当前位置:首页>文档>专题05《第三篇思想方法篇》模拟测试卷解析版_2.2025数学总复习_2023年新高考资料_二轮复习_备战2023年高考数学二轮复习考点精讲练(新教材·新高考)

专题05《第三篇思想方法篇》模拟测试卷解析版_2.2025数学总复习_2023年新高考资料_二轮复习_备战2023年高考数学二轮复习考点精讲练(新教材·新高考)

  • 2026-04-03 10:34:31 2026-03-11 15:51:04

文档预览

专题05《第三篇思想方法篇》模拟测试卷解析版_2.2025数学总复习_2023年新高考资料_二轮复习_备战2023年高考数学二轮复习考点精讲练(新教材·新高考)
专题05《第三篇思想方法篇》模拟测试卷解析版_2.2025数学总复习_2023年新高考资料_二轮复习_备战2023年高考数学二轮复习考点精讲练(新教材·新高考)
专题05《第三篇思想方法篇》模拟测试卷解析版_2.2025数学总复习_2023年新高考资料_二轮复习_备战2023年高考数学二轮复习考点精讲练(新教材·新高考)
专题05《第三篇思想方法篇》模拟测试卷解析版_2.2025数学总复习_2023年新高考资料_二轮复习_备战2023年高考数学二轮复习考点精讲练(新教材·新高考)
专题05《第三篇思想方法篇》模拟测试卷解析版_2.2025数学总复习_2023年新高考资料_二轮复习_备战2023年高考数学二轮复习考点精讲练(新教材·新高考)
专题05《第三篇思想方法篇》模拟测试卷解析版_2.2025数学总复习_2023年新高考资料_二轮复习_备战2023年高考数学二轮复习考点精讲练(新教材·新高考)
专题05《第三篇思想方法篇》模拟测试卷解析版_2.2025数学总复习_2023年新高考资料_二轮复习_备战2023年高考数学二轮复习考点精讲练(新教材·新高考)
专题05《第三篇思想方法篇》模拟测试卷解析版_2.2025数学总复习_2023年新高考资料_二轮复习_备战2023年高考数学二轮复习考点精讲练(新教材·新高考)
专题05《第三篇思想方法篇》模拟测试卷解析版_2.2025数学总复习_2023年新高考资料_二轮复习_备战2023年高考数学二轮复习考点精讲练(新教材·新高考)
专题05《第三篇思想方法篇》模拟测试卷解析版_2.2025数学总复习_2023年新高考资料_二轮复习_备战2023年高考数学二轮复习考点精讲练(新教材·新高考)
专题05《第三篇思想方法篇》模拟测试卷解析版_2.2025数学总复习_2023年新高考资料_二轮复习_备战2023年高考数学二轮复习考点精讲练(新教材·新高考)
专题05《第三篇思想方法篇》模拟测试卷解析版_2.2025数学总复习_2023年新高考资料_二轮复习_备战2023年高考数学二轮复习考点精讲练(新教材·新高考)
专题05《第三篇思想方法篇》模拟测试卷解析版_2.2025数学总复习_2023年新高考资料_二轮复习_备战2023年高考数学二轮复习考点精讲练(新教材·新高考)
专题05《第三篇思想方法篇》模拟测试卷解析版_2.2025数学总复习_2023年新高考资料_二轮复习_备战2023年高考数学二轮复习考点精讲练(新教材·新高考)
专题05《第三篇思想方法篇》模拟测试卷解析版_2.2025数学总复习_2023年新高考资料_二轮复习_备战2023年高考数学二轮复习考点精讲练(新教材·新高考)
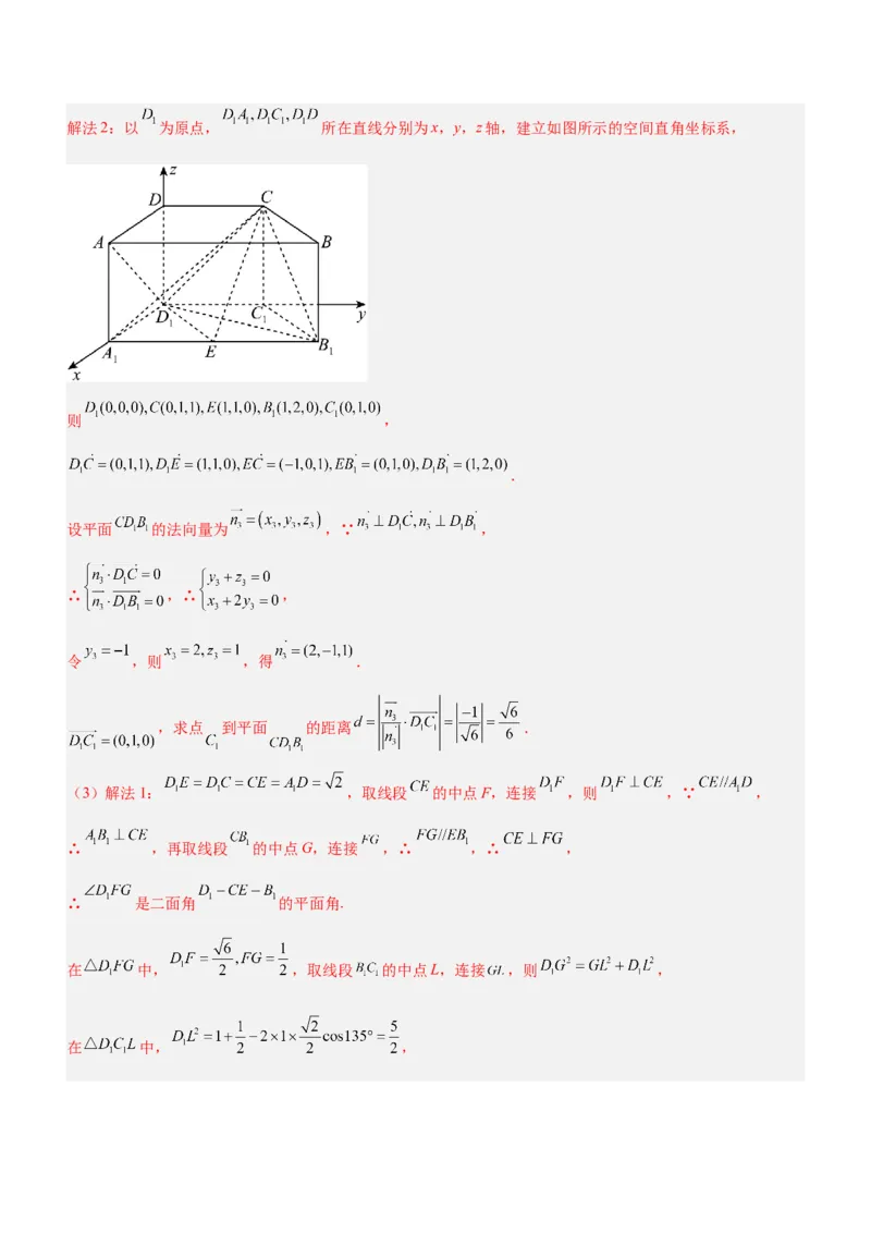
专题05《第三篇思想方法篇》模拟测试卷解析版_2.2025数学总复习_2023年新高考资料_二轮复习_备战2023年高考数学二轮复习考点精讲练(新教材·新高考)
专题05《第三篇思想方法篇》模拟测试卷解析版_2.2025数学总复习_2023年新高考资料_二轮复习_备战2023年高考数学二轮复习考点精讲练(新教材·新高考)
专题05《第三篇思想方法篇》模拟测试卷解析版_2.2025数学总复习_2023年新高考资料_二轮复习_备战2023年高考数学二轮复习考点精讲练(新教材·新高考)
专题05《第三篇思想方法篇》模拟测试卷解析版_2.2025数学总复习_2023年新高考资料_二轮复习_备战2023年高考数学二轮复习考点精讲练(新教材·新高考)
专题05《第三篇思想方法篇》模拟测试卷解析版_2.2025数学总复习_2023年新高考资料_二轮复习_备战2023年高考数学二轮复习考点精讲练(新教材·新高考)
专题05《第三篇思想方法篇》模拟测试卷解析版_2.2025数学总复习_2023年新高考资料_二轮复习_备战2023年高考数学二轮复习考点精讲练(新教材·新高考)
专题05《第三篇思想方法篇》模拟测试卷解析版_2.2025数学总复习_2023年新高考资料_二轮复习_备战2023年高考数学二轮复习考点精讲练(新教材·新高考)
专题05《第三篇思想方法篇》模拟测试卷解析版_2.2025数学总复习_2023年新高考资料_二轮复习_备战2023年高考数学二轮复习考点精讲练(新教材·新高考)
专题05《第三篇思想方法篇》模拟测试卷解析版_2.2025数学总复习_2023年新高考资料_二轮复习_备战2023年高考数学二轮复习考点精讲练(新教材·新高考)
专题05《第三篇思想方法篇》模拟测试卷解析版_2.2025数学总复习_2023年新高考资料_二轮复习_备战2023年高考数学二轮复习考点精讲练(新教材·新高考)
专题05《第三篇思想方法篇》模拟测试卷解析版_2.2025数学总复习_2023年新高考资料_二轮复习_备战2023年高考数学二轮复习考点精讲练(新教材·新高考)
专题05《第三篇思想方法篇》模拟测试卷解析版_2.2025数学总复习_2023年新高考资料_二轮复习_备战2023年高考数学二轮复习考点精讲练(新教材·新高考)
专题05《第三篇思想方法篇》模拟测试卷解析版_2.2025数学总复习_2023年新高考资料_二轮复习_备战2023年高考数学二轮复习考点精讲练(新教材·新高考)
专题05《第三篇思想方法篇》模拟测试卷解析版_2.2025数学总复习_2023年新高考资料_二轮复习_备战2023年高考数学二轮复习考点精讲练(新教材·新高考)
专题05《第三篇思想方法篇》模拟测试卷解析版_2.2025数学总复习_2023年新高考资料_二轮复习_备战2023年高考数学二轮复习考点精讲练(新教材·新高考)
专题05《第三篇思想方法篇》模拟测试卷解析版_2.2025数学总复习_2023年新高考资料_二轮复习_备战2023年高考数学二轮复习考点精讲练(新教材·新高考)
专题05《第三篇思想方法篇》模拟测试卷解析版_2.2025数学总复习_2023年新高考资料_二轮复习_备战2023年高考数学二轮复习考点精讲练(新教材·新高考)
专题05《第三篇思想方法篇》模拟测试卷解析版_2.2025数学总复习_2023年新高考资料_二轮复习_备战2023年高考数学二轮复习考点精讲练(新教材·新高考)

文档信息

文档格式
docx
文档大小
1.918 MB
文档页数
33 页
上传时间
2026-03-11 15:51:04

文档内容

第三篇 思想方法篇 专题 05 模拟测试卷(新高考地区专用) 注意事项: 1.答卷前,考生务必将自己的姓名、考生号等填写在答题卡和试卷指定位置上。 2.回答选择题时,选出每小题答案后,用铅笔把答题卡对应题目的答案标号涂黑。如需改动,用橡皮擦干净 后,再选涂其他答案标号。回答非选择题时,将答案写在答题卡上。写在本试卷上无效。 3.考试结束后,将本试卷和答题卡一并交回。 一、单项选择题:本题共8小题,每小题5分,共40分。在每小题给出的四个选项中,只有一项是符合题目 要求的。 1.(2023春·浙江绍兴·高三统考开学考试)已知集合 ,则 ( ) A. B. C. D. 【答案】D 【分析】根据一元二次不等式,解得集合,利用并集,可得答案. 【详解】由不等式 ,整理可得 ,解得 ,则 ; . 故选:D. 2.(2022秋·浙江绍兴·高三统考期末)已知 为虚数单位,复数 满足 ,则复数 在复平面内对应的 点位于( ) A.第一象限 B.第二象限 C.第三象限 D.第四象限 【答案】D 【分析】根据题意求出复数 ,即可确定点的位置. 【详解】由 可知, ,所以复数 在复平面内对应的点的坐标为 ,故点位于第四象限, 故选:D. 3.(2023秋·贵州贵阳·高三统考期末)在 中, , 是 边上的中线,且 , , 则 ( ) A. B.5 C. D.8 【答案】B 【分析】由题意,根据三角形的性质,结合向量的加法几何意义以及数量积的运算律,可得答案. 【详解】由题意如图所示: 由 ,所以 又 ,所以 为 的中点, 所以 , 所以 , 故选:B. 4.(2022秋·安徽阜阳·高三安徽省临泉第一中学校考期末)在古希腊数学家阿基米德的墓碑上刻有一个令他 最引以为傲的几何图案.该几何图案是内部嵌入一个内切球的圆柱,且该圆柱底面圆的直径与高相等,则该圆 柱的内切球与外接球的体积之比为( ) A. B. C. D. 【答案】B 【分析】设圆柱高为 ,底面半径为 ,圆柱内切球半径为 ,外接球半径为 ,得出 , , , 之间的关 系,由球的体积公式求出圆柱内切球与外接球的体积之比.【详解】该圆柱的内切球和外接球的截面图如下图所示, 设圆柱高为 ,底面半径为 ,圆柱内切球半径为 , 外接球半径为 ,则 , , , , , 圆柱内切球与外接球的体积之比为 . 故选:B 5.(2023·全国·模拟预测)我国古人智慧体现在建筑学上的成就颇多,著名的太和殿的一角中所体现了中国 古人智慧中的“七踩斗拱”技术,内分为“头”和“拱”.具体介绍为“七踩斗拱有头翘一件,头昂后带翘头 一件,昂后带六分头一件.蚂蚱头后带菊花头一件,撑头木后带麻叶头一件;正心瓜拱、正心万拱各一件,外 拽单材瓜拱、单材万拱各两件,厢供一件.”若从“翘头、六分头、菊花头、麻叶头”中选择1个,从“单材 瓜拱、单材万拱、正心瓜拱、正心万拱、厢供一件”中选择2个,则“单材瓜拱”与“麻叶头”同时被选上的 概率为( ) A. B. C. D. 【答案】C 【分析】根据组合知识求解可得. 【详解】从“翘头、六分头、菊花头、麻叶头”中选择1个,从“单材瓜拱、单材万拱、正心瓜拱、正心万拱、 厢供一件”中选择2个共有 种取法, 满足条件的取法共有 ,故“单材瓜拱”与“麻叶头”同时被选上的概率为 . 故选:C6.(2023秋·浙江绍兴·高三期末)已知函数 对任意 都有 ,则当 取到最大值时, 的一个对称中心为( ) A. B. C. D. 【答案】C 【分析】由 的取值范围求出 的范围,根据 ,即可求出 的范围,即可得到 的最大值,最后 根据正弦函数的性质计算可得. 【详解】解: , , , , ,所以 的最大值为 , 当 时 ,令 ,解得 , 所以函数的对称中心为 , , 所以函数的一个对称中心为 . 故选:C. 7.(2023·湖北·校联考模拟预测)设 ,则下列关系正确的是( ) A. B. C. D. 【答案】C 【分析】将三个值中的共同量0.05用变量替换,构造函数,利用导数研究相应函数的单调性,进而比较大小. 【详解】记 ,因为 ,当 时, ,所以 在 上单调递增, 则当 时, ,即 ,取 ,所以 ,记 ,因为 ,所以 在 上单调递减, 则当 时, ,即 ,取 ,所以 ,故 ,即 ; 记 ,因为 ,当 时, ,所以 在 上单调递增, 所以当 时, ,即 ,取 ,所以 ,即 ; 所以 . 故选:C. 8.(2023·四川·校联考一模)已知球 的半径为2,四棱锥 的顶点均在球 的球面上, 面 ,则该四棱锥的体积的最大值为( ) A. B.4 C. D.8 【答案】C 【分析】底面四边形 所在圆面的圆心为 ,设其半径为 ,利用外接圆的集合性质确定底面积的最大 值,设 ,根据球的几何性质得 的等式关系,再利用函数结合导数即可求出四棱锥的体积的最大值. 【详解】四棱锥 中,因为 面 ,设 ,球 的半径 , 如下图:底面四边形 所在圆面的圆心为 ,设其半径为 ,连接 , 则底面四边形 的面积为: ,且 ,则 , 当且仅当 时,即底面四边形 为正方形时,底面积最 大,即 , 又如下图,因为 面 ,所以 圆 ,设 为圆 的直径,连接 由球的性质可得, 圆 ,即 ,所以 所以 ,则 ,所以 , 则该四棱锥的体积 ,又 ,设 , 则 得 或 (舍),故 在 上单调递增,在 上单调递 减, 所以 ,故当 时,该四棱锥的体积取到最大值为 . 故选:C. 二、多项选择题:本题共4小题,每小题5分,共20分.在每小题给出的选项中,有多项符合题目要求,全 部选对的得5分,部分选对的得2分,有选错的得0分. 9.(2023秋·山东菏泽·高三统考期末)若 ,则下列不等式中成立的是( )A. B. C. D. 【答案】AC 【分析】根据指数函数以及幂函数的单调性可判断A;举反例可判断 ;根据 的特征,构造函数 ,利用其单调性可得 ,可判断 ,判断C. 【详解】由于 ,故 为R上单调增函数, 所以 ,而 是 上的增函数,故 , 所以 ,A正确; 取 满足 ,但 ,B错误; 设 ,则 , 由于 ,故 ,即 是 上的增函数, 故 , 由于 ,则 ,故 ,C正确; 取 ,满足 ,而 ,故D错误, 故选: 10.(2023秋·辽宁锦州·高三统考期末)已知正方体 的棱长为1, 是线段 上的动点,则 下列说法正确的是,( ) A.存在点 使 B.点 到平面 的距离为 C. 的最小值是 D.三棱锥 的体积为定值【答案】AD 【分析】建立空间直角坐标系,利用向量法对选项进行分析,从而确定正确答案. 【详解】以 为原点建立如图所示空间直角坐标系, , 设 , ,当 时, , 此时 与 重合,所以A选项正确. 设平面 的法向量为 , 则 ,故可设 , 所以点 到平面 的距离为 ,B选项错误. , , , 所以当 时, 取得最小值为 ,C选项错误. ,为定值,D选项正确. 故选:AD11.(2023·安徽淮北·统考一模)已知曲线 ,直线l过点 交 于A,B两点,下列命题正确 的有( ) A.若A点横坐标为8,则 B.若 ,则 的最小值为6 C.原点O在AB上的投影的轨迹与直线 有且只有一个公共点 D.若 ,则以线段AB为直径的圆的面积是 【答案】BCD 【分析】对A选项将点的横坐标代入,求出点A的坐标,进而求出直线方程,联立直线及抛物线方程,由弦 长 即可求出弦长;对B选项作图可知,过点A作准线的垂线,垂足为 ,当 三点共线 时 取最小值,即可求得最小值;对C选项根据题意,得出原点O在AB上的投影的轨迹,联立方程 由判别式即可判断公共点的个数;对D选项设出AB直线方程,联立直线与抛物线方程,由结合 得 出直线方程,再由弦长公式计算出线段AB的长度即可判断 【详解】对于A,易得 是抛物线 的焦点, 若A点横坐标为8,则 ,即 或 ,根据抛物线的对称性可得两种情况计算出的 相同,再此取 计算. 所以l的直线方程是 即 , 直线与 相交,联立方程得 , , 得 , ,故A错误; 对于B,过点A作准线的垂线,垂足为 ,则 ,当 三点共线时 取最小 值,此时最小值为 ,故B正确; 对于C,设原点 在直线 上的投影为 , 的中点为 , 因为 ,所以 ,所以 为直角三角形,所以 , 根据几何性质及圆的定义可知点 的轨迹方程为 ,联立 得 , 解得 ,所以直线 与 只有一个交点,故C正确;对于D,设直线 的方程为 ,联立 得 所以 , 因为 ,而 ,所以 , 所以 ,所以 所以 ,解得 , 则 , 所以 , ,所以以线段AB为直径的圆的面积是 ,故D正确. 故选:BCD. 12.(2022秋·浙江绍兴·高三统考期末)设定义在 上的函数 的导函数分别为 ,若 ,且 为偶函数,则下列说法中正确的是( ) A. B. 的图象关于 对称 C. D.函数 为周期函数,且周期为8 【答案】AD【分析】对于A项,根据 为偶函数求出 的表达式,然后给 的表达式两边求导,然后取特 值求解; 对于D项,根据 找到 与 的关系,根据A项 的表达式得到 的周期; 对于C项,根据 的表达式,令特值求解即可. 对于B项,根据 ,且 为偶函数求出一个周期内仅有的两条 对称轴,得结果. 【详解】对于A 项, 为偶函数 令 ,则 ,故A正确; 对于D 项, 用 代替原来的 得: ① 又 是偶函数 用 代替原来的 得: ② 由①②结合得: ③ 又用 代替原来的 得: ④ 由③④联立得: ⑤ 用 代替原来的 得: ⑥ ⑥ ⑤得: ,所以函数 为周期函数,且周期为8, 用 代替原来的 得: ⑦ 用 代替原来的 得: ⑧ 用 代替原来的 得: ⑨ 结合⑦⑧⑨得 , 用 代替原来的 得: , 所以函数 为周期函数,且周期为8,故D正确; 对于C 项, 为满足题意的一组解, 但 ,故C错误. 对于B项,因为 为满足题意的一组解, 但 不关于 对称,所以B错误. 故选:AD 三、填空题:本题共4小题,每小题5分,共20分. 13.(2023·广东梅州·统考一模) 展开式中 的系数为___________. 【答案】40 【分析】易知展开式中 项的系数是由两部分组成,分别求出再相加即可得出结果. 【详解】根据题意可知,展开式中含 的项为 和 两部分;所以展开式中 的系数为 . 故答案为:40 14.(2023春·全国·高三校联考开学考试)已知平面内三点 , , ,P为该平面内一动 点,且满 ,则 最大值的余弦值为________. 【答案】 【分析】根据题意分析可得动点P的轨迹是以 为圆心,半径 的圆,结合圆的性质可得当直线AP 与圆M相切时, 取得最大值,运算求解. 【详解】由题意可知: ,且 ,则 , 设点 , 因为 ,则 ,整理可得 , 所以动点P的轨迹是以 为圆心,半径 的圆, ∵ ,则点A,C在圆M的外部, 如图,当直线AP与圆M相切时, 取得最大值, 此时 ,且 ,则 ,即 的最大值为 , 故 最大值的余弦值为 .故答案为: . 15.(2023春·江苏南京·高三南京师大附中校考开学考试)已知F,F 分别为双曲线C: 1 2 的左右焦点,过点F 且斜率存在的直线L与双曲线C的渐近线相交于AB两点,且点 1 AB在x轴的上方,AB两个点到x轴的距离之和为 ,若 ,则双曲线的离心率________ 【答案】 【分析】根据 得 为直角三角形,进而根据点差法得中点弦的性质即可求解. 【详解】设 , ,设 的中点为 , 由于 ,故 ,因此 为直角三角形,故 , 由于 ,所以 ,进而可得 ,故 或 , 由 在双曲线渐近线上,所以 ,进而 , 当 时, , ,所以 , 当 时, , ,所以 不符合题意,舍去, 综上:故离心率为 , 故答案为: 16.(2023春·河北石家庄·高三石家庄二中校考开学考试)已知 ,若过点 的动直线 与 有三个不同交点,自左向右分别为 ,则线段 的中点纵坐标的取值范围为__________. 【答案】 【分析】将直线 与 的方程联立,化简后得到关于 的一元二次方程,利用韦达定理、中点坐标公式即可 得线段 的中点横坐标,再求出过点 的两条切线,结合图像,即可求得线段 的中点纵坐标的取值 范围.【详解】设 , ,线段 的中点 , ,易得 在 上, 由 ,得 , 故 , 为方程 的两个根,所以 ,故点 在直线 上, , ,解得 或 ; ,解得 , ∴ 在 和 上单调递增,在 上单调递减, , , 过 作 的切线,设切点坐标为 , 则有 ,即 ,解得 , 此时切线斜率 ,切线方程为 . 又 ,则 点处的切线方程 . 如图所示, 两条切线与 的交点纵坐标分别为 , , 故 .故答案为: . 【点睛】本题考查利用导数求函数的切线方程,辨析清楚“在点”与“过点”的切线方程的求法是解题的关键. 四、解答题:本题共6小题,共70分.解答应写出文字说明、证明过程或演算步骤. 17.(2023·山东日照·统考一模)在数列 中, . (1)求 的通项公式; (2)证明: . 【答案】(1) (2)证明见解析 【分析】(1)令 可求得 的值,令 ,由 可得 ,两式作差可得出 的表达式,再验证 的值是否满足 的表达式,综 合可得出数列 的通项公式; (2)计算得出 ,利用裂项相消法求出数列 的前 项和,即可证得结论 成立. 【详解】(1)解:因为 ,① 则当 时, ,即 , 当 时, ,② ① ②得 ,所以 , 也满足 ,故对任意的 , .(2)证明: , 所以 . , ,即结论成立. 18.(2023·山东威海·统考一模)在 中,角A,B,C所对的边分别为a,b,c,且 . (1)求B; (2)若 , ,求 的面积. 【答案】(1) (2) 【分析】(1)利用三角恒等变换及正弦定理化简已知条件,即可得到答案; (2)利用余弦定理求出 ,再代入三角形的面积公式,即可得到答案; 【详解】(1)由 ,得 ,即 , 所以 , 由正弦定理得 , 因为 ,所以 . 因为 ,所以 .(2)在 中,因为 , , ,由余弦定理,得 , 即 ,解得 或 (舍去). 所以 , 即 的面积为 . 19.(2023秋·湖南长沙·高三湖南师大附中校考阶段练习)如图,在直四棱柱 中,底面 A B C D 是梯形,且 ,E是棱 的中点. 1 1 1 1 (1)求证: ; (2)求点 到平面 的距离; (3)求二面角 的余弦值. 【答案】(1)证明见解析; (2) ; (3) . 【分析】(1)解法1:证明 ,又 ,根据线面垂直的判定定理可得 平面 ,再 根据线面垂直的性质即可证明;解法2:设 ,根据 ,可得 ,从而可证明; A B C D (2)解法1:在平面 1 1 1 1中,过 点作 ,垂足为K,连接 ,又过 点作 ,垂足 为H,则 为点 到平面 的距离,在 中求解即可; 解法2:以 为原点, 所在直线分别为x,y,z轴,建立空间直角坐标系,利用空间向量法即 可求解; (3)解法1:取线段 的中点F,线段 的中点G,可得 是二面角 的平面角,在 中, 利用余弦定理即可求解; 解法2:利用空间向量法即可求解. 【详解】(1)解法1:证明:连接 ,∵ 是正方形,∴ . 又∵ , 平面 , ∴ 平面 . ∵ 平面 ,∴ . 又∵ , 平面 , ∴ 平面 . ∵ 平面 , ∴ . 解法2:设 , ∴ ,∵ ,∴ , ∴ , ∴ ,又∴ ,得 ,得 , 在直四棱柱 中, ,∴ . A B C D (2)解法1:在平面 1 1 1 1中,过 点作 ,垂足为K,连接 ,又过 点作 ,垂足 为H, A B C D A B C D 因为 平面 1 1 1 1, 平面 1 1 1 1,所以 . 因为 , 平面 , 所以 平面 . 因为 平面 ,所以 . 因为 , 平面 , 所以 平面 ,则 为点 到平面 的距离. A B C D 1 1 1 1 由(1)得 ,∴ 是直角梯形. 在 中,有 , ∴ ,在 中, , ∴点 到平面 的距离为 .解法2:以 为原点, 所在直线分别为x,y,z轴,建立如图所示的空间直角坐标系, 则 , . 设平面 的法向量为 ,∵ , ∴ ,∴ , 令 ,则 ,得 . ,求点 到平面 的距离 . (3)解法1: ,取线段 的中点F,连接 ,则 ,∵ , ∴ ,再取线段 的中点G,连接 ,∴ ,∴ , ∴ 是二面角 的平面角. 在 中, ,取线段 的中点L,连接 ,则 , 在 中, ,∴ , 由余弦定理知 , ∴二面角 的余弦值为 . 解法2:设平面 的法向量为 . ∵ ,∴ ,∴ , 令 ,则 ,得 . 又设平面 的法向量为 ,∵ , ∴ ,∴ , 令 ,则 ,得 . , ∵二面角 的平面角是钝角, ∴二面角 的余弦值为 . 20.(2022秋·浙江绍兴·高三统考期末)为深入学习党的二十大精神,某学校团委组织了“青春向党百年路, 奋进学习二十大”知识竞赛活动,并从中抽取了200份试卷进行调查,这200份试卷的成绩(卷面共100分) 频率分布直方图如下.(1)用样本估计总体,求此次知识竞赛的平均分(同一组中的数据用该组区间的中点值为代表). (2)可以认为这次竞赛成绩 近似地服从正态分布 (用样本平均数 和标准差 分别作为 , 的近似 值),已知样本标准差 ,如有 的学生的竞赛成绩高于学校期望的平均分,则学校期望的平均分约 为多少(结果取整数)? (3)从 的试卷中用分层抽样的方法抽取10份试卷,再从这10份样本中随机抽测 份试卷(抽 测的份数是随机的),若已知抽测的 份试卷都不低于90分,求抽测2份的概率. 参考数据:若 ,则 . 【答案】(1)80.5 (2)72分 (3) 【分析】(1)根据频率分布直方图,结合平均数的公式,即可求解; (2)首先确定 ,再根据参考公式,即可求解; (3)根据全概率公式,和条件概率,列式求解. 【详解】(1)由频率分布直方图可知, 平均分 ; (2)由(1)可知, , 设学校期望的平均分约为 ,则 , 因为 , ,所以 ,即 , 所以学校的平均分约为72分; (3)由频率分布直方图可知,分数在 和 的频率分别为 和 , 那么按照分层抽样,抽取10人,其中分数在 ,应抽取 人, 分数在 应抽取 人, 记事件 :抽测 份试卷 ,事件 取出的试卷都不低于90分, 则 , , , 则 . 21.(2022秋·上海青浦·高三统考阶段练习)已知椭圆 的离心率为 ,其左右焦点为 、 ,斜率为1的直线 经过右焦点 ,与椭圆 交于不同的两点 、 , 的周长为12. (1)求椭圆 的方程; (2)求 的面积; (3)过点 任作与坐标轴都不垂直的直线 与椭圆交于 、 两点,在 轴上是否存在一定点 ,使 恰为 的平分线?. 【答案】(1) ; (2) ; (3)存在.【分析】(1)由题意可得 ,可得 ,由离心率可求 ,结合 可求 ,从而可得椭 圆 的方程; (2)设 ,且 ,由 ,可得 ,联立 直线与椭圆的方程,由韦达定理及 即可求解; (3)设 ,设 ,假设存在点 满足题意,则 ,根据韦达定 理即可求解. 【详解】(1)由题意得 的周长为12,即 ,所以 , 又椭圆 的离心率为 ,即 ,所以 , 又 ,所以 , 所以椭圆 的方程为 . (2)由(1)得 ,则直线 的方程为 , 设 ,且 , 由 ,得 , 则 , 所以 , 因为 ,所以 , 即 的面积为 .(3)设 ,设 , 由 ,得 , 所以 . 若点 存在,设 ,由题意得 , 所以 , 所以 , 即 , 所以 ,得 , 即在 轴上存在一定点 ,使 恰为 的角平分线. 【点睛】解决直线与椭圆的综合问题时,要注意: (1)注意观察应用题设中的每一个条件,明确确定直线、椭圆的条件; (2)强化有关直线与椭圆联立得出一元二次方程后的运算能力,重视根与系数之间的关系、弦长、斜率、三角 形的面积等问题. 22.(2022秋·江苏常州·高三校考阶段练习)已知 ,函数 , . (1)讨论 的单调性; (2)过原点分别作曲线 和 的切线 和 ,试问:是否存在 ,使得切线 和 的斜率互为倒 数?请说明理由; (3)若 时, 恒成立,求a的取值范围. 【答案】(1)答案见解析 (2)存在,理由见解析(3) , . 【分析】(1)求出 的导数,分类讨论 和 时导数的取值情况,即可求出 的单调性; (2)首先根据题意求出过原点时 的切线斜率,再根据俩切线斜率的关系,表示出 的切线斜率,列 出一个含a参数的等式 ,欲证明(2)问成立,只需证明 存在解,也就是 存在零点,求出 的导数,找到单调区间和极值点即可判断是否存在; (3)化简不等式得 ,确定不等式定义域,在确定定义域下对 进行放缩简化, 因为 ,所以欲使不等式恒成立,只需证明 ,欲使化简不等式成立只需满足函数 在定义域内最小值大于等于0,以此求导计算即可. 【详解】(1)由已知 , 当 时, 在 恒成立, 在 上单调递增; 当 时,由 ,得 , 若 时, , 在 上单调递增, 若 时, , 在 上单调递减; 综上所述,当 时, 的单调递增区间为 ,无单调递减区间 当 时, 的单调递增区间为 ,单调递减区间为 (2)假设存在 ,使得切线 和 的斜率互为倒数. , , 设 的切线方程是 ,则 ,显然 , ,切点为 ,于是 ,解得 , 所以 的斜率为 ,于是 的斜率为 设 的切点坐标为 , 由 , , 又 ,所以 ,整理得 , 设 ( ), , 当 时, , 递增,而 ,所以 , 时, , 递减,又 , 所以存在 ,使得 , 因此关于 的方程 有正数解. 所以存在 ,使得切线 和 的斜率互为倒数. (3) 时, 恒成立, 即 在 时恒成立, 当 时, 恒成立,即 ,又 ,则 .. 下面证明:当 时, 在 时恒成立. 先证明 时, , 由(1)知,当 时, 在 上单调递增,在 上单调递减; 则 ,即 ,有 , 所以当 时, ,要证明 ,只需证明对任意的 , 恒成立, 令 ,则 , 由 ,得 , ①当 即 时, 在 上恒成立, 则 在 上单调递增,于是 . ②当 ,即 时, 在 上单调递减,在 上单调递增, 于是 , 令 ,则 , 则 在 上单调递增, 于是 ,所以 恒成立, 所以 时,不等式 恒成立,因此 的范围是 , . 【点睛】结论点睛:高中常用放缩放缩不等式 (1)指数函数放缩: ① ;② ;③ ;④ (2)对数函数放缩: ① ;② ;③ ;④ ;⑤ (3)指对函数混合放缩: (4)三角函数函数放缩:① ;②