当前位置:首页>文档>第二章 第1讲 课时83 中国人文地理特征_9.2025地理总复习_2025年新高考资料_一轮复习_2025高考大一轮复习讲义+练习(完结)_2025高考大一轮复习地理(人教版)_第五部分 区域地理

第二章 第1讲 课时83 中国人文地理特征_9.2025地理总复习_2025年新高考资料_一轮复习_2025高考大一轮复习讲义+练习(完结)_2025高考大一轮复习地理(人教版)_第五部分 区域地理

  • 2026-04-01 20:12:20 2026-03-14 01:41:13

文档预览

第二章 第1讲 课时83 中国人文地理特征_9.2025地理总复习_2025年新高考资料_一轮复习_2025高考大一轮复习讲义+练习(完结)_2025高考大一轮复习地理(人教版)_第五部分 区域地理
第二章 第1讲 课时83 中国人文地理特征_9.2025地理总复习_2025年新高考资料_一轮复习_2025高考大一轮复习讲义+练习(完结)_2025高考大一轮复习地理(人教版)_第五部分 区域地理
第二章 第1讲 课时83 中国人文地理特征_9.2025地理总复习_2025年新高考资料_一轮复习_2025高考大一轮复习讲义+练习(完结)_2025高考大一轮复习地理(人教版)_第五部分 区域地理
第二章 第1讲 课时83 中国人文地理特征_9.2025地理总复习_2025年新高考资料_一轮复习_2025高考大一轮复习讲义+练习(完结)_2025高考大一轮复习地理(人教版)_第五部分 区域地理
第二章 第1讲 课时83 中国人文地理特征_9.2025地理总复习_2025年新高考资料_一轮复习_2025高考大一轮复习讲义+练习(完结)_2025高考大一轮复习地理(人教版)_第五部分 区域地理
第二章 第1讲 课时83 中国人文地理特征_9.2025地理总复习_2025年新高考资料_一轮复习_2025高考大一轮复习讲义+练习(完结)_2025高考大一轮复习地理(人教版)_第五部分 区域地理
第二章 第1讲 课时83 中国人文地理特征_9.2025地理总复习_2025年新高考资料_一轮复习_2025高考大一轮复习讲义+练习(完结)_2025高考大一轮复习地理(人教版)_第五部分 区域地理
第二章 第1讲 课时83 中国人文地理特征_9.2025地理总复习_2025年新高考资料_一轮复习_2025高考大一轮复习讲义+练习(完结)_2025高考大一轮复习地理(人教版)_第五部分 区域地理
第二章 第1讲 课时83 中国人文地理特征_9.2025地理总复习_2025年新高考资料_一轮复习_2025高考大一轮复习讲义+练习(完结)_2025高考大一轮复习地理(人教版)_第五部分 区域地理
第二章 第1讲 课时83 中国人文地理特征_9.2025地理总复习_2025年新高考资料_一轮复习_2025高考大一轮复习讲义+练习(完结)_2025高考大一轮复习地理(人教版)_第五部分 区域地理
第二章 第1讲 课时83 中国人文地理特征_9.2025地理总复习_2025年新高考资料_一轮复习_2025高考大一轮复习讲义+练习(完结)_2025高考大一轮复习地理(人教版)_第五部分 区域地理

文档信息

文档格式
docx
文档大小
2.153 MB
文档页数
11 页
上传时间
2026-03-14 01:41:13

文档内容

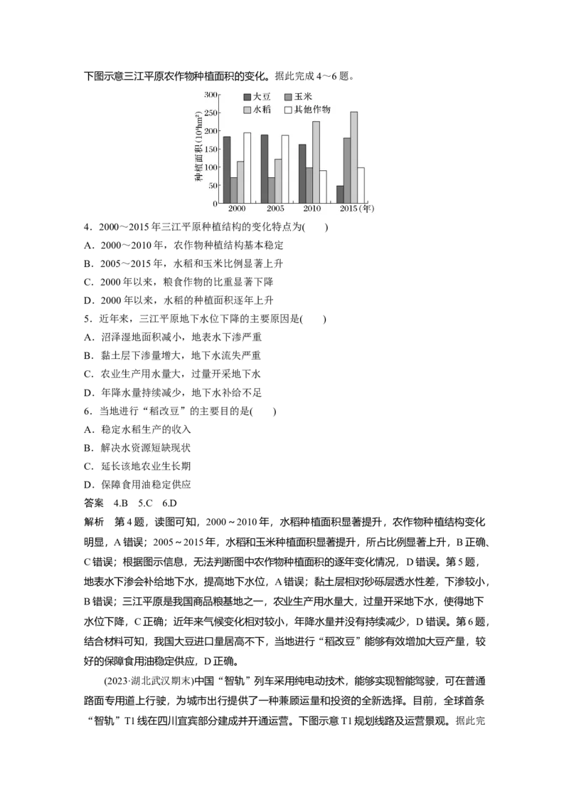
课时 83 中国人文地理特征 1.中国的农业 (1)我国重要的农作物:①小麦;②水稻;③棉花;④甘蔗。 (2)农业分布 ①地区分布 主要部门 主要分布区 种植业 半湿润、湿润的平原地区 东部地区 林业 东北、西南天然林区,东南部的人工林区 渔业 东部沿海、长江中下游地区 畜牧业 青海牧区、新疆牧区、西藏牧区、内蒙古牧区 西部地区 种植业 有灌溉水源的平原、河谷和绿洲地区 ②作物分布 作物 主要分布地区 水稻 秦岭—淮河以南 主要粮食作物 春小麦 古长城以北 冬小麦 古长城以南和秦岭—淮河以北 棉花 黄河、长江中下游地区,南疆 花生 山东、河南 油菜 长江流域 主要经济作物 甘蔗 南部沿海、四川盆地 甜菜 黑、吉、内蒙古、新 茶树 秦岭—淮河以南的丘陵、山地2.中国的工业 (1)四大工业基地:①辽中南工业基地,②京津唐工业基地,③沪宁杭工业基地,④珠江三 角洲工业基地。 (2)密集分布区 ①沿铁路线:京广、京沪、哈大等铁路沿线,形成了多个具有全国意义的工业基地。 ②沿河:黄河流域是能源开发的重要工业带;长江沿线形成了以上海、南京、武汉、重庆等 城市为中心的沿江经济发达地带。 ③沿海:集中了辽中南、京津唐、沪宁杭、珠江三角洲四大工业基地及经济特区和沿海开放 城市等工业最发达的经济核心区。 (3)高新技术产业区 ①分布:多依附于大城市,呈现大分散、小集中的特点。 ②开发差异 3.中国的交通 (1)中国的铁路干线分布 ①在我国铁路干线中 “五纵” a京沪线、京哈—b京广线、京九线、c太焦—焦柳线、宝成—成昆线 “三横” 京包—d包兰线、陇海—e兰新线、沪杭—浙赣—f湘黔—g贵昆线②在铁路干线的交会处,形成重要的铁路枢纽城市:京广线与陇海线交会处是h郑州;京广 线与湘黔、浙赣线交会处是i株洲;京沪线和京哈线交会处是j天津。 ③青藏铁路是我国海拔最高的铁路线。 ④连接我国最大港口的铁路干线是京沪线和沪杭线。 ⑤除了原有的铁路线外,在北京和上海之间,现在又修建了京沪高速公路、京沪高速铁路等 交通线,主要原因是:缓解两个地区间的交通压力;客货分流,提高运输效率;提高运行速 度;完善交通运输网。 (2)中国的内河航线分布 填写主要航道与河港。 航道:A长江航道,B珠江航道,C黄河航道,D运河航道。 河港:①上海,②九江,③武汉,④重庆,⑤广州。 1.我国主要商品性农业基地的区位条件 分布区 有利条件 不利条件 雨热同期,地势平坦,土 东北商品农 三江平原、松嫩平 冬季温度低,热量不 壤肥沃,地广人稀,机械 业基地 原、辽河平原 足,水源不足 化程度高,交通便利 华北旱作农 夏季高温多雨,光热充 三大障碍:旱涝、盐 华北平原 业区 足,地形平坦,土壤肥沃 碱、风沙 光、热、水资源丰富,配 春季低温阴雨,夏季 南方水田农 长江和淮河流域 合较好;劳动力充足,市 伏旱和洪涝灾害,人 业区 场广阔,交通便利 均耕地少新疆绿洲地带、河西 光照充足,昼夜温差大; 西北灌溉农 走廊、河套平原、宁 地形平坦,有灌溉水源; 水源紧缺 业区 夏平原 地广人稀,地价低 与高原比较,海拔较低, 青藏高原河 雅鲁藏布江谷地、湟 与我国东部相比,热 气温较高,地势平坦,水 谷农业区 水谷地 量不足 源充足 2.我国四大牧区牧场类型及特征 牧区 类型 主要特征 随降水条件的变化,从东到西植被为森林、草原、 内蒙古牧区 温带草原牧场 荒漠草原和荒漠,全区以天然草场放牧为主,由过 去游牧转为四季轮牧 随海拔的升高,从低处的荒漠到高山草地,形成垂 直分布的四季牧场,实行转季放牧,气温较低的山 新疆牧区 山地牧场 坡作为夏季牧场,冬季气温较高的山麓作为冬季牧 场 牲畜对高寒缺氧的高原环境适应性强,随气温和水 源形成转季牧场,藏北“春放水边,夏放山,秋放 西藏牧区 高寒牧场 山坡,冬放滩”;藏南“春季牧场在山腰,夏季牧 场在平坡,秋季牧场在山顶,冬季牧场在阳坡” 由于长期沿袭传统的自然放牧,靠天养畜的粗放经 青海牧区 高寒牧场 营方式,畜牧业发展缓慢,而且不稳定,出栏率和 商品率低 3.我国四大工业基地的分析 四大工业基地因各自发展条件不同,发展方向和发展重点也不同,呈现的发展问题也有所不 同。具体如下表所示: 工业基地 发展条件 存在问题 发展方向 辽中南工业基 丰富的煤、铁和石油 淡水资源供应不 加大科技投入,更新设足,环境污染严 备,提高产品质量;调 资源;便利的海陆交 重;高科技产业发 整工业结构,发展第三 地(图甲) 通运输;雄厚的工业 展不足,工业产品 产业和高科技产业;适 基础 类型单一,技术落 当限制某些能耗大、原 后 料相对不足的工业发展 丰富的煤、铁、石 油、海盐等资源;统 积极发展高科技产业, 一的电网;便利的海 能源、淡水资源供 增加产品类型,加强技 京津唐工业基 陆交通;紧靠山西能 应不足,环境污染 术改造;重点放在钢 地(图乙) 源基地,并有输油管 严重;高科技产业 铁、石油化工、海洋化 道连接东北、华北的 发展不足 工、电子、高档精纺和 油田;有科技、人才 精细化工方面 优势 工业基础雄厚;技术 继续使产业结构轻型 沪宁杭工业基 力量雄厚;统一的电 能源和矿产资源缺 化,实行内联外引,加 地(图丙) 网;发达的水、陆、 乏 强技术、新产品的研制 空交通运输 与开发,开拓国际市场 调整产业结构,促进产 毗邻港澳,邻近东南 能源和矿产资源不 业升级;加强区内各城 珠江三角洲工 亚,多侨乡,可利用 足;重工业和机械 市的分工与合作,构建 业基地(图丁) 外资发展工业;水、 制造业不发达 粤港澳大湾区城市群, 陆、空运输便利 加强规划与管理 考向1 通过“城镇化”考查“综合思维” (2023·安徽安庆一中模拟)城市乃至区域之间的人口、生产要素和公共资源的同向流动, 必然导致低效益城市或区域相对于高效益城市或区域发生收缩情况,即低效益城市或区域出 现了相对收缩现象。下图示意2006~2015年湖北省城市相对收缩格局。据此完成1~3题。1.下列可作为判断城市收缩指标的是( ) A.区域空间缩小 B.人口流失严重 C.公共设施闲置 D.制造业占比低 2.导致咸宁市出现城市收缩最主要的原因是( ) A.资源密集型产业衰落 B.交通不便居民外迁 C.大城市虹吸作用增强 D.城市用地无序扩张 3.有利于湖北省收缩型城市可持续发展的措施有( ) ①加强户籍管理,奖励新生人口 ②保持原产业优势,培育新兴产业 ③促进襄荆宜城市群 内部协调发展 ④规划建设新城区,扩大城区面积 A.①③ B.②③ C.①④ D.②④ 答案 1.B 2.C 3.B 解析 第1题,判断城市收缩,最直观的层面就是人口变化,即人口出现大量流失现象,B 正确。第2题,由图及材料中信息可知,0~150 km圈层区域以武汉为中心,在武汉市的就 业吸引下,咸宁市人口密度明显下降,出现城市收缩,C正确。第3题,根据材料信息可知, 收缩型城市是城市人口流失导致人口数量相对下降,要保障其可持续发展应保持原产业的优 势,积极培育新兴产业,促进产业结构的升级,②正确;襄阳市是弱相对扩张城市,荆州市 是强相对收缩城市,荆门市、宜昌市是弱相对收缩城市,促进襄荆宜城市群内部协调发展, 有利于收缩型城市的可持续发展,③正确。故选B。 考向2 通过“地域文化”考查“人地协调观” (全国文综Ⅲ)剪纸是中国民间传统艺术,2009年9月入选联合国教科文组织人类非物质 文化遗产代表作名录。剪纸表现的内容丰富多彩,反映人们的生活环境、习俗和风情等,寄 托人们对美好生活的向往。下图是一帧剪纸作品。据此完成4~6题。4.上图剪纸所反映的景观主要分布于我国( ) A.四川盆地 B.华北平原 C.珠江三角洲 D.长江三角洲 5.形成这种景观特征的自然条件有( ) A.沟壑纵横,降水集中 B.地势低平,降水丰沛 C.地形封闭,排水不畅 D.山河相间,降水均匀 6.该景观主要分布区具代表性的地方剧种是( ) A.川剧 B.豫剧 C.粤剧 D.越剧 答案 4.D 5.B 6.D 解析 第4题,由材料可知,剪纸表现的内容可以反映人们的生活环境、习俗和风情等,图 中反映出的小桥流水人家是江南水乡苏浙一带景观,故选D。第5题,图中景观为小桥流水 人家,是“水乡泽国”的真实写照。江南水乡的形成主要与区域地形和气候有关,反映了当 地年降水量丰富、地势低平、河网纵横交错的自然环境特征,故选B。第6题,文化在不同 区域有不同表现,川剧主要流行于四川等地,豫剧主要流行于河南等地,粤剧主要流行于广 东等地,越剧主要流行于上海、浙江、江苏、福建等地,故选D。 课时精练 (2023·湖南株洲模拟)天津市户籍人口和常住人口的年龄结构存在很大差异,下图是 “2005~2017年天津市户籍人口和常住人口的人口老龄化率的变化曲线图”。据此完成1~ 3题。1.常住人口与户籍人口的老龄化率的差异反映了( ) A.外来人口使户籍人口平均年龄下降 B.户籍人口的出生率低于常住人口 C.外来人口的平均年龄小于户籍人口 D.户籍人口数量大于常住人口数量 2.下列关于天津市人口发展状况说法正确的是( ) A.常住人口老龄化率持续增加 B.常住人口的出生率波动变化 C.外来人口增长速度持续提升 D.外来人口增量呈现波动变化 3.天津市常住人口增长最多的年份可能是( ) A.2005年 B.2010年 C.2014年 D.2017年 答案 1.C 2.D 3.B 解析 第1题,读图可知,天津市户籍人口的老龄化率一直高于常住人口,而常住人口包括 户籍人口和外来人口,因此外来人口的平均年龄小于户籍人口。C正确。第2题,由上题分 析可知,外来人口主要以青壮年为主,外来人口会拉低常住人口的老龄化率。外来人口数量 多的年份,常住人口与户籍人口老龄化率差距加大;外来人口数量少的年份,常住人口与户 籍人口老龄化率差距缩小。图中常住人口与户籍人口的老龄化率差值呈现较大的波动,反映 出外来人口的数量在不同时期存在较大差异,C错误,D正确;由图可知,常住人口老龄化 率曲线存在波动,并不是持续增加,A错误;从材料中无法判断常住人口的出生率,排除 B。第3题,影响天津市常住人口变化的主要因素是外来人口的迁入。天津市外来人口以青 壮年为主,故从人口老龄化率的变化来看,外来人口的迁入会降低天津市常住人口的老龄化 率,而天津市常住人口的老龄化率在2010年最低,因此2010年天津市外来人口最多,即常 住人口增长最多,B正确。 (2024·内蒙古呼和浩特模拟)三江平原曾是大片沼泽湿地,现在是我国重要的商品粮基地。 近年来,三江平原地下水位持续下降。该地土壤表层为黏土层,下层为砂砾层。由于我国大 豆进口量居高不下,2022年黑龙江省积极探索开展“稻改豆”,补助政策向种植大豆倾斜。下图示意三江平原农作物种植面积的变化。据此完成4~6题。 4.2000~2015年三江平原种植结构的变化特点为( ) A.2000~2010年,农作物种植结构基本稳定 B.2005~2015年,水稻和玉米比例显著上升 C.2000年以来,粮食作物的比重显著下降 D.2000年以来,水稻的种植面积逐年上升 5.近年来,三江平原地下水位下降的主要原因是( ) A.沼泽湿地面积减小,地表水下渗严重 B.黏土层下渗量增大,地下水流失严重 C.农业生产用水量大,过量开采地下水 D.年降水量持续减少,地下水补给不足 6.当地进行“稻改豆”的主要目的是( ) A.稳定水稻生产的收入 B.解决水资源短缺现状 C.延长该地农业生长期 D.保障食用油稳定供应 答案 4.B 5.C 6.D 解析 第4题,读图可知,2000~2010年,水稻种植面积显著提升,农作物种植结构变化 明显,A错误;2005~2015年,水稻和玉米种植面积显著提升,所占比例显著上升,B正确、 C错误;根据图示信息,无法判断图中农作物种植面积的逐年变化情况,D错误。第5题, 地表水下渗会补给地下水,提高地下水位,A错误;黏土层相对砂砾层透水性差,下渗较小, B错误;三江平原是我国商品粮基地之一,农业生产用水量大,过量开采地下水,使得地下 水位下降,C正确;近年来气候变化相对较小,年降水量并没有持续减少,D错误。第6题, 结合材料可知,我国大豆进口量居高不下,当地进行“稻改豆”能够有效增加大豆产量,较 好的保障食用油稳定供应,D正确。 (2023·湖北武汉期末)中国“智轨”列车采用纯电动技术,能够实现智能驾驶,可在普通 路面专用道上行驶,为城市出行提供了一种兼顾运量和投资的全新选择。目前,全球首条 “智轨”T1线在四川宜宾部分建成并开通运营。下图示意T1规划线路及运营景观。据此完成7~9题。 7.作为中等城市的宜宾,选择发展“智轨”交通而非地铁的主要原因是“智轨”交通( ) A.建设周期短 B.建设成本低 C.运营成本低 D.乘坐更方便 8.与传统的公交相比,“智轨”交通的突出优势是( ) A.运费更低 B.维护方便 C.机动灵活 D.安全高效 9.与宜宾“智轨”交通站点密度关联度最大的要素是( ) A.客运总量 B.经济水平 C.人流密度 D.住宅密度 答案 7.B 8.D 9.C 解析 第7题,根据图文材料可知,“智轨”可在地面上运行,而地铁一般在地下运行,因 此“智轨”的建设成本低于地铁,而作为中等城市的宜宾,经济能力有限,选择发展“智 轨”交通的主要原因是建设成本低。和建设周期短、运营成本低、乘坐方便都有一定关系, 但不是主要原因,故选B。第8题,“智轨”列车长度较长,不够机动灵活,维护也不方便, B、C错误。运费可能更低,但并非突出优势,排除 A。“智轨”列车能够实现智能运行, 与传统公交相比,突出优势是安全高效,D正确。第9题,根据所学知识可知,“智轨”交 通站点密度的大小主要取决于沿线人流量的多少,因此,与宜宾“智轨”交通站点密度关联 度最大的要素是人流密度,C正确。 10.(2023·江苏连云港期末)阅读图文材料,回答下列问题。(20分) 材料一 中国已成为新能源汽车的最大生产国和消费市场。T公司是国外一家全球领先的电 动汽车及能源公司,产销电动汽车、太阳能板及储能设备。随着全球对于新能源汽车需求的 快速增加,该公司于2019年在我国上海临港产业园内建设了超级工厂。 材料二 下图为T公司电动汽车产业链供应商分布示意图和T公司上海超级工厂位置示意 图。(1)简述T公司中国产业链的特点。(6分) (2)分析T公司在上海建厂的原因。(6分) (3)简述T公司在上海建厂对我国新能源汽车产业产生的影响。(8分) 答案 (1)相关生产企业集中分布于我国东部地区,产生集聚效应,降低生产成本;供应链 生产基础好,成熟度高;提供非核心零部件,利润较低。 (2)有效提高产能;抢占中国广阔市场;临港便于产品外运;产业基础好,配套产业齐全; 政策支持。 (3)带动相关产业发展,促进经济发展;促进我国新能源车企自主创新发展,提高中国车企 国际竞争力;提供就业机会,吸引高端人才;扩大中国新能源汽车出口规模;促进我国持续 加大对新能源汽车资金和技术的投入,打造我国知名新能源汽车品牌。