当前位置:首页>文档>福建省2024-2025学年金科大联考高三11月测评历史Word版含解析_A1502026各地模拟卷(超值!)_11月_241120福建省2024-2025学年金科大联考高三11月测评(全科)

福建省2024-2025学年金科大联考高三11月测评历史Word版含解析_A1502026各地模拟卷(超值!)_11月_241120福建省2024-2025学年金科大联考高三11月测评(全科)

  • 2026-03-09 08:04:59 2026-03-09 06:49:33

文档预览

福建省2024-2025学年金科大联考高三11月测评历史Word版含解析_A1502026各地模拟卷(超值!)_11月_241120福建省2024-2025学年金科大联考高三11月测评(全科)
福建省2024-2025学年金科大联考高三11月测评历史Word版含解析_A1502026各地模拟卷(超值!)_11月_241120福建省2024-2025学年金科大联考高三11月测评(全科)
福建省2024-2025学年金科大联考高三11月测评历史Word版含解析_A1502026各地模拟卷(超值!)_11月_241120福建省2024-2025学年金科大联考高三11月测评(全科)
福建省2024-2025学年金科大联考高三11月测评历史Word版含解析_A1502026各地模拟卷(超值!)_11月_241120福建省2024-2025学年金科大联考高三11月测评(全科)
福建省2024-2025学年金科大联考高三11月测评历史Word版含解析_A1502026各地模拟卷(超值!)_11月_241120福建省2024-2025学年金科大联考高三11月测评(全科)
福建省2024-2025学年金科大联考高三11月测评历史Word版含解析_A1502026各地模拟卷(超值!)_11月_241120福建省2024-2025学年金科大联考高三11月测评(全科)
福建省2024-2025学年金科大联考高三11月测评历史Word版含解析_A1502026各地模拟卷(超值!)_11月_241120福建省2024-2025学年金科大联考高三11月测评(全科)
福建省2024-2025学年金科大联考高三11月测评历史Word版含解析_A1502026各地模拟卷(超值!)_11月_241120福建省2024-2025学年金科大联考高三11月测评(全科)
福建省2024-2025学年金科大联考高三11月测评历史Word版含解析_A1502026各地模拟卷(超值!)_11月_241120福建省2024-2025学年金科大联考高三11月测评(全科)
福建省2024-2025学年金科大联考高三11月测评历史Word版含解析_A1502026各地模拟卷(超值!)_11月_241120福建省2024-2025学年金科大联考高三11月测评(全科)

文档信息

文档格式
docx
文档大小
0.109 MB
文档页数
10 页
上传时间
2026-03-09 06:49:33

文档内容

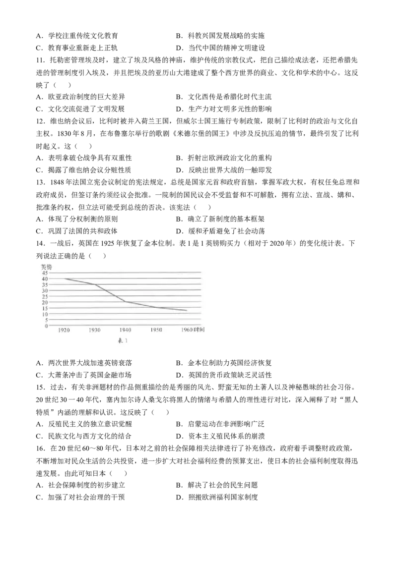
2024~2025 学年高三 11 月测评(福建) 历史 全卷满分100分,考试时间75分钟。 注意事项: 1.答题前,先将自己的姓名、准考证号填写在试卷和答题卡上,并将条形码粘贴在答题卡上 的指定位置。 2.请按题号顺序在答题卡上各题目的答题区域内作答,写在试卷、草稿纸和答题卡上的非答 题区域均无效。 3.选择题用2B铅笔在答题卡上把所选答案的标号涂黑;非选择题用黑色签字笔在答题卡上 作答;字体工整,笔迹清楚。 4.考试结束后,请将试卷和答题卡一并上交。 一、选择题:本大题共16小题,每小题3分,共48分。每小题只有一个选项是符合题目要 求的。 1.考古发现早期空首布与青铜铲相似,平均重量达上百克。到春秋中后期,空首布体积变小,青铜含量 减少,重量降至40—50克。战国早期的平首布通常不超过25克,且便于携带,最终在战国中后期取代了 空首布。对此理解正确的是,战国时期( ) A.铜矿开采冶炼难度较大 B.手工业推动了商业繁荣 C.经济发展驱动货币变革 D.货币样式逐渐趋于统一 2.秦始皇“使尉屠睢将楼船之士南攻百越,使监禄凿渠运粮,深入越,越人遁逃”;汉武帝元鼎五年, 一路军队利用灵渠航道“出零陵,或下离水”“南越已平矣。遂为九郡”。汉光武帝建武十八年,伏波将 军马援南下,也曾修整灵渠,运送军粮。这表明秦汉时期( ) A.交通建设有利于国家的统一 B.军事征服提升了岭南农业水平 C.西南地区治理面临重大挑战 D.民族交融的程度影响战争进程 3.图1是唐朝时某一城市布局平面图的局部。由此可知当时( )A.以此城作为唯一的政治中心 B.城市规划受到儒家理念影响 C.政府放宽了城市商业的限制 D.形成基层民众相互监督机制 4.在宋代,凡以他官兼领诸阁学士等职名及三馆职名者称为贴职。例如,宰执资格者带观文、资政、端 明诸殿学士,侍从资格者带诸阁学士、侍制等,入馆阁者必须进士出身,有“一经此职,遂为名流”之说。 宋代贴职( ) A.完善了选拔人才的机制 B.成为内阁制形成的基础 C.分散了中枢机构的权力 D.有利于提高文臣的地位 5.经研究确定,在肯尼亚考古发现的数百片珍贵瓷器片中,有十几片为明初官窑产品,在印度尼西亚等 地也发现部分此类明初官窑瓷器,但目前国内出土的类似瓷器很少,它们有可能是明政府特别定制的产品。 这表明明朝( ) A.明王朝的财政负担较为沉重 B.朝贡贸易存在一定的规模 C.瓷器是海外贸易的主要商品 D.海外贸易提升国家影响力 6.晚清时期,有人艳羡曰:某也之子习机器制造之学,某也之子善量天测地之功,拔天津某局,拔福建 某所,荣以顶戴,而给以食量,不及一二年,行见人大事,食大禄也。这反映了( ) A.西学传播拓宽了入仕途径 B.传统义利观被彻底颠覆 C.清政府倡导创办工商企业 D.科举变化推动官制改革 7.1919年1月,李大钊、蔡元培所支持的《国民》《新潮》白话杂志创刊,《晨报》第7版(副刊)、 上海《学灯》《觉悟》也相继改为白话刊登新文艺作品。据统计,仅1919年全国出现的白话刊物就有400 余种。这一状况( ) A.反映新旧文学之间矛盾激化 B.表明民主科学观念深入人心 C.改变了新文化运动发展方向 D.促进了新思想的进一步传播 8.1927年8月,中国共产党中央执行委员会发表告全党党员书,共有国民革命与阶级斗争、中国共产党 与工人运动、中国共产党与土地革命、共产党员之参加国民政府、武装问题与对于军队之关系等九部分。 这表明,当时的中国共产党( ) A.巩固并扩大了革命统一战线 B.决心探索中国革命的新道路 C.决定把革命重心转移到农村 D.明确了人民军队的建设原则 9.1937年11月,陕甘宁特区政府改称“陕甘宁特区政府”。1939年,林伯渠明确提出:边区依据的地方 单行法令都是在国民政府统一法令与抗战建国纲领的最高原则下制定的……可以依据边区的实际情况创制 新民主主义性质的法律。这( ) A.体现了“三三制”的优势 B.旨在掌握抗日战争的主导权 C.丰富了根据地斗争形式 D.适应了社会主要矛盾的变化 10.图2是1982年2月拍摄于天津市和平区的一幅老照片。作为图像史料,该照片最适合用于研究( )A.学校注重传统文化教育 B.科教兴国发展战略的实施 C.教育事业重新走上正轨 D.当代中国的精神文明建设 11.托勒密管理埃及时,建立了埃及风格的神庙,维护传统的宗教仪式,把自己描绘成法老,还把希腊先 进的管理制度引入埃及,并且把埃及的亚历山大港建成了整个西方世界的商业、文化和学术的中心。这反 映了( ) A.欧亚政治制度的巨大差异 B.文化西传是希腊化时代主流 C.文化交流促进了文明发展 D.生产力对文明多元性的影响 12.维也纳会议后,比利时被并入荷兰王国,但威尔士国王施行专制政策,限制了比利时的政治与文化自 主权。1830年8月,在布鲁塞尔举行的歌剧《米德尔堡的国王》中涉及反抗压迫的情节,最终引发了比利 时起义。这( ) A.表明拿破仑战争具有双重性 B.折射出欧洲政治文化的重构 C.揭露了维也纳会议分赃性质 D.反映出世界大战的一触即发 13.1848年法国立宪会议制定的宪法规定,总统是国家元首和政府首脑,掌握军政大权,有权任免总理和 政府成员,但签订条约须经议会批准。一院制的国民议会不受监督和不可解散,拥有立法、宣战、媾和、 批准条约权,但立法可能受到总统的否决。该宪法( ) A.体现了分权制衡的原则 B.确立了新制度的基本框架 C.巩固了法国的共和政体 D.缓和矛盾避免了社会动荡 14.一战后,英国在1925年恢复了金本位制。表1是1英镑购买力(相对于2020年)的变化统计表。下 列说法正确的是( ) A.两次世界大战加速英镑衰落 B.金本位制助力英国经济恢复 C.大萧条冲击了英国金融市场 D.英国的货币政策缺乏灵活性 15.过去,有关非洲题材的作品侧重描绘的是秀丽的风光、野蛮无知的土著人以及神秘愚昧的社会习俗。 20世纪30一40年代,塞内加尔诗人桑戈尔将黑人的情绪与希腊人的理性进行对比,深入阐释了对“黑人 特质”内涵的理解和认识。这反映了( ) A.反殖民主义的独立意识觉醒 B.启蒙运动在非洲影响广泛 C.民族文化与西方文化的结合 D.资本主义殖民体系的崩溃 16.在20世纪60~80年代,日本对之前的社会保障相关法律进行了补充修改,政府着手调整财政政策, 不断增加对民众生活的公共投资,进一步扩大对社会福利经费的预算支出,使日本的社会福利制度取得迅 速发展。由此可知日本( ) A.社会保障制度的初步建立 B.解决了社会的民生问题 C.加强了对社会治理的干预 D.照搬欧洲福利国家制度二、非选择题:本大题共4小题,共52分。 17.阅读材料,完成下列要求。(8分) 材料17世纪后的《大宪章》早已不再是一份封建文献,而是容纳了现代政治中的许多核心议题。18 世纪60年代开始,受英国激进主义影响,北美革命者在与英国的争端中将《大宪章》等资源加以转化,成 为反抗议会权威并最终谋求独立的合法性依据。从独立转向制宪运动的过程中,《大宪章》再次出现于辩 论场上,继续捍卫被统治者的权利。从抵制母国政策到爆发独立战争,殖民地人秉持了一套以“权利和自 由”为核心的政治理念。从殖民地人对《大宪章》的解读和诠释来看,无论是“自由主义”抑或“共和主 义”的标签都无法涵盖他们思想的丰富性和复杂性。英国普通法和传统习俗、殖民地特许状、自然法、社 会契约论、人民主权原则、“辉格史观”等都是革命者得以仰赖并娴熟使用的历史和理论资源。 ——摘编自薛冰清《〈大宪章〉与美国革命前后的政治文化变迁》 根据材料并结合所学知识,指出美国革命思想的特点,并简析《大宪章》在美国革命中发挥的作用。 18.阅读材料,完成下列要求。(8分) 材料《旧五代史》修撰于973—974年是一部官修史书,《新五代史》修撰于1035年至1072年,是欧 阳修个人编撰。表2内容是宋人对这两本书的评价。 表2 评价对象 内容 (宋)王辟之 《旧五代史》 太祖诏卢多逊、扈蒙、李昉、刘兼、李穆、李九龄修《五代史》,而 蒙、九龄实专笔削。初以《建康实录》为本,蒙史笔无法,拙于叙 事……其繁如此……先后无序,美恶失实,殊无足取 (宋)陈师锡 《新五代史》 五代距今百有余年……史官秉笔之士,或文采不足以耀无穷,道学不 足以继述作,使五十有余年间……惟庐陵欧阳公,慨然以自任,盖潜 心累年而后成书,其事迹实录,详于旧记,而褒贬义例,仰师《春 秋》,由迁、固而来,未之有也。至于论朋党宦女,忠孝两全,义子 降服,岂小补哉,岂小补哉 ——摘编自徐美珍《〈新五代史〉〈旧五代史〉研究史论》 根据材料并结合所学知识,从史学编纂角度,简析宋人对《旧五代史》和《新五代史》不同评价的原因。 19.阅读材料,完成下列要求。(24分) 材料一番薯,万历中,闽人得之国外,脊土砂砾之地,皆可种之。初种于漳郡,渐及泉州,渐及莆, 近则长乐、福清皆种之。盖度闽海而南有吕宋国,国度海而西为西洋,多产金银,行银如中国行钱,西洋 诸国金银皆转载于此以过商,故闽人多贾吕宋焉。其国有朱薯,被野连山,……中国人截取其蔓咫尺许, 挟小盒中以来,于是入闽十余年矣。其蔓虽萎,剪插种之,下地数日即荣,故可挟而来。起初入闽时,值 闽饥,得是而人足一岁。其种也,不如五谷争地。凡脊卤沙岗,皆可以长,粪治之,则加大。灭雨,根益 奋满。即大旱不粪治,亦不失径寸围。泉(州)人鬻之,斤不值一钱,二斤可饱矣。于是耄耆、童孺、行 道、鬻乞之人皆可以食。饥焉得充,多焉而不伤。下至鸡犬皆食之。 ——摘编自清代周亮工撰《闽小记》 材料二表3:1881—1913年俄国单品粮食种植面积比例变化情况表。(单位:%) 年份 俄国50省(位于欧洲) 总比例 小麦 黑麦 大麦 燕麦 1870-1874 100 18.6 37.4 7.7 19.4 1883-1887 100 17.8 39.9 7.7 21.5 1893-1895 100 19.9 37.8 9.7 20.5 1896-1900 100 21.3 36.3 10.0 20.91901-1905 100 23.7 34.9 10.3 20.3 1906-1910 100 25.2 33.6 11.1 20.0 1911 100 26.8 32.8 11.7 19.5 1912 100 25.7 33.5 12.0 19.3 1913 100 25.6 33.4 12.4 19.1 ——摘编自蒋林均《19世纪中叶—20世纪初俄国粮食贸易探析》 (1)根据材料一并结合所学知识,指出番薯传入中国的历史背景及其影响。(12分) (2)根据材料二,概括19世纪末至20世纪初,俄国粮食种植的主要变化,并结合所学知识分析原因。 (8分) (3)根据材料一、二并结合所学知识,说说你对社会经济的变化与粮食生产的关系的理解。(4分) 20.阅读材料,完成下列要求。(12分) 材料清朝政府在经历了第二次鸦片战争后,开始认识到实业建设的重要,随即开展了洋务运动。但总 的说来,当时的清政府并没有明确的近代化意向,清朝中央政府更没有对近代化予以制度创新和制度供给。 中国早期现代化中至关重要的政府作用的发挥,基本上是由地方政府承担。在近代中国这种相当长的时间 内,在施行现代化方面没有制度供给的状态下,地方现代化的能否启动和发展,一个主导因素就是地方当 政者的主体认识如何。地方督抚们认识的提高和政府职能的转变,首先需要让地方督抚能获得必需的认识 环境,从思想上突破传统的阻力。一些沿海地区由于较早受到外来因素的影响使置身其中的地方督抚有了 较为便利的认知条件,而在此之外的广大地域,传统仍维系着自身的历史连续性和不可侵犯性。 ——摘编自戴鞍钢《督抚崛起与晚清政局》 根据材料并结合所学知识,围绕“督抚崛起与晚清政局”,自拟论题并加以阐述。(要求:论题明确,史 论结合,表述清晰)2024~2025 学年高三 11 月测评(福建)·历史 参考答案、提示及评分细则 题号 1 2 3 4 5 6 7 8 答案 C A B D B A D B 题号 9 10 11 12 13 14 15 16 答案 D D C B A C A C 一、选择题:本大题共16小题,每小题3分,共48分。每小题只有一个选项是符合题目要 求的。 1.【答案】C 【解析】根据材料可知,随着青铜含量减少和货币体积变小,战国时期的平首布逐渐便于携带,最终取代 了早期的空首布。根据所学知识可知,春秋战国时期经济有重大发展,在经济发展和贸易流通中对货币便 捷性的需求驱动了货币变革,故C项正确。材料的主要内容是布币的演变过程,未涉及铜矿开采冶炼难度 较大,排除A项;货币演变的关键在于便于携带和实用性,并没有突出手工业与商业的直接联系,排除B 项;尽管平首布取代了空首布,但材料中并未提到货币样式的统一,且战国时期仍存在一定的货币多样性, 排除D项。 2.【答案】A 【解析】材料的关键词“南攻百越,使监禄凿渠运粮”“利用灵渠航道”“南越已平矣。遂为九郡”等, 由此可知,秦汉时期灵渠作为运河发挥了运输军粮的作用,支持了中央政府平定南方少数民族地区,建立 和巩固统一多民族国家的战争,故A项正确。虽然军事征服可能带来一定的农业发展,但材料并未直接证 明这一点,排除B项;材料提到治理和征服,但没有明确表明存在重大挑战,排除C项;材料未具体讨论 民族交融如何影响战争进程,排除D项。 3.【答案】B 【解析】根据图片信息居民区的名称“道德”“修文”“教义”“立德”“思恭”等再结合所学知识可知, 儒家理念影响了城市的布局规划,故B项正确。根据信息“洛水”可知此城市为洛阳,当时还存在另一个 政治中心长安,排除A项;从图片信息“南市”“北市”可知,当时城市商业仍然有空间的限制,排除C 项;从图片看不出基层民众相互监督机制的内容,排除D项。 4.【答案】D 【解析】根据材料和所学知识可知,贴职是给文臣所加的学士、直阁一类的荣誉衔,通常不一定实际真任 其事,三馆是作为朝廷藏书、校书、编书的场所,秘阁用于国家藏书,官员在此兼职,是对其学识品德的 褒奖,朝廷高级官员,大都出身馆阁,贴职是宋朝崇文抑武政策的体现,故D项正确。当时选拔人才的机 制主要是科举制,这一政策并没有改变,排除A项;内阁制形成于明朝,排除B项;分散中枢机构权力的 做法主要是枢密院、三司以及参知政事的设立,贴职并没有实权,排除C项。 5.【答案】B 【解析】根据材料可知,明初官窑瓷器在肯尼亚、印尼当地发现,但国内很少,官窑的瓷器不是在市场上 流通的,明政府特别定制的产品有可能是专门供给郑和下西洋使用的,结合所学知识可知,郑和下西洋是 当时大规模朝贡贸易表现之一,故B项正确。仅从出土的官窑瓷器无法判断明朝的财政负担情况,排除A 项;中国出口的商品主要有丝绸、瓷器、纸张、茶叶等,从材料看不出瓷器居于主要地位,排除C项;朝 贡贸易的目的是提高国家的影响力,但材料的主旨不在此,得不出“提升国家影响力”的结论,排除D项。6.【答案】A 【解析】材料关键语句为“习机器制造之学”“善量天测地之功”“荣以顶戴”“食大禄也”,据此可知, 掌握机器制造、量天测地等西学的人才,可以提拔到洋务派举办的“拔天津某局,拔福建某所”从而走上 仕途,改变了原来入仕的唯一途径——科举制度,故A项正确。材料的角度不是义利观,排除B项;从 “拔天津某局,拔福建某所”来看,这些应属于洋务派军事工业或民用工业等,不是私营工商业,排除C 项;材料没有科举制度变化的信息,根据所学知识可知,随着科举制度的变化,清政府进行了选官制度改 革,但选官制度改革不等于官制改革,排除D项。 7.【答案】D 【解析】材料表明白话文逐渐普及开来,根据所学知识,新文化运动也是一场文学革命,主张以白话文作 为新文学的语言,而白话文更有利于传播新思想,故D项正确。材料可以看做是文学革命的成果,新文学 发展的成就,没有新旧文学之间斗争的信息,得不出新旧文学间矛盾激化的结论,排除A项;新文化运动 推动了民主与科学的传播,但白话文推广不能得出当时民主与科学已经深入人心的结论,排除B项;这些 白话文反映的思想仍然是新文化运动的内容,改变新文化运动发展方向的是五四运动,排除C项。 8.【答案】B 【解析】根据材料涉及的时间,1927年8月,结合所学知识,国民党右派发动反革命政变,国民大革命失 败,中共中央在汉口召开紧急会议,此一告全党党员书即为此次会议之后发表,目的是总结教训、纠正错 误,探索中国革命的新道路,故B项正确。当时大革命失败,国共合作破裂,革命统一战线已经遭到破坏, 排除A项;当时全面抗战尚未爆发,共产党只是确定了实行土地革命和武装反抗国民党反动派的总方针, 还没有作出转移革命中心到农村的决策,排除C项;明确人民军队建设的基本原则的是1929年12月召开 的古田会议,排除D项。 9.【答案】D 【解析】根据所学知识可知,1937年,中国正处于抗日战争时期,社会主要矛盾由国内阶级矛盾转变为中 日民族矛盾。陕甘宁特区政府改称“陕甘宁特区政府”,以及林伯渠提出的法律制定原则,是在这一背景 下提出的,它体现了边区政权在抗日战争这一特殊时期,根据社会主要矛盾的变化,灵活调整法律政策, 以适应抗战需要和边区实际情况,故D项正确。林伯渠的言论虽然涉及边区的法律制定,但并没有直接体 现出“三三制”政权的组织优势,排除A项;材料内容与掌握抗日战争主导权无关,排除B项;材料内容 更多关注的是法律层面的问题,而不是斗争形式的创新,排除C项。 10.【答案】D 【解析】根据“1982年”和图片中“五讲四美宣传队”的字样等,结合所学知识可知,改革开放后,我国 在建设社会主义物质文明的同时,加强社会主义精神文明建设,“五讲四美三热爱”是20世纪80年代群 众性精神文明建设最响亮的口号,故D项正确。“五讲四美”与传统文化教育无关,排除A项;20世纪 90年代,国家开始实行科教兴国发展战略,排除B项;教育事业重新走上正轨是在“文革”结束,以中断 十年的高考制度恢复为标志,而且材料的主旨不是学校教育,排除C项。 11.【答案】C 【解析】根据材料可知,托勒密的举措促进了不同文明之间的交流和融合,推动了文明的发展,故C项正 确。托勒密在维持埃及传统的同时,也引入了希腊的管理制度,这表明他在寻求两种制度的融合,而不仅 仅是强调差异,排除A项;托勒密的做法体现了文化的相互影响,而不仅仅是单向的传播,排除B项;生 产力是影响文明发展的重要因素,但是题目中更多地体现了文化交流促进了文明发展,而不是生产力的影 响,排除D项。12.【答案】B 【解析】根据所学知识可知,拿破仑战争后,欧洲的政治文化得以重构,封建、专制成为众矢之的,民主、 独立、自由、法治等越来越成为欧洲的普遍诉求。比利时起义反映了对专制统治的反抗和民主、独立的诉 求,符合当时欧洲政治文化重构的趋势,故B项正确。材料主要涉及的是比利时起义,而不是拿破仑战争 的双重性,排除A项;C项符合史实,但与材料主旨无关,排除;D项夸大了比利时起义的影响,排除。 13.【答案】A 【解析】1848年宪法规定,总统掌握军政大权,国民议会拥有立法、宣战等权力,实现了国家权力的分割, 行政权和立法权之间形成制衡关系,故A项正确。法国大革命中,议会于1791年颁布第一部宪法,已经 确立了新制度的基本框架,排除B项;这部宪法虽然规定了共和制,但后来拿破仑三世就把共和国变为法 兰西第二共和国,直到1875年新宪法颁布才最终确立了共和制,排除C项;1848年后,法国历史上又经 历了普法战争、巴黎公社等动荡,排除D项。 14.【答案】C 【解析】根据所学知识可知,1929年全球大萧条导致了经济严重衰退,对英国金融市场造成了巨大冲击。 需求减少、失业率上升、企业倒闭等一系列问题直接导致英镑的购买力下降。表1中20世纪20年代末到 30年代英镑购买力呈下降趋势正是这一原因导致,故C项正确。图中时间不包含第一次世界大战,排除A 项;图表中英镑购买力整体呈下降趋势,且1929年经济危机导致金本位制崩溃,不可能助力英国经济恢复, 排除B项;材料无法体现英国的货币政策,排除D项。 15.【答案】A 【解析】桑戈尔的作品强调了对非洲文化的认同和“黑人特质”的正面描述,这体现了一种对抗以往殖民 主义视角下非洲负面刻板印象的态度,反映了非洲人民独立意识的觉醒和对自身文化价值的肯定,故A项 正确。材料提到的是希腊人的理性,而不是启蒙运动的理性,排除B项;受西方长期殖民影响下的诗人, 肯定会受西方文化的影响,但二者结合不是材料的核心,排除C项;D项主要发生在20世纪50年代至70 年代,与材料时间不符,排除。 16.【答案】C 【解析】根据材料可知,二战后特别是20世纪60~80年代,日本社会福利制度迅速发展,根据所学知识 可知,二战后,随着资本主义的发展,西方各国对社会治理加强干预,事关民生和社会稳定的社会保障制 度得到特别重视,故C项正确。材料强调对相关法律进行补充修改,说明不是初次建立社会保障制度,而 是对其进行完善,排除A项;社会保障制度有利于解决民生问题,但不能保证完全解决民生问题,排除B 项;日本发展完善社会保障制度,应该是借鉴了欧洲的做法,但会根据国情,不会照搬,排除D项。 二、非选择题:本大题共4小题,共52分。 17.【答案】(8分) 特点:革命思想来源具有多样性;强调人民主权。(4分,每点2分) 作用:为美国革命提供了合法性依据;成为殖民地人争取权利和自由的象征;美国革命者将《大宪章》重 新解读并应用于建立新国家的政治制度中。(4分,每点2分) 【解析】根据材料“无法涵盖他们思想的丰富性和复杂性。英国普通法和传统习俗、殖民地⋯⋯‘辉格史 观’等都是革命者得以仰赖并娴熟使用的历史和理论资源”“殖民地人秉持了一套以‘权利和自由’为核 心的政治理念”可得出特点为“革命思想来源具有多样性;强调人民主权”。 根据材料“北美革命者在与英国的争端中将《大宪章》等资源加以转化,成为反抗议会权威并最终谋求独 立的合法性依据”“从独立转向制宪运动的过程中,《大宪章》再次出现于辩论场上,继续捍卫被统治者的权利”“从抵制母国政策到爆发独立战争,殖民地人秉持了一套以‘权利和自由’为核心的政治理念” 并结合所学知识可得出作用为“为美国革命提供了合法性依据;成为殖民地人争取权利和自由的象征;美 国革命者将《大宪章》重新解读并应用于建立新国家的政治制度中”。 18.【答案】(8分) 原因:《旧五代史》修撰时间相对较短,且所依据的史料多为五代实录;《新五代史》在《旧五代史》的 基础上增加一些新的史料,且撰写的时间也较长;《旧五代史》偏重于记录,缺乏严谨性和系统性;《新 五代史》则强调了对史实的深入研究和伦理判断,提升了史书的学术价值;这种评价的差异不仅源于编撰 者的个人能力与理念;也与当时社会对历史书写的期望密切相关。(8分,每点2分,答出四点即可) 【解析】根据材料中体现的《旧五代史》《新五代史》的修撰作者、修撰时间、修撰方法、史学观点以及 当时文化和学术环境不同等角度分析宋人对两本书不同评价的原因。 19.【答案】(24分) (1)历史背景:新航路开辟后,世界联系加强;各大洲之间出现物种交流;欧洲殖民扩张的间接影响; 商品的世界性流动促使太平洋贸易兴盛;中国的海外贸易繁荣,对外交往频繁。(6分,每点2分,答出 三点即可) 影响:促进农业、手工业和商业的发展;减少了饥荒;缓解了人地矛盾;改变了中国人的饮食结构;维护 了粮食安全;有利于人口的增长和流动;土地资源过度开发,破坏了自然环境。(6分,每点2分,答出 三点即可) (2)变化:麦子的总种植比例上升;大小麦种植比例上升;黑麦种植比例略有下降。(2分,答出一点即 可) 原因:俄国工业化进程开始加速;大小麦经济效益更高;出口需求的增长;农业技术的改进;人口增长带 来粮食需求增加。(6分,每点2分,答出三点即可) (3)认识:社会经济的发展与粮食生产之间关系密切,经济需求推动粮食生产结构调整;技术进步提升 粮食生产效率;社会经济的波动影响粮食供应的稳定性。(4分,每点2分,答出两点,言之有理即可) 【解析】(1)根据材料一“番薯,万历中,闽人得之国外”“盖度闽海而南有吕宋国,国度海而西为西 洋,多产金银,行银如中国行钱,……故闽人多贾吕宋焉”并结合所学知识,从新航路开辟、物种交流、 欧洲殖民扩张、太平洋贸易兴盛、中国的海外贸易繁荣等角度概括背景即可。 根据材料一“起初入闽时,值闽饥,得是而人足一岁。其种也,不如五谷争地。凡脊卤沙岗,皆可以长, 粪治之,则加大”“斤不值一钱,二斤可饱矣……下至鸡犬皆食之”并结合所学知识可得出意义为“促进 农业、手工业和商业的发展;减少了饥荒;缓解了人地矛盾;改变了中国人的饮食结构;维护了粮食安全; 有利于人口的增长和流动;土地资源过度开发,破坏了自然环境”。 (2)分析表格中的数据可以得出变化为:麦子的总种植比例上升;大小麦种植比例上升;黑麦种植比例 略有下降。 根据材料中的时间并结合所学知识可知,19世纪80年代后,俄国工业化进程开始加速,工业的发展、人 口的增加,扩大了国内市场对粮食。欧洲市场对小麦和大麦的需求增加,使得大、小麦经济效益更高,因 此俄国国内农业结构也随之发生改变。农业技术的改进也使得从1870—1913年四种麦子的总种植比例上升。 (3)材料一、二中都涉及到了社会经济的发展与粮食生产之间关系,生产技术与粮食生产的关系以及社 会经济波动与粮食稳定的关系,从这些角度谈谈认识即可,其他角度言之有理亦可。 20.【答案】(12分) 示例:论题:晚清地方督抚在中国现代化进程中扮演了重要角色。 阐述:面对西方列强的冲击,清朝政府逐渐认识到实业建设的重要性,并在第二次鸦片战争后启动洋务运 动。然而,中央政府未能提供明确的近代化意向和制度创新,现代化的推动力主要来自地方政府。沿海地 区的地方督抚因较早接触外来文化,在推动现代化上积极性更强,他们倡导变革,为现代化创造了良好的 制度环境。地方督抚如曾国藩、李鸿章、张之洞等人,不仅在军事上有所建树,还大力引进西方技术和设 备,兴办近代企业,建铁路、办工厂、兴学堂等,推动了当地的社会发展。然而,在广大内陆地区,传统 势力强大,改革难以推进;而人才和财政问题,则限制了地方督抚的改革力度。 总之,晚清地方督抚的崛起为我国早期现代化进程奠定了基础,其历史意义深远。 (“示例”仅供阅卷参考) 【评分细则】 本题论题2分,阐述部分10分,实行分等级评分,具体分级标准如下: 等级 说明 一等(8~10分) 准确、充分运用史实;说理充分,逻辑严密 二等(4~7分) 能够运用相关史实;说理较充分,逻辑关系较清楚 三等(0~3分) 运用史实不够准确或不能够运用史实;说理不充分或没有说理,逻辑混乱 【解析】本题为开放性试题,答案不唯一。根据材料内容可知,晚清地方督抚在推动中国现代化上发挥了 重要作用,可得出论题“晚清地方督抚在中国现代化进程中扮演了关键角色”。阐述部分,结合材料和所 学知识,先分析晚清时代背景,在结合具体地方督抚的事例加以阐述,最后总结即可。若从其他角度作答, 言之有理亦可。
基本 文件 流程 错误 SQL 调试
  1. 请求信息 : 2026-03-09 19:03:18 HTTP/1.1 GET : https://www.yeyulingfeng.com/wendang/361165.html
  2. 运行时间 : 0.096458s [ 吞吐率:10.37req/s ] 内存消耗:5,317.84kb 文件加载:144
  3. 缓存信息 : 0 reads,0 writes
  4. 会话信息 : SESSION_ID=bb14b2c4debb1e8c11ed429f9536597a
  1. /yingpanguazai/ssd/ssd1/www/wwww.yeyulingfeng.com/public/index.php ( 0.79 KB )
  2. /yingpanguazai/ssd/ssd1/www/wwww.yeyulingfeng.com/vendor/autoload.php ( 0.17 KB )
  3. /yingpanguazai/ssd/ssd1/www/wwww.yeyulingfeng.com/vendor/composer/autoload_real.php ( 2.49 KB )
  4. /yingpanguazai/ssd/ssd1/www/wwww.yeyulingfeng.com/vendor/composer/platform_check.php ( 0.90 KB )
  5. /yingpanguazai/ssd/ssd1/www/wwww.yeyulingfeng.com/vendor/composer/ClassLoader.php ( 14.03 KB )
  6. /yingpanguazai/ssd/ssd1/www/wwww.yeyulingfeng.com/vendor/composer/autoload_static.php ( 6.05 KB )
  7. /yingpanguazai/ssd/ssd1/www/wwww.yeyulingfeng.com/vendor/topthink/think-helper/src/helper.php ( 8.34 KB )
  8. /yingpanguazai/ssd/ssd1/www/wwww.yeyulingfeng.com/vendor/topthink/think-validate/src/helper.php ( 2.19 KB )
  9. /yingpanguazai/ssd/ssd1/www/wwww.yeyulingfeng.com/vendor/ralouphie/getallheaders/src/getallheaders.php ( 1.60 KB )
  10. /yingpanguazai/ssd/ssd1/www/wwww.yeyulingfeng.com/vendor/topthink/think-orm/src/helper.php ( 1.47 KB )
  11. /yingpanguazai/ssd/ssd1/www/wwww.yeyulingfeng.com/vendor/topthink/think-orm/stubs/load_stubs.php ( 0.16 KB )
  12. /yingpanguazai/ssd/ssd1/www/wwww.yeyulingfeng.com/vendor/topthink/framework/src/think/Exception.php ( 1.69 KB )
  13. /yingpanguazai/ssd/ssd1/www/wwww.yeyulingfeng.com/vendor/topthink/think-container/src/Facade.php ( 2.71 KB )
  14. /yingpanguazai/ssd/ssd1/www/wwww.yeyulingfeng.com/vendor/symfony/deprecation-contracts/function.php ( 0.99 KB )
  15. /yingpanguazai/ssd/ssd1/www/wwww.yeyulingfeng.com/vendor/symfony/polyfill-mbstring/bootstrap.php ( 8.26 KB )
  16. /yingpanguazai/ssd/ssd1/www/wwww.yeyulingfeng.com/vendor/symfony/polyfill-mbstring/bootstrap80.php ( 9.78 KB )
  17. /yingpanguazai/ssd/ssd1/www/wwww.yeyulingfeng.com/vendor/symfony/var-dumper/Resources/functions/dump.php ( 1.49 KB )
  18. /yingpanguazai/ssd/ssd1/www/wwww.yeyulingfeng.com/vendor/topthink/think-dumper/src/helper.php ( 0.18 KB )
  19. /yingpanguazai/ssd/ssd1/www/wwww.yeyulingfeng.com/vendor/symfony/var-dumper/VarDumper.php ( 4.30 KB )
  20. /yingpanguazai/ssd/ssd1/www/wwww.yeyulingfeng.com/vendor/guzzlehttp/guzzle/src/functions_include.php ( 0.16 KB )
  21. /yingpanguazai/ssd/ssd1/www/wwww.yeyulingfeng.com/vendor/guzzlehttp/guzzle/src/functions.php ( 5.54 KB )
  22. /yingpanguazai/ssd/ssd1/www/wwww.yeyulingfeng.com/vendor/topthink/framework/src/think/App.php ( 15.30 KB )
  23. /yingpanguazai/ssd/ssd1/www/wwww.yeyulingfeng.com/vendor/topthink/think-container/src/Container.php ( 15.76 KB )
  24. /yingpanguazai/ssd/ssd1/www/wwww.yeyulingfeng.com/vendor/psr/container/src/ContainerInterface.php ( 1.02 KB )
  25. /yingpanguazai/ssd/ssd1/www/wwww.yeyulingfeng.com/app/provider.php ( 0.19 KB )
  26. /yingpanguazai/ssd/ssd1/www/wwww.yeyulingfeng.com/vendor/topthink/framework/src/think/Http.php ( 6.04 KB )
  27. /yingpanguazai/ssd/ssd1/www/wwww.yeyulingfeng.com/vendor/topthink/think-helper/src/helper/Str.php ( 7.29 KB )
  28. /yingpanguazai/ssd/ssd1/www/wwww.yeyulingfeng.com/vendor/topthink/framework/src/think/Env.php ( 4.68 KB )
  29. /yingpanguazai/ssd/ssd1/www/wwww.yeyulingfeng.com/app/common.php ( 0.03 KB )
  30. /yingpanguazai/ssd/ssd1/www/wwww.yeyulingfeng.com/vendor/topthink/framework/src/helper.php ( 18.78 KB )
  31. /yingpanguazai/ssd/ssd1/www/wwww.yeyulingfeng.com/vendor/topthink/framework/src/think/Config.php ( 5.54 KB )
  32. /yingpanguazai/ssd/ssd1/www/wwww.yeyulingfeng.com/config/alipay.php ( 3.59 KB )
  33. /yingpanguazai/ssd/ssd1/www/wwww.yeyulingfeng.com/vendor/topthink/framework/src/think/facade/Env.php ( 1.67 KB )
  34. /yingpanguazai/ssd/ssd1/www/wwww.yeyulingfeng.com/config/app.php ( 0.95 KB )
  35. /yingpanguazai/ssd/ssd1/www/wwww.yeyulingfeng.com/config/cache.php ( 0.78 KB )
  36. /yingpanguazai/ssd/ssd1/www/wwww.yeyulingfeng.com/config/console.php ( 0.23 KB )
  37. /yingpanguazai/ssd/ssd1/www/wwww.yeyulingfeng.com/config/cookie.php ( 0.56 KB )
  38. /yingpanguazai/ssd/ssd1/www/wwww.yeyulingfeng.com/config/database.php ( 2.48 KB )
  39. /yingpanguazai/ssd/ssd1/www/wwww.yeyulingfeng.com/config/filesystem.php ( 0.61 KB )
  40. /yingpanguazai/ssd/ssd1/www/wwww.yeyulingfeng.com/config/lang.php ( 0.91 KB )
  41. /yingpanguazai/ssd/ssd1/www/wwww.yeyulingfeng.com/config/log.php ( 1.35 KB )
  42. /yingpanguazai/ssd/ssd1/www/wwww.yeyulingfeng.com/config/middleware.php ( 0.19 KB )
  43. /yingpanguazai/ssd/ssd1/www/wwww.yeyulingfeng.com/config/route.php ( 1.89 KB )
  44. /yingpanguazai/ssd/ssd1/www/wwww.yeyulingfeng.com/config/session.php ( 0.57 KB )
  45. /yingpanguazai/ssd/ssd1/www/wwww.yeyulingfeng.com/config/trace.php ( 0.34 KB )
  46. /yingpanguazai/ssd/ssd1/www/wwww.yeyulingfeng.com/config/view.php ( 0.82 KB )
  47. /yingpanguazai/ssd/ssd1/www/wwww.yeyulingfeng.com/app/event.php ( 0.25 KB )
  48. /yingpanguazai/ssd/ssd1/www/wwww.yeyulingfeng.com/vendor/topthink/framework/src/think/Event.php ( 7.67 KB )
  49. /yingpanguazai/ssd/ssd1/www/wwww.yeyulingfeng.com/app/service.php ( 0.13 KB )
  50. /yingpanguazai/ssd/ssd1/www/wwww.yeyulingfeng.com/app/AppService.php ( 0.26 KB )
  51. /yingpanguazai/ssd/ssd1/www/wwww.yeyulingfeng.com/vendor/topthink/framework/src/think/Service.php ( 1.64 KB )
  52. /yingpanguazai/ssd/ssd1/www/wwww.yeyulingfeng.com/vendor/topthink/framework/src/think/Lang.php ( 7.35 KB )
  53. /yingpanguazai/ssd/ssd1/www/wwww.yeyulingfeng.com/vendor/topthink/framework/src/lang/zh-cn.php ( 13.70 KB )
  54. /yingpanguazai/ssd/ssd1/www/wwww.yeyulingfeng.com/vendor/topthink/framework/src/think/initializer/Error.php ( 3.31 KB )
  55. /yingpanguazai/ssd/ssd1/www/wwww.yeyulingfeng.com/vendor/topthink/framework/src/think/initializer/RegisterService.php ( 1.33 KB )
  56. /yingpanguazai/ssd/ssd1/www/wwww.yeyulingfeng.com/vendor/services.php ( 0.14 KB )
  57. /yingpanguazai/ssd/ssd1/www/wwww.yeyulingfeng.com/vendor/topthink/framework/src/think/service/PaginatorService.php ( 1.52 KB )
  58. /yingpanguazai/ssd/ssd1/www/wwww.yeyulingfeng.com/vendor/topthink/framework/src/think/service/ValidateService.php ( 0.99 KB )
  59. /yingpanguazai/ssd/ssd1/www/wwww.yeyulingfeng.com/vendor/topthink/framework/src/think/service/ModelService.php ( 2.04 KB )
  60. /yingpanguazai/ssd/ssd1/www/wwww.yeyulingfeng.com/vendor/topthink/think-trace/src/Service.php ( 0.77 KB )
  61. /yingpanguazai/ssd/ssd1/www/wwww.yeyulingfeng.com/vendor/topthink/framework/src/think/Middleware.php ( 6.72 KB )
  62. /yingpanguazai/ssd/ssd1/www/wwww.yeyulingfeng.com/vendor/topthink/framework/src/think/initializer/BootService.php ( 0.77 KB )
  63. /yingpanguazai/ssd/ssd1/www/wwww.yeyulingfeng.com/vendor/topthink/think-orm/src/Paginator.php ( 11.86 KB )
  64. /yingpanguazai/ssd/ssd1/www/wwww.yeyulingfeng.com/vendor/topthink/think-validate/src/Validate.php ( 63.20 KB )
  65. /yingpanguazai/ssd/ssd1/www/wwww.yeyulingfeng.com/vendor/topthink/think-orm/src/Model.php ( 23.55 KB )
  66. /yingpanguazai/ssd/ssd1/www/wwww.yeyulingfeng.com/vendor/topthink/think-orm/src/model/concern/Attribute.php ( 21.05 KB )
  67. /yingpanguazai/ssd/ssd1/www/wwww.yeyulingfeng.com/vendor/topthink/think-orm/src/model/concern/AutoWriteData.php ( 4.21 KB )
  68. /yingpanguazai/ssd/ssd1/www/wwww.yeyulingfeng.com/vendor/topthink/think-orm/src/model/concern/Conversion.php ( 6.44 KB )
  69. /yingpanguazai/ssd/ssd1/www/wwww.yeyulingfeng.com/vendor/topthink/think-orm/src/model/concern/DbConnect.php ( 5.16 KB )
  70. /yingpanguazai/ssd/ssd1/www/wwww.yeyulingfeng.com/vendor/topthink/think-orm/src/model/concern/ModelEvent.php ( 2.33 KB )
  71. /yingpanguazai/ssd/ssd1/www/wwww.yeyulingfeng.com/vendor/topthink/think-orm/src/model/concern/RelationShip.php ( 28.29 KB )
  72. /yingpanguazai/ssd/ssd1/www/wwww.yeyulingfeng.com/vendor/topthink/think-helper/src/contract/Arrayable.php ( 0.09 KB )
  73. /yingpanguazai/ssd/ssd1/www/wwww.yeyulingfeng.com/vendor/topthink/think-helper/src/contract/Jsonable.php ( 0.13 KB )
  74. /yingpanguazai/ssd/ssd1/www/wwww.yeyulingfeng.com/vendor/topthink/think-orm/src/model/contract/Modelable.php ( 0.09 KB )
  75. /yingpanguazai/ssd/ssd1/www/wwww.yeyulingfeng.com/vendor/topthink/framework/src/think/Db.php ( 2.88 KB )
  76. /yingpanguazai/ssd/ssd1/www/wwww.yeyulingfeng.com/vendor/topthink/think-orm/src/DbManager.php ( 8.52 KB )
  77. /yingpanguazai/ssd/ssd1/www/wwww.yeyulingfeng.com/vendor/topthink/framework/src/think/Log.php ( 6.28 KB )
  78. /yingpanguazai/ssd/ssd1/www/wwww.yeyulingfeng.com/vendor/topthink/framework/src/think/Manager.php ( 3.92 KB )
  79. /yingpanguazai/ssd/ssd1/www/wwww.yeyulingfeng.com/vendor/psr/log/src/LoggerTrait.php ( 2.69 KB )
  80. /yingpanguazai/ssd/ssd1/www/wwww.yeyulingfeng.com/vendor/psr/log/src/LoggerInterface.php ( 2.71 KB )
  81. /yingpanguazai/ssd/ssd1/www/wwww.yeyulingfeng.com/vendor/topthink/framework/src/think/Cache.php ( 4.92 KB )
  82. /yingpanguazai/ssd/ssd1/www/wwww.yeyulingfeng.com/vendor/psr/simple-cache/src/CacheInterface.php ( 4.71 KB )
  83. /yingpanguazai/ssd/ssd1/www/wwww.yeyulingfeng.com/vendor/topthink/think-helper/src/helper/Arr.php ( 16.63 KB )
  84. /yingpanguazai/ssd/ssd1/www/wwww.yeyulingfeng.com/vendor/topthink/framework/src/think/cache/driver/File.php ( 7.84 KB )
  85. /yingpanguazai/ssd/ssd1/www/wwww.yeyulingfeng.com/vendor/topthink/framework/src/think/cache/Driver.php ( 9.03 KB )
  86. /yingpanguazai/ssd/ssd1/www/wwww.yeyulingfeng.com/vendor/topthink/framework/src/think/contract/CacheHandlerInterface.php ( 1.99 KB )
  87. /yingpanguazai/ssd/ssd1/www/wwww.yeyulingfeng.com/app/Request.php ( 0.09 KB )
  88. /yingpanguazai/ssd/ssd1/www/wwww.yeyulingfeng.com/vendor/topthink/framework/src/think/Request.php ( 55.78 KB )
  89. /yingpanguazai/ssd/ssd1/www/wwww.yeyulingfeng.com/app/middleware.php ( 0.25 KB )
  90. /yingpanguazai/ssd/ssd1/www/wwww.yeyulingfeng.com/vendor/topthink/framework/src/think/Pipeline.php ( 2.61 KB )
  91. /yingpanguazai/ssd/ssd1/www/wwww.yeyulingfeng.com/vendor/topthink/think-trace/src/TraceDebug.php ( 3.40 KB )
  92. /yingpanguazai/ssd/ssd1/www/wwww.yeyulingfeng.com/vendor/topthink/framework/src/think/middleware/SessionInit.php ( 1.94 KB )
  93. /yingpanguazai/ssd/ssd1/www/wwww.yeyulingfeng.com/vendor/topthink/framework/src/think/Session.php ( 1.80 KB )
  94. /yingpanguazai/ssd/ssd1/www/wwww.yeyulingfeng.com/vendor/topthink/framework/src/think/session/driver/File.php ( 6.27 KB )
  95. /yingpanguazai/ssd/ssd1/www/wwww.yeyulingfeng.com/vendor/topthink/framework/src/think/contract/SessionHandlerInterface.php ( 0.87 KB )
  96. /yingpanguazai/ssd/ssd1/www/wwww.yeyulingfeng.com/vendor/topthink/framework/src/think/session/Store.php ( 7.12 KB )
  97. /yingpanguazai/ssd/ssd1/www/wwww.yeyulingfeng.com/vendor/topthink/framework/src/think/Route.php ( 23.73 KB )
  98. /yingpanguazai/ssd/ssd1/www/wwww.yeyulingfeng.com/vendor/topthink/framework/src/think/route/RuleName.php ( 5.75 KB )
  99. /yingpanguazai/ssd/ssd1/www/wwww.yeyulingfeng.com/vendor/topthink/framework/src/think/route/Domain.php ( 2.53 KB )
  100. /yingpanguazai/ssd/ssd1/www/wwww.yeyulingfeng.com/vendor/topthink/framework/src/think/route/RuleGroup.php ( 22.43 KB )
  101. /yingpanguazai/ssd/ssd1/www/wwww.yeyulingfeng.com/vendor/topthink/framework/src/think/route/Rule.php ( 26.95 KB )
  102. /yingpanguazai/ssd/ssd1/www/wwww.yeyulingfeng.com/vendor/topthink/framework/src/think/route/RuleItem.php ( 9.78 KB )
  103. /yingpanguazai/ssd/ssd1/www/wwww.yeyulingfeng.com/route/app.php ( 3.82 KB )
  104. /yingpanguazai/ssd/ssd1/www/wwww.yeyulingfeng.com/vendor/topthink/framework/src/think/facade/Route.php ( 4.70 KB )
  105. /yingpanguazai/ssd/ssd1/www/wwww.yeyulingfeng.com/vendor/topthink/framework/src/think/route/dispatch/Controller.php ( 4.74 KB )
  106. /yingpanguazai/ssd/ssd1/www/wwww.yeyulingfeng.com/vendor/topthink/framework/src/think/route/Dispatch.php ( 10.44 KB )
  107. /yingpanguazai/ssd/ssd1/www/wwww.yeyulingfeng.com/app/controller/Index.php ( 9.69 KB )
  108. /yingpanguazai/ssd/ssd1/www/wwww.yeyulingfeng.com/app/BaseController.php ( 2.05 KB )
  109. /yingpanguazai/ssd/ssd1/www/wwww.yeyulingfeng.com/vendor/topthink/think-orm/src/facade/Db.php ( 0.93 KB )
  110. /yingpanguazai/ssd/ssd1/www/wwww.yeyulingfeng.com/vendor/topthink/think-orm/src/db/connector/Mysql.php ( 5.44 KB )
  111. /yingpanguazai/ssd/ssd1/www/wwww.yeyulingfeng.com/vendor/topthink/think-orm/src/db/PDOConnection.php ( 52.47 KB )
  112. /yingpanguazai/ssd/ssd1/www/wwww.yeyulingfeng.com/vendor/topthink/think-orm/src/db/Connection.php ( 8.39 KB )
  113. /yingpanguazai/ssd/ssd1/www/wwww.yeyulingfeng.com/vendor/topthink/think-orm/src/db/ConnectionInterface.php ( 4.57 KB )
  114. /yingpanguazai/ssd/ssd1/www/wwww.yeyulingfeng.com/vendor/topthink/think-orm/src/db/builder/Mysql.php ( 16.58 KB )
  115. /yingpanguazai/ssd/ssd1/www/wwww.yeyulingfeng.com/vendor/topthink/think-orm/src/db/Builder.php ( 24.06 KB )
  116. /yingpanguazai/ssd/ssd1/www/wwww.yeyulingfeng.com/vendor/topthink/think-orm/src/db/BaseBuilder.php ( 27.50 KB )
  117. /yingpanguazai/ssd/ssd1/www/wwww.yeyulingfeng.com/vendor/topthink/think-orm/src/db/Query.php ( 15.71 KB )
  118. /yingpanguazai/ssd/ssd1/www/wwww.yeyulingfeng.com/vendor/topthink/think-orm/src/db/BaseQuery.php ( 45.13 KB )
  119. /yingpanguazai/ssd/ssd1/www/wwww.yeyulingfeng.com/vendor/topthink/think-orm/src/db/concern/TimeFieldQuery.php ( 7.43 KB )
  120. /yingpanguazai/ssd/ssd1/www/wwww.yeyulingfeng.com/vendor/topthink/think-orm/src/db/concern/AggregateQuery.php ( 3.26 KB )
  121. /yingpanguazai/ssd/ssd1/www/wwww.yeyulingfeng.com/vendor/topthink/think-orm/src/db/concern/ModelRelationQuery.php ( 20.07 KB )
  122. /yingpanguazai/ssd/ssd1/www/wwww.yeyulingfeng.com/vendor/topthink/think-orm/src/db/concern/ParamsBind.php ( 3.66 KB )
  123. /yingpanguazai/ssd/ssd1/www/wwww.yeyulingfeng.com/vendor/topthink/think-orm/src/db/concern/ResultOperation.php ( 7.01 KB )
  124. /yingpanguazai/ssd/ssd1/www/wwww.yeyulingfeng.com/vendor/topthink/think-orm/src/db/concern/WhereQuery.php ( 19.37 KB )
  125. /yingpanguazai/ssd/ssd1/www/wwww.yeyulingfeng.com/vendor/topthink/think-orm/src/db/concern/JoinAndViewQuery.php ( 7.11 KB )
  126. /yingpanguazai/ssd/ssd1/www/wwww.yeyulingfeng.com/vendor/topthink/think-orm/src/db/concern/TableFieldInfo.php ( 2.63 KB )
  127. /yingpanguazai/ssd/ssd1/www/wwww.yeyulingfeng.com/vendor/topthink/think-orm/src/db/concern/Transaction.php ( 2.77 KB )
  128. /yingpanguazai/ssd/ssd1/www/wwww.yeyulingfeng.com/vendor/topthink/framework/src/think/log/driver/File.php ( 5.96 KB )
  129. /yingpanguazai/ssd/ssd1/www/wwww.yeyulingfeng.com/vendor/topthink/framework/src/think/contract/LogHandlerInterface.php ( 0.86 KB )
  130. /yingpanguazai/ssd/ssd1/www/wwww.yeyulingfeng.com/vendor/topthink/framework/src/think/log/Channel.php ( 3.89 KB )
  131. /yingpanguazai/ssd/ssd1/www/wwww.yeyulingfeng.com/vendor/topthink/framework/src/think/event/LogRecord.php ( 1.02 KB )
  132. /yingpanguazai/ssd/ssd1/www/wwww.yeyulingfeng.com/vendor/topthink/think-helper/src/Collection.php ( 16.47 KB )
  133. /yingpanguazai/ssd/ssd1/www/wwww.yeyulingfeng.com/vendor/topthink/framework/src/think/facade/View.php ( 1.70 KB )
  134. /yingpanguazai/ssd/ssd1/www/wwww.yeyulingfeng.com/vendor/topthink/framework/src/think/View.php ( 4.39 KB )
  135. /yingpanguazai/ssd/ssd1/www/wwww.yeyulingfeng.com/vendor/topthink/framework/src/think/Response.php ( 8.81 KB )
  136. /yingpanguazai/ssd/ssd1/www/wwww.yeyulingfeng.com/vendor/topthink/framework/src/think/response/View.php ( 3.29 KB )
  137. /yingpanguazai/ssd/ssd1/www/wwww.yeyulingfeng.com/vendor/topthink/framework/src/think/Cookie.php ( 6.06 KB )
  138. /yingpanguazai/ssd/ssd1/www/wwww.yeyulingfeng.com/vendor/topthink/think-view/src/Think.php ( 8.38 KB )
  139. /yingpanguazai/ssd/ssd1/www/wwww.yeyulingfeng.com/vendor/topthink/framework/src/think/contract/TemplateHandlerInterface.php ( 1.60 KB )
  140. /yingpanguazai/ssd/ssd1/www/wwww.yeyulingfeng.com/vendor/topthink/think-template/src/Template.php ( 46.61 KB )
  141. /yingpanguazai/ssd/ssd1/www/wwww.yeyulingfeng.com/vendor/topthink/think-template/src/template/driver/File.php ( 2.41 KB )
  142. /yingpanguazai/ssd/ssd1/www/wwww.yeyulingfeng.com/vendor/topthink/think-template/src/template/contract/DriverInterface.php ( 0.86 KB )
  143. /yingpanguazai/ssd/ssd1/www/wwww.yeyulingfeng.com/runtime/temp/10a0c909b6afa23b5a52a2e2d58c3c0f.php ( 21.72 KB )
  144. /yingpanguazai/ssd/ssd1/www/wwww.yeyulingfeng.com/vendor/topthink/think-trace/src/Html.php ( 4.42 KB )
  1. CONNECT:[ UseTime:0.000597s ] mysql:host=127.0.0.1;port=3306;dbname=wenku;charset=utf8mb4
  2. SHOW FULL COLUMNS FROM `fenlei` [ RunTime:0.000799s ]
  3. SELECT * FROM `fenlei` WHERE `fid` = 0 [ RunTime:0.000327s ]
  4. SELECT * FROM `fenlei` WHERE `fid` = 63 [ RunTime:0.000255s ]
  5. SHOW FULL COLUMNS FROM `set` [ RunTime:0.000476s ]
  6. SELECT * FROM `set` [ RunTime:0.000194s ]
  7. SHOW FULL COLUMNS FROM `wendang` [ RunTime:0.000528s ]
  8. SELECT * FROM `wendang` WHERE `id` = 361165 LIMIT 1 [ RunTime:0.000858s ]
  9. UPDATE `wendang` SET `liulancishu` = 3 WHERE `id` = 361165 [ RunTime:0.002495s ]
  10. UPDATE `wendang` SET `lasttime` = 1773054198 WHERE `id` = 361165 [ RunTime:0.000528s ]
  11. SELECT * FROM `wendang` WHERE `id` < 361165 ORDER BY `id` DESC LIMIT 1 [ RunTime:0.000919s ]
  12. SELECT * FROM `wendang` WHERE `id` > 361165 ORDER BY `id` ASC LIMIT 1 [ RunTime:0.000592s ]
  13. SELECT * FROM `wendang` WHERE `id` <> 361165 ORDER BY `id` DESC LIMIT 10 [ RunTime:0.006331s ]
  14. SELECT * FROM `wendang` WHERE `id` <> 361165 ORDER BY `id` DESC LIMIT 10,10 [ RunTime:0.001772s ]
  15. SELECT * FROM `wendang` WHERE `id` <> 361165 ORDER BY `id` DESC LIMIT 20,10 [ RunTime:0.002175s ]
0.098179s