当前位置:首页>文档>2025年高考历史真题(广东自主命题)(原卷版)_全国卷+地方卷_7.历史_1.历史高考真题试卷_2025年高考-历史_2025年广东自主命题

2025年高考历史真题(广东自主命题)(原卷版)_全国卷+地方卷_7.历史_1.历史高考真题试卷_2025年高考-历史_2025年广东自主命题

  • 2026-04-13 11:35:36 2026-03-07 02:40:12

文档预览

2025年高考历史真题(广东自主命题)(原卷版)_全国卷+地方卷_7.历史_1.历史高考真题试卷_2025年高考-历史_2025年广东自主命题
2025年高考历史真题(广东自主命题)(原卷版)_全国卷+地方卷_7.历史_1.历史高考真题试卷_2025年高考-历史_2025年广东自主命题
2025年高考历史真题(广东自主命题)(原卷版)_全国卷+地方卷_7.历史_1.历史高考真题试卷_2025年高考-历史_2025年广东自主命题
2025年高考历史真题(广东自主命题)(原卷版)_全国卷+地方卷_7.历史_1.历史高考真题试卷_2025年高考-历史_2025年广东自主命题
2025年高考历史真题(广东自主命题)(原卷版)_全国卷+地方卷_7.历史_1.历史高考真题试卷_2025年高考-历史_2025年广东自主命题

文档信息

文档格式
docx
文档大小
0.143 MB
文档页数
5 页
上传时间
2026-03-07 02:40:12

文档内容

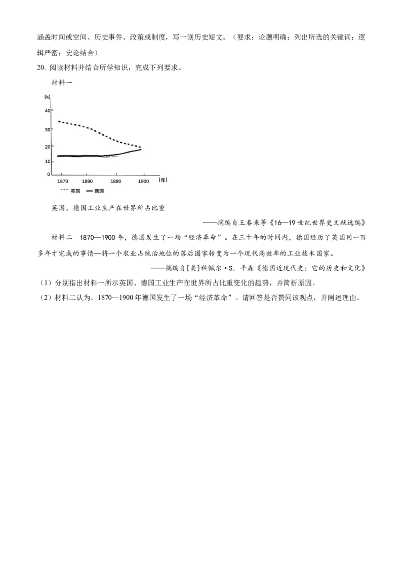
2025 年普通高中学业水平选择性考试(广东卷) 历史 本试卷满分100分,考试时间75分钟。 一、选择题:本大题共16小题,每小题3分,共48分。在每小题列出的四个选项中,只有 一项符合题目要求。 1. 在山东济南焦家遗址中,考古人员发掘出多座属于大汶口文化中晚期的墓葬。其中部分墓葬的墓圹规模 较大,使用木质棺椁,有一棺一椁,也有一棺重椁:墓主人都是男性,随葬品有玉钺、石钺,以及精关的 陶器和镯,环等其他玉器。这反映了( ) A. 石器时代的结束 B. 生产关系的变化 C. 部落联盟的瓦解 D. 礼乐制度的完善 2. 秦统一后,六国文字并没有完全退出历史舞台。从各类出土的文字资料可见,在秦朝覆灭前后,六国故 地的人纷纷在各种场合恢复使用本国文字。这反映了( ) A. 各地文化交流日益加强 B. 统治阶层内部矛盾激化 C. 秦朝统治基础薄弱 D. 新兴士人阶层崛起 3. 下表为与隋炀帝相关的四则材料及其解读。其中解读合理的是( ) 选项 材料 解读 〔唐〕李渊:(炀帝)巡幸无度,穷兵极武,喜 A 否定运河沟通南北的作用 怒不恒,亲离众叛。御河导洛,肆舳舻而达江 〔唐〕罗隐:当时天子是闲游,今日行人特地 感叹扬州因运河荒废而繁华 B 愁。柳色纵饶妆故国,水声何忍到扬州 不再 〔宋〕张泊:炀帝开畎以奉巡游,虽数堙废,而 C 说明隋朝灭亡 的历史必然性 通流不绝,终为国家之用者,其天意乎 〔宋〕范仲淹:昔炀帝盘游淮甸,违远关中,唐 强调隋唐政权更迭的地理因 D 祖据之,隋室遂倾 素 A. A B. B C. C D. D 4. 宋朝天圣年间(1023—1032),雄州地方官难以处置民妇张氏的田产继承问题,“当奏听裁”,原因是 张氏只有出嫁女儿和共同居住的外甥,且田产价值很高,部分当没官。皇帝认为这些田产都是百姓“朝夕 自营者,毋利其没入”,故“悉令均给之”。这一裁决体现了( ) A. 宗法观念的深远影响 B. 为政以德的治国理念 C. 程朱理学的伦理规范 D. 财政改革的显著成效 的 5. 山西《平阳府曲沃县均田记》碑刻记录了某一时期土地清丈 实施过程:知县公布清丈条例;个人申报, 乡里复核,形成鱼鳞图册;确定税粮额度;攒造黄册。当时土地清丈( )A. 造成了户籍管理的混乱 B. 加剧了土地兼并的程度 C. 增加了国家的财政收入 D. 加强了对地方官的考核 6. “自唐专以文字取科名,有所为词章之学者,其汩没人才益甚。直至本朝,更求工于小楷试帖,束缚为 已极矣。官到卿贰,不免于文字之考,何由得经济之才。不思变计,中国断无振兴之机。”与上述观点一 致的是( ) A. “若不因时变通,何以见实学而拔真才” B. “师夷之长技以制夷” C. “变法自强,宜仿泰西设议院” D. “习兵战不如习商战” 7. 如图为1934年1月《红星画报》上的一幅漫画,其所示变化( ) A. 为红军的战略转移进行了准备 B. 反映了“左”倾错误得到纠正 C. 加速了抗日民族统一战线的形成 D. 推动了“工农武装割据”的发展 8. 某知名老字号绸布店长期经营稳定,年年盈余。1948年,该店陷入“虚盈实亏”的境地,动辄亿万的 账面看似有盈余,但货物存量越来越少,实己“暗亏”,以致渐临破产。造成这种现象的主要原因是( ) A. 官僚资本的垄断 B. 通货膨胀的恶化 C. 国际援助的中止 D. 外国资本的压迫 9. 1952年下半年起,国家大范围地统一调配干部。1952—1953年,中共中央中南局从农村和机关抽调 3000多名县级以上干部、3000多名技术骨工和700多名初中以上文化水平的知识分子干部,分配到工业和 其他建设部门。这一措施( ) A. 适应了国家发展战略的重大转变 B. 实现了党的工作重心向城市转移 的 C. 促进了十部管理制度 法制化 D. 巩固了新民主主义经济的地位 10. 20世纪80年代中后期,中国电影从重视启蒙和教育、个性和自我,走向重视娱乐和盈利。1988年, 全国上映的娱乐片达80余部,占故事片总量的60%以上。这反映了( ) A. 西方电影的大量引进对国产片造成冲击B. 其他娱乐方式的缺失助推电影消费热潮 C. 社会经济的发展为电影市场注入活力 D. 电影创作和发行体制实现充分市场化 11. 研究某一时期的中国对外关系,可提取的关键词有“世界多极化”“新型大国关系”“睦邻友好” “多边外交”。由此可知,这一时期中国对外关系的主旨是( ) A. 建立全方位多层次的对外关系新格局 B. 反对霸权主义 C. 打破美国和苏联两极对峙的国际秩序 D. 倡导“不结盟” 12. 某古代文明的文字包含人、动物、神兽、植物、器具、衣物、编制物、武器、几何形态、波纹和火焰 等图形符号,书写材料包括莎草纸、石头和木块等。以下成就属于该文明的是( ) A. 建立了数量众多的城邦国家 B. 创作了目前所知最早的史诗 C. 颁布了现存最早的成文法典 D. 制定了世界上第一部太阳历 13. 日本成为律令制国家后,近畿先进的农业技术逐步推广到各地,贵族、寺院与地方官致力于地方的开 发,庄园广泛出现,国有土地的人口日见减少,庄园渐渐变为独立的政治经济体。这反映了( ) A. 大化改新的深化 B. 中央集权的削弱 C. 明治维新的局限 D. 幕府政治的衰落 14. 某启蒙思想家主张:独立思考是为了摆脱那些不容置疑的传统权威的束缚,但在某些情况下须绝对服 从。比如,一个正在服役的军官在接到长官指令时质疑其正当性和有效性,结果将是灾难性的。该思想家 强调的是( ) A. 权力制衡 B. 主权在民 C. 理性判断 D. 社会平等 15. 1928年,美国某工业建筑公司接到苏联价值4000万美元的拖拉机工厂建造订单。“后来,约有12个 这样的工厂设计工作在底特律完成了,其余的工厂设计则准备在莫斯科的一个拥有1500名设计和制图员的 特殊办公室去完成。”由此可知,当时苏联意在( ) A. 引入外国资本发展私营企业 B. 为国家的经济建设筹措资金 C. 寻求美国援助以渡过危机 D. 利用西方技术推进工业化 16. 20世纪80年代,拉丁美洲多个国家相继开启了新自由主义改革进程,陆续对国有企业和消费品,基础 设施与通信行业,养老金、健康和教育等领域进行了私有化改革。这些改革( ) 的 A. 使国民经济出现了短暂 繁荣 B. 使贫富悬殊的问题得到了解决 C. 增强了国家对经济的宏观调控 D. 削弱了欧美国家对拉美的控制 二、非选择题:本大题共4小题,共52分。考生根据要求作答。 17. 阅读材料并结合所学知识,完成下列要求。 材料一 在13世纪的阿拉伯文献中,硝(火药的主要成分之一)被称作“巴睿得”,因来自中国,故 又名“中国雷”。欧洲文献中最早的火药知识全都来自阿桓伯地区。大约14世纪上半期,火药已经在欧洲 广泛传播。——摘编自武斌《重回1500—1800:西方崛起时代的中国元素》等 材料二 最晚到17世纪初,欧洲传统产品天鹅绒已传入广州等地,并开始生产,其后逐步向江浙等地 扩展。中国的天鹅绒生产发展迅速,其中绣花和嵌绣黄金的高级天鹅绒产品,技艺之精湛已经超过欧洲的 水平。利玛窦注意到,中国的产品所要的价钱,“大约是我们在西方所付同类产品的三分之一或四分之 一”。中国天鹅绒大量销往日本、菲律宾、欧洲,并通过马尼拉转贩到美洲的广大市场。 ——摘编自沈定平《“伟大相遇”与“对等较量”》等 (1)根据上述材料,分别概括中国火药传播到欧洲和欧洲天鹅绒传播到中国的路径。 的 (2)根据材料二,分析中国天鹅绒后来居上并远销海外 原因。 18. 阅读材料并结合所学知识,完成下列要求。 作品介绍 作品选录 清末出现了许多采用民间文艺形式,但内容 猛睡狮,梦中醒,向天一吼。 上具有鲜明时代气息的作品,如陈天华的 百兽惊,龙蛇走,魑魅逃藏。 《警世钟》和《猛回头》。其中,《猛回 改条约,复政权,完全独 材料 头》采用弹词的表现形式,“唤醒国人迷 立。……到那时,齐叫道,中 一 梦,提倡独立精神,一字一泪,一语一 华万岁。才是我,大国民,气 血”,很受群众欢迎 吐眉扬。 ——摘编自钟敬文《民间文艺学及其历史》 ——《猛回头》 等 边区边区地呀地方好,劳动英 秧歌是我国北方农村分布很广的一种民间文 雄真呀真不少。年时个开了一 艺形式。全国抗战爆发后,抗日根据地的文 个群英会,尔刻咱边区的生产 艺工作者对秧歌进行改造,新编排了许多秧 材料 歌剧,加入了富有时代特色的新内容,主角 更呀提高。……人人都能把劳 二 多是普通的工农群众,如《兄妹开荒》《减 动英雄来做呀嘿,今年的生产 要更加油来,更加劲来,更呀 租》等。 加工。 ——摘编自《延安文艺丛书·秧歌剧卷》等 ——《兄妹开荒》 (1)根据材料一,概括《猛回头》创作的历史背景。 (2)抗日根据地秧歌剧又被称为“新秧歌”。根据材料二,对其“新”加以解释。 (3)综合上述材料,简析民间文艺在中国近代革命中的作用。 19. 阅读材料并结合所学知识,完成下列要求。 材料 中国是一个有着悠久历史的统一多民族国家,边疆地区地域辽阔、民族聚集,边疆治理历来是 国家治理的重要内容。了解和研究边疆治理过程中发生的事件及形成的政策、制度,可为当今的边疆治理 提供历史智慧和启示。 ——摘编自林文勋《开创新时代中国边疆学学科建设的新局面》等 运用所学知识,围绕中国古代某一历史时期或某一区域的边疆治理,拟定一个论题,选取三个关键词,需涵盖时间或空间、历史事件、政策或制度,写一则历史短文。(要求:论题明确;列出所选的关键词;逻 辑严密;史论结合) 20. 阅读材料并结合所学知识,完成下列要求。 材料一 英国、德国工业生产在世界所占比重 ——摘编自王春来等《16—19世纪世界史文献选编》 材料二 1870—1900年,德国发生了一场“经济革命”。在三十年的时间内,德国经历了英国用一百 多年才完成的事情—将一个农业占统治地位的落后国家转变为一个现代高效率的工业技术国家。 ——摘编自[美]科佩尔·S.平森《德国近现代史:它的历史和文化》 (1)分别指出材料一所示英国、德国工业生产在世界所占比重变化的趋势,并简析原因。 (2)材料二认为,1870—1900年德国发生了一场“经济革命”。请回答是否赞同该观点,并阐述理由。