当前位置:首页>文档>专题12 训练2 经济全球化与对外开放_8.2025政治总复习_2023年新高考资料_二轮复习_2023年高考政治二轮复习讲义+课件(新高考版)_2023年高考政治二轮复习讲义(新高考版)_学生版

专题12 训练2 经济全球化与对外开放_8.2025政治总复习_2023年新高考资料_二轮复习_2023年高考政治二轮复习讲义+课件(新高考版)_2023年高考政治二轮复习讲义(新高考版)_学生版

  • 2026-04-02 14:42:22 2026-03-14 13:00:01

文档预览

专题12 训练2 经济全球化与对外开放_8.2025政治总复习_2023年新高考资料_二轮复习_2023年高考政治二轮复习讲义+课件(新高考版)_2023年高考政治二轮复习讲义(新高考版)_学生版
专题12 训练2 经济全球化与对外开放_8.2025政治总复习_2023年新高考资料_二轮复习_2023年高考政治二轮复习讲义+课件(新高考版)_2023年高考政治二轮复习讲义(新高考版)_学生版
专题12 训练2 经济全球化与对外开放_8.2025政治总复习_2023年新高考资料_二轮复习_2023年高考政治二轮复习讲义+课件(新高考版)_2023年高考政治二轮复习讲义(新高考版)_学生版
专题12 训练2 经济全球化与对外开放_8.2025政治总复习_2023年新高考资料_二轮复习_2023年高考政治二轮复习讲义+课件(新高考版)_2023年高考政治二轮复习讲义(新高考版)_学生版
专题12 训练2 经济全球化与对外开放_8.2025政治总复习_2023年新高考资料_二轮复习_2023年高考政治二轮复习讲义+课件(新高考版)_2023年高考政治二轮复习讲义(新高考版)_学生版
专题12 训练2 经济全球化与对外开放_8.2025政治总复习_2023年新高考资料_二轮复习_2023年高考政治二轮复习讲义+课件(新高考版)_2023年高考政治二轮复习讲义(新高考版)_学生版

文档信息

文档格式
docx
文档大小
0.476 MB
文档页数
6 页
上传时间
2026-03-14 13:00:01

文档内容

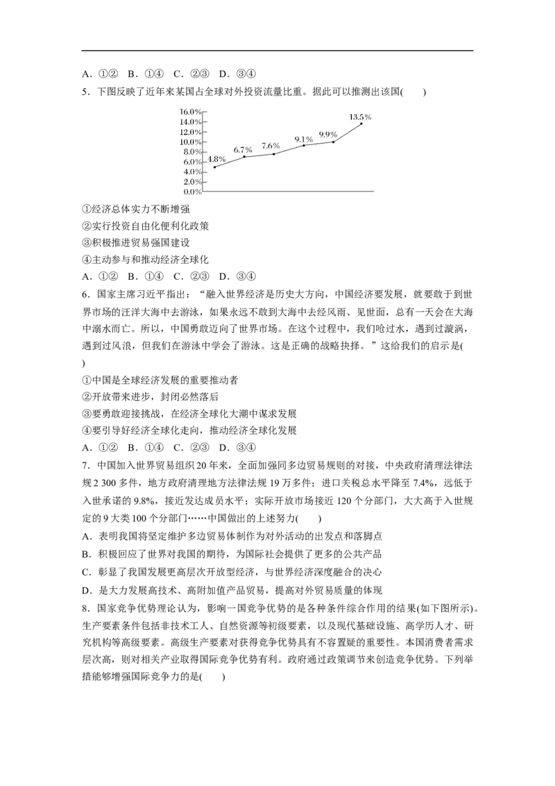
训练 2 经济全球化与对外开放 一、选择题 1.俄罗斯糖果、印度手工艺品、巴西蜂胶、南非葡萄酒……越来越多来自其他金砖国家的 特色产品,成为中国网购热销品。来自中国的服饰、手机、消费电子等“中国制造”产品也 进入更多金砖国家百姓家庭。加强金砖国家之间贸易合作的积极意义在于( ) A.解决南北发展失衡,助力彼此经济发展 B.拓展各国人文交流,搭建情感沟通桥梁 C.发挥各自比较优势,开辟巨大发展空间 D.加大基础设施投资,加快区域互联互通 2.苹果公司不顾美国政府的反对,决定将位于美国的新款 MacPro生产线移往中国。苹果 公司发言人说:“和我们所有的产品一样,新款MacPro也是在加州设计的,零部件来自包 括美国在内的多个国家,最终组装只是生产过程的一部分。”这表明( ) ①中国是经济全球化的最大受益者 ②营商环境优化吸引外国公司到我国投资 ③经济全球化符合跨国公司的利益 ④各国生产活动成为世界生产链条中的一个环节 A.①② B.②③ C.②④ D.③④ 3.在经济全球化中,如何精确地计算各国在贸易中的所得,是人们关注的问题。“要素收 入贸易”包括专利、商标、版权、品牌、设计、软件、数据库等无形资产。研究者运用“要 素收入贸易”这一概念把无形资产服务出口纳入国际贸易统计后发现,中美贸易顺差比传统 总贸易统计体系所计算的数值减少了约 1/3,且也比增加值贸易统计框架下的估值低 17.4%。由此可见( ) A.跨国公司的行为极大地推动了金融全球化 B.生产要素的跨国流动促进了国际分工的发展 C.传统的贸易统计体系高估了美国的真实出口额 D.传统计算方式未能客观反映经济全球化给各国带来的益处 4.《区域全面经济伙伴关系协定》(RCEP)为当前世界上参与人口最多、成员结构最多元、 经贸规模最大、最具发展潜力的自由贸易协定。2022年1月1日,协定对已提交核准书的文 莱、柬埔寨、越南等6个东盟成员国和中国、日本、新西兰、澳大利亚等4个非东盟成员国 正式生效。下列推断正确的是( ) ①中国推动国内规则、标准等制度与协定衔接,全面履行协定规定的义务 ②中国到东盟国家的游客会以更低的价格购买到旅游纪念品 ③协定成员国贸易制度将进一步趋同,区域经济一体化程度提升 ④进一步发挥区域内经济体比较优势,提升其在全球价值链中的整体地位A.①② B.①④ C.②③ D.③④ 5.下图反映了近年来某国占全球对外投资流量比重。据此可以推测出该国( ) ①经济总体实力不断增强 ②实行投资自由化便利化政策 ③积极推进贸易强国建设 ④主动参与和推动经济全球化 A.①② B.①④ C.②③ D.③④ 6.国家主席习近平指出:“融入世界经济是历史大方向,中国经济要发展,就要敢于到世 界市场的汪洋大海中去游泳,如果永远不敢到大海中去经风雨、见世面,总有一天会在大海 中溺水而亡。所以,中国勇敢迈向了世界市场。在这个过程中,我们呛过水,遇到过漩涡, 遇到过风浪,但我们在游泳中学会了游泳。这是正确的战略抉择。”这给我们的启示是( ) ①中国是全球经济发展的重要推动者 ②开放带来进步,封闭必然落后 ③要勇敢迎接挑战,在经济全球化大潮中谋求发展 ④要引导好经济全球化走向,推动经济全球化发展 A.①② B.①④ C.②③ D.③④ 7.中国加入世界贸易组织20年来,全面加强同多边贸易规则的对接,中央政府清理法律法 规2 300多件,地方政府清理地方法律法规 19万多件;进口关税总水平降至7.4%,远低于 入世承诺的9.8%,接近发达成员水平;实际开放市场接近 120个分部门,大大高于入世规 定的9大类100个分部门……中国做出的上述努力( ) A.表明我国将坚定维护多边贸易体制作为对外活动的出发点和落脚点 B.积极回应了世界对我国的期待,为国际社会提供了更多的公共产品 C.彰显了我国发展更高层次开放型经济,与世界经济深度融合的决心 D.是大力发展高技术、高附加值产品贸易,提高对外贸易质量的体现 8.国家竞争优势理论认为,影响一国竞争优势的是各种条件综合作用的结果(如下图所示)。 生产要素条件包括非技术工人、自然资源等初级要素,以及现代基础设施、高学历人才、研 究机构等高级要素。高级生产要素对获得竞争优势具有不容置疑的重要性。本国消费者需求 层次高,则对相关产业取得国际竞争优势有利。政府通过政策调节来创造竞争优势。下列举 措能够增强国际竞争力的是( )①国家加强知识产权保护,营造良好的创新环境 ②积极参与国际分工与合作,发展组装业和制造业 ③形成以技术、品牌、质量、服务为核心的出口竞争优势 ④加强职业培训,提高劳动者素质,用脑力劳动取代体力劳动 A.①③ B.①④ C.②③ D.②④ 9.下表为某年度A省的出口增长情况。由表中数据可知,该省( ) 指标 出口额 出口产品 出口地区 比上 机电 高新技 一般 加工 亚洲 欧洲 北美 非洲 拉美 年增 产品 术产品 贸易 贸易 11.5 长 25 116.4 -0.9 64.1 20.3 9.6 19.4 -13.3 -11.8 (%) ①对外贸易平衡发展,投资结构不断优化 ②坚持市场多元化战略,充分利用国际市场 ③提高开放型经济水平,出口结构不断优化 ④将“引进来”与“走出去”相结合,维护经济安全 A.①③ B.①④ C.②③ D.②④ 10.仅用10年时间,我国高铁技术实现了从国外引进到自主创新、发展、提高,再到走出 国门与当年的强者竞争的转变。如今,中国高铁“走出去”的步伐越来越快、范围越来越广, 已成为中国制造的一张“黄金名片”。这充分说明( ) ①自主创新能力的提高,推动我国开放由“引进来”向“走出去”转变 ②我国发展对外经济关系必须始终坚持独立自主、自力更生的基本原则 ③中国高铁技术日益成熟,已初显技术、品牌、质量等出口竞争新优势 ④要建设包容型世界经济,凝聚互动合力,推动各国经济均衡协调发展 A.①② B.②③ C.①④ D.③④ 11.中国石化致力于推进中国“一带一路”倡议和沙特“2030愿景”的有机对接,投资86 亿美元在沙特合资建立延布炼厂,助力沙特从资源输出国转型为资源深加工国,累计培训沙 特籍员工6万余人次,提高沙特年轻人业务技能。这一事例说明中国企业在“走出去”过程 中( ) ①积极推动项目发展与所在国家需求同频共振②以品牌、质量和服务为抓手培育出口竞争力 ③坚持互利共赢,支持投资对象国可持续发展 ④优化投资结构,加快转变对外经济发展方式 A.①② B.①③ C.②④ D.③④ 12.2022年1-5月,从促进内外贸一体化发展意见的发布,到部际工作机制第一次全体会 议召开,再到一体化试点抓紧推出……内外贸一体化发展、进口和出口协调发展、畅通国内 国际双循环政策不断加速释出。这些政策举措旨在( ) ①坚持引进来和走出去并重,完善内外联动的开放格局 ②通过高水平的贸易便利化政策,实现更高质量的发展 ③适应经济全球化新趋势,发展更高层次的开放型经济 ④创新对外投资方式,培育国际经济合作与竞争新优势 A.①③ B.①④ C.②③ D.②④ 13.“关键核心技术是要不来、买不来、讨不来的。”我国要始终坚持独立自主、自力更生 的原则,有的放矢地增强自主创新能力。这需要( ) ①不盲目排外,奉行互利共赢的开放战略 ②把握创新主动权、发展主动权 ③实现关键技术自主可控 ④推动中外在关键领域的技术合作 A.①② B.①④ C.②③ D.③④ 14.《区域全面经济伙伴关系协定》(RCEP)于2022年1月1日开始生效。RCEP谈判涉及 16方,包括柬埔寨、越南等东盟成员国和中国、日本等非东盟成员国,历时8年。中国始 终是RCEP谈判最坚定的支持者,其作用主要体现在( ) ①顺应经济全球化,推动区域性国际组织的形成 ②国际事务中的代表性和话语权进一步增强 ③推动协定签署,在谈判中发挥了重要的主导作用 ④维护多边贸易体制,推动开放型世界经济的建设 A.①② B.①③ C.②④ D.③④ 15.2022年4月7日,《中华人民共和国政府和新西兰政府关于升级〈中华人民共和国政府 和新西兰政府自由贸易协定〉的议定书》正式生效。《中华人民共和国政府和新西兰政府自 由贸易协定》是中国与发达国家签署的第一个自贸协定,于2008年签署并生效,也是我国 与其他国家签署的第一个涵盖货物贸易、服务贸易、投资等诸多领域的双边全面自贸协定。 近年来,我国不断扩大经贸合作伙伴朋友圈,强化中国经济的合作外延和韧性,让更多国家 有机会利用中国机遇,收获中国红利。这表明我国( ) ①推动经济全球化更加平衡发展 ②坚持以维护共同利益为出发点 ③坚持正确义利观,做全球发展的贡献者 ④完善全球治理机制,主导建立国际新体系 A.①③ B.①④ C.②③ D.③④二、非选择题 16.阅读材料,回答问题。 中欧班列是指来往于中国的重庆、成都、郑州等多个城市和欧洲以及“一带一路”沿 线多个国家的集装箱货运列车。 截至2022年1月,中欧班列累计开行突破5万列。中欧班列的快速发展,有力带动了 我国内陆城市的发展,一些不靠海不沿边的城市依托中欧班列,逐步发展为对外开放新高地。 结合材料,运用所学知识,说明中欧班列是如何促进互利共赢的。 17.阅读材料,回答问题。 当今世界,最稀缺的资源是市场。我们要更好统筹国内国际两个市场,推动经济高质 量发展。 【建设全国统一大市场】 我国有14亿多人口,其中中等收入群体超过 4亿多人,是世界上独一无二的国内大市 场。2022年4月10日发布的《中共中央 国务院关于加快建设全国统一大市场的意见》(下 称《意见》),要求加快建设高效规范、公平竞争、充分开放的全国统一大市场,全面推动 我国市场由大到强转变。 党的十八大以来,我国在一些重要领域和关键环节改革取得实质性进展,科技创新能 力显著提升,已经从跟随向并肩和领跑发力。但是,从宏观来看,科技资源依然存在配置错 位的问题,科技资源碎片化、利用效率低,科技研发风险大,与新形势新要求还不相适应。 《意见》提出,把促进科技创新和产业升级作为加快建设全国统一大市场的主要目标之一。 (1)建设全国统一大市场能够推动科技创新。结合材料并运用经济与社会知识对这一判断予 以说明。【推动区域经济一体化发展】 2022年1月1日,《区域全面经济伙伴关系协定》(RCEP)正式实施。RCEP协定由东盟 十国及中国、日本、韩国、澳大利亚、新西兰签署,其总人口、经济体量、贸易总额均占全 球总量约30%,被誉为“全球最大自贸区”。“协定的生命在于实施。”中国商务部新闻 发言人表示,商务部将会同协定涉及的各相关部门,及时出台《关于高质量实施 RCEP的指 导意见》,帮助地方和企业更好更充分地运用RCEP规则,把握市场开放机遇,推动东亚地 区实现更高质量、更深层次的区域经济一体化。 (2)有人提出疑问:我国加快建设全国统一大市场,还有必要继续推动区域经济一体化深入 发展吗?请结合材料,运用当代国际政治与经济知识对此予以答复。