当前位置:首页>文档>(练习)专题09资产阶级民主革命与中华民国的建立(原卷版)_02中考总复习(2026版更新中)_06-历史-中考总复习_2024年中考复习资料_一轮复习_配套练习(原卷版+解析版)

(练习)专题09资产阶级民主革命与中华民国的建立(原卷版)_02中考总复习(2026版更新中)_06-历史-中考总复习_2024年中考复习资料_一轮复习_配套练习(原卷版+解析版)

  • 2026-03-21 14:22:18 2026-03-13 02:42:42

文档预览

(练习)专题09资产阶级民主革命与中华民国的建立(原卷版)_02中考总复习(2026版更新中)_06-历史-中考总复习_2024年中考复习资料_一轮复习_配套练习(原卷版+解析版)
(练习)专题09资产阶级民主革命与中华民国的建立(原卷版)_02中考总复习(2026版更新中)_06-历史-中考总复习_2024年中考复习资料_一轮复习_配套练习(原卷版+解析版)
(练习)专题09资产阶级民主革命与中华民国的建立(原卷版)_02中考总复习(2026版更新中)_06-历史-中考总复习_2024年中考复习资料_一轮复习_配套练习(原卷版+解析版)
(练习)专题09资产阶级民主革命与中华民国的建立(原卷版)_02中考总复习(2026版更新中)_06-历史-中考总复习_2024年中考复习资料_一轮复习_配套练习(原卷版+解析版)
(练习)专题09资产阶级民主革命与中华民国的建立(原卷版)_02中考总复习(2026版更新中)_06-历史-中考总复习_2024年中考复习资料_一轮复习_配套练习(原卷版+解析版)
(练习)专题09资产阶级民主革命与中华民国的建立(原卷版)_02中考总复习(2026版更新中)_06-历史-中考总复习_2024年中考复习资料_一轮复习_配套练习(原卷版+解析版)
(练习)专题09资产阶级民主革命与中华民国的建立(原卷版)_02中考总复习(2026版更新中)_06-历史-中考总复习_2024年中考复习资料_一轮复习_配套练习(原卷版+解析版)
(练习)专题09资产阶级民主革命与中华民国的建立(原卷版)_02中考总复习(2026版更新中)_06-历史-中考总复习_2024年中考复习资料_一轮复习_配套练习(原卷版+解析版)
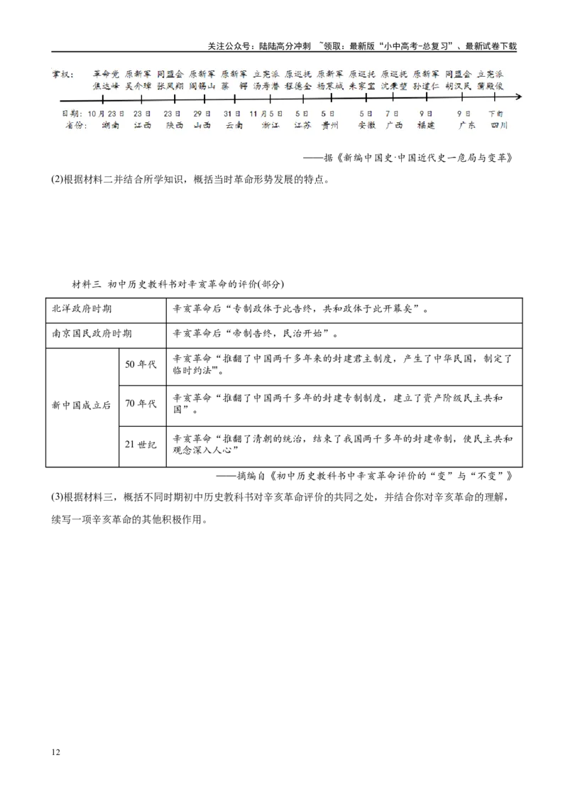
(练习)专题09资产阶级民主革命与中华民国的建立(原卷版)_02中考总复习(2026版更新中)_06-历史-中考总复习_2024年中考复习资料_一轮复习_配套练习(原卷版+解析版)
(练习)专题09资产阶级民主革命与中华民国的建立(原卷版)_02中考总复习(2026版更新中)_06-历史-中考总复习_2024年中考复习资料_一轮复习_配套练习(原卷版+解析版)
(练习)专题09资产阶级民主革命与中华民国的建立(原卷版)_02中考总复习(2026版更新中)_06-历史-中考总复习_2024年中考复习资料_一轮复习_配套练习(原卷版+解析版)
(练习)专题09资产阶级民主革命与中华民国的建立(原卷版)_02中考总复习(2026版更新中)_06-历史-中考总复习_2024年中考复习资料_一轮复习_配套练习(原卷版+解析版)
(练习)专题09资产阶级民主革命与中华民国的建立(原卷版)_02中考总复习(2026版更新中)_06-历史-中考总复习_2024年中考复习资料_一轮复习_配套练习(原卷版+解析版)

文档信息

文档格式
docx
文档大小
3.741 MB
文档页数
13 页
上传时间
2026-03-13 02:42:42

文档内容

关注公众号:陆陆高分冲刺 ~领取:最新版“小中高考-总复习”、最新试卷下载 专题 09 资产阶级民主革命与中华民国的建立 目录 【考点过关练】 考点01 资产阶级民主革命 考点02 袁世凯独裁统治和复辟帝制、北洋军阀混战 【重难创新练】 【专题检测卷】 按住Ctrl键同时点击目录文字即可跳转到对应页 考点 01 资产阶级民主革命 1.孙中山高举顺应时代要求的资产阶级民主革命旗帜。材料中的“旗帜”指的是( ) A.师夷长技以制夷 B.自强、求富 C.三民主义 D.民主与科学 2.面对中国被列强瓜分的危局,孙中山第一个响亮地喊出“振兴中华”的口号,发动一次次的武装起义, 最终推翻了腐朽的清王朝,开启了中国近代民主革命的新篇章。材料表明孙中山( ) A.是中国近代民主革命的先行者 B.完成了反帝反封建的任务 C.彻底地废除了中国的封建制度 D.实现了国家独立民族解放 3.下图是某同学整理的孙中山革命活动示意图,符合该示意图的主题是( ) A.孙中山是中国民主革命先行者 B.孙中山发动并领导了武昌起义 C.孙中山任中华民国临时大总统 D.孙中山提出民族民主革命思想 4.1912年,辛亥革命推翻了清王朝统治,建立起中国历史上从来不曾有过的共和政体,推动了中国社会 的变革。这表明,辛亥革命( ) A.改变了中国的社会性质 B.探索了中华民族伟大复兴道路 C.开启了新民主主义革命的历程 D.促进了北伐的胜利进军 1关注公众号:陆陆高分冲刺 ~领取:最新版“小中高考-总复习”、最新试卷下载 5.把权力关进制度的笼子里,可以防范腐败。下图政府机构的设计来源于( ) A.《资政新篇》 B.《中华民国约法》 C.《中华民国临时约法》 D.《中国土地法大纲》 6.“壮哉!武昌首义,一枪打翻封建帝制;伟哉!天下响应,万众擎起民主共和。”这幅对联赞颂了辛 亥革命的历史意义。下列有关辛亥革命的叙述,正确的是( ) A.革命发生于1912年,这一年是农历辛亥年,所以这次革命被称为“辛亥革命” B.孙中山领导的武昌起义为武汉赢得了“首义之城”的美誉 C.辛亥革命推翻了清王朝的反动统治,极大推动了中华民族的思想解放 D.辛亥革命推翻了君主专制制度和封建制度,打开了中国进步潮流的闸门 考点 02 袁世凯独裁统治和复辟帝制、北洋军阀混战 7.将下列事件按其发生时间的先后顺序进行排列,正确的是( ) ①袁世凯称帝 ②护国战争 ③二次革命 ④宋教仁遇刺 A.②①④③ B.④③①② C.①②③④ D.③①②④ 8.如图再现的历史事件是( ) A.护国战争 B.二次革命 C.武昌起义 D.护法战争 9.口号奏响了不同时代的主旋律,“请党放心,强国有我”抒发了新一代青少年的报国志向。“打倒列 强除军阀”所处的历史时期是( ) 2关注公众号:陆陆高分冲刺 ~领取:最新版“小中高考-总复习”、最新试卷下载 A.武昌起义 B.北伐战争 C.南昌起义 D.抗日战争 10.毛泽东称他为“邦之模范”,其学生朱德称“他是我黑暗时代的指路明灯”。他就是蔡锷,被誉为 “再造共和第一人”和“护国军神”,下列属于蔡锷将军功绩的是( ) A.抗击日寇侵略 B.拥护维新变法 C.组织护国军讨袁 D.推翻清王朝 1.(考法一:变化趋势)阅读下列材料,回答问题。 材料一 “中体西用”是“中学为体、西学为用”的缩略语。张之洞在其著作《劝学篇》中全面论述 了这一思想。“中体”是指以孔孟之道为核心的儒家学说,“西学”是指近代西方的先进科技。“西学” 为“中体”服务。 材料二 西方胜过中国的地方,不仅在器械,而且在制度。中国只有实行变法维新,才能“自强保 种”。 ——严复 材料三 孙中山说,欲救亡图存,“革命为唯一门”。即认为不推翻清王朝,中国决无生存于竞争世 界的希望……共和制度是当今世界上最好的制度,中国应直接建立共和制度。还提出,中国可以借鉴外国 经验教训,“举政治革命、社会革命毕其功于一役”。 (1)材料一“中体西用”的思想在哪一运动中得以实践?这次运动的根本目的是什么? (2)比较材料一和材料二的观点有何异同? (3)根据材料三,概括孙中山的主要观点。 (4)综合上述材料反映了中国近代化探索呈现出怎样的趋势? 3关注公众号:陆陆高分冲刺 ~领取:最新版“小中高考-总复习”、最新试卷下载 2.(考法二:特点、特征)文明史观认为冲突也是文明交流融合的一种方式,近代化就是文明的一种进 步。阅读下列材料,结合所学知识,回答问题。 材料一: 江南制造总局 轮船招商局 留美幼童 “定远号”铁甲舰 材料二: 戊戌变法时《天演论》出版,不上几年,便风行 面对民族危亡,资产阶级维新派尝试通过变法建立君主 全国,竟作了中学生读物;作文题目也出现“物 立宪政体,但终究以失败告终……然而这场变法开启了 竞天择,适者生存,试申其义”,“天演”、 中国近代思想启蒙与精神解放的闸门,酝酿发动了国家 “物竞”等术语渐渐成了爱国志士的“口头 政治、经济、军事、文化教育领域的改革创新。 禅”。 ——蒋廷黻《中国近代史》 ——摘编自胡适《四十自述》 辛亥革命对当时中国政治的发展做出了重大的贡献。他 据传来消息,知道革命党虽然进了城,倒还没有 的意义在于结束了“朝代国家”,而代之以“共和国 什么大异样。知县老爷还是原官,不过改称了什 家”,它否定了历代相沿的专制体制,结束了中国传统 么;举人老爷也做了什么,未庄人都说不明 社会。 白……带兵的也还是先前的老把总。 ——岳世平《辛亥革命对中国政治发展的历史贡献》 ——摘编自鲁迅《阿Q正传》 材料三:材料四: (1)根据材料一说出洋务运动涉及哪些领域? (2)材料二中划线部分“民族危亡”指哪件事?戊戌变法对中国社会产生了怎样的影响。 4关注公众号:陆陆高分冲刺 ~领取:最新版“小中高考-总复习”、最新试卷下载 (3)阅读材料三,结合所学知识,分析辛亥革命有何成功和遗憾之处。 (4)综上所述,结合材料四所示思维导图,归纳中国向西方学习的特点。 3.(考法三:评价、评述)辛亥革命永远是中华民族伟大复兴征程上一座巍然屹立的里程碑!阅读下列 材料,回答问题。 材料一 如图 材料二 以下是民国某一法律文件的部分内容: “第二条中华民国之主权属于国民全体。 第五条中华民国人民一律平等,无种族、阶级、宗教之区别。 第六条人民得享有左列各项之自由权…… 第五十四条中华民国之宪法由国会制定。宪法未施行以前,本约法之效力与宪法等。” 材料三 初中历史教科书对辛亥革命的评价(部分) 辛亥革命后“专制政体于此告终,共和政体于此开幕 北洋政府时期 矣”。 南京国民政府时 辛亥革命后“帝制告终,民治开始”。 期 ——摘编自《初中历史教科书中辛亥革命评价的“变”与“不变”》 材料四 毛泽东关于辛亥革命的评述 评述 文献 5关注公众号:陆陆高分冲刺 ~领取:最新版“小中高考-总复习”、最新试卷下载 “辛亥革命,似乎是一种民众的联合,其实不然。辛亥革命……与我 《民众的大联合(三)》(1919 们民众的大多数,毫没关系。” 年8月) “国民革命需要一个大的农村变动。辛亥革命没有这个变动,所以失 《湖南农民运动考察报告》 败了…… (1927年3月) (1)根据材料一并结合所学知识,概括武昌起义爆发前革命党人为实现民主共和进行的努力。 (2)根据材料二并结合所学知识,指出材料二出自哪部法律文献?该文献体现了什么政治原则?在中国历史 上有何地位? (3)根据材料三、材料四,并结合所学知识,指出辛亥革命的指导思想。你认为辛亥革命是成功的还是失败 的?请说明理由。 4.(考法四:概况、归纳)历史学科素养是中学生应该具备的核心素养之一。阅读材料,回答问题。 【历史归纳】是指能够对比历史事件的异同点,对相关史实进行分析、总结并运用的能力。 材料一 广州起义 惠州起义 时间 1895年10月 1900年10月 发动者 孙中山 孙中山 结果 失败 失败 后来的社 “举国舆论莫不目予辈为乱臣贼子、 “鲜闻一般人之恶声相加,而有识之士,且 会舆论 大逆不道,咒诅谩骂之声,不绝于耳” 多为吾人扼腕叹惜,恨其事之不成矣。” ——摘编自孙中山《建国方略》1919年 (1)据材料一,概括社会大众对革命党人的态度的变化。结合所学,从清政府的统治角度,说明出现这种变 6关注公众号:陆陆高分冲刺 ~领取:最新版“小中高考-总复习”、最新试卷下载 化的原因。 【时空观念】是在特定的时间联系和空间联系中对事物进行观察、分析的观念。 材料二 晚清地方军政官员势力的扩大和地方主义的兴起 ——摘编自朱英《辛亥革命与近代中国社会变迁》 (2)据材料二结合所学,分别列举发展一、发展二、发展四的具体表现。并简述辛亥革命后地方势力发展的 概况。 【历史理解】是指将对史事的叙述提升为理解其意义的理性认识和情感取向。 材料三 马国川:您怎么来看待从辛亥到现在一百年的中国现代化进程? 朱维铮:我的研究只做到五四,我把五四看作一个终点。共和国作为一个体制慢慢被接受,中国人要 民主,最大的一次爆发就是五四运动。辛亥革命仅仅是一个政治上的改变,到了五四运动,不仅仅是要求 体制的改变,而且要求整个民族精神改变。这个改变至今还在进行。 ——摘编自马国川《告别皇帝的中国》 (3)据材料三,概括辛亥革命的积极意义。 【历史解释】是指以史料为依据,以历史理解为基础,对历史事物进行理性分析和客观评判的态度与能力。 材料四 清末国人从日文引进了用“党”字来译称的西语“party”概念,当时就有了一场关于“党”的 7关注公众号:陆陆高分冲刺 ~领取:最新版“小中高考-总复习”、最新试卷下载 讨论。因为传统汉语中的“党”,贬义非常强,与“党”有关的词如“会党”等都不是什么好词。讨论认 为:政党是公民以政见认同为纽带的自由结社、会党是贼船能上不能下的依附性组织;政党只要求彼此政 见相合,而会党则要求党员忠于党魁个人;如此等等。 ——摘编自秦晖《帝制兴衰:辛亥百年话“传统”》 (4)据材料四结合所学,补充一个有关“党”的贬义非常强的词汇。简要说明资产阶级革命政党的形成过程。 专题09 资产阶级民主革命与中华民国的建立 (时间45分钟,满分50分) 一、选择题(每小题3分,10小题30分) 1.(2021·西藏·统考中考真题)如图中人物是“中国民主革命的先行者——孙中山”,下列与之相关的一 项是( ) A.建立光复会 B.领导辛亥革命 C.组织北伐战争 D.颁布《中华民国约法》 2.(2023·山东济宁·统考中考真题)孙中山将同盟会的政治纲领阐发为“民族”“民权”“民生”三大主 8关注公众号:陆陆高分冲刺 ~领取:最新版“小中高考-总复习”、最新试卷下载 义。其中“民权主义”的革命目标是( ) A.“驱除鞑虏” B.“恢复中华” C.“创立民国” D.“平均地权” 3.(2023·江苏徐州·统考中考真题)有学者认为:“革命的胜利,不仅实现了两个半世纪以来民族主义革 命传统的梦想,而且还超越了狭隘的种族诉求,将政权从清政府那里解放出来,将它扩大到所有中国 人。”“革命”指的是( ) A.太平天国运动 B.义和团运动 C.辛亥革命 D.国民大革命 4.(2023·四川乐山·统考中考真题)从整体上把握历史课程内容结构有助于历史学习。下图中▲应该填写 的是( ) 世界历史 中国历史 古代 区域文明的多元发展 古代 统一多民族国家的形成与发展 人类社会的不 近代 ▲ 断演进 近代 资本主义发展、社会主义运动和民族解放运 动 现代 社会主义现代化的建设 现代 战争与革命、和平与发展 A.反抗封建专制的过程 B.学习西方技术、政治制度的历程 C.反抗帝国主义的过程 D.争取民族独立、人民解放的历程 5.(2023·四川泸州·统考中考真题)一手史料是接近或直接在历史事件发生时所产生和记录的原始资料。 以下可用于研究辛亥革命的一手史料是( ) A.电视剧 B.话剧 C.研究著作 D.志士手稿 6.(2023·山东潍坊·统考中考真题)清帝溥仪退位时,仍保留皇帝尊号,每年坐收四百万元巨款,养尊处 优于北京皇宫。这表明( ) A.君主专制仍存在 B.革命果实被窃取 C.辛亥革命不彻底 D.民主共和难实现 7.(2023·四川内江·统考中考真题)1912年1月1日,在一片“共和万岁”的欢呼声中,举行了隆重的临 9关注公众号:陆陆高分冲刺 ~领取:最新版“小中高考-总复习”、最新试卷下载 时大总统就职典礼,孙中山宣读了《大总统誓词》。这一事件宣告了( ) A.革命在武汉三镇取得胜利 B.中华民国临时政府成立 C.袁世凯窃取革命果实失败 D.五四运动直接目标实现 8.(2023·四川攀枝花·中考真题)1912年2月12日,清宣统帝下诏退位,3月11日,孙中山颁布由参议 院制定的《中华民国临时约法》。由此可知,这一时期历史发展的趋势是( ) A.从分裂走向统一 B.从屈辱走向独立 C.从封闭走向开放 D.从专制走向民主 9.(2023·新疆·统考中考真题)中国历代都采用帝王纪年。孙中山在就任临时大总统时,即电告各省都督; 中华民国,改用阳历。这从侧面反映出辛亥革命的目的是( ) A.揭开民主革命序幕 B.终结君主专制制度 C.推动革命高潮到来 D.鼓舞全国人民斗志 10.(2022·黑龙江牡丹江·统考中考真题)从专制到民主是政治发展的趋势,中国近代史上有一个人却倒 行逆施。他镇压“二次革命”,接受日本灭亡中国的“二十一条”的大部分内容,复辟帝制。这个人物是 ( ) A.吴佩孚 B.袁世凯 C.段祺瑞 D.张作霖 二、综合题(第11题8分,第12题12分,共20分) 11.(2023·湖北宜昌·统考中考真题)【民主共和 丰碑巍然】(8分) 材料一 民主革命先行者早期革命活动(部分) 时间 革命活动 1894年11月 孙中山在檀香山成立兴中会,提出“振兴中华”的宗旨。 1903年 出版《革命军》《猛回头》等宣传民族民主革命的著作。 1905年8月 为了集中革命力量,孙中山在日本东京成立中国同盟会。 1907年 徐锡麟在安庆发动起义,孙中山、黄兴领导镇南关起义,均遭失败。 1911年4月 黄兴领导黄花岗起义,以失败告终,却极大鼓舞了全国人民的斗志。 ——摘编自统编本《中国历史使》八年级上册 材料二 孙中山先生和辛亥革命先驱为中华民族建立的历史功绩彪炳千秋!在辛亥革命中英勇奋斗和 壮烈牺牲的志士们名垂青史!辛亥革命永远是中华民族伟大复兴征程上一座巍然屹立的里程碑! ——摘自《习近平在纪念辛亥革命110周年大会上的讲话》 10关注公众号:陆陆高分冲刺 ~领取:最新版“小中高考-总复习”、最新试卷下载 材料三 以袁世凯为首的北洋军阀,在帝国主义和国内反动势力的支持下,窃取了辛亥革命的果实, 初生的资产阶级共和国在中国只存在了几个月即告夭折。袁世凯死后,北洋军阀分化为直、皖、奉三系。 在帝国主义列强的操纵下,中国陷入四分五裂的军阀割据和军阀混战之中。在封建军阀专制统治下,中国 在半殖民地半封建社会的深渊中愈陷愈深。 ——摘自本书编写组《中国共产党简史》 (1)根据材料一及新学知识,简析民主革命先行者早期革命活动对辛亥革命成功所起到的作用。 (2)根据材料二、三,简述你对辛亥革命的认识。 12.(2022·四川德阳·中考真题)阅读材料,完成下列要求。(12分) 材料一 戊戌政变后数年,革命之论渐昌。1903年,章炳麟著《驳康有为论革命书》、邹容著《革命 军》,革命之焰益炽。章炳麟与徐锡麟等设光复会于上海,黄兴、宋教仁等亦立华兴会于湖南。是岁,黄 兴、宋教仁举事柳州,败后,二人走日本,刊杂志《二十世纪之新支那》,以鼓吹革命。1905年,孙文至 日本,联合兴中会、华兴会、光复会,成立中国同盟会,确定政治纲领,并在《民报》上阐发为“三民主 义”。1906,萍浏醴起义,失败。1907年孙文领导忠州起义,不克。同年,锡麟、秋瑾举事,不克。同期, 保皇派的《新民丛报》主张君主立宪,与《民报》相对峙,公开论战…至1911年武昌起义止,革命派先后 发动了十余次反清武装起义。 ——摘编自吕思勉《中国近代史》《新编中国史·中国近代史-危局与变革》等 (1)根据材料一并结合所学知识,概括武昌起义爆发前革命党人为实现民主共和进行的努力。 材料二 武昌起义后宣布独立的省份示意图 11关注公众号:陆陆高分冲刺 ~领取:最新版“小中高考-总复习”、最新试卷下载 ——据《新编中国史·中国近代史一危局与变革》 (2)根据材料二并结合所学知识,概括当时革命形势发展的特点。 材料三 初中历史教科书对辛亥革命的评价(部分) 北洋政府时期 辛亥革命后“专制政体于此告终,共和政体于此开幕矣”。 南京国民政府时期 辛亥革命后“帝制告终,民治开始”。 辛亥革命“推翻了中国两千多年来的封建君主制度,产生了中华民国,制定了 50年代 临时约法'"。 辛亥革命“推翻了中国两千多年的封建专制制度,建立了资产阶级民主共和 新中国成立后 70年代 国”。 辛亥革命“推翻了清朝的统治,结束了我国两千多年的封建帝制,使民主共和 21世纪 观念深入人心” ——摘编自《初中历史教科书中辛亥革命评价的“变”与“不变”》 (3)根据材料三,概括不同时期初中历史教科书对辛亥革命评价的共同之处,并结合你对辛亥革命的理解, 续写一项辛亥革命的其他积极作用。 12关注公众号:陆陆高分冲刺 ~领取:最新版“小中高考-总复习”、最新试卷下载 13