+5个重难点+3个易错点)(解析版)_02中考总复习(2026版更新中)_02-数学-中考总复习_2025中考复习资料
专题09特殊三角形(含勾股定理)(4大模块知识梳理+11个考点+5个重难点+3个易错点)(解析版)_02中考总复习(2026版更新中)_02-数学-中考总复习_2025中考复习资料
专题09特殊三角形(含勾股定理)(4大模块知识梳理+11个考点+5个重难点+3个易错点)(解析版)_02中考总复习(2026版更新中)_02-数学-中考总复习_2025中考复习资料
专题09特殊三角形(含勾股定理)(4大模块知识梳理+11个考点+5个重难点+3个易错点)(解析版)_02中考总复习(2026版更新中)_02-数学-中考总复习_2025中考复习资料
专题09特殊三角形(含勾股定理)(4大模块知识梳理+11个考点+5个重难点+3个易错点)(解析版)_02中考总复习(2026版更新中)_02-数学-中考总复习_2025中考复习资料
专题09特殊三角形(含勾股定理)(4大模块知识梳理+11个考点+5个重难点+3个易错点)(解析版)_02中考总复习(2026版更新中)_02-数学-中考总复习_2025中考复习资料
专题09特殊三角形(含勾股定理)(4大模块知识梳理+11个考点+5个重难点+3个易错点)(解析版)_02中考总复习(2026版更新中)_02-数学-中考总复习_2025中考复习资料

文档信息

文档格式
docx
文档大小
3.203 MB
文档页数
89 页
上传时间
2026-03-06 02:44:52

文档内容

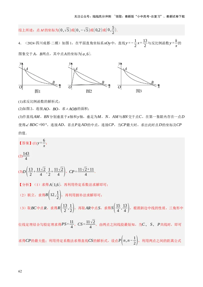
关注公众号:陆陆高分冲刺 ~领取:最新版“小中高考-总复习”、最新试卷下载 专题 09 特殊三角形(含勾股定理) 目录 01 理·思维导图:呈现教材知识结构,构建学科知识体系。 02 盘·基础知识:甄选核心知识逐项分解,基础不丢分。(4大模块知识梳理) 知识模块一:等腰三角形 知识模块二:等边三角形 知识模块三:直角三角形 知识模块四:勾股定理 03 究·考点考法:对考点考法进行细致剖析和讲解,全面提升。(10大考点) 考点一: 分类讨论思想在特殊三角形中的应用 考点二: 利用特殊三角形的性质求解 考点三: 特殊三角形的判定 考点四: 特殊三角形性质与判定综合 考点五: 与特殊三角形性质有关的折叠问题 考点六: 与特殊三角形性质有关的多结论问题 考点七:与特殊三角形性质有关的规律探究问题 考点八: 利用勾股定理及其逆定理求解 考点九: 利用勾股定理及其逆定理与网格问题 考点十: 用勾股定理逆定理解决实际生活问题 考点十一: 特殊三角形与函数综合 04 破·重点难点:突破重难点,冲刺高分。(5大重难点) 重难点一:手拉手模型 重难点二: 赵爽弦图 重难点三:利用等面积法探究线段关系(维维尼亚模型) 重难点四:求最短路径问题 重难点五:勾股树模型 05 辨·易混易错:点拨易混易错知识点,夯实基础。(5大易错点) 易错点一:等腰三角形腰上的高,中线误用三线合一定理 易错点二:机械的运用勾股定理逆定理求解 易错点三:等腰三角形中未利用分类讨论思想求解 1关注公众号:陆陆高分冲刺 ~领取:最新版“小中高考-总复习”、最新试卷下载 知识模块一:等腰三角形 知识点一:等腰三角形的定义 定义:有两条边相等的三角形,叫做等腰三角形,其中相等的两条边叫做腰,另一边叫做底,两腰所夹的 角叫做顶角,底边与腰的夹角叫做底角. 知识点二:等腰三角形的性质 等腰三角形性质: 1)等腰三角形是轴对称图形,它有1条或3条对称轴, ①当腰和底边不相等的等腰三角形只有1条对称轴, 2关注公众号:陆陆高分冲刺 ~领取:最新版“小中高考-总复习”、最新试卷下载 ②当腰和底边不相等的等腰三角形只有3条对称轴. 2)等腰三角形的两个底角相等(简称“等边对等角”). 3)等腰三角形的顶角平分线、底边上的中线、底边上的高相互重合.(简称“三线合一”). 【注意】“三线合一”的前提是等腰三角形,且必须是顶角的角平分线,底边上的高和底边上的中线. 知识点三:等腰三角形的判定 等腰三角形的判定: 1)定义法:两边相等的三角形是等腰三角形; 2)定理法:有两个角相等的三角形是等腰三角形,即这两个角所对的边也相等(简称“等角对等边”). 【总结】证明两个角相等的方法: 1)如果角在同一个三角形中,先考虑“等边对等角”来证明. 2)如果角不在同一个三角形中,可证明两个三角形全等来解决. 【易错易混】 1)底角为顶角的2倍的等腰三角形非常特殊,其底角平分线将原等腰三角形分成两个等腰三角形.(即顶 角36°,底角72°). 2)等腰三角形的判定定理是证明两条线段相等的重要依据,是把三角形中的角的相等关系转化为边的相 等关系的重要依据. 3)等腰三角形的边有腰、底之分,角有顶角、底角之分,若题目中的边没有明确是底还是腰,角没有明是顶 角还是底角,需要分类讨论. 知识模块二:等边三角形 知识点一:等边三角形的定义 定义:三条边都相等的三角形叫等边三角形,它是特殊的等腰三角形. 知识点二:等边三角形的性质 1)等边三角形是轴对称图形,并且有3条对称轴; 2)等边三角形的三条边相等; 3)三个内角都相等,并且每个内角都是60°. 3关注公众号:陆陆高分冲刺 ~领取:最新版“小中高考-总复习”、最新试卷下载 知识点三:等边三角形的判定 等边三角形的判定: 1)定义法:三边相等的三角形是等边三角形; 2)三个角都相等的三角形是等边三角形. 3)有一个角是60°的等腰三角形是等边三角形. 【补充】 1)等边三角形具有等腰三角形的一切性质. 2)等边三角形的内心、外心、重心和垂心重合. 3)在等腰三角形中,只要有一个角是60°,无论这个角是顶角还是底角,这个三角形就是等边三角形. √3 4)等边三角形面积的求解方法: S 正三角形 = 4 边长2 知识模块三:直角三角形 知识点一:直角三角形的定义 定义:有一个角是直角的三角形叫做直角三角形. 知识点二:直角三角形的性质 性质 直角三角形两个锐角互 直角三角形斜边上的中线等于斜边 在直角三角形中,30°角所对的 余. 的一半. 直角边等于斜边的一半. 图示 A A A D 30° C B C B C B 几何 在△ABC,∠C=90° 在△ABC,∠C=90°,CD为AB边的 在 △ ABC , ∠ C=90° , 描述 中点,∴∠A+∠B=90° ∠B=30°, ∴∠A+∠B=90° ∴AB=2AC 1 1 面积公式:S= ab= cm (其中:c为斜边上的高,m为斜边长) 2 2 4关注公众号:陆陆高分冲刺 ~领取:最新版“小中高考-总复习”、最新试卷下载 m b c a 知识点二:直角三角形的判定 判定:1)两个内角互余的三角形是直角三角形. 2)三角形一边上的中线等于这条边的一半,那么这个三角形是直角三角形. 3)有一个角是直角的三角形叫做直角三角形. 4)勾股定理逆定理:如果三角形的三边长a,b,c满足 ,那么这个三角形是直角三角 形. 知识模块四:勾股定理 知识点一:勾股定理的内容 文字语言:直角三角形两条直角边的平方和等于斜边的平方. 符号语言:如果直角三角形的两直角边分别为a,b,斜边为c,那么a2+b2=c2. 变式:a2=c2−b2,b2=c2−a2, c=√a2+b2,a=√c2−b2,b=√c2−b2. 【易错点】 1)勾股定理揭示了直角三角形三条边之间所存在的数量关系,它只适用于直角三角形,因而在应用勾股 定理时,必须明了所考察的对象是直角三角形; 2)如果已知的两边没有指明边的类型,那么它们可能都是直角边,也可能是一条直角边、一条斜边,求 解时必须进行分类讨论,以免漏解. 3)应用勾股定理时,要分清直角边和斜边,尤其在记忆a2+b2=c2时,斜边只能是c.若b为斜边,则关 系式是a2+c2=b2;若a为斜边,则关系式是b2+c2=a2. 5关注公众号:陆陆高分冲刺 ~领取:最新版“小中高考-总复习”、最新试卷下载 知识点二:勾股定理的证明 方法一:如图一,用4个全等的直角三角形,可以得到一个以 为边长的小正方形和一个以c为边长 1 的大正方形.即 4S +S =S ,所以4× ab+(b−a) 2=c2 ,化简可证. Δ 正 方 形EFGH正 方 形ABCD 2 方法二(图二):四个直角三角形的面积与小正方形面积的和等于大正方形的面积. 1 四个直角三角形的面积与小正方形面积的和为S=4× ab+c2=2ab+c2 2 大正方形面积为S=(a+b) 2=a2+2ab+b2,所以a2+b2=c2 方法三:如图三,用两个全等的直角三角形和一个等腰直角三角形,可以得到一个直角梯形. 1 1 1 S = (a+b)⋅(a+b),S =2S +S =2× ab+ c2 ,化简得证a2+b2=c2 梯形 2 梯形 ΔADE ΔABE 2 2 b a A a D a c c b b c c b c c E a a a b B b C 图一 图二 图三 知识点三:勾股数 勾股数:能够构成直角三角形的三边长的三个正整数称为勾股数,即满足关系a2+b2=c2的3个正整数a, b,c称为勾股数. 勾股数需要满足的两个条件:1)这三个数均是正整数; 2)两个较小数的平方和等于最大数的平方. 常见的勾股数:1)3,4,5;2)6,8,10;3)5,12,13等. 知识点四:勾股定理逆定理 内容:如果三角形三边长a,b,c满足a2+b2=c2,那么这个三角形是直角三角形,其中c为斜边. 【补充说明】 6关注公众号:陆陆高分冲刺 ~领取:最新版“小中高考-总复习”、最新试卷下载 1)勾股定理的逆定理是判定一个三角形是否是直角三角形的一种重要方法; 2)勾股定理的逆定理通过“数转化为形”来确定三角形的可能形状,在运用这一定理时,可用两小边的 平方和a2+b2与较长边的平方c2作比较,①若a2+b2=c2时,以a,b,c为三边的三角形是直角三角形; ②若a2+b2c2时,以a,b,c为三边的三角形是锐角三角形 考点一: 分类讨论思想在特殊三角形中的应用 1.(2024·江苏镇江·中考真题)等腰三角形的两边长分别为6和2,则第三边长为 . 【答案】6 【分析】本题考查了等腰三角形的性质,三角形三边关系,熟练掌握分类讨论思想是解题的关键.分两种 情况讨论:当6为一腰长时;当2为一腰长时;分别求出第三条边长,并根据三角形三边关系判断是否能 构成三角形,即可得出答案. 【详解】解:当6为一腰长时,则另一腰长为6,底边长为2, ∵6+6>2, ∴能构成三角形, ∴第三边长为6; 当2为一腰长时,则另一腰长为2,底边长为6, ∵2+2<6, ∴不能构成三角形,舍去; 综上,第三边长为6, 故答案为:6. 2.(2024·四川雅安·中考真题)如图,在△ABC和△ADE中,AB=AC,∠BAC=∠DAE=40°,将 △ADE绕点A顺时针旋转一定角度,当AD⊥BC时,∠BAE的度数是 . 【答案】60°或120° 7关注公众号:陆陆高分冲刺 ~领取:最新版“小中高考-总复习”、最新试卷下载 【分析】本题考查的是等腰三角形的性质,旋转的性质,分两种情况分别画出图形,再结合等腰三角形的 性质与角的和差运算可得答案; 【详解】解:如图,当AD⊥BC时,延长AD交BC于J, ∵AB=AC,∠BAC=∠DAE=40°, ∠BAJ=∠CAJ=20°, ∴∴∠BAE=20°+40°=60°; 如图,当AD⊥BC时,延长DA交BC于J, ∵AB=AC,∠BAC=∠DAE=40°, ∠BAJ=∠CAJ=20°, ∴∴∠BAE=180°−20°−40°=120°, 故答案为:60°或120° 3.(2011·山东济南·中考真题)已知一个直角三角形的两边长分别为6和8,则第三边的长是 . 【答案】2√7或10 【分析】本题考查了勾股定理,分两种情况:当两直角边的长分别为6和8时,当斜边长为8,一条直角边 长为6时,分别计算即可得出答案. 【详解】解:∵一个直角三角形的两边长分别为6和8, ∴当两直角边的长分别为6和8时,第三边的长是√62+82=10, 当斜边长为8,一条直角边长为6时,第三边的长是√82−62=2√7, 综上所述,一个直角三角形的两边长分别为6和8,则第三边的长是2√7或10, 8关注公众号:陆陆高分冲刺 ~领取:最新版“小中高考-总复习”、最新试卷下载 故答案为:2√7或10. 考点二: 利用特殊三角形的性质求解 1.(2024·甘肃临夏·中考真题)如图,等腰△ABC中,AB=AC=2,∠BAC=120°,将△ABC沿其底 1 边中线AD向下平移,使A的对应点A'满足A A'= AD,则平移前后两三角形重叠部分的面积是 . 3 4√3 4 【答案】 / √3 9 9 【分析】本题考查平移的性质,相似三角形的判定和性质,三线合一,根据平移的性质,推出 △A'EF∽△A'B'C',根据对应边上的中线比等于相似比,求出EF的长,三线合一求出A'D的长,利用 面积公式进行求解即可. 【详解】解:∵等腰△ABC中,AB=AC=2,∠BAC=120°, ∴∠ABC=30°, ∵AD为中线, ∴AD⊥BC,BD=CD, 1 ∴AD= AB=1,BD=√3AD=√3, 2 ∴BC=2√3, ∵将△ABC沿其底边中线AD向下平移, ∴B'C'∥BC,B'C'=BC=2√3,A'G=AD=1, ∴△A'EF∽△A'B'C', EF A'D ∴ = , B'C' A'G 1 ∵A A'= AD, 3 2 2 2 ∴DA'= AD= A'G= , 3 3 3 9关注公众号:陆陆高分冲刺 ~领取:最新版“小中高考-总复习”、最新试卷下载 EF A'D 2 ∴ = = , B'C' A'G 3 2 4√3 ∴EF= B'C'= , 3 3 1 1 4√3 2 4√3 ∴S = EF⋅A'D= × × = ; 阴影 2 2 3 3 9 4√3 故答案为: . 9 2.(2024·甘肃兰州·中考真题)如图,四边形ABCD为正方形,△ADE为等边三角形,EF⊥AB于点 F,若AD=4,则EF= . 【答案】2 【分析】本题考查正方形的性质,等边三角形的性质,含30度角的直角三角形,根据正方形和等边三角形 的性质,得到△AFE为含30度角的直角三角形,AE=AD=4,根据含30度角的直角三角形的性质求解 即可. 【详解】解:∵四边形ABCD为正方形,△ADE为等边三角形,EF⊥AB,AD=4, ∴∠FAD=90°,∠EAD=60°,∠AFE=90°,AD=AE=4, ∴∠FAE=30°, 1 ∴EF= AE=2; 2 故答案为:2. 3.(2024·黑龙江大兴安岭地·中考真题)如图,△ABC内接于⊙O,AD是直径,若∠B=25°,则 ∠CAD °. 10关注公众号:陆陆高分冲刺 ~领取:最新版“小中高考-总复习”、最新试卷下载 【答案】65 【分析】本题考查了圆周角定理,直角三角形的两个锐角互余,连接CD,根据直径所对的圆周角是直角 得出∠ACD=90°,根据同弧所对的圆周角相等得出∠D=∠B=25°,进而根据直角三角形的两个锐角 互余,即可求解. 【详解】解:如图所示,连接CD, ∵△ABC内接于⊙O,AD是直径, ∴∠ACD=90°, A´C=A´C,∠B=25°, ∵∴∠D=∠B=25° ∴∠CAD=90°−25°=65°, 故答案为:65. 考点三: 特殊三角形的判定 1.(2024·四川自贡·中考真题)如图,在△ABC中,DE∥BC,∠EDF=∠C. (1)求证:∠BDF=∠A; (2)若∠A=45°,DF平分∠BDE,请直接写出△ABC的形状. 11关注公众号:陆陆高分冲刺 ~领取:最新版“小中高考-总复习”、最新试卷下载 【答案】(1)见解析 (2)△ABC是等腰直角三角形. 【分析】本题考查了平行线的判定和性质,等腰直角三角形的判定. (1)由平行证明∠AED=∠C,由等量代换得到∠EDF=∠AED,利用平行线的判定“内错角相等, 两直线平行”证明DF∥AC,即可证明∠BDF=∠A; (2)利用平行线的性质结合角平分线的定义求得∠BDE=90°,∠B=90°,据此即可得到△ABC是等腰 直角三角形. 【详解】(1)证明:∵DE∥BC, ∴∠AED=∠C, ∵∠EDF=∠C, ∴∠EDF=∠AED, ∴DF∥AC, ∴∠BDF=∠A; (2)解:△ABC是等腰直角三角形. ∵∠BDF=∠A, ∴∠BDF=∠A=45°, ∵DF平分∠BDE, ∴∠BDE=2∠BDF=90°, ∵DE∥BC, ∴∠B=180°−∠BDE=90°, ∴∠C=180°−∠A−∠B=45°=∠A, ∴△ABC是等腰直角三角形. 2.(2023·广东广州·中考真题)如图,在正方形ABCD中,E是边AD上一动点(不与点A,D重合). 边BC关于BE对称的线段为BF,连接AF. (1)若∠ABE=15°,求证:△ABF是等边三角形; (2)延长FA,交射线BE于点G; ①△BGF能否为等腰三角形?如果能,求此时∠ABE的度数;如果不能,请说明理由; 12关注公众号:陆陆高分冲刺 ~领取:最新版“小中高考-总复习”、最新试卷下载 ②若AB=√3+√6,求△BGF面积的最大值,并求此时AE的长. 【答案】(1)见解析 (2) △BGF能为等腰三角形,∠ABE=22.5°;②AE=√3 【分①析】(1)由轴对称的性质得到BF=BC,根据正方形的性质得到∠ABC=90°,求得∠CBE=75°, 根据轴对称的性质得到∠FBE=∠CBE=75°,根据等边三角形的判定定理即可得到结论; (2)①根据轴对称的性质得到BC=BF,根据正方形的性质得到BC=AB,得到BAEC,FB>BD时,AE与FB有怎样的数量关系?试说明理由. 【答案】(1)菱形 9√3 (2) cm2 2 (3)AE=BF,理由见解析 【分析】(1)连接BE,CD,由等边三角形的性质可得∠ACB=∠EDF=60°,则B、D、C、E四 点共圆,由三线合一定理得到∠BEC=90°,则BC为过B、D、C、E的圆的直径,再由 DE=BC=6cm,得到DE为过B、D、C、E的圆的直径,则点H为圆心,据此可证明 ∠GEB=∠EBH=∠GBE=∠BEH=30°,推出四边形BHEG是平行四边形,进而可证明四边形BHEG 是菱形,即两张纸片重叠部分的形状是菱形; (2)由等边三角形的性质得到∠ABC=∠≝=∠C=60°,AC=BC=6cm,则由平行线的性质可推出 ∠ABC=∠CHE,进而可证明四边形BHEG是平行四边形,再证明△EHC是等边三角形,则可设 1 EH=CH=2xcm,则BH=(6−2x)cm,HT= CH=xcm,由勾股定理得到 2 ( 3) 2 9√3 3 ET=√EH2−HT2=√3xcm,可得S =S =BH⋅ET==−2√3 x− + ,则当x= 重叠 四边形BHEG 2 2 2 9√3 时,S 有最大值,最大值为 cm2 ; 重叠 2 1 1 (3)过点B作BM⊥AC于M,过点E作EN⊥DF于N,连接BE,则AM=FN= DF= AC=3cm, 2 2 EF=AB=6cm,BE=BE,证明EN=BM,进而可证明Rt△NBE≌Rt△MEB(HL),得到NB=ME,则 FN+BN=AM+ME,即AE=BF. 【详解】(1)解:如图所示,连接BE,CD ∵△ABC,△≝¿都是等边三角形, ∴∠ACB=∠EDF=60°, ∴B、D、C、E四点共圆, ∵点E是AC的中点, ∴∠BEC=90°, ∴BC为过B、D、C、E的圆的直径, 又∵DE=BC=6cm, 21关注公众号:陆陆高分冲刺 ~领取:最新版“小中高考-总复习”、最新试卷下载 ∴DE为过B、D、C、E的圆的直径, ∴点H为圆心, ∴EH=BH, ∴∠HBE=∠HEB=30°, ∴∠GEB=∠EBH=∠GBE=∠BEH=30°, ∴BG∥EH,BH∥EG, ∴四边形BHEG是平行四边形, 又∵EH=BH, ∴四边形BHEG是菱形, ∴两张纸片重叠部分的形状是菱形; (2)解:∵△ABC,△≝¿都是等边三角形, ∴∠ABC=∠≝=∠C=60°,AC=BC=6cm, ∵EF∥BC, ∴∠CHE=∠≝=60°, ∴∠ABC=∠CHE, ∴BG∥EH, ∴四边形BHEG是平行四边形, ∵∠C=∠CHE=60°, ∴△EHC是等边三角形, 过点E作ET⊥HC, 1 ∴设EH=CH=2xcm,则BH=(6−2x)cm,HT= CH=xcm, 2 ∴ET=√EH2−HT2=√3xcm, ∴S =S =BH⋅ET=√3x(6−2x) 重叠 四边形BHEG 22关注公众号:陆陆高分冲刺 ~领取:最新版“小中高考-总复习”、最新试卷下载 =−2√3 ( x2−3x+ 9 − 9) 4 4 ( 3) 2 9√3 =−2√3 x− + , 2 2 ∵−2√3<0, 3 9√3 ∴当x= 时,S 有最大值,最大值为 cm2 ; 2 重叠 2 (3)解:AE=BF,理由如下: 如图所示,过点B作BM⊥AC于M,过点E作EN⊥DF于N,连接BE, ∵△ABC,△≝¿都是边长为6cm的等边三角形, 1 1 ∴AM=FN= DF= AC=3cm,EF=AB=6cm,BE=BE 2 2 ∴由勾股定理可得NE=√EF2−FN2=3√3cm,BM=√AB2−AM2=3√3cm, ∴EN=BM, 又∵BE=BE, ∴Rt△NBE≌Rt△MEB(HL), ∴NB=ME, ∴FN+BN=AM+ME,即AE=BF. 【点睛】本题主要考查了二次函数的应用,等边三角形的性质与判定,平行四边形的性质与判定,全等三 角形的性质与判定,勾股定理,四点共圆,正确作出辅助线是解题的关键. 23关注公众号:陆陆高分冲刺 ~领取:最新版“小中高考-总复习”、最新试卷下载 3.(2024·山东泰安·中考真题)如图1,在等腰Rt△ABC中,∠ABC=90°,AB=CB,点D,E分别在 AB,CB上,DB=EB,连接AE,CD,取AE中点F,连接BF. (1)求证:CD=2BF,CD⊥BF; (2)将△DBE绕点B顺时针旋转到图2的位置. ①请直接写出BF与CD的位置关系:___________________; ②求证:CD=2BF. 【答案】(1)见解析 (2) BF⊥CD;②见解析 【分①析】(1)先证明△ABE≌△CBD得到AE=CD,∠FAB=∠BCD,根据直角三角形斜边中线性质 得到CD=AE=2BF,根据等边对等角证明∠FBA=∠BCD,进而可证明BF⊥CD; (2)①延长BF到点G,使FG=BF,连接AG,延长BE到M,使BE=BM,连接AM并延长交CD于点 N.先证明△AGF≌△EBF,得到∠FAG=∠FEB,AG=BE,进而AG∥BE,AG=BD.证明 △AGB≌△BDC得到∠ABG=∠BCD,然后利用三角形的中位线性质得到BF∥AN,则 ∠ABG=∠BAN=∠BCD,进而证明AN⊥CD即可得到结论; ②根据△AGB≌△BDC得到CD=BG即可得到结论. 【详解】(1)证明:在△ABE和△CBD中, ∵AB=BC,∠ABE=∠CBD=90°,BE=BD, ∴△ABE≌△CBD(SAS), ∴AE=CD,∠FAB=∠BCD. ∵F是Rt△ABE斜边AE的中点, ∴AE=2BF, ∴CD=2BF, 1 ∵BF= AE=AF, 2 ∴∠FAB=∠FBA. 24关注公众号:陆陆高分冲刺 ~领取:最新版“小中高考-总复习”、最新试卷下载 ∴∠FBA=∠BCD, ∵∠FBA+∠FBC=90°, ∴∠FBC+∠BCD=90°. ∴BF⊥CD; (2)解:①BF⊥CD; 理由如下:延长BF到点G,使FG=BF,连接AG,延长BE到M,使BE=BM,连接AM并延长交CD于 点N. ∵AF=EF,FG=BF,∠AFG=∠EFB, ∴△AGF≌△EBF(SAS), ∴∠FAG=∠FEB,AG=BE, ∴AG∥BE, ∴∠GAB+∠ABE=180°, ∵∠ABC=∠EBD=90°, ∴∠ABE+∠DBC=180°, ∴∠GAB=∠DBC. ∵BE=BD, ∴AG=BD. 在△AGB和△BDC中, ∵AG=BD,∠GAB=∠DBC,AB=CB, ∴△AGB≌△BDC(SAS), ∴∠ABG=∠BCD. ∵F是AE中点,B是EM中点, ∴BF是△ABM中位线, ∴BF∥AN. ∴∠ABG=∠BAN=∠BCD, ∴∠ABC=∠ANC=90°, ∴AN⊥CD. ∵BF∥AN, ∴BF⊥CD. 故答案为:BF⊥CD; 25关注公众号:陆陆高分冲刺 ~领取:最新版“小中高考-总复习”、最新试卷下载 ②证明: ∵△AGB≌△BDC, ∴CD=BG, ∵BG=2BF, ∴CD=2BF. 【点睛】本题考查全等三角形的判定与性质、直角三角形斜边中线性质、等腰三角形的判定与性质、三角 形的中位线性质、平行线的判定与性质等知识,涉及知识点较多,综合性强,熟练掌握相关知识的联系与 运用,灵活添加辅助线构造全等三角形是解答的关键. 考点五: 与特殊三角形性质有关的折叠问题 1.(2024·湖北·中考真题)在矩形ABCD中,点E,F分别在边AD,BC上,将矩形ABCD沿EF折叠, 使点A的对应点P落在边CD上,点B的对应点为点G,PG交BC于点H. (1)如图1,求证:△DEP∽△CPH; (2)如图2,当P为CD的中点,AB=2,AD=3时,求GH的长; (3)如图3,连接BG,当P,H分别为CD,BC的中点时,探究BG与AB的数量关系,并说明理由. 【答案】(1)见解析 3 (2)GH= 4 26关注公众号:陆陆高分冲刺 ~领取:最新版“小中高考-总复习”、最新试卷下载 √6 (3)BG= AB,见解析 6 【分析】(1)证明对应角相等,即可得到△EDP∽△PCH; (2)根据△EDP∽△PCH,求得PH的长度,从而得出GH长度; (3)延长AB,PG交于一点M,连接AP,先证明△MBH≌△PCH,得到相等的边,再根据 △BMG∽△MAP,得出大小关系. 【详解】(1)证明:如图, ∵ ABCD 四边形 是矩形, ∴∠A=∠D=∠C=90°, ∴∠1+∠3=90°, ∵E,F分别在AD,BC上,将四边形ABFE沿EF翻折,使A的对称点P落在DC上, ∴∠EPH=∠A=90°, ∴∠1+∠2=90°, ∴∠3=∠2, ∴△EDP∽△PCH; (2)解:∵四边形ABCD是矩形, ∴CD=AB=2,AD=BC=3,∠A=∠D=∠C=90°, ∵P为CD中点, 1 ∴DP=CP= ×2=1, 2 设EP=AE=x, ∴ED=AD−x=3−x, 在Rt△EDP中,EP2=ED2+DP2, 即x2=(3−x) 2+1, 5 解得x= , 3 27关注公众号:陆陆高分冲刺 ~领取:最新版“小中高考-总复习”、最新试卷下载 5 ∴EP=AE=x= , 3 4 ∴ED=AD−AE= , 3 ∵△EDP∽△PCH, 4 5 ED EP ∴ = ,即3 3 , PC PH = 1 PH 5 ∴PH= , 4 ∵PG=AB=2, 3 ∴GH=PG−PH= . 4 (3)解:如图,延长AB,PG交于一点M,连接AP, ∵E F AD BC ABFE EF A P CD , 分别在 , 上,将四边形 沿 翻折,使 的对称点 落在 上, ∴AP⊥EF,BG⊥直线EF, ∴BG∥AP, ∵AE=EP, ∴∠EAP=∠EPA, ∴∠BAP=∠GPA, ∴△MAP是等腰三角形, ∴MA=MP, ∵P为CD中点, ∴设DP=CP= y, ∴AB=PG=CD=2y, ∵H为BC中点, ∴BH=CH, ∵∠BHM=∠CHP,∠CBM=∠PCH, 28关注公众号:陆陆高分冲刺 ~领取:最新版“小中高考-总复习”、最新试卷下载 ∴△MBH≌△PCH(ASA), ∴BM=CP= y,HM=HP, ∴MP=MA=MB+AB=3 y, 1 3 ∴HP= PM= y, 2 2 √5 在Rt△PCH中,CH=√PH2−PC2= y, 2 ∴BC=2CH=√5 y, ∴AD=BC=√5 y, 在Rt△APD中,AP=√AD2+PD2=√6 y, ∵BG∥AP, ∴△BMG∽△AMP, BG BM 1 ∴ = = , AP AM 3 √6 ∴BG= y, 3 AB 2y = =√6 ∴ BG √6 , y 3 √6 ∴AB=√6BG,即BG= AB. 6 【点睛】本题考查了矩形与折叠、相似三角形的判定与性质、勾股定理、全等三角形的判定与性质等知识, 熟练掌握以上基础知识是解题关键. 2.(2021·吉林·中考真题)如图①,在Rt△ABC中,∠ACB=90°,∠A=60°,CD是斜边AB上的中 线,点E为射线BC上一点,将△BDE沿DE折叠,点B的对应点为点F. (1)若AB=a.直接写出CD的长(用含a的代数式表示); (2)若DF⊥BC,垂足为G,点F与点D在直线CE的异侧,连接CF,如图②,判断四边形ADFC的形 29关注公众号:陆陆高分冲刺 ~领取:最新版“小中高考-总复习”、最新试卷下载 状,并说明理由; (3)若DF⊥AB,直接写出∠BDE的度数. 1 【答案】(1) a;(2)菱形,见解析;(3)∠BDE=45°或∠BDE=135° 2 1 1 【分析】(1)根据“直角三角形斜边上的中线等于斜边的一半”得CD= AB= a; 2 2 1 (2)由题意可得DF//AC,DF= AB,由“直角三角形中30°角所对的直角边等于斜边的一半”,得 2 1 AC= AB,得DF=AC,则四边形ADFC是平行四边形,再由折叠得DF=BD=AD,于是判断四边形 2 ADFC是菱形; (3)题中条件是“点E是射线BC上一点”,因此DF⊥AB又分两种情况,即点F与点D在直线CE的异 侧或同侧,正确地画出图形即可求出结果. 【详解】解:(1)如图①,在Rt△ABC中,∠ACB=90°, ∵CD是斜边AB上的中线,AB=a, 1 1 ∴CD= AB= a. 2 2 (2)四边形ADFC是菱形. 理由如下: 如图②∵DF⊥BC于点G, ∴∠DGB=∠ACB=90°, ∴DF//AC; 由折叠得,DF=DB, 1 ∵DB= AB, 2 1 ∴DF= AB; 2 30关注公众号:陆陆高分冲刺 ~领取:最新版“小中高考-总复习”、最新试卷下载 ∵∠ACB=90°,∠A=60°, ∴∠B=90°−60°=30°, 1 ∴AC= AB, 2 ∴DF=AC, ∴四边形ADFC是平行四边形; 1 ∵AD= AB, 2 ∴AD=DF, ∴四边形ADFC是菱形. (3)如图③,点F与点D在直线CE异侧, ∵DF⊥AB, ∴∠BDF=90°; 由折叠得,∠BDE=∠FDE, 1 1 ∴∠BDE=∠FDE= ∠BDF= ×90°=45°; 2 2 如图④,点F与点D在直线CE同侧, ∵DF⊥AB, ∴∠BDF=90°, ∴∠BDE+∠FDE=360°−90°=270°, 由折叠得,∠BDE=∠FDE, 31关注公众号:陆陆高分冲刺 ~领取:最新版“小中高考-总复习”、最新试卷下载 ∴∠BDE+∠BDE=270°, ∴∠BDE=135°. 综上所述,∠BDE=45°或∠BDE=135°. 【点睛】此题主要考查了直角三角形的性质、轴对称的性质、平行四边形及特殊平行四边形的判定等知识 与方法,在解第(3)题时,应进行分类讨论,解题的关键是准确地画出图形,以免丢解. 3.(2024·河北张家口·模拟预测)如图,将等腰直角三角形纸片ABC对折,折痕为CD.展平后,再将点 B折叠在边AC上(不与A、C重合),折痕为EF,点B在AC上的对应点为M,设CD与EM交于点P, 连接PF.已知BC=4. (1)若M为AC的中点,求CF的长; (2)随着点M在边AC上取不同的位置, ①△PFM的形状是否发生变化?请说明理由; ②求△PFM的周长的取值范围. 3 【答案】(1)CF= 2 (2) 等腰直角三角形,不会发生变化,理由见解析;②2+2√2<(1+√2)y<4+4√2 ① 【分析】(1)由折叠的性质可知,FB=FM,设CF=x,则FB=FM=4−x,在Rt△CFM中,根据 FM2=CF2+CM2,构建方程即可解决问题; (2)①△PFM的形状是等腰直角三角形,想办法证明△POF∽△MOC,可得∠PFO=∠MCO=45°, 延长即可解决问题; 32关注公众号:陆陆高分冲刺 ~领取:最新版“小中高考-总复习”、最新试卷下载 √2 ②设FM= y,由勾股定理可知:PF=PM= y,可得△PFM的周长=(1+√2)y,由2AE,连接DF交AE于点G,DE交AB于点H, 连接CF.给出下面四个结论:①∠DBA=∠EBC;②∠BHE=∠EGF;③AB=DF;④AD=CF.其 中所有正确结论的序号是 . 【答案】①③④ 【分析】由题意易得AB=AC,∠ABC=45°=∠DBE,AE=EF,DE=BE, ∠DEB=∠AEF=∠BAC=90°,则可证△AEB≌△FED(SAS),然后根据全等三角形的性质及平行四 边形的性质与判定可进行求解. 【详解】解:∵△BAC,△DEB和△AEF都是等腰直角三角形, ∴AB=AC,∠ABC=45°=∠DBE,AE=EF,DE=BE,∠DEB=∠AEF=∠BAC=90°, ∵∠DBA=∠DBE−∠ABE,∠EBC=∠ABC−∠ABE, 34关注公众号:陆陆高分冲刺 ~领取:最新版“小中高考-总复习”、最新试卷下载 ∠AEB=∠AED+∠DEB,∠FED=∠AEF+∠AED, ∴∠DBA=∠EBC,∠AEB=∠FED,故①正确; ∴△AEB≌△FED(SAS), ∴AB=DF=AC,∠ABE=∠FDE,∠BAE=∠DFE,故③正确; ∵∠ABE+∠BHE=90°,∠EFD+∠EGF=90°,∠BAE+∠EAC=90°,BE>AE, ∴∠BHE≠∠EGF,∠EGF=∠EAC;故②错误; ∴DF∥AC, ∵DF=AC, ∴四边形ADFC是平行四边形, ∴AD=CF,故④正确; 故答案为①③④. 【点睛】本题主要考查全等三角形的性质与判定、等腰直角三角形的性质及平行四边形的性质与判定,熟 练掌握全等三角形的性质与判定、等腰直角三角形的性质及平行四边形的性质与判定是解题的关键. 2.(2024·山东济南·中考真题)如图1,△ABC是等边三角形,点D在边AB上,BD=2,动点P以每秒1 个单位长度的速度从点B出发,沿折线BC−CA匀速运动,到达点A后停止,连接DP.设点P的运动时间 为t(s),DP2为y.当动点P沿BC匀速运动到点C时,y与t的函数图象如图2所示.有以下四个结论: ①AB=3; ②当t=5时,y=1; ③当4≤t≤6时,1≤ y≤3; ④动点P沿BC−CA匀速运动时,两个时刻t ,t (t y .其中 1 2 1 2 1 2 1 2 1 2 正确结论的序号是( ) A.①②③ B.①② C.③④ D.①②④ 【答案】D 【分析】由图知当动点P沿BC匀速运动到点C时,DP2=7,作DE⊥BC于点E,利用解直角三角形和勾 35关注公众号:陆陆高分冲刺 ~领取:最新版“小中高考-总复习”、最新试卷下载 股定理,即可得到BC,即可判断①,当t=5时,证明△ADP是等边三角形,即可判断②,当4≤t≤6时, 且DP⊥AC时,DP2最小,求出最小值即可判断③,利用勾股定理分别表示出y 和y 进行比较,即可判 1 2 断④. 【详解】解:由图知当动点P沿BC匀速运动到点C时,DP2=7, 作DE⊥BC于点E, ∵ △ABC D AB BD=2 是等边三角形,点 在边 上, , ∴∠B=60°,AB=BC=AC, ∴DE=BD⋅sin60°=√3,BE=BD⋅cos60°=1, ∴EP=√DP2−DE2=2, ∴AB=BC=BE+EP=3, 故①正确; 当t=5时,PC=5−3=2,AP=1=AD, ∵ ∠A=60° , ∴ △ADP是等边三角形, ∴DP=AP=AD=1, ∴y=DP2=1, 故②正确; 当4≤t≤6时,且DP⊥AC时,DP2最小, 36关注公众号:陆陆高分冲刺 ~领取:最新版“小中高考-总复习”、最新试卷下载 ∵AD=1 ∠A=60° , , √3 ∴DP=AD⋅sin60°= , 2 3 3 ∴ DP2最小为 ,即y能取到 , 4 4 故③错误; 动点P沿BC−CA匀速运动时, ∵ t +t =6,t 3,t =6−t , 1 2 2 1 y =(1−t ) 2+(√3) 2=t 2−2t +4; 1 1 1 1 5 3 当DP⊥AC时,CP= ,DP= , 2 4 ( 11) 2 3 (1 ) 2 3 y = t − + = −t + ; 2 2 2 4 2 1 4 ∴y −y =t 2−2t +4− (1 −t ) 2 − 3 =3−t >0, 1 2 1 1 2 1 4 1 ∴y >y ; 1 2 故④正确; 综上所述,正确的有①②④, 故选:D. 【点睛】本题考查了二次函数综合,等边三角形性质,解直角三角形,勾股定理,涉及到动点问题、读懂 函数图象、正确理解题意,利用数形结合求解是解本题的关键. 3.(2024·山东泰安·中考真题)如图,Rt△ABC中,∠ABC=90°,分别以顶点A,C为圆心,大于 1 AC的长为半径画弧,两弧分别相交于点M和点N,作直线MN分别与BC,AC交于点E和点F;以点A 2 1 为圆心,任意长为半径画弧,分别交AB,AC于点H和点G,再分别以点H,点G为圆心,大于 HG的 2 37关注公众号:陆陆高分冲刺 ~领取:最新版“小中高考-总复习”、最新试卷下载 长为半径画弧,两弧交于点P,作射线AP,若射线AP恰好经过点E,则下列四个结论: 1 ①∠C=30°;②AP垂直平分线段BF;③CE=2BE;④S = S . △BEF 6 △ABC 其中,正确结论的个数有( ) A.1个 B.2个 C.3个 D.4个 【答案】D 【分析】本题主要考查作图-复杂作图、角平分线的性质、线段的垂直平分线的性质等知识,读懂图象信息, 灵活运用所学知识解决问题是解题的关键. 由作图可知MN垂直平分线段AC、AE平分∠BAC,进而证明∠C=∠EAC=∠BAE=30°可判定①; 再说明AB=AF可得AP垂直平分线段BF可判定②;根据直角三角形的性质可得AC=2AB,AE=2BE 可判定③,根据三角形的面积公式即可判定④. 【详解】解:由作图可知MN垂直平分线段AC, ∴EA=EC, ∴∠EAC=∠C, 由作图可知AE平分∠BAC, ∴∠BAE=∠CAE, ∵∠ABC=90°, ∴∠C=∠CAE=∠BAE=30°,故①正确, ∴AC=2AB, ∵AF=FC, ∴AB=AF, ∴AP垂直平分线段BF,故②正确, ∵AE=2BE,EA=EC, ∴EC=2BE,故③正确, 1 ∴S ❑ = S , △ BEF 3 △BCF 38关注公众号:陆陆高分冲刺 ~领取:最新版“小中高考-总复习”、最新试卷下载 ∵AF=FC, 1 ∴S ❑ = S , △ BFC 2 △ABC 1 ∴S = S ,故④正确. △BEF 6 △ABC 故选:D. 考点七: 与特殊三角形性质有关的规律探究问题 1.(2024·山东东营·中考真题)如图,在平面直角坐标系中,已知直线l的表达式为y=x,点A 的坐标为 1 (√2,0),以O为圆心,OA 为半径画弧,交直线l于点B ,过点B 作直线l的垂线交x轴于点A ;以O为圆 1 1 1 2 心,OA 为半径画弧,交直线l于点B ,过点B 作直线l的垂线交x轴于点A ;以O为圆心,OA 为半径画 2 2 2 3 3 弧,交直线l于点B ,过点B 作直线l的垂线交x轴于点A ;……按照这样的规律进行下去,点A 的横坐 3 3 4 2024 标是 . 【答案】21012 【分析】本题考查的是一次函数性质应用,等腰直角三角形的判定与性质及点的坐标规律问题,作 B H⊥x轴于点H,依次求出OA ,OA ,OA ,找出规律即可解决. 1 2 3 4 【详解】解:作B H⊥x轴于点H, 1 ∵B ,B ,B ,B ,B ⋯ y=x 1 2 3 4 5 均在直线 上, 39关注公众号:陆陆高分冲刺 ~领取:最新版“小中高考-总复习”、最新试卷下载 ∴OH=B H, 1 ∴∠B OH=45°, 1 ∵A (√2,0),OA =OB , 1 1 1 ∴OB =OA =√2, 1 1 ∵B A ⊥l,∠B OH=45°, 1 2 1 ∴OB =B A =√2, 1 1 2 ∴OA =√2OB =√2OA =2, 2 1 1 ∴A (2,0), 2 同理,OA =OB =B A =2, 2 2 2 3 ∴OA =√2OA =2√2=(√2) 3 , 3 2 同理,OA =(√2) 4 4 OA =(√2) 5 ⋯ 5 ∴OA =(√2) 2024=21012, 2024 即点A 的横坐标是21012, 2024 故答案为:21012. 2.(2024·山东济南·二模)如图,在平面直角坐标系中,将等边△OAB绕点A旋转180°得到△O AB , 1 1 再将△O AB 绕点O 旋转180°得到△O A B ,再将△O A B 绕点A 旋转180°得到△O A B ,按此规 1 1 1 1 1 2 1 1 2 1 2 1 3 律进行下去,若点B的坐标为(−2,0),则点B 的坐标为 . 2024 40关注公众号:陆陆高分冲刺 ~领取:最新版“小中高考-总复习”、最新试卷下载 【答案】(−2026,2024√3) 【分析】本题考查了等边三角形的性质,旋转的性质,勾股定理,坐标与图形等,找出规律是解题的关键. 先根据题意求出O 、O ,B 、B 的坐标,发现规律,即可求解. 1 2 1 2 【详解】解:∵△OAB是等边三角形,点B的坐标为(−2,0),将△OAB绕点A旋转180°得到△O AB , 1 1 ∴O B =O A=OA=OB=2, 1 1 1 ∵∠AOB=60°=∠AO B =∠AB O , 1 1 1 1 ∴∠AOB =∠AB O=30°, 1 1 ∴∠OB O =90°, 1 1 故OB =√OO❑❑ 2−O❑B❑❑ 2=2√3, 1 1 1 1 即O (−2,2√3),B (0,2√3), 1 1 则B (−4,2√3), 2 同理可得O (−4,4√3), B (−6,4√3), 2 4 ······O (−2n,2√3n), B (−2n−2,2√3n), n 2n 故点B 的坐标为(−2×1012−2,2√3×1012), 2024 即(−2026,2024√3). 故答案为:(−2026,2024√3). 3.(2024·河南商丘·三模)如图,在平面直角坐标系中,点O,O₁,A,A₁,B,B₁,C,C₁,……都 是平行四边形的顶点,点A,B,C,……在x轴的正半轴上, ∠AOO =30°,OA=√3,AB=2√3,BC=3√3,OO =2,A A =4,BB =6,⋯,平行四边 1 1 1 1 形按此规律依次排列,则第8个平行四边形对称中心的坐标是( ) 41关注公众号:陆陆高分冲刺 ~领取:最新版“小中高考-总复习”、最新试卷下载 A.(36√3,4) B.(36,4√3) C.(36,4) D.(4,36) 【答案】A 【分析】本题考查了平行四边形的性质,勾股定理,点的坐标规律,先求出前几个点的坐标,找到规律第 ( n) n个平行四边形的对称中心坐标为 (1+2+3+⋅⋅⋅+n)√3, ,即可求解. 2 【详解】解:如图所示,连接O M⊥x轴于点M, 1 ∵∠AOO =30°,OO =2 1 1 ∴OM=√3,O M=1 1 又∵OA=√3 , ∴A,M重合, ∴O A⊥OA 1 ( 1) 则O A的中点即为所第1个平行四边形的对称中心,其坐标为 √3, ; 1 2 同理可得A B⊥AB,OB=OA+AB=√3+2√3=3√3,A B=2 ,则A B的中点坐标即第2个平行四边形 1 1 1 的对称中心坐标为(3√3,1) ( 3) 同理可得第3个平行四边形的对称中心坐标为 6√3, 2 …… ( n) 同理可得第n个平行四边形的对称中心坐标为 (1+2+3+⋅⋅⋅+n)√3, 2 ( 8) ∴第8个平行四边形的对称中心的坐标是 (1+2+3+⋅⋅⋅+8)√3, 即(36√3,4) 2 故选:A. 考点八: 利用勾股定理及其逆定理求解 1.(2024·西藏·中考真题)如图,在Rt△ABC中,∠C=90°,以点B为圆心,适当长为半径作弧,分别 42关注公众号:陆陆高分冲刺 ~领取:最新版“小中高考-总复习”、最新试卷下载 1 交BC,BA于点D,E,再分别以点D,E为圆心,大于 DE的长为半径作弧,两弧在∠ABC的内部相交 2 于点P,作射线BP交AC于点F.已知CF=3,AF=5,则BF的长为 . 【答案】3√5 【分析】本题考查了作图−基本作图:作角平分线,角平分线的性质定理,勾股定理及全等三角形的判定 与性质等知识.根据基本作图可判断BF平分∠ABC,过F作FG⊥AB于G,再利用角平分线的性质得 到GF=CF=3,根据勾股定理求出AG=√AF2−FG2=√52−32=4,证明Rt△CBF≌Rt△GBF,得出 BG=BC,设BG=BC=x,则AB=4+x,AC=AF+CF=5+3=8,根据勾股定理得出82+x2=(4+x) 2, 求出x=6,根据勾股定理求出BF=√CF2+BC2=√32+62=3√5. 【详解】解:过F作FG⊥AB于G, 由作图得:BF平分∠ABC,FG⊥AB,∠C=90°, ∴GF=CF=3, 在Rt△AFG中根据勾股定理得:AG=√AF2−FG2=√52−32=4, ∵FG=CF,BF=BF, ∴Rt△CBF≌Rt△GBF(HL), ∴BG=BC, 设BG=BC=x,则AB=4+x,AC=AF+CF=5+3=8, 在Rt△ABC中,根据勾股定理得: AC2+BC2=AB2, 43关注公众号:陆陆高分冲刺 ~领取:最新版“小中高考-总复习”、最新试卷下载 即:82+x2=(4+x) 2, 解得:x=6, ∴BC=6, 在Rt△BCF中根据勾股定理得:BF=√CF2+BC2=√32+62=3√5. 故答案为:3√5. 2.(2024·山东淄博·中考真题)如图,在边长为10的菱形ABCD中,对角线AC,BD相交与点O,点E OF 5 在BC延长线上,OE与CD相交与点F.若∠ACD=2∠OEC, = ,则菱形ABCD的面积为 FE 6 . 【答案】96 【分析】此题重点考查菱形的性质、相似三角形的判定与性质、勾股定理等知识.作OH∥BC交CD于点 1 H,则△DOH∽△DBC,求得OH= BC=5,再证明△OFH∽△EFC,求得EC=6,再证明 2 ∠OEC=∠COE,则OC=EC=6,利用勾股定理求得OB的长,再利用菱形的面积公式求解即可得到问 题的答案. 【详解】解:作OH∥BC交CD于点H,则△DOH∽△DBC, ∵四边形ABCD是边长为10的菱形,对角线AC,BD相交于点O, 1 ∴BC=10,OD=OB= BD,OA=OC,AC⊥BD, 2 OH OD 1 ∴ = = ,∠BOC=90°, BC BD 2 1 ∴OH= BC=5, 2 44关注公众号:陆陆高分冲刺 ~领取:最新版“小中高考-总复习”、最新试卷下载 OF 5 ∵OH∥BC, = , FE 6 ∴△OFH∽△EFC, OH OF 5 ∴ = = , EC FE 6 6 6 ∴EC= OH= ×5=6, 5 5 ∵四边形ABCD是菱形,且∠ACD=2∠OEC, ∴∠ACB=∠ACD=2∠OEC=∠COE+∠OEC, ∴∠OEC=∠COE, ∴OC=EC=6, ∴OB=√BC2−OC2=√102−62=8, ∴BD=2OB=16,AC=2OC=12, 1 1 ∴S = BD·AC= ×16×12=96, 菱形ABCD 2 2 故答案为:96. 3.(2024·江苏南通·中考真题)如图,△ABC中,AB=3,AC=4,BC=5,⊙A与BC相切于点D. (1)求图中阴影部分的面积; (2)设⊙A上有一动点P,连接CP,BP.当CP的长最大时,求BP的长. 36 【答案】(1)6− π 25 3 (2) √41 5 【分析】本题考查了切线的性质,勾股定理的逆定理,扇形的面积公式等知识,解题的关键是: (1)连接AD,利用勾股定理的逆定理判定得出∠BAC=90°,利用切线的性质得出AD⊥BC,利用等 12 面积法求出AD= ,然后利用S =S −S 求解即可; 5 阴影 △ABC 扇形 45关注公众号:陆陆高分冲刺 ~领取:最新版“小中高考-总复习”、最新试卷下载 (2)延长CA交⊙A于P,连接BP,则CP最大,然后在Rt△ABP中,利用勾股定理求解即可. 【详解】(1)解∶连接AD, ∵AB=3,AC=4,BC=5, ∴AB2+AC2=32+42=25=52=BC2, ∴∠BAC=90°, ∵BC与⊙A相切于D, ∴AD⊥BC, 1 1 ∵S = AD⋅BC= AC⋅AB, △ABC 2 2 AC⋅AB 3×4 12 ∴AD= = = , BC 5 5 (12) 2 90π× ∴ 1 5 36 ; S =S −S = ×3×4− =6− π 阴影 △ABC 扇形 2 360 25 (2)解∶延长CA交⊙A于P,连接BP,此时CP最大, 12 由(1)知:∠BAC=∠PAB=90°,AP=AD= , 5 3 ∴PB=√AP2+AB2= √41. 5 考点九: 利用勾股定理及其逆定理与网格问题 1.(2024·安徽·中考真题)如图,在由边长为1个单位长度的小正方形组成的网格中建立平面直角坐标系 46关注公众号:陆陆高分冲刺 ~领取:最新版“小中高考-总复习”、最新试卷下载 xOy,格点(网格线的交点)A、B,C、D的坐标分别为(7,8),(2,8),(10,4),(5,4). (1)以点D为旋转中心,将△ABC旋转180°得到△A B C ,画出△A B C ; 1 1 1 1 1 1 (2)直接写出以B,C ,B ,C为顶点的四边形的面积; 1 1 (3)在所给的网格图中确定一个格点E,使得射线AE平分∠BAC,写出点E的坐标. 【答案】(1)见详解 (2)40 (3)E(6,6)(答案不唯一) 【分析】本题主要考查了画旋转图形,平行四边形的判定以及性质,等腰三角形的判定以及性质等知识, 结合网格解题是解题的关键. (1)将点A,B,C分别绕点D旋转180°得到对应点,即可得出△A B C . 1 1 1 (2)连接BB ,CC ,证明四边形BC B C是平行四边形,利用平行四边形的性质以及网格求出面积即 1 1 1 1 可. (3)根据网格信息可得出AB=5,AC=√32+42=5,即可得出△ABC是等腰三角形,根据三线合一的性 质即可求出点E的坐标. 【详解】(1)解:△A B C 如下图所示: 1 1 1 (2)连接BB ,CC , 1 1 ∵点B与B ,点C与C 分别关于点D成中心对称, 1 1 47关注公众号:陆陆高分冲刺 ~领取:最新版“小中高考-总复习”、最新试卷下载 ∴DB=DB ,DC=DC , 1 1 ∴四边形BC B C是平行四边形, 1 1 1 ∴S =2△CC B =2× ×10×4=40. ▱BC 1 B 1 C 1 1 2 (3)∵根据网格信息可得出AB=5,AC=√32+42=5, ∴△ABC是等腰三角形, ∴AE也是线段BC的垂直平分线, B,C的坐标分别为,(2,8),(10,4) ∵ (2+10 8+4) ∴点E , , 2 2 即E(6,6).(答案不唯一) 2.(2024·天津·中考真题)如图,在每个小正方形的边长为1的网格中,点A,F,G均在格点上. (1)线段AG的长为 ; (2)点E在水平网格线上,过点A,E,F作圆,经过圆与水平网格线的交点作切线,分别与AE,AF的 延长线相交于点B,C,△ABC中,点M在边BC上,点N在边AB上,点P在边AC上.请用无刻度的直 尺,在如图所示的网格中,画出点M,N,P,使△MNP的周长最短,并简要说明点M,N,P的位置是 如何找到的(不要求证明) . 48关注公众号:陆陆高分冲刺 ~领取:最新版“小中高考-总复习”、最新试卷下载 【答案】 √2 图见解析,说明见解析 【分析】此题考查了勾股定理、切线的性质等知识,根据题意正确作图是解题的关键. (1)利用勾股定理即可求解; (2)作点M关于AB、AC的对称点M 、M ,连接M M 、M M ,分别与AB、AC相交于点E、P, 1 2 1 1 2 △MNP的周长等于M M 的长,等腰三角形AM M 的腰长为AM,当AM的值最小时,M M 的值最小, 1 2 1 2 1 2 此时M是切点,由此作图即可. 【详解】(1)由勾股定理可知,AG=√12+12=√2, 故答案为:√2 (2)如图,根据题意,切点为M;连接ME并延长,与网格线相交于点M ;取圆与网格线的交点D和格 1 点H,连接DH并延长,与网格线相交于点M ;连接M M ,分别与AB,AC相交于点N,P,则点M, 2 1 2 N,P即为所求. 3.(2024·广东·模拟预测)如图,在6×7的正方形网格中,每个小正方形的边长都是1,四边形ABCD的 顶点均在网格的格点上. (1)求sinD的值. (2)操作与计算:用尺规作图法过点C作CE⊥AD,垂足为E,并直接写出CE的长.(保留作图痕迹,不 要求写出作法) 2√13 【答案】(1) 13 49关注公众号:陆陆高分冲刺 ~领取:最新版“小中高考-总复习”、最新试卷下载 6√26 (2)图见解析, 13 【分析】本题考查了勾股定理和勾股定理的逆定理、正弦、作垂线,熟练掌握正弦的定义是解题关键. (1)先根据勾股定理和勾股定理的逆定理得出△ACD是以∠ACD为直角的直角三角形,再根据正弦的定 义求解即可得; (2)先以点C为圆心、CA为半径画弧交AD于点F,再分别以点A,F为圆心,AC长为半径画弧,分别交 于点C,G,然后画直线CG,交AD于点E,则CE即为所作;最后利用正弦的定义即可求出CE的长. 【详解】(1)解:如图,连接AC, ∵AD=√12+52=√26,AC=√22+22=2√2,CD=√32+32=3√2, ∴AC2+CD2=AD2, ∴△ACD是以∠ACD为直角的直角三角形, AC 2√2 2√13 ∴sinD= = = . AD √26 13 (2)解:用尺规作图法过点C作CE⊥AD,垂足为E,作图如下: 2√13 6√26 在Rt△CDE中,CE=CD⋅sinD=3√2× = . 13 13 考点十: 用勾股定理逆定理解决实际生活问题 1.(2024·四川成都·中考真题)如图,在平面直角坐标系xOy中,已知A(3,0),B(0,2),过点B作y轴的 50关注公众号:陆陆高分冲刺 ~领取:最新版“小中高考-总复习”、最新试卷下载 垂线l,P为直线l上一动点,连接PO,PA,则PO+PA的最小值为 . 【答案】5 【分析】本题考查轴对称—最短问题以及勾股定理和轴对称图形的性质.先取点A关于直线l的对称点A', 连A'O交直线l于点C,连AC,得到AC=A'C,A' A⊥l,再由轴对称图形的性质和两点之间线段最短, 得到当O,P,A'三点共线时,PO+PA的最小值为A'O,再利用勾股定理求A'O即可. 【详解】解:取点A关于直线l的对称点A',连A'O交直线l于点C,连AC, 则可知AC=A'C,A' A⊥l, ∴PO+PA=PO+PA'≥A'O, 即当O,P,A'三点共线时,PO+PA的最小值为A'O, ∵直线l垂直于y轴, ∴A' A⊥x轴, ∵A(3,0),B(0,2), ∴AO=3,A A'=4, ∴在Rt△A' AO中, A'O=√OA2+A A'2=√32+42=5, 故答案为:5 2.(2023·江苏宿迁·模拟预测)如图,A,B两地被大山阻隔,C地在A地的北偏东60°的方向上,在B地 西北方向上,且A,C两地间距离为20km,若要从A地到B地,现只能沿着的公路先从A地到的C地,再 由C地到B地.计划开凿隧道,使A,B两地直线贯通,求隧道开通后与隧道开通前相比,从A地到B地 51关注公众号:陆陆高分冲刺 ~领取:最新版“小中高考-总复习”、最新试卷下载 的路程将缩短多少?(结果精确到0.1km,参考数据√2≈1.414,√3≈1.732) 【答案】6.8km 【分析】本题主要考查了勾股定理的应用,正确做辅助线是解题的关键.过点C作AB的垂线CD,垂足为 D,把△ABC转化成两个直角三角形,即可求解. 【详解】解:过点C作AB的垂线CD,垂足为D,如图所示: 有题意可得:AC=20km,∠CAD=90°−60°=30°, 1 ∴CD= AC=10(km), 2 ∴AD=√AC2−CD2=√202−102=10√3(km), 在Rt△CDB中,∠CBD=45°, ∴△CDB是等腰直角三角形, ∴BD=CD=10km, ∴BC=√CD2+BD2=√102+102=10√2(km), ∴AC+BC−AB=AC+BC−(AD+BD), =20+10√2−(10√3+10) =10+10√2−10√3 ≈6.8(km), 即从A地到B地的路程将缩短约6.8km. 3.(2023·海南海口·模拟预测)深秋已至,稻客张师傅在一块四边形(如图)的田地里收割稻谷.已知四 边形ABCD中,∠C=90°,BC=15m,CD=20m,AB=24m,AD=7m,若张师傅的收割价格为0.65 元/m2,请你计算这块田地张师傅应该收费多少元? 52关注公众号:陆陆高分冲刺 ~领取:最新版“小中高考-总复习”、最新试卷下载 【答案】152.1元 【分析】本题考查了勾股定理,勾股定理的逆定理.熟练掌握勾股定理,勾股定理的逆定理是解题的关键. 如图,连接BD,由勾股定理得,BD=√BC2+CD2=25,由AB2+AD2=BD2,可得△ABD是直角三 角形,∠A=90°,则S =S +S ,根据S ×0.65,计算求解即可. 四边形ABCD △BCD △ABD 四边形ABCD 【详解】解:如图,连接BD, 由勾股定理得,BD=√BC2+CD2=25, ∵242+72=625=252, ∴AB2+AD2=BD2, ∴△ABD是直角三角形,∠A=90°, 1 1 ∴S =S +S = ×15×20+ ×24×7=234 (m2), 四边形ABCD △BCD △ABD 2 2 ∴234×0.65=152.1(元), ∴这块田地张师傅应该收费152.1元. 考点十一: 特殊三角形与函数综合 1.(2023·四川成都·中考真题)如图,在平面直角坐标系xOy中,已知抛物线y=ax2+c经过点P(4,−3), 与y轴交于点A(0,1),直线y=kx(k≠0)与抛物线交于B,C两点. 53关注公众号:陆陆高分冲刺 ~领取:最新版“小中高考-总复习”、最新试卷下载 (1)求抛物线的函数表达式; (2)若△ABP是以AB为腰的等腰三角形,求点B的坐标; (3)过点M(0,m)作y轴的垂线,交直线AB于点D,交直线AC于点E.试探究:是否存在常数m,使得 OD⊥OE始终成立?若存在,求出m的值;若不存在,请说明理由. 1 【答案】(1)y=− x2+1 4 (2)点B的坐标为(−4,−3)或(−2−2√5,−5−2√5)或(−2+2√5,−5+2√5) 2 (3)存在,m的值为2或 3 【分析】(1)利用待定系数法求解即可; (2)设B ( t,− 1 t2+1 ) ,分AB=AP和AB=BP两种情况,分别根据等腰三角形性质和两点坐标距离公式 4 列方程求解即可; 1 (3)先根据题意画出图形,设抛物线y=− x2+1与直线y=kx(k≠0)的交点坐标为B(a,ka),C(b,kb), 4 联立抛物线和直线解析式,根据根与系数关系得到a+b=−4k,ab=−4,利用待定系数法分别求得直线 (a(m−1) ) (b(m−1) ) AB、AC的表达式为得到D ,m , E ,m ,过E作EQ⊥x轴于Q,过D作DN⊥x ka−1 kb−1 b(m−1) − m kb−1 轴于N,证明△EQO∽△OND得到 = ,整理可得到m2=4(m−1) 2,进而求解即可. a(m−1) m ka−1 【详解】(1)解:∵抛物线y=ax2+c经过点P(4,−3),与y轴交于点A(0,1), ∴¿,解得¿, 54关注公众号:陆陆高分冲刺 ~领取:最新版“小中高考-总复习”、最新试卷下载 1 ∴抛物线的函数表达式为y=− x2+1; 4 (2)解:设B ( t,− 1 t2+1 ) , 4 根据题意,△ABP是以AB为腰的等腰三角形,有两种情况: 当AB=AP时,点B和点P关于y轴对称, ∵P(4,−3),∴B(−4,−3); 当AB=BP时,则AB2=BP2, ∴(t−0) 2+ ( − 1 t2+1−1 ) 2 =(t−4) 2+ ( − 1 t2+1+3 ) 2 , 4 4 整理,得t2+4t−16=0, 解得t =−2−2√5,t =−2+2√5, 1 2 1 1 当t=−2−2√5时,− t2+1 =− ×(−2−2√5) 2+1=−5−2√5,则B(−2−2√5,−5−2√5), 4 4 1 1 当t=−2+2√5时,− t2+1 =− ×(−2+2√5) 2+1=−5+2√5,则B(−2+2√5,−5+2√5), 4 4 综上,满足题意的点B的坐标为(−4,−3)或(−2−2√5,−5−2√5)或(−2+2√5,−5+2√5); (3)解:存在常数m,使得OD⊥OE. 根据题意,画出图形如下图, 55关注公众号:陆陆高分冲刺 ~领取:最新版“小中高考-总复习”、最新试卷下载 1 设抛物线y=− x2+1与直线y=kx(k≠0)的交点坐标为B(a,ka),C(b,kb), 4 1 由y=− x2+1=kx得x2+4kx−4=0, 4 ∴a+b=−4k,ab=−4; 设直线AB的表达式为y=px+q, 则¿,解得¿, ka−1 ∴直线AB的表达式为y= x+1, a ka−1 a(m−1) 令y=m,由y= x+1=m得x= , a ka−1 (a(m−1) ) ∴D ,m , ka−1 kb−1 (b(m−1) ) 同理,可得直线AC的表达式为y= x+1,则E ,m , b kb−1 过E作EQ⊥x轴于Q,过D作DN⊥x轴于N, b(m−1) a(m−1) 则∠EQO=∠OND=90°,EQ=ND=m,QO=− ,ON= , kb−1 ka−1 若OD⊥OE,则∠EOD=90°, ∴∠QEO+∠QOE=∠DON+∠QOE=90°, ∴∠QEO=∠DON, ∴△EQO∽△OND, EQ QO ∴ = , ON ND b(m−1) − m kb−1 则 = , a(m−1) m ka−1 整理,得m2(ka−1)(kb−1)=−ab(m−1) 2, 即m2[abk2−k(a+b)+1]=−ab(m−1) 2, 将a+b=−4k,ab=−4代入,得m2(−4k2+4k2+1)=4(m−1) 2, 56关注公众号:陆陆高分冲刺 ~领取:最新版“小中高考-总复习”、最新试卷下载 即m2=4(m−1) 2,则m=2(m−1)或m=−2(m−1), 2 解得m =2,m = , 1 2 3 2 综上,存在常数m,使得OD⊥OE,m的值为2或 . 3 【点睛】本题是二次函数的综合题,主要考查了待定系数法求函数的解析式、等腰三角形的性质、一元二 次方程根与系数关系、相似三角形的判定与性质、解一元二次方程、坐标与图形等知识,综合性强,难度 较大,熟练掌握相关知识的联系与运用,添加辅助线构造相似三角形,并利用数形结合和分类讨论思想解 决问题是解答的关键. 2.(2024·黑龙江牡丹江·中考真题)如图,在平面直角坐标系中,直线y=x+b与x轴的正半轴交于点 A,与y轴的负半轴交于点D,点B在x轴的正半轴上,四边形ABCD是平行四边形,线段OA的长是一元 二次方程x2−4x−12=0的一个根.请解答下列问题: (1)求点D的坐标; (2)若线段BC的垂直平分线交直线AD于点E,交x轴于点F,交BC于点G,点E在第一象限,AE=3√2, 连接BE,求tan∠ABE的值; (3)在(2)的条件下,点M在直线DE上,在x轴上是否存在点N,使以E、M、N为顶点的三角形是直角 边比为1 2的直角三角形?若存在,请直接写出△EMN的个数和其中两个点N的坐标;若不存在,请说明 理由. ∶ 【答案】(1)D(0,−6) 1 (2) 3 (3)存在,12个,N (0,0),N (8,0),N (10,0),N (12,0),N (18,0) 1 2 3 4 5 【分析】(1)先解方程求出OA=6,然后求出直线解析式即可求得点D的坐标; (2)过点E作EH⊥AB于点H,求出AH=EH=3,然后证明△AEF≌△BGF,即可得到 57关注公众号:陆陆高分冲刺 ~领取:最新版“小中高考-总复习”、最新试卷下载 BF=AF=2AH=6,然后求出∠ABE得正切值即可; (3)利用分类讨论画出图形,利用勾股定理解题即可. 【详解】(1)解:解方程x2−4x−12=0得x =6,x =−2, 1 2 ∴OA=6,即点A的坐标为(6,0), 把(6,0)代入y=x+b得b=−6, ∴y=x−6,点D的坐标为(0,−6); (2)解:过点E作EH⊥AB于点H, ∵OA=OD=6, ∴∠OAD=∠ODA=∠EAH=45°,AD=√OA2+OD2=√62+62=6√2, √2 ∴AH=EH=AE⋅tan∠EAH=3√2× =3, 2 又∵ABCD是平行四边形, ∴BC=AD=6√2,AE∥BC, ∵GE是BC的垂直平分线, 1 ∴BG= BC=3√2=AE, 2 ∵AE∥BC, ∴∠EAF=∠GBF,∠AEF=∠FGB=90°, ∴△AEF≌△BGF, ∴BF=AF=2AH=6, ∴BH=AF+FB−AH=6+6−3=9, EH 1 ∴tan∠ABE= = ; BH 3 (3)如图,当∠MEN=90°时,有4个, 58关注公众号:陆陆高分冲刺 ~领取:最新版“小中高考-总复习”、最新试卷下载 解:∵∠EAN =45°, 1 ∴EN =EA=3√2, 1 由(2)得AN =6,OA=6, 1 ∴ON =12, 1 ∴点N得坐标为(12,0); 当∠ENM=90°时,有4个,如图, 当∠EMN=90°时,有4个,如图, ∵∠N AM =45°, 9 9 1 ∴N M =M A= EM =EA=3√2, 9 9 9 2 9 59关注公众号:陆陆高分冲刺 ~领取:最新版“小中高考-总复习”、最新试卷下载 ∴N A=√M A2+N M 2=√ (3√2) 2+(3√2) 2=6, 9 9 9 9 ∴点N 与O重合, 9 故点N 得坐标为(0,0), 9 综上所述,点△EMN的个数为12个,和点N的坐标为(0,0)或(12,0). 【点睛】本题考查解一元二次方程,直线的解析式,平行四边形的性质,勾股定理,全等三角形的判定和 性质,解直角三角形等知识,掌握等腰直角三角形的性质是解题的关键. k 3.(2023·四川绵阳·中考真题)如图,过原点O的直线与反比例函数y = (k≠0)的图象交于A(1,2), 1 x B两点,一次函数y =mx+b(m≠0)的图象过点A与反比例函数交于另一点C(2,n). 2 (1)求反比例函数的解析式;当y >y 时,根据图象直接写出x的取值范围; 1 2 (2)在y轴上是否存在点M,使得△COM为等腰三角形?若存在,求出点M的坐标;若不存在,请说明理 由. 2 【答案】(1)y = ,0y . 1 2 1 2 所以x的取值范围是:02. (2)将x=2代入反比例函数解析式得y=1, 所以点C的坐标为(2,1). 则OC=√(2−0) 2+(1−0) 2=√5. 如图: 当OC=OM时, OM=√5, 所以点M坐标为((0,√5)或(0,−√5). 当CM=CO时,点C在OM的垂直平分线上, 又因为点C坐标为(2,1), 所以点M坐标为(0,2). 当MO=MC时,点M在OC的垂直平分线上, 过点C作CN⊥y轴于点N, 令MO=m,则MC=m,MN=m−1, 在Rt△CMN中, CN2+M N2=MC2 即22+(m−1)2=m2, 5 解得m= . 2 5 所以点M的坐标为(0, ). 2 61关注公众号:陆陆高分冲刺 ~领取:最新版“小中高考-总复习”、最新试卷下载 5 综上所述:点M的坐标为(0,√5)或(0,−√5)或(0,2)或(0, ). 2 1 13 k 4.(2024·四川成都·二模)如图1,在平面直角坐标系xOy中,直线y=− x+ 与反比例函数y= 的 2 2 x 图象交于A,B两点,其中点A的坐标为(a,6). (1)求反比例函数的解析式; (2)如图2,连接AO,BO,求△AOB的面积; (3)作直线AM,BN分别垂直于x轴和y轴,垂足为M,N,AM与BN交于点C,在第一象限内存在一点D 使得∠BDC=90°,连接AD,若点P是AD的中点,连接CP,当CP最大时,求出此时点D的坐标及CP 的值. 6 【答案】(1)y= ; x 143 (2) 4 (13 11√2 1 11√2) 11√2+11 (3)D + , + ,CP= . 2 4 2 4 4 【分析】(1)求得A(1,6),再利用待定系数法求解即可; ( 1) (2)联立,求得B 12, ,再利用割补法求解即可; 2 (13 1) (15 13) (3)取BC中点R,求得R , ,再取AR中点S,求得S , ,根据斜边中线的性质,三角形中 2 2 4 4 11 11√2 位线定理结合勾股定理求得PS= ,CS= ,由两点之间线段最短知,当C、S、P共线时,即可 4 4 ( 1) 求得CP的最大值;利用待定系数法求得直线CS的解析式,设点P n,n− ,利用两点之间的距离公式 2 62关注公众号:陆陆高分冲刺 ~领取:最新版“小中高考-总复习”、最新试卷下载 (15 11√2 13 11√2) 列式计算求得n的值,求得P + , + ,再中点坐标,据此求解即可. 4 8 4 8 1 13 【详解】(1)解:直线y=− x+ 过点A(a,6), 2 2 1 13 ∴6=− a+ ,解得a=1, 2 2 ∴A(1,6), k ∵反比例函数y= 的图象过点A(1,6), x ∴k=1×6=6, 6 ∴反比例函数的解析式为y= ; x 1 13 6 (2)解:联立,− x+ = , 2 2 x 解得x=1或x=12, 6 1 当x=12时,y= = , 12 2 ( 1) ∴B 12, , 2 1( 1) 1 1 1 ∴S =1×6+ 6+ ×(12−1)− ×1×6− ×12× △AOB 2 2 2 2 2 1 13 =6+ × ×11−3−3 2 2 143 = ; 4 ( 1) (3)解:∵A(1,6),B 12, , 2 ( 1) ( 1) ∴M(1,0),N 0, ,C 1, , 2 2 63关注公众号:陆陆高分冲刺 ~领取:最新版“小中高考-总复习”、最新试卷下载 (13 1) 取BC中点R,连接AR,DR,则R , , 2 2 (15 13) 再取AR中点S,连接CS,PS,则S , , 4 4 ∵∠BDC=90°,点R为BC中点, 1 11 ∴RD= BC= , 2 2 ∵点S为AR中点,点P为AD中点, 1 11 ∴PS∥DR,PS= DR= , 2 4 1 11 11 又AC=6− = ,CR= , 2 2 2 11√2 ∴AR= , 2 ∵点S为AR中点,∠ACR=90°, 1 11√2 ∴CS= AR= , 2 4 11√2+11 由两点之间线段最短知,当C、S、P共线时,CP有最大值,最大值为 ; 4 设直线CS的解析式为y=k x+b ,则¿, 1 1 解得¿, 1 ∴直线CS的解析式为y=x− , 2 ( 1) 15 ∵点P在直线CS上,设点P n,n− ,且n> , 2 4 64关注公众号:陆陆高分冲刺 ~领取:最新版“小中高考-总复习”、最新试卷下载 (15 13) 11 ∵S , ,PS= , 4 4 4 ∴PS2= (11) 2 = ( n− 15) 2 + ( n− 1 − 13) 2 , 4 4 2 4 整理得32n2−240n+329=0, 15 11√2 解得n= ± , 4 8 15 11√2 1 15 11√2 1 13 11√2 ∴n= + ,n− = + − = + , 4 8 2 4 8 2 4 8 (15 11√2 13 11√2) ∴点P + , + , 4 8 4 8 设D(x ,y ), D D ∵点P为AD中点, 1+x 15 11√2 6+ y 13 11√2 ∴ D= + , D= + , 2 4 8 2 4 8 13 11√2 1 11√2 解得x = + ,y = + , D 2 4 D 2 4 (13 11√2 1 11√2) ∴D + , + . 2 4 2 4 【点睛】本题考查了反比例函数与一次函数的交点问题,反比例函数与几何综合,公式法解一元二次方程, 直角三角形的性质,勾股定理,三角形中位线定理,数形结合是解答本题的关键. 65关注公众号:陆陆高分冲刺 ~领取:最新版“小中高考-总复习”、最新试卷下载 重难点一: 手拉手模型 1.(2022·青海·中考真题)两个顶角相等的等腰三角形,如果具有公共的顶角的顶点,并把它们的底角顶 点连接起来,则形成一组全等的三角形,把具有这个规律的图形称为“手拉手”图形. (1)问题发现: 如图1,若△ABC和△ADE是顶角相等的等腰三角形,BC,DE分别是底边.求证:BD=CE; 图1 (2)解决问题:如图2,若△ACB和△DCE均为等腰直角三角形,∠ACB=∠DCE=90°,点A,D,E在 同一条直线上,CM为△DCE中DE边上的高,连接BE,请判断∠AEB的度数及线段CM,AE,BE之间 的数量关系并说明理由. 图2 【答案】(1)见解析 (2)∠DCE=90°;AE=AD+DE=BE+2CM 【分析】(1)先判断出∠BAD= CAE,进而利用SAS判断出 BAD CAE,即可得出结论; (2)同(1)的方法判断出 BA∠D CAE,得出AD=BE,∠A△DC= ≌B△EC,最后用角的差,即可得出结论. 【详解】(1)证明:∵△A△BC和△≌△ADE是顶角相等的等腰三角形, ∠ ∴AB=AC,AD=AE,∠BAC=∠DAE, ∴∠BAC−∠CAD=∠DAE−∠CAD, ∴∠BAD=∠CAE. 在△BAD和△CAE中, ¿, 66关注公众号:陆陆高分冲刺 ~领取:最新版“小中高考-总复习”、最新试卷下载 ∴△BAD≌△CAE(SAS), ∴BD=CE. (2)解:∠AEB=90°,AE=BE+2CM, 理由如下:由(1)的方法得,△ACD≌△BCE, ∴AD=BE,∠ADC=∠BEC, ∵△CDE是等腰直角三角形, ∴∠CDE=∠CED=45°, ∴∠ADC=180°−∠CDE=135°, ∴∠BEC=∠ADC=135°, ∴∠AEB=∠BEC−∠CED=135°−45°=90°. ∵CD=CE,CM⊥DE, ∴DM=ME. ∵∠DCE=90°, ∴DM=ME=CM, ∴DE=2CM. ∴AE=AD+DE=BE+2CM. 【点睛】此题是三角形综合题,主要考查了全等三角形的判定和性质,等腰三角形,等边三角形,等腰直 角三角形的性质,判断出 ACD BCE是解本题的关键. 2.(2024·辽宁大连·一模△)【模≌型△定义】 它是由两个共顶点且顶角相等的等腰三角形构成.在相对位置变化的同时,始终存在一对全等三角形.他 们得知这种模型称为“手拉手模型”如果把小等腰三角形的腰长看作是小手,大等腰三角形的腰长看作大 手,两个等腰三角形有公共顶点,类似大手拉着小手. 【模型探究】 (1)如图1,若△ACB和△DCE均为等边三角形,点A、D、E在同一条直线上,连接BE,则∠AEB的 度数为 ;线段BE与AD之间的数量关系是 . 【模型应用】 (2)如图2,AB=BC,∠ABC=∠BDC=60°,求证:AD+CD=BD; 67关注公众号:陆陆高分冲刺 ~领取:最新版“小中高考-总复习”、最新试卷下载 (3)如图3,P为等边△ABC内一点,且PA:PB:PC=3:4:5,以BP为边构造等边△BPM,这 样就有两个等边三角形共顶点B,然后连接CM,求∠APB的度数是 . 【拓展提高】 (4)如图4,在△ABC中,AB=AC,∠BAC=m°,点E为△ABC外一点,点D为BC中点, ∠EBC=∠ACF,ED⊥FD,求∠EAF的度数.(用含有m的式子表示) (5)如图5,两个等腰直角三角形△ABC和△ADE中,AB=AC,AE=AD,∠BAC=∠DAE=90°, 连接BD,CE,两线交于点P,请证明BD和CE的数量关系和位置关系. 1 【答案】(1)60°,BE=AD;(2)见解析;(3)150°;(4)∠EAF= m°;(5)BD=CE且 2 BD⊥CE;理由见解析 【分析】本题考查的是等腰三角形的性质、全等三角形的判定和性质,掌握全等三角形的判定定理和性质 定理是解题的关键. (1)由△ACB和△DCE均为等边三角形,可证△ACD≌△BCE(SAS),可得∠ADC=∠BEC, AD=BE,由点A、D、E在同一条直线上,可求∠AEB=60°即可; (2)延长DC到E,使得DB=DE,由∠BDC=60°,可证△DEC为等边三角形,可得EC=EC,由 AB=BC,∠ABC=60°,可证△ABC为等边三角形,可证△ADC≌△BEC(SAS),可得AD=BE 即可; (3)由PA:PB:PC=3:4:5,由△ABC与△BPM都是等边三角形,可证 △ABP≌△CBM(SAS),可得CM:PM:PC=3:4:5,PC2=CM2+PM2,可证△CMP是 直角三角形且∠PMC=90°即可; (4)将AE绕点E逆时针旋转m°得到AG,连接CG、EG、EF、FG,延长ED到M,使得DM=DE, 连接FM、CM.先证△EDB≌△MDC(SAS),再证△GCF≌△MCF(SAS),最后证 1 △AEF≌△AGF(SSS),可得∠EAF=∠FAG= m°; 2 (5)由两个等腰直角三角形△ABC和△ADE中,AB=AC,AE=AD,∠BAC=∠DAE=90°,可证 △DAB≌△EAC(SAS),可得∠DBA=∠ECA,再求∠BPC=90°即可; 【详解】解:(1)如图1, 68关注公众号:陆陆高分冲刺 ~领取:最新版“小中高考-总复习”、最新试卷下载 ∵△ACB △DCE 和 均为等边三角形, ∴CA=CB,CD=CE,∠ACB=∠DCE=60°. ∴∠ACD=∠BCE. 在△ACD和△BCE中, ¿, ∴△ACD≌△BCE(SAS). ∴∠ADC=∠BEC.BE=AD, ∵△DCE为等边三角形, ∴∠CDE=∠CED=60°. ∵点A,D,E在同一直线上, ∴∠ADC=120°. ∴∠BEC=120°. ∴∠AEB=∠BEC−∠CED=60°. 故答案为:60°,BE=AD. (2)证明:如图2中,延长DC到E,使得DB=DE. ∵DB=DE ∠BDC=60° , , ∴△BDE是等边三角形, ∴BD=BE,∠DBE=∠ABC=60°, ∴∠ABD=∠CBE, ∵AB=BC, ∴△ABD≌△CBE, ∴AD=EC, ∴BD=DE=DC+CE=DC+AD. 69关注公众号:陆陆高分冲刺 ~领取:最新版“小中高考-总复习”、最新试卷下载 ∴AD+CD=BD. (3)解:以BP为边构造等边△BPM,连接CM,如图3所示: ∵△ABC与△BPM都是等边三角形, ∴AB=BC,BP=BM=PM,∠ABC=∠PBM=∠BMP=60°, ∴∠ABC−∠PBC=∠PBM−∠PBC,即∠ABP=∠CBM, 在△ABP和△CBM中, ¿, ∴△ABP≌△CBM(SAS), ∴AP=CM,∠APB=∠CMB, ∵PA:PB:PC=3:4:5, ∴CM:PM:PC=3:4:5, ∴PC2=CM2+PM2, ∴△CMP是直角三角形, ∴∠PMC=90°, ∴∠CMB=∠BMP+∠PMC=60°+90°=150°, ∴∠APB=150°, 故答案为:150°; (4)解:如图4中,将AE绕点E逆时针旋转m°得到AG,连接CG、EG、EF、FG,延长ED到M,使 得DM=DE,连接FM、CM. 由(1)可知△EAB≌△GAC, ∴∠1=∠2,BE=CG, ∵BD=DC,∠BDE=∠CDM,DE=DM, ∴△EDB≌△MDC(SAS), ∴BE=CM=CG,∠EBC=∠MCD, ∵∠EBC=∠ACF, 70关注公众号:陆陆高分冲刺 ~领取:最新版“小中高考-总复习”、最新试卷下载 ∴∠MCD=∠ACF, ∴∠FCM=∠ACB=∠ABC, ∴∠1=∠3=∠2, ∴∠FCG=∠ACB=∠MCF, ∵CF=CF,CG=CM, ∴△CFG≌△CFM(SAS), ∴FG=FM, ∵ED=DM,DF⊥EM, ∴FE=FM=FG, ∵AE=AG,AF=AF, ∴△AFE≌△AFG(SSS), 1 ∴∠EAF=∠FAG= m°. 2 (5)BD=CE且BD⊥CE; 理由如下:∵∠DAE=∠BAC=90°, ∴∠DAE+∠BAE=∠BAC+∠BAE. ∴∠DAB=∠EAC. 在△DAB和△EAC中, ¿, ∴△DAB≌△EAC(SAS), ∴BD=CE,∠DBA=∠ECA, ∵∠ECA+∠ECB+∠ABC=90°, ∴∠DBA+∠ECB+∠ABC=90°, 即∠DBC+∠ECB=90°, ∴∠BPC=180°−(∠DBC+∠ECB)=90°, ∴BD⊥CE, 综上所述:BD=CE且BD⊥CE. 重难点二: 赵爽弦图 1.(2024·湖北武汉·中考真题)如图是我国汉代数学家赵爽在注解《周髀算经》时给出的“赵爽弦图”, 它是由四个全等的直角三角形和中间的小正方形MNPQ拼成的一个大正方形ABCD.直线MP交正方形 71关注公众号:陆陆高分冲刺 ~领取:最新版“小中高考-总复习”、最新试卷下载 ABCD的两边于点E,F,记正方形ABCD的面积为S ,正方形MNPQ的面积为S .若BE=kAE(k>1), 1 2 则用含 的式子表示S 的值是 . k 1 S 2 k2+1 【答案】 (k−1) 2 【分析】作EG⊥AN交AN于点G,不妨设MN=a,设EG=1,通过四边形MNPQ是正方形,推出 ∠EMG=∠PMN=45°,得到EG=MG=1,然后证明△AEG∽△ABN,利用相似三角形对应边成比例, AE 1 AG 1 得到 = = = ,从而表示出AG,MN的长度,最后利用S =AB2=BN2+AN2 和 AB BN AN k+1 1 S S =M N2=a2 表示出正方形ABCD和MNPQ的面积,从而得到 1 . 2 S 2 【详解】解:作EG⊥AN交AN于点G,不妨设MN=a,设EG=1 ∵ MNPQ 四边形 是正方形 ∴∠PMN=45° ∴∠EMG=∠PMN=45° ∴EG=MG=1 在△AEG和△ABN中,∠EAG=∠BAN,∠AGE=∠ANB=90° ∴△AEG∽△ABN AE EG AG ∴ = = AB BN AN 72关注公众号:陆陆高分冲刺 ~领取:最新版“小中高考-总复习”、最新试卷下载 ∵BE=kAE(k>1) ∴AB=AE+BE=AE(k+1) AE 1 AG 1 ∴ = = = AB BN AN k+1 ∴BN=1+k 由题意可知,△ABN≌△DAM ∴BN=AM=1+k ∴AG=AM−GM=1+k−1=k AG AG k 1 ∴ = = = AN AM+MN k+1+a k+1 ∴a=k2−1 ∴AN=AG+GM+MN=k+1+k2−1=k2+k ∴正方形ABCD的面积S =AB2=BN2+AN2=(k+1) 2+(k2+k) 2=(k+1) 2 (k2+1), 1 正方形MNPQ的面积S =M N2=a2=(k2−1) 2=(k+1) 2 (k−1) 2 2 S (k+1) 2 (k2+1) ∴ 1= S (k+1) 2 (k−1) 2 2 ∵k>1 ∴(k+1) 2≠0 S k2+1 ∴ 1= ; S (k−1) 2 2 k2+1 故答案为: . (k−1) 2 【点睛】本题考查了弦图,正方形的性质,等腰三角形的性质,相似三角形的判定与性质,正方形的面积, 勾股定理,熟练掌握以上知识点并能画出合适的辅助线构造相似三角形是解题的关键. 2.(2020·湖北孝感·中考真题)如图1,四个全等的直角三角形围成一个大正方形,中间是个小正方形, 这个图形是我国汉代赵爽在注解《周髀算经》时给出的,人们称它为“赵爽弦图”.在此图形中连接四条 线段得到如图2的图案,记阴影部分的面积为S ,空白部分的面积为S ,大正方形的边长为m,小正方形 1 2 73关注公众号:陆陆高分冲刺 ~领取:最新版“小中高考-总复习”、最新试卷下载 n 的边长为n,若S =S ,则 的值为 . 1 2 m √3−1 【答案】 2 【分析】如图(见解析),设AB=CD=a,先根据直角三角形的面积公式、正方形的面积公式求出S ,S 1 2 的值,再根据S =S 建立等式,然后根据S +S =m2 建立等式求出a的值,最后代入求解即可. 1 2 1 2 【详解】如图,由题意得:AC=m,BD=n,AB=CD,△ABC是直角三角形,且m,n均为正数 则大正方形的面积为AC2=m2 小正方形的面积为BD2=n2 设AB=CD=a(a>0) 1 则S =4S +n2=4× AB⋅BD+n2=2an+n2 1 Rt△ABD 2 1 S =4S =4× CD⋅AB=2a2 2 △ACD 2 ∵S =S 1 2 ∴2an+n2=2a2 又∵S +S =m2 ,即2S =m2 1 2 2 ∴4a2=m2 m m 解得a= 或a=− (不符题意,舍去) 2 2 m m2 将a= 代入2an+n2=2a2得:mn+n2= 2 2 m2 2n n 2 两边同除以 得: +2( ) =1 2 m m n 令 =x>0 m 则2x+2x2=1 74关注公众号:陆陆高分冲刺 ~领取:最新版“小中高考-总复习”、最新试卷下载 √3−1 −√3−1 解得x= 或x= <0(不符题意,舍去) 2 2 n √3−1 即 的值为 m 2 √3−1 故答案为: . 2 【点睛】本题考查了一元二次方程与几何图形、勾股定理、三角形全等的性质等知识点,理解题意,正确 求出S ,S 的值是解题关键. 1 2 3.(2024·河北·模拟预测)如图1,嘉嘉用四个全等的直角三角形拼接了一个“赵爽弦图”,其中大正方 形ABCD的面积为25,小正方形EFGH的面积为1. (1)如图2,连接DG,CF,BE,AH得到一个风车图案(阴影部分),则风车图案的周长为 . (2)如图3,连接AC,交BG于点P,交DE于点M,则S −S = . △AFP △CGP 1 【答案】 4√10+12 2 【分析】(1)根据题意在Rt△DHC中,利用勾股定理求出DH,DG的长即可求出答案; (2)根据正方形的性质证明△GCP≌△EAM(AAS),得到GP=EM,再根据 S −S =S −S =S 即可求解. △AFP △CGP △AFP △AEM 梯形MEFP 【详解】(1)∵正方形ABCD的面积为25,正方形EFGH的面积为1 ∴正方形ABCD的边长为5,正方形EFGH的边长为1 设DH=x, ∵四个直角三角形全等, 75关注公众号:陆陆高分冲刺 ~领取:最新版“小中高考-总复习”、最新试卷下载 ∴CG=x,则CH=x+1 在Rt△DHC中,DH2+CH2=CD2,即x2+(x+1) 2=52,解得:x=3(负值舍去) ∴DH=3, ∵HG=1 ∴DG=√DH2+HG2=√10 同理可得:CF=BE=AH=√10,CG=BF=AE=3, ∴风车图案的周长为4√10+12; (2)∵四边形EFGH是正方形, ∴EF=GH ∵四个直角三角形全等, ∴CH=AF ∴CH−GH=AF−EF,即CG=AE ∵四边形EFGH是正方形, ∴∠HGP=90°=∠HEF, GH∥FE ∴∠CGP=90°=∠HEA,∠GCP=∠EAM ∴△GCP≌△EAM(AAS) ∴GP=EM ∴S −S =S −S =S △AFP △CGP △AFP △AEM 梯形MEFP 1 = (EM+PF)×EF 2 1 = (GP+PF)×EF 2 1 1 = GF×EF= 2 2 【点睛】本题考查了正方形的性质,全等三角形的判定与性质,勾股定理,灵活运用所学知识是关键. 重难点三: 利用等面积法探究线段关系(维维尼亚模型) 1.(2023·湖南永州·二模)如图,在等腰三角形ABC中,AB=AC,点P是底边BC上任意一点(不与B、 C重合),过C作CD⊥AB于D,为AB边上的高过点P作PM⊥AB,PN⊥AC,垂足为M、N,由等 76关注公众号:陆陆高分冲刺 ~领取:最新版“小中高考-总复习”、最新试卷下载 1 1 1 面积法可知S =S +S ,即 AB⋅CD= AB⋅PM+ AC⋅PN,从而可得:CD=PM+PN. △ABC △APB △APC 2 2 2 即:等腰三角形底边上任意一点到两腰的距离和,等于腰上的高. (1)如图1,在矩形ABCD中,AB=3,AD=4,P是AD上不与A和D重合的一个动点,过点P分别作AC、 BD的垂线,垂足分别为E、F.求PE+PF的值; (2)如图2,在矩形ABCD中,点M、N分别在边AD、BC上,将矩形ABCD沿直线MN折叠,使点D恰好 与点B重合,点C落在点C'处.点P为线段MN上一动点(不与点M,N重合),过点P分别作直线BM、BC 的垂线,垂足分别为E、F,以PE、PF为邻边作平行四边形PEGF,若DM=13,CN=5,求平行四边 形PEGF的周长; (3)如图3,当点P是等边△ABC外一点时,过点P分别作直线AB、AC、BC的垂线,垂足分别为点H 、 1 H 、H .若PH −PH +PH =3,直接写出△ABC的面积. 2 3 1 2 3 12 【答案】(1) 5 (2)平行四边形PEGF的周长为24 (3)3√3 【分析】(1)根据勾股定理求得BD=5,设AB到BD的距离为h,等面积法求得h,根据题意,即可求解; (2)根据折叠的性质,得出△BMN是等腰三角形,勾股定理求得AB即等腰三角形腰上的高,结合平行 四边形的性质即可求解; (3)根据三角形的面积公式,根据S =S +S −S ,求得AB=2√3,根据等边三角形的性 △ABC △ABP △BCP △ACP 质即可求解. 【详解】(1)解:∵在矩形ABCD中,AB=3,AD=4, 1 1 ∴BD=√AB2+AD2=5,AO= AC= BD=OD 2 2 设AB到BD的距离为h, 1 1 则 BD×h= AB×AD, 2 2 77关注公众号:陆陆高分冲刺 ~领取:最新版“小中高考-总复习”、最新试卷下载 3×4 12 ∴h= = , 5 5 ∵等腰三角形底边上任意一点到两腰的距离和,等于腰上的高. 12 ∴PE+PF= 5 (2)解:∵四边形ABCD是矩形, ∴AD∥BC,∠A=∠D=90° ∴∠DMN=∠MNB ∵将矩形ABCD沿直线MN折叠,使点D恰好与点B重合, ∴MD=BM=13,CD=C'B,∠DMN=∠BMN,∠C'=∠D=∠A=90°,NC'=NC=5 ∴∠MNB=∠BMN ∴BM=BN ∴△BMN是等腰三角形, 在Rt△ABM与Rt△C'BN中, ¿ ∴Rt△ABM≌Rt△C'BN(HL) ∴AM=NC'=5, 在Rt△ABM中,AB=√BM2−AM2=√132−52=12, 即等腰三角形△BMN,腰上的高为12, 依题意,PE+PF=12, ∴平行四边形PEGF的周长为24; (3)解:如图所示,连接PA,PB,PC ∵S =S +S −S △ABC △ABP △BCP △ACP √3 1 1 1 ∴ AB2= ×AB×PH + ×BC×PH − ×AC×PH , 4 2 1 2 3 2 2 √3 ∴ AB=PH −PH +PH , 2 1 2 3 ∵PH −PH +PH =3, 1 2 3 ∴AB=2√3, √3 ∴S = AB2=3√3. △ABC 4 78关注公众号:陆陆高分冲刺 ~领取:最新版“小中高考-总复习”、最新试卷下载 【点睛】本题考查了矩形的性质,折叠的性质,勾股定理,平行四边形的性质,全等三角形的性质,等边 三角形的性质,熟练掌握题中结论是解题的关键. 2.(2023·广西贵港·模拟预测)阅读理解学习 如图1,在△ABC中,AB=AC,BD是△ABC的高,P是BC边上一点,PM,PN分别与直线AB,AC 垂直,垂足分别为M,N,求证:BD=PM+PN.小刚发现:连接AP,有S =S +S ,即 △ABC △ABP △ACP 1 1 1 AC⋅BD= AB⋅PM+ AC⋅PN,由AB=AC可得BD=PM+PN. 2 2 2 请你模仿小刚的思路或者用你的新思路解决以下问题: (1)如图2,当点P在CB的延长线上,且上面问题中其它条件不变时,请直接写出此时线段 BD,PM,PN之间的数量关系______. (2)如图3,当点P是△ABC内一点,且AB=AC=BC,BD是△ABC的高,PM,PN,PQ分别与直线 AB,AC,BC垂直,垂足分别为点M,N,Q,猜想此时线段BD,PM,PN,PQ之间的数量关 系是______.并说明理由. 【答案】(1)BD=PN−PM; (2)BD=PM+PN+PQ,理由见解析. 【分析】(1)连接PA,由△ABC的面积=△APC的面积−△APB的面积,得到 1 1 1 AC·BD= AC·PN− AB·PM ,又AB=AC,即可推出BD=PM−PN; 2 2 2 (2)连接PA、PB、PC,由S =S +S +S ,得到 △ABC △ABP △APC △BCP 79关注公众号:陆陆高分冲刺 ~领取:最新版“小中高考-总复习”、最新试卷下载 1 1 1 1 AC⋅BD= AB⋅PM+ AC⋅PN+ BC⋅PQ,又AB=AC=BC,即可证明BD=PM+PN+PQ; 2 2 2 2 本题考查了三角形的面积,等腰三角形、等边三角形的性质,掌握面积法解答问题是解题的关键. 【详解】(1)解:BD=PN−PM,理由如下: 连接PA, ∵PN⊥AC,BD⊥AC,PM⊥AB, 1 1 1 ∴△APC的面积= AC·PN,△APB的面积= AB·PM,△ABC的面积= AC·BD, 2 2 2 ∵△ABC的面积=△APC的面积−△APB的面积, 1 1 1 ∴ AC·BD= AC·PN− AB·PM, 2 2 2 ∵AB=AC, ∴BD=PN−PM, 故答案为:BD=PN−PM; (2)解:BD=PM+PN+PQ. 理由:连接AP、BP、CP, ∵BD是△ABC的高,PM,PN,PQ分别与直线AB,AC,BC垂直, 1 1 1 ∴△ABC的面积= AC·BD,△PAB的面积= AB·PM,△PAC的面积= AC·PN, 2 2 2 1 △PBC的面积= BC·PQ, 2 ∵S =S +S +S , △ABC △ABP △APC △BCP 1 1 1 1 ∴ AC⋅BD= AB⋅PM+ AC⋅PN+ BC⋅PQ, 2 2 2 2 ∵AB=AC=BC, ∴BD=PM+PN+PQ, 故答案为:PM+PN+PQ. 80关注公众号:陆陆高分冲刺 ~领取:最新版“小中高考-总复习”、最新试卷下载 重难点四: 求最短路径问题 1.(2023·四川德阳·中考真题)如图,在底面为正三角形的直三棱柱ABC−A B C 中, 1 1 1 AB=2√3,A A =2,点M为AC的中点,一只小虫从B 沿三棱柱ABC−A B C 的表面爬行到M处,则 1 1 1 1 1 小虫爬行的最短路程等于 . 【答案】√19 【分析】:如图,连接B M,由题意可得:底面为正三角形的直三棱柱ABC−A B C , 1 1 1 1 AB=2√3,A A =2,点M为AC的中点,当B 在右侧处时,可得MB =√22+(3√3) 2=√31,当B 在下方 1 1 1 1 时,由等边三角形的性质可得:B K=√(2√3) 2 −(√3) 2=3,此时B M=3+2=5,如图,当按下图方式展 1 1 开时,延长AC,过C 作C N⊥AC于N,作B T⊥AC于T,作C K⊥B T于K,则C K∥AC,四 1 1 1 1 1 1 1 边形KTNC 为矩形,可得C N=1,CN=√3,C K= B C =√3,B K=√(2√3) 2 −(√3) 2=3,此时 1 1 1 2 1 1 1 C,T重合,可得B M=√(√3) 2+42=√19,从而可得答案. 1 【详解】解:如图,连接B M,由题意可得:底面为正三角形的直三棱柱ABC−A B C , 1 1 1 1 AB=2√3,A A =2,点M为AC的中点, 1 81关注公众号:陆陆高分冲刺 ~领取:最新版“小中高考-总复习”、最新试卷下载 当B 在右侧处时, 1 ∴BB =A A =2,MB=2√3+√3=3√3, 1 1 ∴MB =√22+(3√3) 2=√31, 1 当B 在下方时,由等边三角形的性质可得:B K=√(2√3) 2 −(√3) 2=3, 1 1 此时B M=3+2=5, 1 如图,当按下图方式展开时,延长AC,过C 作C N⊥AC于N,作B T⊥AC于T,作C K⊥B T于K, 1 1 1 1 1 则C K∥AC,四边形KTNC 为矩形, 1 1 ∴C N=KT,KC =TN, 1 1 则∠C CN=180°−60°−90°=30°=∠KC C, 1 1 ∴∠B C K=90°−30°=60°, 1 1 ∵B C =2√3,CC =2, 1 1 1 1 ∴C N=1,CN=√3,C K= B C =√3,B K=√(2√3) 2 −(√3) 2=3, 1 1 2 1 1 1 ∴此时C,T重合, ∴B T=3+1=4,MT=2√3−√3=√3, 1 ∴B M=√(√3) 2+42=√19, 1 ∵√31>5>√19, ∴小虫爬行的最短路程等于√19. 故答案为:√19. 【点睛】本题考查的是三棱柱的展开图,矩形的判定与性质,勾股定理的应用,等边三角形的性质,含 30°的直角三角形的性质,最短路径的理解,清晰的分类讨论是解本题的关键. 2.(2023·内蒙古赤峰·中考真题)某班学生表演课本剧,要制作一顶圆锥形的小丑帽.如图,这个圆锥的 底面圆周长为20π cm,母线AB长为30cm,为了使帽子更美观,要粘贴彩带进行装饰,其中需要粘贴一 82关注公众号:陆陆高分冲刺 ~领取:最新版“小中高考-总复习”、最新试卷下载 条从点A处开始,绕侧面一周又回到点A的彩带(彩带宽度忽略不计),这条彩带的最短长度是( ) v A.30 cm B.30√3 cm C.60 cm D.20π cm 【答案】B 【分析】根据圆锥的底面圆周长求得半径为10,根据母线长求得展开后的扇形的圆心角为120°,进而即 可求解. 【详解】解:∵这个圆锥的底面圆周长为20π cm, ∴2πr=20π 解得:r=10 nπ×30 ∵ =20π 180 解得:n=120 ∴侧面展开图的圆心角为120° 如图所示,AC即为所求,过点B作BD⊥AC, ∵∠ABC=120°,BA=BC,则∠BAC=30° ∵AB=30,则BD=15 ∴AD=15√3,AC=2AD=30√3, 故选:B. 【点睛】本题考查了圆锥侧面展开图的圆心角的度数,勾股定理解直角三角形,求得侧面展开图的圆心角 为120°解题的关键. 3.(2023·四川广安·中考真题)如图,圆柱形玻璃杯的杯高为9cm,底面周长为16cm,在杯内壁离杯底 4cm的点A处有一滴蜂蜜,此时,一只蚂蚁正好在杯外壁上,它在离杯上沿1cm,且与蜂蜜相对的点B处, 83关注公众号:陆陆高分冲刺 ~领取:最新版“小中高考-总复习”、最新试卷下载 则蚂蚁从外壁B处到内壁A处所走的最短路程为 cm.(杯壁厚度不计) 【答案】10 【分析】如图(见解析),将玻璃杯侧面展开,作B关于EF的对称点B',根据两点之间线段最短可知AB' 的长度即为所求,利用勾股定理求解即可得. 【详解】解:如图,将玻璃杯侧面展开,作B关于EF的对称点B',作B'D⊥AE,交AE延长线于点D, 连接AB', 1 由题意得:DE= BB'=1cm,AE=9−4=5(cm), 2 ∴AD=AE+DE=6cm, ∵底面周长为16cm, 1 ∴B'D= ×16=8(cm), 2 ∴AB'=√AD2+B'D2=10cm, 由两点之间线段最短可知,蚂蚁从外壁B处到内壁A处所走的最短路程为AB'=10cm, 故答案为:10. 【点睛】本题考查了平面展开——最短路径问题,将图形展开,利用轴对称的性质和勾股定理进行计算是 解题的关键.同时也考查了同学们的创造性思维能力. 重难点五: 勾股树模型 1.(2024·黑龙江大庆·中考真题)如图①,直角三角形的两个锐角分别是40°和50°,其三边上分别有一个 正方形.执行下面的操作:由两个小正方形向外分别作锐角为40°和50°的直角三角形,再分别以所得到的 84关注公众号:陆陆高分冲刺 ~领取:最新版“小中高考-总复习”、最新试卷下载 直角三角形的直角边为边长作正方形.图②是1次操作后的图形.图③是重复上述步骤若干次后得到的图 形,人们把它称为“毕达哥拉斯树”.若图①中的直角三角形斜边长为2,则10次操作后图形中所有正方 形的面积和为 . 【答案】48 【分析】本题主要考查了图形规律,直角三角形的性质、勾股定理、正方形的性质等知识.根据题意分别 计算出图①、图②和图③的面积,得出规律即可求解. 【详解】解:图①中,∵∠ACB=90°, 根据勾股定理得,AC2+BC2=AB2=22=4, ∴图①中所有正方形面积和为:4+4=8, 图②中所有正方形面积和,即1次操作后的图形中所有正方形的面积和为: 8+4=12, 图③中所有正方形面积和,即2次操作后的图形中所有正方形的面积和为: 8+4×2=16, ⋯ n次操作后的图形中所有正方形的面积和为8+4n, ∴10次操作后的图形中所有正方形的面积和为8+4×10=48, ∴故答案为:48. 2.(2023·武汉模拟预测)问题再现: 数形结合是解决数学问题的一种重要的思想方法,借助这种方法可将抽象的数学知识变得直观, 从而可 以帮助我们快速解题,初中数学里的一些代数公式,很多都可以通过表示几何图形积的方法进行直 观推 85关注公众号:陆陆高分冲刺 ~领取:最新版“小中高考-总复习”、最新试卷下载 导和解释. (1) 如图 1,是一个重要公式的 几何解释,请你写出这个公式: (2)如图 2,在RtΔABC中,∠ACB=90°,BC=a,AC=b,AB=c,以RtΔABC的三边长向外作正方形的 面积分别为S ,S ,S ,试猜想S ,S ,S 之间存在的等量关系,直接写出结论 . 1 2 3 1 2 3 (3)如图 3,如果以RtΔABC的三边长a,b,c为直径向外作半圆,那么第(2)问的结论 是否成立?请说明理 由. (4)如图 4,在RtΔABC中,∠ACB=90°,三边分别为5,12,13,分别以它的三边为直 径向上作半圆, 求图 4 中阴影部分的面积. 【答案】(1)(a+b) 2=a2+b2+2ab;(2)S +S =S ;(3)结论仍成立,理由见详解;(4)30 1 2 3 【分析】(1)根据大正方形的面积等于两个小正方形的面积加两个长方形的面积即可得出答案; (2)分别求出三个正方形的面积,再用勾股定理求解即可; (3)分别求出三个半圆的面积,计算即可; (4)阴影部分的面积为两个小半圆的面积减去大的半圆的面积再加上三角形的面积. 【详解】解:(1)由正方形的面积可得出:(a+b) 2=a2+b2+2ab; 故答案为:(a+b) 2=a2+b2+2ab ; (2)由图可得:S =AC2,S =BC2,S =AB2 , 1 2 3 在直角三角形中有:AC2+BC2=AB2 ∴S +S =S ; 1 2 3 故答案为:S +S =S ; 1 2 3 (3)结论仍成立,理由如下: 1 AC 2 π⋅AC2 1 BC 2 π⋅BC2 1 AB 2 π⋅AB2 由图可得出:S = π( ) = ,S = π( ) = ,S = π( ) = 1 2 2 4 2 2 2 4 3 2 2 4 86关注公众号:陆陆高分冲刺 ~领取:最新版“小中高考-总复习”、最新试卷下载 π⋅(BC2+AC2 ) ∴S +S = 1 2 4 在直角三角形中有:AC2+BC2=AB2 ∴S +S =S . 1 2 3 因此,结论仍成立. (4)由图可知: 阴影部分的面积为两个小半圆的面积减去大的半圆的面积再加上三角形的面积,由(3)可知为两个小半 圆的面积等于大的半圆的面积,因此,阴影部分的面积等于三角形的面积, 1 ∵S = ×5×12=30. 阴 2 【点睛】本题考查的知识点是勾股定理的拓展,巧妙利用数形结合思想方法,借助这种方法将抽象的数学 知识变得直观是解此题的关键. 易错点1: 等腰三角形腰上的高,中线误用三线合一定理 1. 如图1,已知ΔABC中,AB=AC,BD⊥AC,垂足为D,∠A=40°,则∠DBC=___°. 【详解】(1) AB=AC,∠A=40° 180°−∵∠A C= =70° 2 ∴∠ 又∵BD⊥AC BDC=90° ∴∠DBC=90°-70°=20° ∴∠ 87关注公众号:陆陆高分冲刺 ~领取:最新版“小中高考-总复习”、最新试卷下载 易错点2: 机械的运用勾股定理逆定理求解 1. 在△ABC中,AB=c,BC=a,AC=b,若a:b:c=9:15:12.试判断△ABC是不是直角三角形. 【答案】△ABC是直角三角形,理由见解析 【分析】本题考查勾股定理的逆定理,假设a=9k,b=15k,c=12k,根据勾股定理的逆定理即可得到 结论. 【详解】解:△ABC是直角三角形,理由如下: ∵a:b:c=9:15:12, ∴可以假设a=9k,b=15k,c=12k, ∴a2+c2=(9k) 2+(12k) 2=(15k) 2=b2, ∴△ABC是直角三角形. 易错点3: 等腰三角形中未利用分类讨论思想求解 1.(2023·内蒙古通辽·模拟预测)一个等腰三角形,一腰上的高与另一腰所成的夹角为45°,则顶角的度 数为 . 【答案】45°或135° 【分析】本题主要考查了直角三角形的性质、等腰三角形的性质.此题难度适中,解题的关键在于正确的 画出图形,结合图形,利用数形结合思想求解.首先根据题意画出图形,一种情况等腰三角形为锐角三角 形,即可推出顶角的度数为45°.另一种情况等腰三角形为钝角三角形,由题意,即可推出顶角的度数为 135°. 【详解】解:①如图,等腰三角形为锐角三角形, ∵BD⊥AC ∠ABD=45° , , ∴∠A=90°−45°=45°, 即顶角的度数为45°; ②如图,等腰三角形为钝角三角形, 88关注公众号:陆陆高分冲刺 ~领取:最新版“小中高考-总复习”、最新试卷下载 ∵BD⊥AC ∠ABD=45° , , ∴∠BAD=90°−45°=45°, ∴∠BAC=180°−45°=135°, 即顶角的度数为135° 综上,顶角的度数为45°或135° 故答案为:45°或135°. 2.(2024·青海·一模)一个等腰(非等边)三角形的三边长均满足一元二次方程x2−6x+8=0,则这个三 角形的周长是 . 【答案】10 【分析】本题考查解一元二次方程,等腰三角形的性质,三角形三边关系,求等腰三角形的周长,即是确 定等腰三角形的腰与底的长求周长.首先求出方程的根,再根据三角形三边关系判断是否符合题意.利用 分类讨论的思想解决问题是解题的关键. 【详解】解:x2−6x+8=0, ∴(x−2)(x−4)=0, ∴x−2=0或x−4=0, 解得:x=2或x=4, 当该等腰三角形的腰为2时, ∵2+2=4, ∴以2、2、4为边不能构成三角形,舍去; ∴该等腰三角形的腰只能为4, ∴这个三角形的周长是:4+4+2=10. 故答案为:10. 89