当前位置:首页>文档>2025届高中地理人教版一轮复习第66课时练习:地区产业结构变化_9.2025地理总复习_2025年新高考资料_一轮复习_人教版2025届高中地理一轮复习知识梳理(课件+导学案+练习)

2025届高中地理人教版一轮复习第66课时练习:地区产业结构变化_9.2025地理总复习_2025年新高考资料_一轮复习_人教版2025届高中地理一轮复习知识梳理(课件+导学案+练习)

  • 2026-03-16 16:24:38 2026-03-12 03:12:16

文档预览

2025届高中地理人教版一轮复习第66课时练习:地区产业结构变化_9.2025地理总复习_2025年新高考资料_一轮复习_人教版2025届高中地理一轮复习知识梳理(课件+导学案+练习)
2025届高中地理人教版一轮复习第66课时练习:地区产业结构变化_9.2025地理总复习_2025年新高考资料_一轮复习_人教版2025届高中地理一轮复习知识梳理(课件+导学案+练习)
2025届高中地理人教版一轮复习第66课时练习:地区产业结构变化_9.2025地理总复习_2025年新高考资料_一轮复习_人教版2025届高中地理一轮复习知识梳理(课件+导学案+练习)

文档信息

文档格式
docx
文档大小
0.274 MB
文档页数
3 页
上传时间
2026-03-12 03:12:16

文档内容

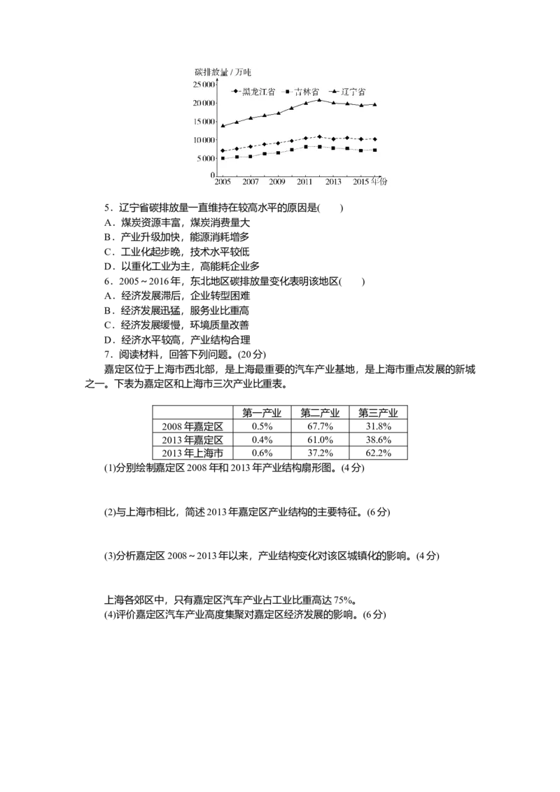
课时作业 66 地区产业结构变化 [2024·山西太原模拟]区域产业结构高级化是综合考虑区域第二、第三产业占比和劳动 生产率水平的高级化。下图为2001~2018年黄河流域9省区产业结构高级化水平分布示意 图。据此完成1~2题。 1.与甲类区域相比,丙类区域产业结构高级化水平较低的原因主要是( ) A.位置偏远 B.开发历史短 C.人口众多 D.农业占比大 2.提高丙类区域产业结构高级化水平的可行性措施是( ) A.扩大资源开发 B.减少农业投入 C.强化传统工业 D.推动三次产业融合 我国东南沿海某市原为农产品和部分轻工业原料生产基地,1990年开始积极吸引外资, 调整产业结构,建立起以化工、机械、纺织、电子、服装等为主的工业体系。下图是该市 1990~2010年产业结构变化图。读图,回答3~4题。 3.1990~2010年,该市产业结构变化的特点是( ) A.第一产业比重持续快速下降 B.第二产业始终占主导地位 C.第三产业比重变化最大 D.产业结构趋于优化 4.促进该市产业结构进一步升级的措施是( ) ①逐渐将纺织、服装企业向内地转移 ②农林牧渔业全面发展 ③大量引进国外化工、 机械项目 ④加快发展第三产业 A.①② B.①④ C.②③ D.②④ 国务院新闻办公室2020年12月21日发布的《新时代的中国能源发展》白皮书显示: 我国2019年碳排放强度比2005年降低48.1%,提前实现了2015年提出的碳排放强度下降 40%~45%的目标。目前东北地区碳排放量仍然较高,下图示意2005~2016年东北三省碳 排放量比较。据此完成5~6题。5.辽宁省碳排放量一直维持在较高水平的原因是( ) A.煤炭资源丰富,煤炭消费量大 B.产业升级加快,能源消耗增多 C.工业化起步晚,技术水平较低 D.以重化工业为主,高能耗企业多 6.2005~2016年,东北地区碳排放量变化表明该地区( ) A.经济发展滞后,企业转型困难 B.经济发展迅猛,服务业比重高 C.经济发展缓慢,环境质量改善 D.经济水平较高,产业结构合理 7.阅读材料,回答下列问题。(20分) 嘉定区位于上海市西北部,是上海最重要的汽车产业基地,是上海市重点发展的新城 之一。下表为嘉定区和上海市三次产业比重表。 第一产业 第二产业 第三产业 2008年嘉定区 0.5% 67.7% 31.8% 2013年嘉定区 0.4% 61.0% 38.6% 2013年上海市 0.6% 37.2% 62.2% (1)分别绘制嘉定区2008年和2013年产业结构扇形图。(4分) (2)与上海市相比,简述2013年嘉定区产业结构的主要特征。(6分) (3)分析嘉定区2008~2013年以来,产业结构变化对该区城镇化的影响。(4分) 上海各郊区中,只有嘉定区汽车产业占工业比重高达75%。 (4)评价嘉定区汽车产业高度集聚对嘉定区经济发展的影响。(6分)1~2.解析:第1题,由材料可知,区域产业结构高级化水平需综合考虑区域第二、第 三产业占比和劳动生产率水平的高级化,农业属于第一产业,因此丙类区域产业结构高级 化水平较低的原因主要是农业占比大,第二、第三产业占比小,D正确。第2题,由上题 分析可知,丙类区域第二、第三产业占比小,为提高丙类区域产业结构高级化水平应推动 三次产业融合,D正确;扩大资源开发和强化传统工业较为片面,没考虑到第三产业的发 展和劳动生产率水平的提高,A、C错;减少农业投入不利于农业发展,B错。 答案:1.D 2.D 3~4.解析:第3题,读图中的数据可知,第一产业在1998年略有回升,并没有持续快 速下降;第二产业在1990年时并不占主导地位;从产业结构变化看,第三产业的比重呈上 升趋势,但没有第一、二产业比重变化大,第一产业的比重整体下降,并且所占的比重较 小,这些都说明产业结构趋于优化。第4题,从目前产业结构看,促进该市产业结构进一 步升级就是要继续增大第三产业的比重,逐渐将劳动密集型的产业转移出去,引进高新技 术产业。而大量引进国外化工、机械项目是不现实的,农林牧渔业全面发展只是优化的第 一产业结构。 答案:3.D 4.B 5~6.解析:第5题,辽宁省碳排放量一直维持在较高水平的原因是以重化工业为主, 高能耗企业多,D正确;辽宁省以重化工业为主,产业结构较为单一,如果产业升级加快, 能源消耗会减少,B错误;辽宁省工业化起步早,C错误;辽宁省煤炭消费量大,根本原 因是以重化工业为主,高能耗企业多,A错误。第6题,根据图中信息,东北地区的碳排 放量高,后期一直维持在高位,说明东北地区以重化工业为主、产业结构较为单一的状况 没有明显好转,经济发展仍然滞后,企业转型困难,A正确。 答案:5.D 6.A 7.答案:(1)绘图如下: (2)嘉定区第一产业比重比上海市略低;第二产业比重远高于上海市;第三产业比重远 低于上海市。 (3)嘉定区2008~2013年以来,第二产业比重虽然在下降,但是一直保持在60%以上, 仍占绝对优势,说明其仍然是吸收剩余劳动力、促进城镇化发展的主力;第三产业比重增 加,说明其吸纳劳动力增多,对城镇化贡献率越来越大。 (4)有利影响:集约利用区内的土地资源,共享基础设施,降低生产和管理成本,提高 利润,形成规模效应;促进嘉定区相关企业的发展;增加嘉定区的财政收入等。不利影响 导致嘉定区第二产业结构过于单一,抵抗经济风险能力较差。