当前位置:首页>文档>2025年高考物理实验抢分专练八:验证动量守恒定律(含解析)_4.2025物理总复习_2025年新高考资料_专项复习_2025年高考物理实验抢分专练(含解析)(完结)

2025年高考物理实验抢分专练八:验证动量守恒定律(含解析)_4.2025物理总复习_2025年新高考资料_专项复习_2025年高考物理实验抢分专练(含解析)(完结)

  • 2026-04-03 02:10:54 2026-03-09 16:31:20

文档预览

2025年高考物理实验抢分专练八:验证动量守恒定律(含解析)_4.2025物理总复习_2025年新高考资料_专项复习_2025年高考物理实验抢分专练(含解析)(完结)
2025年高考物理实验抢分专练八:验证动量守恒定律(含解析)_4.2025物理总复习_2025年新高考资料_专项复习_2025年高考物理实验抢分专练(含解析)(完结)
2025年高考物理实验抢分专练八:验证动量守恒定律(含解析)_4.2025物理总复习_2025年新高考资料_专项复习_2025年高考物理实验抢分专练(含解析)(完结)
2025年高考物理实验抢分专练八:验证动量守恒定律(含解析)_4.2025物理总复习_2025年新高考资料_专项复习_2025年高考物理实验抢分专练(含解析)(完结)
2025年高考物理实验抢分专练八:验证动量守恒定律(含解析)_4.2025物理总复习_2025年新高考资料_专项复习_2025年高考物理实验抢分专练(含解析)(完结)
2025年高考物理实验抢分专练八:验证动量守恒定律(含解析)_4.2025物理总复习_2025年新高考资料_专项复习_2025年高考物理实验抢分专练(含解析)(完结)
2025年高考物理实验抢分专练八:验证动量守恒定律(含解析)_4.2025物理总复习_2025年新高考资料_专项复习_2025年高考物理实验抢分专练(含解析)(完结)
2025年高考物理实验抢分专练八:验证动量守恒定律(含解析)_4.2025物理总复习_2025年新高考资料_专项复习_2025年高考物理实验抢分专练(含解析)(完结)
2025年高考物理实验抢分专练八:验证动量守恒定律(含解析)_4.2025物理总复习_2025年新高考资料_专项复习_2025年高考物理实验抢分专练(含解析)(完结)
2025年高考物理实验抢分专练八:验证动量守恒定律(含解析)_4.2025物理总复习_2025年新高考资料_专项复习_2025年高考物理实验抢分专练(含解析)(完结)
2025年高考物理实验抢分专练八:验证动量守恒定律(含解析)_4.2025物理总复习_2025年新高考资料_专项复习_2025年高考物理实验抢分专练(含解析)(完结)
2025年高考物理实验抢分专练八:验证动量守恒定律(含解析)_4.2025物理总复习_2025年新高考资料_专项复习_2025年高考物理实验抢分专练(含解析)(完结)
2025年高考物理实验抢分专练八:验证动量守恒定律(含解析)_4.2025物理总复习_2025年新高考资料_专项复习_2025年高考物理实验抢分专练(含解析)(完结)
2025年高考物理实验抢分专练八:验证动量守恒定律(含解析)_4.2025物理总复习_2025年新高考资料_专项复习_2025年高考物理实验抢分专练(含解析)(完结)
2025年高考物理实验抢分专练八:验证动量守恒定律(含解析)_4.2025物理总复习_2025年新高考资料_专项复习_2025年高考物理实验抢分专练(含解析)(完结)
2025年高考物理实验抢分专练八:验证动量守恒定律(含解析)_4.2025物理总复习_2025年新高考资料_专项复习_2025年高考物理实验抢分专练(含解析)(完结)
2025年高考物理实验抢分专练八:验证动量守恒定律(含解析)_4.2025物理总复习_2025年新高考资料_专项复习_2025年高考物理实验抢分专练(含解析)(完结)
2025年高考物理实验抢分专练八:验证动量守恒定律(含解析)_4.2025物理总复习_2025年新高考资料_专项复习_2025年高考物理实验抢分专练(含解析)(完结)
2025年高考物理实验抢分专练八:验证动量守恒定律(含解析)_4.2025物理总复习_2025年新高考资料_专项复习_2025年高考物理实验抢分专练(含解析)(完结)
2025年高考物理实验抢分专练八:验证动量守恒定律(含解析)_4.2025物理总复习_2025年新高考资料_专项复习_2025年高考物理实验抢分专练(含解析)(完结)
2025年高考物理实验抢分专练八:验证动量守恒定律(含解析)_4.2025物理总复习_2025年新高考资料_专项复习_2025年高考物理实验抢分专练(含解析)(完结)
2025年高考物理实验抢分专练八:验证动量守恒定律(含解析)_4.2025物理总复习_2025年新高考资料_专项复习_2025年高考物理实验抢分专练(含解析)(完结)
2025年高考物理实验抢分专练八:验证动量守恒定律(含解析)_4.2025物理总复习_2025年新高考资料_专项复习_2025年高考物理实验抢分专练(含解析)(完结)
2025年高考物理实验抢分专练八:验证动量守恒定律(含解析)_4.2025物理总复习_2025年新高考资料_专项复习_2025年高考物理实验抢分专练(含解析)(完结)

文档信息

文档格式
docx
文档大小
0.793 MB
文档页数
24 页
上传时间
2026-03-09 16:31:20

文档内容

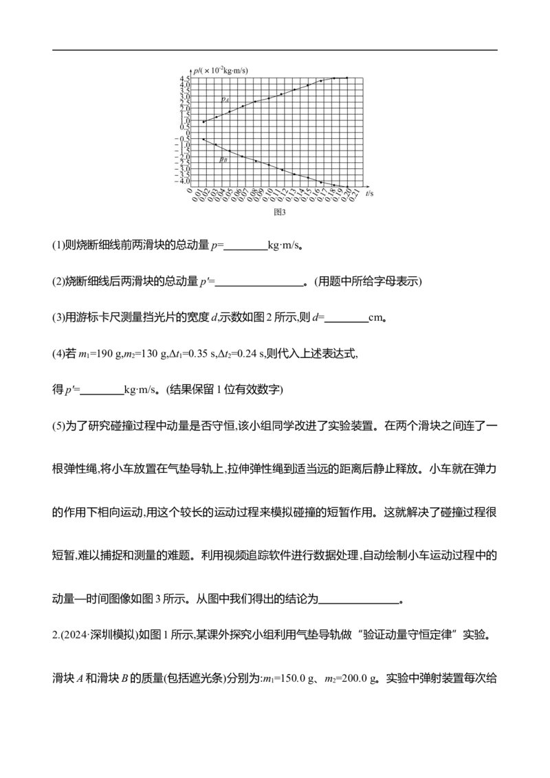
实验抢分专练(八) 验证动量守恒定律 (40分钟 50分) 1.(8分)(2023·唐山模拟)某同学用如图甲所示的装置“验证动量守恒定律”,水平气垫导轨上 放置着带有遮光板的滑块P、Q。 (1)如图乙所示,用螺旋测微器测量遮光板宽度d= mm。 (2)测得P、Q的质量分别为m 和m ,左、右遮光板的宽度分别为d 和d 。实验中,用细线将两 1 2 1 2 个滑块连接使轻弹簧压缩且静止,然后烧断细线,轻弹簧将两个滑块弹开,测得它们通过光电门 的时间分别为t 、t ,则动量守恒应满足的关系式为 1 2 (用t 、t 、d 、d 、m 、m 表示)。 1 2 1 2 1 2 (3)若左、右遮光板的宽度相同,第(2)问中动量守恒应满足的关系式简化为 (用题中字母表示)。 2.(8分)某实验小组的同学设计了如图 1所示的装置做“验证动量守恒定律”的实验,实验步 骤如下:(1)在长木板的左端固定一位移传感器(与计算机连接),并利用垫木将长木板的左端垫高,将质 量为M的滑块甲放置在木板上,反复调整垫木的位置,直到轻推滑块甲后,滑块甲沿木板向下做 匀速直线运动为止; (2)调整好垫木位置后,将滑块甲紧靠位移传感器放置,然后轻推滑块甲,滑块甲向下运动,与静 止在P点的质量为m的滑块乙(与甲的材质相同,其一侧粘有质量不计的橡皮泥)相碰并粘在一 起,再一起下滑到底端; (3)在上述过程中,通过位移传感器在计算机上获得了如图 2所示的s-t图像,由图可知,碰前滑 块甲的速度大小为 ;碰后滑块乙的速度大小为 ;(两空均用图中所给物理 量的字母表示) (4)若两滑块碰撞前后动量守恒,则需满足的表达式为 (用题干和图中所给物理量的字母表示)。 3. (8分)(2023·朝阳模拟)如图所示,某实验小组用“碰撞实验器”可以验证动量守恒定律,即研 究两个小球碰撞前后的动量关系。图中的O点为小球抛出点在记录纸上的垂直投影。实验时, 先使1球多次从斜轨上某位置S由静止释放,找到其平均落地点的位置P。然后,把半径相同的 2球静置于水平轨道的末端,再将1球从斜轨上位置S静止释放,与2球相碰后两球均落在水平 地面上,多次重复上述1球与2球相碰的过程,分别找到碰后1球和2球落点的平均位置M和 N。用刻度尺测量出水平射程OM、OP、ON。测得1球的质量为m ,2球的质量为m 。 1 2 (1)关于本实验,必须满足的条件是 。 A.斜槽轨道必须光滑以减小实验误差 B.斜槽轨道末端的切线必须水平 C.入射球和被碰球的质量必须相等 D.入射球每次必须从轨道的同一位置由静止释放 (2)本实验通过测量小球做平抛运动的水平射程来代替小球碰撞前后的速度,可行的依据是 。A.运动过程中,小球的机械能保持不变 B.平抛运动的下落高度一定,运动时间相同,水平射程与速度大小成正比 (3)当满足表达式 时,即说明两球碰撞中动量守恒。(用所测物理量表示) (4)若仅改变小球1和小球2的材质,两球碰撞时不仅得到(3)的结论,即碰撞遵守动量守恒定律, 而且满足机械能守恒定律,则根据上述信息可以推断 。 ON A. 不可能超过2 OP ON B. 可能超过3 OM C.MN与OP大小关系不确定 D.MN与OP大小关系确定,且MN=OP 4.(8分)(2023·日照模拟)用如图甲所示的装置验证“动量守恒定律”。 实验步骤如下: (1)用绳子将质量为m 和m 的小球A和B悬挂在天花板上,两绳长相等; A B (2)在A、B两球之间放入少量炸药,引爆炸药,两球反方向摆起,用量角器记录两球偏离竖直方 向的最大夹角分别为α、β; (3)多次改变炸药的量,使得小球摆起的最大角度发生变化,记录多组α、β值,以1-cosα为纵轴,1-cosβ为横轴,绘制(1-cosα)-(1-cosβ)图像,如图乙所示。 回答下列问题: (1)若两球动量守恒,应满足的表达式为 (用m 、m 、α、β表示)。 A B (2)图乙中(1-cosα)-(1-cosβ)图像的斜率为k,则A、B两球的质量之比为 。 (3)若本次实验存在一定的误差,请分析可能的原因: 。(写出两条) 5.(9分)(2023·商洛模拟)某同学打算在家中利用能找到的器材研究动量定理,如图甲所示,将小 球从竖直平面内的固定刻度尺旁边由静止释放,用手机连拍功能拍摄小球自由下落的过程。 如图乙所示,各时刻小球的位置与小球初始位置 1的距离分别为h 、h 、h 、h 、h ,已知手机 1 2 3 4 5 连拍频率为f,当地的重力加速度为g。回答下列问题: (1)小球在位置3时的瞬时速度为 (用题中所给物理量符号表示)。 (2)取小球在位置2~5的过程研究,则验证动量定理的表达式为 (用题中所给物理量符号表示)。 (3)若实验过程中发现小球所受重力的冲量大于动量的增加量,产生此问题的原因可能是。 6.(9分)(2023·大连模拟)某同学利用如图装置验证碰撞中的动量守恒定律,装置中桌面水平,一 端固定了一弹簧枪,斜面紧贴桌面,且斜面的最高点恰好与桌面相平,该同学选了两个体积相同 的钢质小球,实验步骤如下: ①用天平测出两小球的质量分别为m 和m ; 1 2 ②先不放小球2,把小球1装入固定好的弹簧枪后释放,记下小球在斜面上的落点位置,小球每 次放入弹簧枪中弹簧的压缩量均相同; ③将小球2放在斜面最高点处,把小球1装入固定好的弹簧枪后释放,使它们发生碰撞,分别记 下小球1和2在斜面上的落点位置,小球碰撞视为弹性碰撞; ④用毫米刻度尺量出各个落点位置到斜面最高点的距离,图中A、B、C点是该同学记下的小 球在斜面的落点位置,到斜面最高点的距离分别为x 、x 、x 。 1 2 3 (1)选择的水平桌面是否一定需要光滑? (选填“是”或“否”),所选小球的质量关系 是:m (选填“大于”“小于”或“等于”)m ; 1 2 (2)实验中若满足关系式 (用实验中已经测得的量表示),说明该碰撞过程满足动量守恒定律。 (3)从实验结果看动量守恒的等式可能是近似等于,请你指出一条近似等于的理由 。 【加固训练】 1.在用气垫导轨做“探究碰撞中的不变量”实验时,左侧滑块质量为m ,右侧滑块质量为 1 m ,挡光片宽度为d,两滑块之间有一压缩的弹簧片,并用细线连接两滑块让它们保持静止,如图 2 1 所示。烧断细线后,两滑块分别向左、右方向运动。挡光片通过光电门的时间分别为 Δt ,Δt 。(取向右为正方向) 1 2(1)则烧断细线前两滑块的总动量p= kg·m/s。 (2)烧断细线后两滑块的总动量p'= 。(用题中所给字母表示) (3)用游标卡尺测量挡光片的宽度d,示数如图2所示,则d= cm。 (4)若m =190 g,m =130 g,Δt =0.35 s,Δt =0.24 s,则代入上述表达式, 1 2 1 2 得p'= kg·m/s。(结果保留1位有效数字) (5)为了研究碰撞过程中动量是否守恒,该小组同学改进了实验装置。在两个滑块之间连了一 根弹性绳,将小车放置在气垫导轨上,拉伸弹性绳到适当远的距离后静止释放。小车就在弹力 的作用下相向运动,用这个较长的运动过程来模拟碰撞的短暂作用。这就解决了碰撞过程很 短暂,难以捕捉和测量的难题。利用视频追踪软件进行数据处理,自动绘制小车运动过程中的 动量—时间图像如图3所示。从图中我们得出的结论为 。 2.(2024·深圳模拟)如图1所示,某课外探究小组利用气垫导轨做“验证动量守恒定律”实验。 滑块A和滑块B的质量(包括遮光条)分别为:m =150.0 g、m =200.0 g。实验中弹射装置每次给 1 2滑块A的初速度均相同,滑块B初始处于静止状态。滑块A的遮光条两次通过光电门1的挡 光时间分别为Δt 、Δt ,滑块B的遮光条通过光电门2的挡光时间为Δt 。 1 3 2 (1)打开气泵,先取走滑块B,待气流稳定后将滑块A从气垫导轨右侧弹出,测得光电门1的时间 大于光电门2的时间,为使实验结果准确,后续的操作是 ( ) A.调高右侧底座旋钮 B.调高左侧底座旋钮 C.将光电门1向左侧移动 D.将光电门2向右侧移动 (2)如图2所示,用游标卡尺测量遮光条的宽度d,其读数为 mm; (3)经测量滑块A、B上的遮光条宽度相同,则验证动量守恒的表达式为: (用m 、m 、Δt 、Δt 、Δt 表示); 1 2 1 2 3 (4)小明同学改变实验设计继续验证动量守恒定律,他在滑块B的右端加上橡皮泥,两滑块每次 相碰后会粘在一起运动。多次改变滑块B的质量m ,记录下滑块B的遮光条每次通过光电门 2的挡光时间Δt (如表),请帮他在图3上作出m -Δt 的图像。 2 2 2 21 m /g 200 220230240 2 0 10. Δt /10-3s9.39.69.8 10.4 2 1 解析版 1.(8分)(2023·唐山模拟)某同学用如图甲所示的装置“验证动量守恒定律”,水平气垫导轨上 放置着带有遮光板的滑块P、Q。 (1)如图乙所示,用螺旋测微器测量遮光板宽度d= mm。 (2)测得P、Q的质量分别为m 和m ,左、右遮光板的宽度分别为d 和d 。实验中,用细线将两 1 2 1 2 个滑块连接使轻弹簧压缩且静止,然后烧断细线,轻弹簧将两个滑块弹开,测得它们通过光电门 的时间分别为t 、t ,则动量守恒应满足的关系式为 1 2 (用t 、t 、d 、d 、m 、m 表示)。 1 2 1 2 1 2 (3)若左、右遮光板的宽度相同,第(2)问中动量守恒应满足的关系式简化为(用题中字母表示)。 【解析】(1)遮光板的宽度为6.5 mm+36.0×0.01 mm=6.860 mm。 (2)P经过光电门的速度为v =d ,Q经过光电门的速度为v =d ,若动量守恒,则满足m ·d -m · P 1 Q 2 1 1 2 t t t 1 2 1 d =0。 2 t 2 (3)若左、右遮光板的宽度相同,第(2)问中动量守恒应满足的关系式简化为m t -m t =0。 1 2 2 1 答案:(1)6.860 (2)m ·d -m ·d =0 1 1 2 2 t t 1 2 (3)m t -m t =0 1 2 2 1 2.(8分)某实验小组的同学设计了如图 1所示的装置做“验证动量守恒定律”的实验,实验步 骤如下: (1)在长木板的左端固定一位移传感器(与计算机连接),并利用垫木将长木板的左端垫高,将质量为M的滑块甲放置在木板上,反复调整垫木的位置,直到轻推滑块甲后,滑块甲沿木板向下做 匀速直线运动为止; (2)调整好垫木位置后,将滑块甲紧靠位移传感器放置,然后轻推滑块甲,滑块甲向下运动,与静 止在P点的质量为m的滑块乙(与甲的材质相同,其一侧粘有质量不计的橡皮泥)相碰并粘在一 起,再一起下滑到底端; (3)在上述过程中,通过位移传感器在计算机上获得了如图 2所示的s-t图像,由图可知,碰前滑 块甲的速度大小为 ;碰后滑块乙的速度大小为 ;(两空均用图中所给物理 量的字母表示) (4)若两滑块碰撞前后动量守恒,则需满足的表达式为 (用题干和图中所给物理量的 字母表示)。 【解析】(3)滑块甲与滑块乙碰撞前做匀速直线运动,根据s-t图像可知,图中的0~t 段图像的斜 1 率为滑块甲的碰前速度:v=s 。甲、乙碰后粘在一起做匀速直线运动,图中的t ~t 段图像的斜 1 2 3 t 1 率为碰后滑块甲、乙的速度:v =s -s 。 乙 3 2 t -t 3 2 (4)滑块甲和滑块乙碰前的总动量为p =Ms ,碰后的总动量为p =(m+M)·s -s ,故两滑块碰撞前 1 1 2 3 2 t t -t 1 3 2后验证动量守恒定律的表达式为M·s =(m+M)·s -s 。 1 3 2 t t -t 1 3 2 答案:(3)s s -s 1 3 2 t t -t 1 3 2 (4)M·s =(m+M)·s -s 1 3 2 t t -t 1 3 2 3. (8分)(2023·朝阳模拟)如图所示,某实验小组用“碰撞实验器”可以验证动量守恒定律,即研 究两个小球碰撞前后的动量关系。图中的O点为小球抛出点在记录纸上的垂直投影。实验时, 先使1球多次从斜轨上某位置S由静止释放,找到其平均落地点的位置P。然后,把半径相同的 2球静置于水平轨道的末端,再将1球从斜轨上位置S静止释放,与2球相碰后两球均落在水平 地面上,多次重复上述1球与2球相碰的过程,分别找到碰后1球和2球落点的平均位置M和 N。用刻度尺测量出水平射程OM、OP、ON。测得1球的质量为m ,2球的质量为m 。 1 2 (1)关于本实验,必须满足的条件是 。 A.斜槽轨道必须光滑以减小实验误差 B.斜槽轨道末端的切线必须水平 C.入射球和被碰球的质量必须相等D.入射球每次必须从轨道的同一位置由静止释放 (2)本实验通过测量小球做平抛运动的水平射程来代替小球碰撞前后的速度,可行的依据是 。 A.运动过程中,小球的机械能保持不变 B.平抛运动的下落高度一定,运动时间相同,水平射程与速度大小成正比 (3)当满足表达式 时,即说明两球碰撞中动量守恒。(用所测物理量表示) (4)若仅改变小球1和小球2的材质,两球碰撞时不仅得到(3)的结论,即碰撞遵守动量守恒定律, 而且满足机械能守恒定律,则根据上述信息可以推断 。 ON A. 不可能超过2 OP ON B. 可能超过3 OM C.MN与OP大小关系不确定 D.MN与OP大小关系确定,且MN=OP 【解析】(1)轨道不光滑,只要从同一高度释放,两次摩擦力做的负功相同,小球到达轨道末端速 度依然相同,所以轨道不需要光滑,故A错误;本实验要通过平抛运动验证动量守恒定律,所以轨 道末端的切线必须水平,以保证小球做平抛运动,故B正确;为避免入射小球反弹,要保证入射小 球质量大于被碰小球质量,C错误。为了保证两次入射小球到达轨道末端具有相同的速度,两 次入射小球需从同一位置由静止释放,D正确。1 √2h √2h (2)小球做平抛运动的过程,有h= gt2,x=vt,整理解得t= ,x=v ,发现平抛运动的下落高度 2 g g 一定,运动时间相同,水平射程与速度大小成正比,故选B。 (3)由题意,碰撞前后动量守恒,则m v =m v '+m v ',三个平抛运动的高度相同,则可用平抛的水平 1 1 1 1 2 2 位移来表示,所以要验证的表达式为m ·OP=m ·OM+m ·ON。 1 1 2 (4)若碰撞前后还遵守机械能守恒定律,即发生的是弹性碰撞,则由两个守恒定律可得 m v =m v '+m v ',1m =1m v +1m v ,解得v '=m -m v ,v '= 2m v 1 1 1 1 2 2 1v2 1 '2 2 '2 1 1 2 1 2 1 1 2 1 2 1 2 2 m +m m +m 1 2 1 2 将两式的m 移到左边后相除得v +v '=v ',用水平位移表示速度可得OP+OM=ON,此式有两种 1 1 1 2 可能 OP+OM=OP+PN 或 OP+OM=OM+MN,所以有 OM=PN 或 OP=MN,C 错误,D 正确;由于 ON OM ON ON OP ON =(1+ )<2,所以 不可能超过2,A正确; =(1+ )>2,故 有可能超过3,B正确。 OP OP OP OM OM OM 答案:(1)B、D (2)B (3)m ·OP=m ·OM+m ·ON (4)A、B、D 1 1 2 4.(8分)(2023·日照模拟)用如图甲所示的装置验证“动量守恒定律”。 实验步骤如下: (1)用绳子将质量为m 和m 的小球A和B悬挂在天花板上,两绳长相等; A B (2)在A、B两球之间放入少量炸药,引爆炸药,两球反方向摆起,用量角器记录两球偏离竖直方向的最大夹角分别为α、β; (3)多次改变炸药的量,使得小球摆起的最大角度发生变化,记录多组α、β值,以1-cosα为纵 轴,1-cosβ为横轴,绘制(1-cosα)-(1-cosβ)图像,如图乙所示。 回答下列问题: (1)若两球动量守恒,应满足的表达式为 (用m 、m 、α、β表示)。 A B (2)图乙中(1-cosα)-(1-cosβ)图像的斜率为k,则A、B两球的质量之比为 。 (3)若本次实验存在一定的误差,请分析可能的原因: 。(写出两条) 【解析】(1)设绳长为L,A、B两球爆炸后由动能定理得 1 1 -m g(L-Lcosα)=0- m v2,-m g(L-Lcosβ)=0- m v2,由动量守恒定律得m v =m v , A 2 A 1 B 2 B 2 A 1 B 2 联立解得m √1-cosα=m √1-cosβ。 A B (2)整理 m =m 可得 1-cosα=(m )2(1-cosβ),所以(1-cosα)-(1-cosβ)图像的斜率 A√1-cosα B√1-cosβ B m A k=(m B )2,则A、B两球的质量之比为m A =√1。 m m k A B (3)若本次实验存在一定的误差,可能的原因有:用量角器测量角度时测量不准确;小球爆炸后运 动过程中存在空气阻力,可能会影响角度的大小。 答案:(1)m √1-cosα=m √1-cosβ A B √1 (2) (3)用量角器测量角度时测量不准确;小球爆炸后运动过程中存在空气阻力,可能会影 k响角度的大小 5.(9分)(2023·商洛模拟)某同学打算在家中利用能找到的器材研究动量定理,如图甲所示,将小 球从竖直平面内的固定刻度尺旁边由静止释放,用手机连拍功能拍摄小球自由下落的过程。 如图乙所示,各时刻小球的位置与小球初始位置 1的距离分别为h 、h 、h 、h 、h ,已知手机 1 2 3 4 5 连拍频率为f,当地的重力加速度为g。回答下列问题: (1)小球在位置3时的瞬时速度为 (用题中所给物理量符号表示)。 (2)取小球在位置2~5的过程研究,则验证动量定理的表达式为 (用题中所给物理量符号表示)。 (3)若实验过程中发现小球所受重力的冲量大于动量的增加量,产生此问题的原因可能是 。 【解析】(1)根据匀变速直线运动中间时刻的瞬时速度等于这段时间的平均速度,则有 h -h (h -h )f v = 3 1= 3 1 。 3 2T 2 1 h (2)动量定理表达式为F t=mv -mv ,在位置2~5的过程中,有mg·3T=mv -mv ,其中T= ,v = 2 = 合 5 2 5 2 f 2 2Th f ,v =h -h =(h -h )f ,解得3g=(h -h )f -h f 。 2 5 5 3 5 3 5 3 2 2 2T 2 f 2 2 (3)小球下落过程中,由于空气阻力的影响,小球所受重力的冲量大于动量的增加量。 (h -h )f 3g (h -h )f h f 答案:(1) 3 1 (2) = 5 3 - 2 (3)空气阻力影响 2 f 2 2 6.(9分)(2023·大连模拟)某同学利用如图装置验证碰撞中的动量守恒定律,装置中桌面水平,一 端固定了一弹簧枪,斜面紧贴桌面,且斜面的最高点恰好与桌面相平,该同学选了两个体积相同 的钢质小球,实验步骤如下: ①用天平测出两小球的质量分别为m 和m ; 1 2 ②先不放小球2,把小球1装入固定好的弹簧枪后释放,记下小球在斜面上的落点位置,小球每 次放入弹簧枪中弹簧的压缩量均相同; ③将小球2放在斜面最高点处,把小球1装入固定好的弹簧枪后释放,使它们发生碰撞,分别记 下小球1和2在斜面上的落点位置,小球碰撞视为弹性碰撞; ④用毫米刻度尺量出各个落点位置到斜面最高点的距离,图中A、B、C点是该同学记下的小 球在斜面的落点位置,到斜面最高点的距离分别为x 、x 、x 。 1 2 3 (1)选择的水平桌面是否一定需要光滑? (选填“是”或“否”),所选小球的质量关系是:m (选填“大于”“小于”或“等于”)m ; 1 2 (2)实验中若满足关系式 (用实验中已经测得的量表示),说明该碰撞过程满足 动量守恒定律。 (3)从实验结果看动量守恒的等式可能是近似等于,请你指出一条近似等于的理由 。 【解析】(1)本实验要求小球1每次到水平桌面末端的速度大小相同即可,水平桌面的粗糙程 度对此不影响,所以不一定需要光滑。本实验要求小球 1碰后也要做平抛运动落在斜面上,不 能反弹,所以m >m 。(2)由平抛运动规律 xsinθ=1gt2,xcosθ=v t,联立可得 v =√gxcos2θ,小球1 1 2 0 0 2 2sinθ 碰前落在B点,小球1碰后落在A点,小球2碰后落在C点,故由动量守恒定律m v =m v '+m v ', 1 1 1 1 2 2 代入可得m =m +m 。(3)可能是小球落点的点迹大,导致测量x时出现误差;也可能 1√x 1√x 2√x 2 1 3 是读数误差;也可能是由于存在空气阻力造成的误差。 答案:(1)否 大于 (2)m =m +m (3)小球落点的点迹大,导致测量x时出现误差(或 1√x 1√x 2√x 2 1 3 读数误差或空气阻力造成的误差) 【加固训练】 1.在用气垫导轨做“探究碰撞中的不变量”实验时,左侧滑块质量为m ,右侧滑块质量为 1 m ,挡光片宽度为d,两滑块之间有一压缩的弹簧片,并用细线连接两滑块让它们保持静止,如图 21 所示。烧断细线后,两滑块分别向左、右方向运动。挡光片通过光电门的时间分别为 Δt ,Δt 。(取向右为正方向) 1 2 (1)则烧断细线前两滑块的总动量p= kg·m/s。 (2)烧断细线后两滑块的总动量p'= 。(用题中所给字母表示) (3)用游标卡尺测量挡光片的宽度d,示数如图2所示,则d= cm。 (4)若m =190 g,m =130 g,Δt =0.35 s,Δt =0.24 s,则代入上述表达式, 1 2 1 2 得p'= kg·m/s。(结果保留1位有效数字) (5)为了研究碰撞过程中动量是否守恒,该小组同学改进了实验装置。在两个滑块之间连了一根弹性绳,将小车放置在气垫导轨上,拉伸弹性绳到适当远的距离后静止释放。小车就在弹力 的作用下相向运动,用这个较长的运动过程来模拟碰撞的短暂作用。这就解决了碰撞过程很 短暂,难以捕捉和测量的难题。利用视频追踪软件进行数据处理,自动绘制小车运动过程中的 动量—时间图像如图3所示。从图中我们得出的结论为 。 【解析】(1)烧断细线前,两滑块的初速度均为0,所以系统的初动量为0。 d d (2)根据题意可知,烧断细线后,系统的末动量为p'=-m +m 。 1Δt 2Δt 1 2 (3)根据游标卡尺的读数规则,读数为30.0 mm+0.05 mm×0=30.00 mm=3.000 cm。 (4)将题中所给数据代入(2)中表达式,可得p'=-0.000 04 kg·m/s。 (5)观察图像发现:在误差允许范围内,两滑块碰撞过程中动量守恒。 d d 答案:(1)0 (2) -m +m 1Δt 2Δt 1 2 (3)3.000 (4)-0.000 04 (5)在误差允许范围内,两滑块碰撞过程中动量守恒 2.(2024·深圳模拟)如图1所示,某课外探究小组利用气垫导轨做“验证动量守恒定律”实验。 滑块A和滑块B的质量(包括遮光条)分别为:m =150.0 g、m =200.0 g。实验中弹射装置每次给 1 2 滑块A的初速度均相同,滑块B初始处于静止状态。滑块A的遮光条两次通过光电门1的挡 光时间分别为Δt 、Δt ,滑块B的遮光条通过光电门2的挡光时间为Δt 。 1 3 2(1)打开气泵,先取走滑块B,待气流稳定后将滑块A从气垫导轨右侧弹出,测得光电门1的时间 大于光电门2的时间,为使实验结果准确,后续的操作是 ( ) A.调高右侧底座旋钮 B.调高左侧底座旋钮 C.将光电门1向左侧移动 D.将光电门2向右侧移动 (2)如图2所示,用游标卡尺测量遮光条的宽度d,其读数为 mm; (3)经测量滑块A、B上的遮光条宽度相同,则验证动量守恒的表达式为: (用m 、m 、Δt 、Δt 、Δt 表示); 1 2 1 2 3 (4)小明同学改变实验设计继续验证动量守恒定律,他在滑块B的右端加上橡皮泥,两滑块每次 相碰后会粘在一起运动。多次改变滑块B的质量m ,记录下滑块B的遮光条每次通过光电门 2 的挡光时间Δt (如表),请帮他在图3上作出m -Δt 的图像。 2 2 2 21 m /g 200 220230240 2 0 Δt /10-3s9.39.69.8 10.10.4 21 【解析】(1)测得光电门1的时间大于光电门2的时间,说明气垫导轨没在水平线上,向左倾斜, 滑块A做加速运动,因此应该调高左侧底座旋钮,使气垫导轨水平,故选B; (2)由题图2知,游标卡尺主尺刻度为14 mm,游标尺第8刻度与主尺某一刻度对齐,故游标卡尺 读数为d=14+0.1×8=14.8 mm; (3)根据动量守恒可得m v =m v -m v ,对于光电门v= d ,则验证动量守恒的表达式为 m = m - 1 1 2 2 1 3 1 2 Δt Δt Δt 1 2 m ; 1 Δt 3 (4)根据表格数据作出m -Δt 图像: 2 2 答案:(1)B (2)14.8 (3) m = m - m (4)m -Δt 图像见解析 1 2 1 2 2 Δt Δt Δt 1 2 3