当前位置:首页>文档>07选填题之解三角形(原卷版)_2.2025数学总复习_2024年新高考资料_2.2024二轮复习_2024年高考数学二轮复习讲义题型归纳+专项训练(新高考专用)

07选填题之解三角形(原卷版)_2.2025数学总复习_2024年新高考资料_2.2024二轮复习_2024年高考数学二轮复习讲义题型归纳+专项训练(新高考专用)

  • 2026-04-15 11:45:47 2026-03-08 01:49:05

文档预览

07选填题之解三角形(原卷版)_2.2025数学总复习_2024年新高考资料_2.2024二轮复习_2024年高考数学二轮复习讲义题型归纳+专项训练(新高考专用)
07选填题之解三角形(原卷版)_2.2025数学总复习_2024年新高考资料_2.2024二轮复习_2024年高考数学二轮复习讲义题型归纳+专项训练(新高考专用)
07选填题之解三角形(原卷版)_2.2025数学总复习_2024年新高考资料_2.2024二轮复习_2024年高考数学二轮复习讲义题型归纳+专项训练(新高考专用)
07选填题之解三角形(原卷版)_2.2025数学总复习_2024年新高考资料_2.2024二轮复习_2024年高考数学二轮复习讲义题型归纳+专项训练(新高考专用)
07选填题之解三角形(原卷版)_2.2025数学总复习_2024年新高考资料_2.2024二轮复习_2024年高考数学二轮复习讲义题型归纳+专项训练(新高考专用)
07选填题之解三角形(原卷版)_2.2025数学总复习_2024年新高考资料_2.2024二轮复习_2024年高考数学二轮复习讲义题型归纳+专项训练(新高考专用)
07选填题之解三角形(原卷版)_2.2025数学总复习_2024年新高考资料_2.2024二轮复习_2024年高考数学二轮复习讲义题型归纳+专项训练(新高考专用)
07选填题之解三角形(原卷版)_2.2025数学总复习_2024年新高考资料_2.2024二轮复习_2024年高考数学二轮复习讲义题型归纳+专项训练(新高考专用)
07选填题之解三角形(原卷版)_2.2025数学总复习_2024年新高考资料_2.2024二轮复习_2024年高考数学二轮复习讲义题型归纳+专项训练(新高考专用)

文档信息

文档格式
docx
文档大小
0.460 MB
文档页数
9 页
上传时间
2026-03-08 01:49:05

文档内容

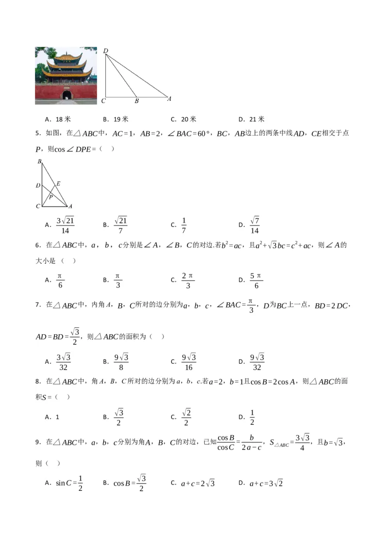
☆注:请用Microsoft Word2016以上版本打开文件进行编辑,用WPS等其他软件可能会出现乱码等现象. 高中数学二轮复习讲义——选填题部分 第 7 讲 解三角形 解三角形问题一直是近几年高考的重点,主要考查以斜三角形为背景求三角形 的基本量、面积或判断三角形的形状,解三角形与平面向量、不等式、三角函数性质、三角恒等变换交汇 命题成为高考的热点. 题型一、正、余弦定理基础 1.在△ABC中,角A、B、C的对边分别为a、b、c,则以下结论错误的为( ) sinA cosB cosC A.若 = = ,则A=90° a b c a b+c B. = sinA sinB+sinC C.若sinA>sinB,则A>B;反之,若A>B,则sinA>sinB D.若sin2A=sin2B,则a=b 2 2.在△ABC中,cosC= ,AC=4,BC=3,则tanB=( ) 3 A.√5 B.2√5 C.4√5 D.8√5 1 b 3.△ABC的内角A,B,C的对边分别为a,b,c.已知asinA﹣bsinB=4csinC,cosA=− ,则 =( ) 4 c A.6 B.5 C.4 D.3 4.已知a、b、c分别为△ABC的三内角A、B、C的对边,acosc+√3asinC−b−c=0,则A=( ) π π π π A. B. C. D. 2 3 4 6 5.△ABC中,角A,B,C的对边分别是a,b,c,已知b=c,a2=2b2(1﹣sinA),则A=( ) 3π π π π A. B. C. D. 4 3 4 6tanA 2c 6.在△ABC中,角A,B,C所对的边分别为a,b,c,已知a=2√3,c=2√2则1+ = ,则∠C= tanB b . 题型二、角平分线问题 1 1.△ABC中,cosA= ,AB=4,AC=2,则∠A的角平分线AD的长为( ) 8 A.2√2 B.2√3 C.2 D.1 π 2.在△ABC中,角A,B,C的对边分别为a,b,c,已知A= ,a=4√7,角A的平分线交边BC于点D, 3 其中AD=3√3,则S△ABC = . 3.在△ABC中,角A,B,C所对的边分别为a,b,c,∠ABC=120°,∠ABC的平分线交AC于点D,且BD =1,则4a+c的最小值为( ) A.8 B.9 C.10 D.7 题型三、中位线问题 1.△ABC中,A,B,C的对边分别记a,b,c,若b=5,c=6,BC边上的中线AD=3,则 → • → ( AB AC= ) 25 25 A.15 B.﹣15 C. D.− 2 2 2.在锐角△ABC中,D是线段BC的中点,若AD=2,BD=√2,∠BAD=30°,则角B= ,AC= . 3.已知△ABC中,角A,B,C所对的边分别为a,b,c,D是BC的中点,且AD=√10,若S△ABC =4,b> b−csinA c,且 =cosC,则B的值为( ) a A.60° B.120° C.45° D.90° 题型四、周长、面积问题 1.△ABC的内角A,B,C的对边分别为a,b,c.已知bsinC+csinB=4asinBsinC,b2+c2﹣a2=8,则△ABC 的面积为 . 2.△ABC 中,角 A,B,C 的对边分别为 a,b,c.若 b2=accosB,D 为△ABC 所在平面上一点,且CA⊥CD,CA=CD,BC=BD,AD=2,则△ABD的面积为 . 3√3 3.已知锐角△ABC的内角A,B,C的对边分别为a,b,c,且满足面积为 ,√3sinC﹣cosB=cos(A﹣ 2 C),a=√7,则△ABC的周长为( ) A.2+√7 B.3+√7 C.4+√7 D.5+√7 题型五、最值问题 1.已知△ABC的内角A,B,C所对的边分别为a,b,c,且(a﹣b)•sinA=csinC﹣bsinB,若△ABC的面积 为3√3,则△ABC的周长的最小值为( ) A.4√3 B.3+4√3 C.6√3 D.3+6√3 2a−c cosC 2.在△ABC中,角A,B,C的对边分别为a,b,c,若 = ,b=4,则△ABC的面积的最大值 b cosB 为( ) A.4√3 B.2√3 C.2 D.√3 3.已知a,b,c是△ABC中角A,B,C的对边,a=4,b (4,6),sin2A=sinC,则c的取值范围为 . ∈ a 4.在△ABC中,角A,B,C所对的边分别为a,b,c,若sinB+2sinAcosC=0,则当cosB取最小值时, = c ( ) √3 √2 A.√2 B.√3 C. D. 3 2 3 5.设△ABC的内角A,B,C所对的边长分别为a,b,c,且acosB﹣bcosA= c,则tan(A﹣B)的最大值 5 为( ) 3 1 3 3 A. B. C. D. 5 3 8 4 tanA 2c−b 6.已知△ABC的三个内角A,B,C的对边依次为a,b,c,外接圆半径为1,且满足 = ,则 tanB b △ABC面积的最大值为 . 题型六、取值范围问题 sinA 1.锐角△ABC中,角A,B,C所对的边分别为a,b,c,若a2﹣b2+ac=0,则 的取值范围是( ) sinB√2 √2 √3 √3 √2 A.(0, ) B.( , ) C.(√2,√3) D.( , ) 2 2 2 3 2 2.设锐角△ABC三个内角A、B、C所对的边分别为a、b、c,若√3(acosB+bcosA)=2csinC,b=1,则c 的取值范围为 . 3.锐角△ABC中,内角A,B,C的对边分别为a,b,c,且满足(a﹣b)(sinA+sinB)=(c﹣b)sinC, 若a=√3,则b2+c2的取值范围是 . 4.已知△ABC的三个内角;A,B,C所对边分别为;a,b,c,若b2+c2<a2,且cos2A﹣3sinA+1=0,则 √3 sin(C﹣A)+ cos(2A﹣B)的取值范围为( ) 2 1 √3 1 √3 √3 2 1 A.(− ,− ) B.(− ,− ] C.[0, ] D.(− ,− ) 2 4 2 4 4 3 2 1 1 5.在锐角三角形ABC中,角A,B,C的对边分别为a,b,c,且满足b2﹣a2=ac,则 − 的取值 tanA tanB 范围为 . 6.已知△ABC的周长为6,且cos2B+2sinAsinC=1,则 → → 的取值范围是 . BA⋅BC 题型七、解三角形实际问题 1.如图,两座灯塔A和B与河岸观察站C的距离相等,灯塔A在观察站南偏西40°,灯塔B在观察站南偏 东60°,则灯塔A在灯塔B的( ) A.北偏东10° B.北偏西10° C.南偏东80° D.南偏西80° 2.如图所示,在山脚A测得山顶P的仰角为30°,沿倾斜角为15°的斜坡向上走了100米到山腰B,在B 处测得山顶P的仰角为75°,则山高h= 2 5√6 . 27.海洋蓝洞是地球罕见的自然地理现象,被喻为“地球留给人类保留宇宙秘密的最后遗产”,我国拥有 世界上最深的海洋蓝洞,若要测量如图所示的蓝洞的口径A,B两点间的距离,现在珊瑚群岛_上取两点C,D,测得CD=35m,∠ADB=135°,∠BDC=∠DCA=15°,∠ACB=120°,则A、B两点的距 离为 m. 一、单选题 1.在△ABC中,a+c=2b,则下列结论不成立的是( ) A−C A+C A.sinA+sinC=2sinB B.cos =2cos 2 2 A C A C A−C C.sin2 +sin2 =cosB D.sin2 −sin2 =sin 2 2 2 2 2 π 2.在 △ABC中,角A,B,C所对的边分别为a,b,c.若B= ,a=4,且该三角形有两解,则b的范围是 3 ( ) A. B. (2√3,+∞) (2√3,4) C. D. (0,4) (3√3,4) 3.在△ABC中,角A,B,C的对边分别为a,b,c,则“acosA=bcosB”是“△ABC为等腰三角 形”的( ) A.充分不必要条件 B.必要不充分条件 C.充要条件 D.既不充分也不必要条件 4.岳阳楼与湖北武汉黄鹤楼,江西南昌滕王阁并称为“江南三大名楼”,是“中国十大历史文化名楼” 之一,小李为测量岳阳楼的高度选取了与底部水平的直线AC,如图,测得∠DAC=30°,∠DBC=45°, AB=14米,则岳阳楼的高度CD约( )(√2≈1.414,√3≈1.732)A.18米 B.19米 C.20米 D.21米 5.如图,在△ABC中,AC=1,AB=2,∠BAC=60°,BC,AB边上的两条中线AD,CE相交于点 P,则cos∠DPE=( ) 3√21 √21 1 √7 A. B. C. D. 14 7 7 14 6.在△ABC中,a,b,c分别是∠A,∠B,C的对边.若b2=ac,且a2+√3bc=c2+ac,则∠A的 大小是( ) π π 2π 5π A. B. C. D. 6 3 3 6 π 7.在△ABC中,内角A,B,C所对的边分别为a,b,c,∠BAC= ,D为BC上一点,BD=2DC, 3 √3 AD=BD= ,则△ABC的面积为( ) 2 3√3 9√3 9√3 9√3 A. B. C. D. 32 8 16 32 8.在△ABC中,角A,B,C所对的边分别为a,b,c.若a=2,b=1且cosB=2cosA,则△ABC的面 积S=( ) √3 √2 1 A.1 B. C. D. 2 2 2 cosB b 3√3 9.在△ABC中,a,b,c分别为角A,B,C的对边,已知 = ,S = ,且b=√3, cosC 2a−c △ABC 4 则( ) 1 √3 A.sinC= B.cosB= C.a+c=2√3 D.a+c=3√2 2 210.在△ABC中,a,b,c分别为∠A,∠B,∠C的对边,且2b=a+c,∠B=30°,△ABC的面 3 积为 ,那么b等于( ) 2 1+√3 2+√3 A. B.1+√3 C. D.2+√3 2 2 11.△ABC中,角A,B,C所对的边分别为a,b,c,∠ABC=120°,BD⊥BC交AC于点D,且BD=1, 2a+c的最小值为( ) 8 8√3 A. B. C.8 D.8√3 3 3 12.如果 内接于半径为 的圆,且 ,则角 为( ) △ABC R 2R(sin2A−sin2C)=(√2a−b)sinB C π π π 2π A. B. C. D. 6 4 3 3 acosB 13.在△ABC中,内角A、B、C对应边分别为a、b、c,已知 =−b−2c,且角A的平分线AD cosA 交BC于点D,AD=1,则2AC+3AB的最小值为( ) A.5+2√6 B.6+2√6 C.5+2√5 D.6+2√5 14.在三角形ABC中,角A,B,C的对边为a,b,c.且2sin A+sinB=asinB,则a+b最小值是( ) A.3+2√2 B.2+2√3 C.3 D.2√2 15.下列命题正确的是( ) ①在△ABC中,“tan A>tanB”是“a>b”的既不充分也不必要条件. ②在△ABC中,cosAB⇔a>b. ③在△ABC中,角A,B,C所对的边分别为a,b,c,当a2+c2−b2>0时,△ABC为锐角三角形. a a+b−c ④在△ABC中, = . sin A sin A+sinB−sinC ⑤在三角形中,已知两边和一角,则该三角形唯一确定. A.①②③ B.①②④ C.③④⑤ D.①④⑤ 16.记锐角 内角A,B,C的对边分别为a,b,c, 且 .则 △ABC c=2 (a2+b2−c2)(acosB+bcosA)=abc △ABC周长范围为 ( ) A.(2+2√3,6] B.(2+√3,6] C.(2√3,6] D.(2+2√6,6 二、多选题17.下列命题中正确的是( ) A.在△ABC中,若sin2A=sin2B,则△ABC是等腰三角形 B.在△ABC中,A>B是sinA>sinB的充要条件 π C.函数y=sin2x的图象向左平移 个单位,得到函数y=cos2x的图象 4 √3 √3 D.在△ABC中,若AB=√3,AC=1,B=30°,则△ABC的面积为 或 4 2 18.在△ABC中,角A、B、C的对边分别为a、b、c,且a=2,sinB=√3sinC,则以下四个命题中正 确的是( ) A.满足条件的△ABC不可能是直角三角形 B.△ABC面积的最大值为√3 C.当A=C时,△ABC的内切圆的半径为2√3−3 D.若△ABC为锐角三角形,则c∈(1,√3) 19.如图,已知⊙O的内接四边形ABCD中,AB=2,BC=6,AD=CD=4,下列说法正确的是( ) A.四边形ABCD的面积为8√3 2√21 B.该外接圆的半径为 3 C.⃗BO⋅⃗CD=−4 D.过D作DF⊥BC交BC于F点,则⃗DO⋅⃗DF=11 1 20.在△ABC中,三个角A,B,C所对的边分别为a,b,c,sinAsinBsinC= ,abc=16√2,则 8 ( ) A.△ABC的面积为2 B.△ABC外接圆的半径为2√2 1 1 2 C.ab≤4 D.( + ) ≥32sinC sin A sinB 三、填空题 21.如图,在平面凸四边形ABCD中,∠ADB=90°,CD=1,BC=2,AD=BD,∠BCD为钝角, 则对角线AC的最大值为 .2π 22.在△ABC中,D为BC边上一点,满足BD=6DC=6,∠BAC=∠ADC= ,则△ABC的面 3 积为 . 1 23.在△ABC中,内角A,B,C的对边分别为a,b,c,已知cos2C−cos2B+sin2A= sinAsinB= , 2 且△ABC的面积为√3,则边c的值为 . 24.在△ABC中,角A,B,C所对的边分别为a,b,c.∠ABC=120°,∠ABC的平分线交AC于点 D,且BD=1,则4a+3c的最小值为 . 25.在△ABC中,内角 A 、 B 、 C 的对边分别是 a 、 b 、 c ,且a2=b2+c2+√3bc.已知a=√3, S 为△ABC的面积,则S+3cosBcosC的最大值是 . 26.若锐角△ABC的内角A,B,C所对的边分别为a,b,c,其外接圆的半径为√3,且 b2+a2 acos(B−C)+acosA=2√3csinBcosA,则 的取值范围为 . b