当前位置:首页>文档>专题4-2正余弦定理中的高频小题归类(解析版)_2.2025数学总复习_2023年新高考资料_二轮复习_2023年高考数学二轮热点题型归纳演练(新高考专用)

专题4-2正余弦定理中的高频小题归类(解析版)_2.2025数学总复习_2023年新高考资料_二轮复习_2023年高考数学二轮热点题型归纳演练(新高考专用)

  • 2026-04-16 05:50:28 2026-03-18 00:01:13

文档预览

专题4-2正余弦定理中的高频小题归类(解析版)_2.2025数学总复习_2023年新高考资料_二轮复习_2023年高考数学二轮热点题型归纳演练(新高考专用)
专题4-2正余弦定理中的高频小题归类(解析版)_2.2025数学总复习_2023年新高考资料_二轮复习_2023年高考数学二轮热点题型归纳演练(新高考专用)
专题4-2正余弦定理中的高频小题归类(解析版)_2.2025数学总复习_2023年新高考资料_二轮复习_2023年高考数学二轮热点题型归纳演练(新高考专用)
专题4-2正余弦定理中的高频小题归类(解析版)_2.2025数学总复习_2023年新高考资料_二轮复习_2023年高考数学二轮热点题型归纳演练(新高考专用)
专题4-2正余弦定理中的高频小题归类(解析版)_2.2025数学总复习_2023年新高考资料_二轮复习_2023年高考数学二轮热点题型归纳演练(新高考专用)
专题4-2正余弦定理中的高频小题归类(解析版)_2.2025数学总复习_2023年新高考资料_二轮复习_2023年高考数学二轮热点题型归纳演练(新高考专用)
专题4-2正余弦定理中的高频小题归类(解析版)_2.2025数学总复习_2023年新高考资料_二轮复习_2023年高考数学二轮热点题型归纳演练(新高考专用)
专题4-2正余弦定理中的高频小题归类(解析版)_2.2025数学总复习_2023年新高考资料_二轮复习_2023年高考数学二轮热点题型归纳演练(新高考专用)
专题4-2正余弦定理中的高频小题归类(解析版)_2.2025数学总复习_2023年新高考资料_二轮复习_2023年高考数学二轮热点题型归纳演练(新高考专用)
专题4-2正余弦定理中的高频小题归类(解析版)_2.2025数学总复习_2023年新高考资料_二轮复习_2023年高考数学二轮热点题型归纳演练(新高考专用)
专题4-2正余弦定理中的高频小题归类(解析版)_2.2025数学总复习_2023年新高考资料_二轮复习_2023年高考数学二轮热点题型归纳演练(新高考专用)
专题4-2正余弦定理中的高频小题归类(解析版)_2.2025数学总复习_2023年新高考资料_二轮复习_2023年高考数学二轮热点题型归纳演练(新高考专用)
专题4-2正余弦定理中的高频小题归类(解析版)_2.2025数学总复习_2023年新高考资料_二轮复习_2023年高考数学二轮热点题型归纳演练(新高考专用)
专题4-2正余弦定理中的高频小题归类(解析版)_2.2025数学总复习_2023年新高考资料_二轮复习_2023年高考数学二轮热点题型归纳演练(新高考专用)
专题4-2正余弦定理中的高频小题归类(解析版)_2.2025数学总复习_2023年新高考资料_二轮复习_2023年高考数学二轮热点题型归纳演练(新高考专用)
专题4-2正余弦定理中的高频小题归类(解析版)_2.2025数学总复习_2023年新高考资料_二轮复习_2023年高考数学二轮热点题型归纳演练(新高考专用)
专题4-2正余弦定理中的高频小题归类(解析版)_2.2025数学总复习_2023年新高考资料_二轮复习_2023年高考数学二轮热点题型归纳演练(新高考专用)
专题4-2正余弦定理中的高频小题归类(解析版)_2.2025数学总复习_2023年新高考资料_二轮复习_2023年高考数学二轮热点题型归纳演练(新高考专用)
专题4-2正余弦定理中的高频小题归类(解析版)_2.2025数学总复习_2023年新高考资料_二轮复习_2023年高考数学二轮热点题型归纳演练(新高考专用)
专题4-2正余弦定理中的高频小题归类(解析版)_2.2025数学总复习_2023年新高考资料_二轮复习_2023年高考数学二轮热点题型归纳演练(新高考专用)
专题4-2正余弦定理中的高频小题归类(解析版)_2.2025数学总复习_2023年新高考资料_二轮复习_2023年高考数学二轮热点题型归纳演练(新高考专用)
专题4-2正余弦定理中的高频小题归类(解析版)_2.2025数学总复习_2023年新高考资料_二轮复习_2023年高考数学二轮热点题型归纳演练(新高考专用)
专题4-2正余弦定理中的高频小题归类(解析版)_2.2025数学总复习_2023年新高考资料_二轮复习_2023年高考数学二轮热点题型归纳演练(新高考专用)
专题4-2正余弦定理中的高频小题归类(解析版)_2.2025数学总复习_2023年新高考资料_二轮复习_2023年高考数学二轮热点题型归纳演练(新高考专用)
专题4-2正余弦定理中的高频小题归类(解析版)_2.2025数学总复习_2023年新高考资料_二轮复习_2023年高考数学二轮热点题型归纳演练(新高考专用)
专题4-2正余弦定理中的高频小题归类(解析版)_2.2025数学总复习_2023年新高考资料_二轮复习_2023年高考数学二轮热点题型归纳演练(新高考专用)
专题4-2正余弦定理中的高频小题归类(解析版)_2.2025数学总复习_2023年新高考资料_二轮复习_2023年高考数学二轮热点题型归纳演练(新高考专用)
专题4-2正余弦定理中的高频小题归类(解析版)_2.2025数学总复习_2023年新高考资料_二轮复习_2023年高考数学二轮热点题型归纳演练(新高考专用)
专题4-2正余弦定理中的高频小题归类(解析版)_2.2025数学总复习_2023年新高考资料_二轮复习_2023年高考数学二轮热点题型归纳演练(新高考专用)
专题4-2正余弦定理中的高频小题归类(解析版)_2.2025数学总复习_2023年新高考资料_二轮复习_2023年高考数学二轮热点题型归纳演练(新高考专用)
专题4-2正余弦定理中的高频小题归类(解析版)_2.2025数学总复习_2023年新高考资料_二轮复习_2023年高考数学二轮热点题型归纳演练(新高考专用)
专题4-2正余弦定理中的高频小题归类(解析版)_2.2025数学总复习_2023年新高考资料_二轮复习_2023年高考数学二轮热点题型归纳演练(新高考专用)
专题4-2正余弦定理中的高频小题归类(解析版)_2.2025数学总复习_2023年新高考资料_二轮复习_2023年高考数学二轮热点题型归纳演练(新高考专用)
专题4-2正余弦定理中的高频小题归类(解析版)_2.2025数学总复习_2023年新高考资料_二轮复习_2023年高考数学二轮热点题型归纳演练(新高考专用)
专题4-2正余弦定理中的高频小题归类(解析版)_2.2025数学总复习_2023年新高考资料_二轮复习_2023年高考数学二轮热点题型归纳演练(新高考专用)
专题4-2正余弦定理中的高频小题归类(解析版)_2.2025数学总复习_2023年新高考资料_二轮复习_2023年高考数学二轮热点题型归纳演练(新高考专用)
专题4-2正余弦定理中的高频小题归类(解析版)_2.2025数学总复习_2023年新高考资料_二轮复习_2023年高考数学二轮热点题型归纳演练(新高考专用)
专题4-2正余弦定理中的高频小题归类(解析版)_2.2025数学总复习_2023年新高考资料_二轮复习_2023年高考数学二轮热点题型归纳演练(新高考专用)
专题4-2正余弦定理中的高频小题归类(解析版)_2.2025数学总复习_2023年新高考资料_二轮复习_2023年高考数学二轮热点题型归纳演练(新高考专用)
专题4-2正余弦定理中的高频小题归类(解析版)_2.2025数学总复习_2023年新高考资料_二轮复习_2023年高考数学二轮热点题型归纳演练(新高考专用)
专题4-2正余弦定理中的高频小题归类(解析版)_2.2025数学总复习_2023年新高考资料_二轮复习_2023年高考数学二轮热点题型归纳演练(新高考专用)
专题4-2正余弦定理中的高频小题归类(解析版)_2.2025数学总复习_2023年新高考资料_二轮复习_2023年高考数学二轮热点题型归纳演练(新高考专用)
专题4-2正余弦定理中的高频小题归类(解析版)_2.2025数学总复习_2023年新高考资料_二轮复习_2023年高考数学二轮热点题型归纳演练(新高考专用)
专题4-2正余弦定理中的高频小题归类(解析版)_2.2025数学总复习_2023年新高考资料_二轮复习_2023年高考数学二轮热点题型归纳演练(新高考专用)
专题4-2正余弦定理中的高频小题归类(解析版)_2.2025数学总复习_2023年新高考资料_二轮复习_2023年高考数学二轮热点题型归纳演练(新高考专用)
专题4-2正余弦定理中的高频小题归类(解析版)_2.2025数学总复习_2023年新高考资料_二轮复习_2023年高考数学二轮热点题型归纳演练(新高考专用)
专题4-2正余弦定理中的高频小题归类(解析版)_2.2025数学总复习_2023年新高考资料_二轮复习_2023年高考数学二轮热点题型归纳演练(新高考专用)
专题4-2正余弦定理中的高频小题归类(解析版)_2.2025数学总复习_2023年新高考资料_二轮复习_2023年高考数学二轮热点题型归纳演练(新高考专用)
专题4-2正余弦定理中的高频小题归类(解析版)_2.2025数学总复习_2023年新高考资料_二轮复习_2023年高考数学二轮热点题型归纳演练(新高考专用)
专题4-2正余弦定理中的高频小题归类(解析版)_2.2025数学总复习_2023年新高考资料_二轮复习_2023年高考数学二轮热点题型归纳演练(新高考专用)

文档信息

文档格式
docx
文档大小
3.861 MB
文档页数
50 页
上传时间
2026-03-18 00:01:13

文档内容

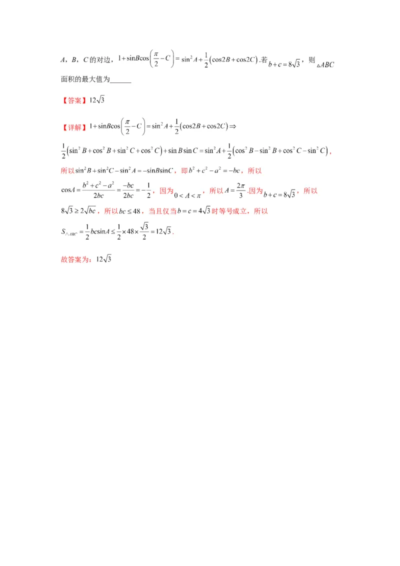
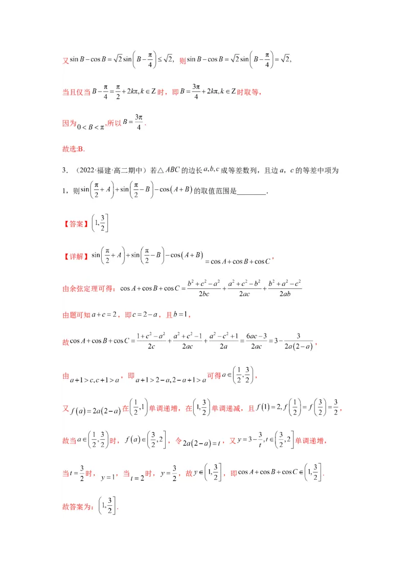
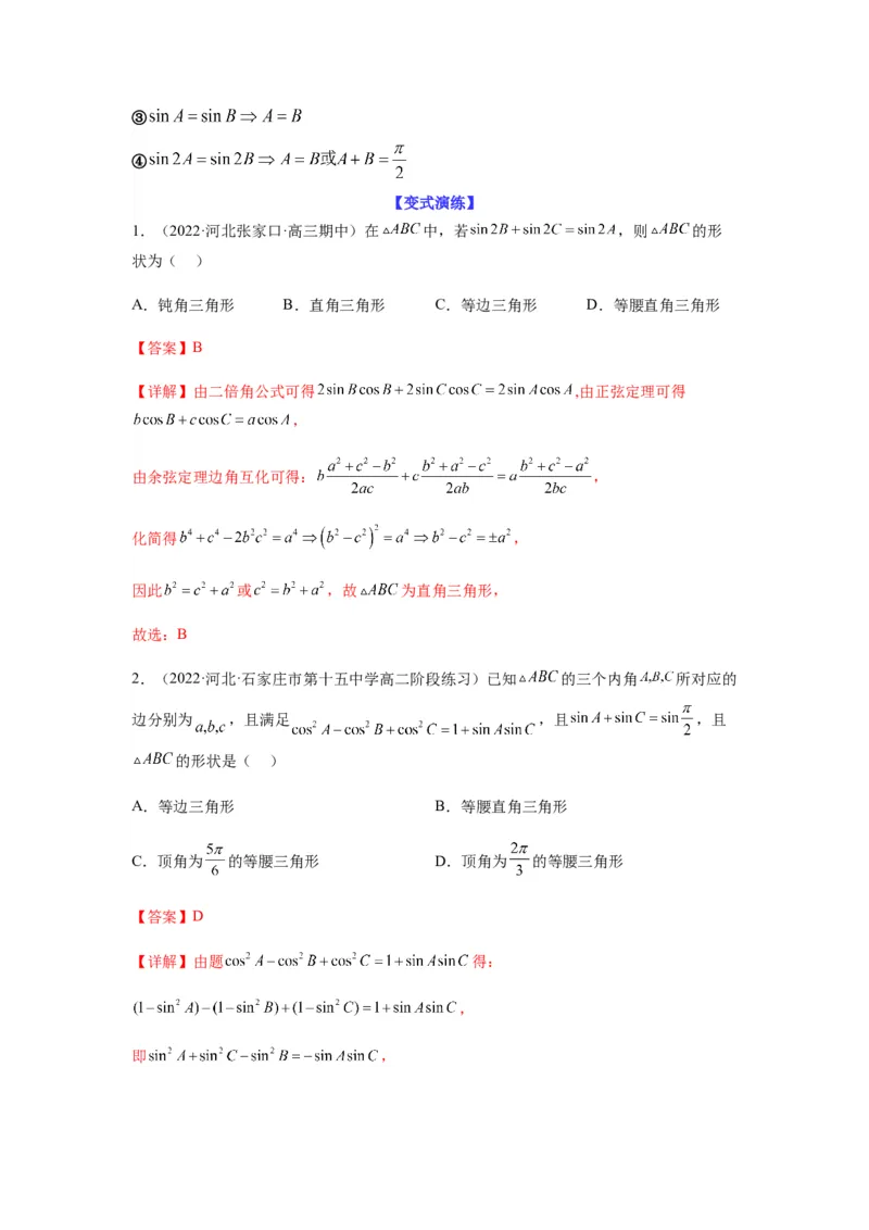
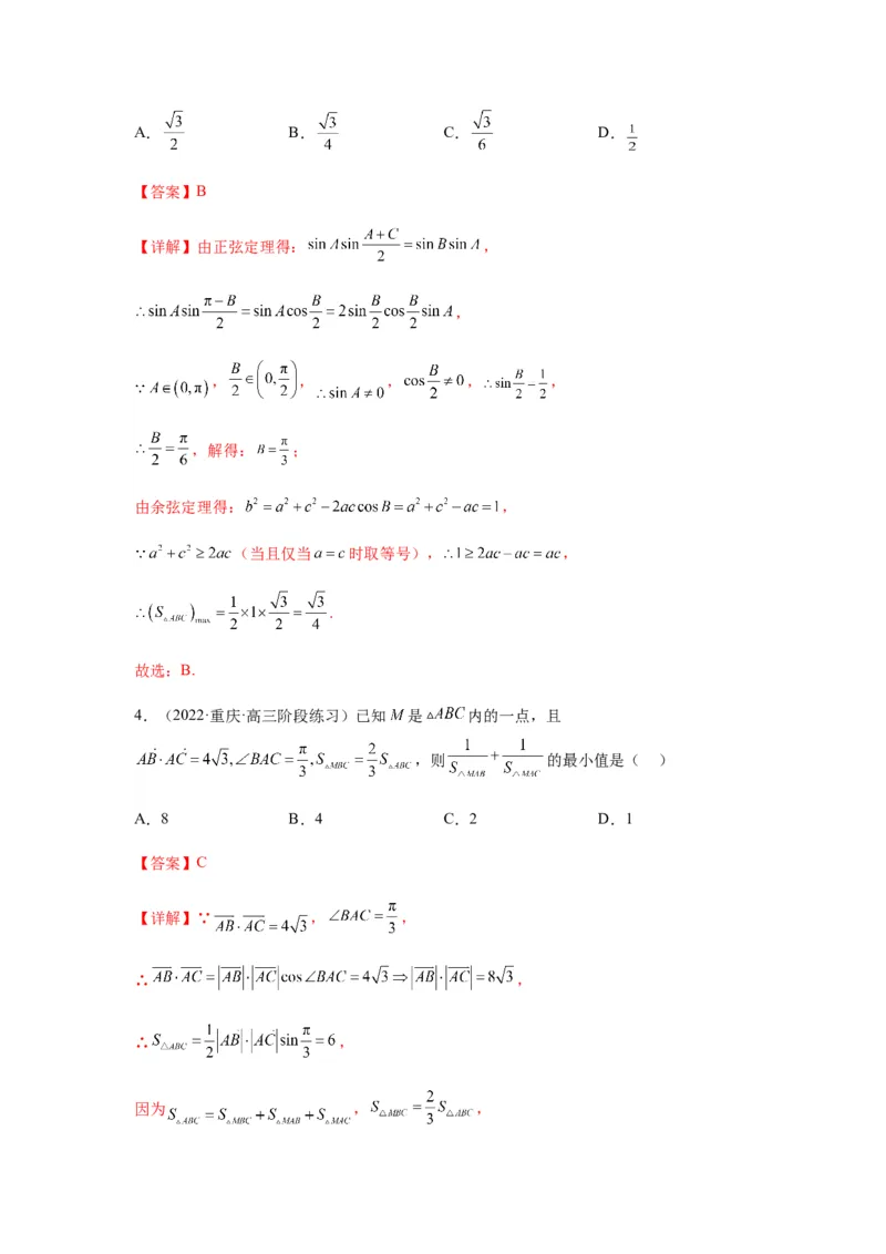
专题 4-2 正余弦定理中的高频小题归类 目录 专题4-2正余弦定理中的高频小题归类................................................................................................1 .....................................................................................1 题型一:利用正弦定理边角互化............................................................................................................1 题型二:利用余弦定理边角互化............................................................................................................5 题型三:利用正余弦定理解三角形......................................................................................................10 题型四:判断三角形解的个数..............................................................................................................16 题型五:利用正余弦定理判断三角形形状..........................................................................................22 题型六:三角形周长,面积问题..........................................................................................................26 题型七:正余弦定理实际应用..............................................................................................................32 ................................................................38 一、单选题..............................................................................................................................................38 二、多选题..............................................................................................................................................44 三、填空题..............................................................................................................................................46 题型一:利用正弦定理边角互化 【典例分析】 例题1.(2022·福建·浦城县第三中学高三期中)在 中,角 、 、 所对的边分 别为 、 、 .已知 ,且 为锐角,若 ,则 ( ) A. B. C. D. 【答案】A 【详解】由正弦定理可知, , ,又在 中, ,即 , 为锐角, , , 所以由正弦定理得: , 又 , 即 , , 故可得 ,即 , 故选:A 例题2.(2022·甘肃定西·高二开学考试)在锐角 中,若 ,则 的取值范 围是______ . 【答案】 【详解】 ,根据正弦定理 , 得: , , ,即 , 为锐角, , 又 , ,,即 , 则 的取值范围是 . 故答案为: . 【提分秘籍】 利用正弦定理边角互化主要思路: ; ; ; 化成角后,再进行相应的运算。 【变式演练】 1.(2022·河南·高三阶段练习(理))在 中,D为 边上一点, ,若 ,则 ____________. 【答案】 【详解】在 中,由正弦定理可得 .又 , 可得 ,且 , 则有 ①.又 ②,①②联立, 得 ,即 ,则 , 整理得 ,解得 或 . 因为 , D为 边上一点, 所以 为钝角,所以角 为锐角,所以 ,所以 舍去,故 . 故答案为: 2.(2022·上海市金山中学高一期末)记 的内角 的对边分别为 ,已知 的面积为S,且 ,则 ______. 【答案】 【详解】 ,则 , 由正弦定理得 , 故 ,∵ ,∴ ,∵ , ∴ . 故答案为: 3.(2022·江西宜春·高二阶段练习(理))在 ABC中,内角A,B,C所对的边分别为 a,b,c, , ,若点M满足 ,且 ∠MAB=∠MBA,则 AMC的面积为_____________. 【答案】 【详解】化简得: 又 , ∠MAB=∠MBA, , 在 中, , 解之: , , 故答案为: 题型二:利用余弦定理边角互化 【典例分析】 例题1.(2022·江苏·无锡市第一中学高三阶段练习)设 分别为 内角 的对边,若 ,且 ,则角 ________. 【答案】 【详解】因为 ,所以 ,即 即 ,所以 所以 或 因为 ,所以若 ,则 若 ,则 ,与 矛盾 所以 故答案为: 例题2.(2022·黑龙江·杜尔伯特蒙古族自治县第一中学高一阶段练习) 中 , ,则 最大值______. 【答案】 【详解】设 , , ,由余弦定理: , 所以 ,设 ,则 , 代入上式得 ,方程有解,所以 ,故 , 当 时,此时 , ,符合题意,因此最大值为 . 故答案为: . 例题3.(2022·全国·高三专题练习)在 中,角 , , 的对边分别为 , , ,若 ,且 ,则 的值为___________. 【答案】4 【详解】解:由余弦定理得 , 又 , 所以由正、余弦定理可得 ,即 , 则 . 又 , 所以 , 解得 (负值舍). 故答案为:4 【提分秘籍】 在 中,内角 ,所对的边分别是 ,则: ; 余弦定理的推论 ; ; 【变式演练】 1.(2022·广东江门·高三阶段练习)在 中,内角 , , 的对边长分别为 , , ,且 , ,则 的值为( ) A.6 B.5 C.4 D.3 【答案】C 【详解】由 可得,即 , 所以 , 所以 , 所以 , 所以 , 所以 , 所以 , 由正弦定理与余弦定理可得 , 即 , 因为 , 所以 , 解得 或 (舍) 故选:C 2.(2022·山西·晋城市第一中学校高三阶段练习) 中, ,则 ( ) A. B. C. 或 D.以上都不对 【答案】B 【详解】因为 , 由正弦定理得 , 由余弦定理得 即又 则 当且仅当 时,即 时取等, 因为 ,所以 . 故选:B. 3.(2022·福建·高二期中)若△ 的边长 成等差数列,且边a,c的等差中项为 1,则 的取值范围是________. 【答案】 【详解】 , 由余弦定理可得: 由题可知 ,即 ,且 , 故 , 由 ,即 可得 , 又 在 单调递增,在 单调递减,且 , 故当 时, ,令 ,又 单调递增, 当 时, ,当 时, ,故 ,即 . 故答案为: .4.(2022·四川成都·高三阶段练习(理))在 中,a,b,c分别是角A,B,C所对 的边,若 ;则当角A最大时, 的面积为______. 【答案】 【详解】由 , ,根据正弦定理以及余弦定理,则可得 ,整理可得 ,即 , 根据余弦定理,可得 ,由 ,当且仅当 等号成立, 可得 ,由函数 在 上单调递减,则当 时, 取最大, 故 ,则 . 故答案为: . 题型三:利用正余弦定理解三角形 【典例分析】 例题1.(2022·山西·高三阶段练习)在 中,内角 , , 所对的边分别为 , , .点 为 的中点, ,且 的面积为 ,则 ( ) A.1 B.2 C.3 D.4 【答案】A【详解】因为 ,由余弦定理得 ,即 , 又 ,得 , 所以 ,即 , 故 ,则 , 所以 ,故 . 故选:A. 例题2.(2022·湖北·高二期中)在 中,角 , , 所对的边分别为 , , , , 是 的平分线, , ,则 的最小值是 ( ) A.6 B. C. D.10 【答案】C 【详解】如下图所示:由题意可得,AD是∠A的平分线,则 . 则 , , 而 ,代入化简得, ,即 .则 , 当且仅当 ,即 时,等号成立.故最小值为 . 故选:C例题3.(2022·陕西·渭南市瑞泉中学高二阶段练习)在 中, , , , 是 边上的一点,且 ,则 的长为( ) A. B. C. D. 【答案】C 【详解】解:如图 由题意可知 ; , 所以由正弦定理得: , 在 中,由余弦定理可知, . 所以 . 故选:C. 【提分秘籍】 解三角形问题,综合应用正弦定理,余弦定理,有时候需要将边化为角,利用三角函数来 解三角形问题;求最值问题时也涉及到基本不等式. 【变式演练】 1.(2022·上海市金山中学高一期末)记 内角 的对边分别为 ,点 是 的重心,若 则 的取值是( ) A. B. C. D. 【答案】D【详解】依题意,作出图形, 因为点 是 的重心,所以 是 的中点,故 , 由已知得 , 因为 ,所以 , 又因为点 是 的重心,所以 ,则 , 又因为 ,所以 ,则 , 又由余弦定理得 ,所以 ,整 理得 , 因为 ,令 ,则 , 所以 , 则 . 故选:D. . 2.(2022·上海·复旦附中高一期末)已知 中,角A、B、C的对边分别为 、 、,若 ,则 的值为( ) A.3 B.4 C.7 D.8 【答案】C 【详解】因为 ,所以 即 , 由正弦定理得: , 由余弦定理得: , 整理得: , 所以 故选:C 3.(2022·四川省南充高级中学高二期中)在 中, 分别是角 的对 边, ,则角 的正弦值为( ) A. B. C. D.1 【答案】A 【详解】 , , , . 故选:A 4.(2022·福建·浦城县第三中学高三期中)在 中,角 、 、 所对的边分别为 、 、 .已知 ,且 为锐角,若 ,则 ( )A. B. C. D. 【答案】A 【详解】由正弦定理可知, , , 又在 中, ,即 , 为锐角, , , 所以由正弦定理得: , 又 , 即 , , 故可得 ,即 , 故选:A 5.(2022·黑龙江·大庆实验中学高三开学考试)在 中,角A,B,C的对边分别为 a,b,c,已知 ,若角A的内角平分线 的长为3,则 的最小值为( ) A.21 B.24 C.27 D.36 【答案】C【详解】在 中, ,由正弦定理得 , 即 ,由余弦定理得 ,而 ,则 , 因角A的内角平分线 的长为3,由 得: , 即 ,因此 ,则 , 当且仅当 ,即 时取等号, 所以当 时, 取得最小值27. 故选:C 题型四:判断三角形解的个数 【典例分析】 例题1.(2022·黑龙江·宾县第二中学高三阶段练习)在 中,内角 所对的 边分别为 ,则下列条件能确定三角形有两解的是( ) A. B. C. D. 【答案】B【详解】对于A:由正弦定理可知, ∵ ,∴ ,故三角形 有一解; 对于B:由正弦定理可知, , ∵ ,∴ ,故三角形 有两解; 对于C:由正弦定理可知, ∵ 为钝角,∴B一定为锐角,故三角形 有一解; 对于D:由正弦定理可知, ,故故三角形 无解. 故选:B. 例题2.(2022·上海·格致中学高二阶段练习)在下列关于 的四个条件中选择一 个,能够使角 被唯一确定的是:( ) ① ② ; ③ ; ④ . A.①② B.②③ C.②④ D.②③④ 【答案】B 【详解】对于① ,因为 ,所以 或 ,故①错误; 对于② ,因为 在 上单调,所以角 被唯一确定,故②正确; 对于③ ,因为 , ,所以 , 所以 ,所以 ,又 ,由正弦定理有 ,所以 ,所以角 被唯一确定,故③正确; 对于④ ,因为 , 所以 ,所以如图, 不唯一,故④错误.故A,C,D错误. 故选:B. 例题3.(2022·江苏徐州·高一期中)在 中,角 所对的边分别为 .已知 , ,请您给出一个 值,使得 有两解,则您给的 值为______. 【答案】3(满足 即可) 【详解】由正弦定理得 , 因为 ,故 , 又 有两解,即 有两个解,故 ,所以 故答案为:3(满足 即可) 例题4.(2022·重庆市育才中学高一阶段练习)在 中,角 所对的对边分 别为 ,若满足 的三角形有两解,则 的取值范围为__________.【答案】 【详解】解:由正弦定理可得 ,即 ,又 , 所以 , 因为 有两解,所以 ,且 , 所以 , 所以 的取值范围为 , 故答案为: . 【提分秘籍】 为锐角 为钝角或者直角 图 形 关 系 式 解 一解 两解 一解 一解 的 个 数 上表中若 为锐角, 当 时无解; 若 为钝角或直角,当 时无解. 【变式演练】1.(2022·江西萍乡·高一期末)在 中,分别根据下列条件解三角形,其中有唯一解 的是( ) A. B. C. D. 【答案】B 【详解】A:由 ,则 ,而 ,无解; B:由 ,则 ,而 ,有唯一解; C:由 ,则 ,而 ,有两解; D:由 ,则 ,而 ,有两解; 故选:B 2.(2022·青海玉树·高一期末)在 中,角 所对的边分别为 ,若 , , ,则此三角形解的情况为( ) A.无解 B.有两解 C.有一解 D.有无数解 【答案】C 【详解】由正弦定理 得: , , ,则 , , , , 只能为锐角的一个值, 只有一个解. 故选:C. 3.(2022·全国·高一课时练习)在 中, ,若该三角形有两解,则x的取值范围是__________. 【答案】 【详解】解:由 可得 因为 ,所以 要使三角形有两解,所以 且 所以 ,即 ,解得 , 故答案为: 4.(2022·河南·南阳中学模拟预测(文))在△ABC中,a,b,c分别为角A,B,C的对 边,若 ,且 有唯一解,则 的取值范围是___________. 【答案】 或 【详解】由正弦定理得 , 因为 有唯一解,当 时,即 , 唯一,符合题意,得 ; 当 时, 有两个值, 不唯一,不合题意; 当 时, , 所以 , 唯一,符合题意,得 . 所以 的取值范围为 或 . 故答案为: 或 .题型五:利用正余弦定理判断三角形形状 【典例分析】 例题1.(2022·全国·高一课时练习)在 中,角 的对边分别为 , ,则 的形状是( ) A.等腰直角三角形 B.直角三角形 C.等边三角形 D.等腰三角形 【答案】D 【详解】由 及正弦定理,得 , 在 中, ,所以 , 所以 ,即 ,于是 有 , 因为 所以 所以 ,即 , 所以 的形状是等腰三角形. 故选:D. 例题2.(2022·全国·高一课时练习)已知 分别为 三个内角 的对 边,且 ,则 是( ) A.等腰三角形 B.直角三角形 C.等腰直角三角形 D.等腰或直角三角形 【答案】D 【详解】由 及正弦定理,得 , 因为 ,所以 , 所以 ,即, 当 时,因为 ,所以 , 当 时,所以 ,即 , 因为 所以 , 所以 为等腰或直角三角形. 故选:D. 例题3.(2022·四川成都·高一期末)已知 内角 、 、 所对的边分别为 、 、 面积为 ,若 , ,则 的形状是( ) A.钝角三角形 B.直角三角形 C.正三角形 D.等腰直角三角形 【答案】C 【详解】由题设及正弦定理边角关系有 ,而 且 , 所以 ,又 ,可得 , 所以 ,故 , 而 ,又 , 所以 ,故 , ,可得 , 综上, 为正三角形. 故选:C 【提分秘籍】 ① , 为钝角三角形; ②③ ④ 【变式演练】 1.(2022·河北张家口·高三期中)在 中,若 ,则 的形 状为( ) A.钝角三角形 B.直角三角形 C.等边三角形 D.等腰直角三角形 【答案】B 【详解】由二倍角公式可得 ,由正弦定理可得 , 由余弦定理边角互化可得: , 化简得 , 因此 或 ,故 为直角三角形, 故选:B 2.(2022·河北·石家庄市第十五中学高二阶段练习)已知 的三个内角 所对应的 边分别为 ,且满足 ,且 ,且 的形状是( ) A.等边三角形 B.等腰直角三角形 C.顶角为 的等腰三角形 D.顶角为 的等腰三角形 【答案】D 【详解】由题 得: , 即 ,由正弦定理及余弦定理得 , 又 , 整理得 , 故 为顶角为 的等腰三角形 故选:D 3.(2022·福建省福州高级中学高一期末)在 中,角A,B,C对应边分别为a,b, c,已知三个向量 , , 共线,则 形状为 ( ) A.等边三角形 B.等腰三角形 C.直角三角形 D.等腰直角三角形 【答案】A 【详解】解: 向量 , 共线, . 由正弦定理得: . . , 所以则 . ,即 . 同理由 , 共线,可得 . 形状为等边三角形. 故选:A. 4.(2022·陕西·白水县白水中学高二阶段练习)在 中,内角 的对边分别为 ,且 ,则 的形状为( ) A.直角三角形 B.等腰三角形 C.等腰直角三角形 D.等边三角形 【答案】B 【详解】由已知,在 中, ,由正弦定理可知, , 所以 , 整理得, , 即 , 所以 或 (舍去). 所以 为等腰三角形. 故选:B. 题型六:三角形周长,面积问题 【典例分析】 例题1.(2022·河北张家口·高三期中)钝角 的内角 , , 的对边分别是 ,若 ,则 的面积为( )A. B. C. D. 或 【答案】C 【详解】由 及余弦定理可知, ,整理得 , 解得 或 ; 又因为 是钝角三角形,比较 三边大小可知, 为最大边, 所以C角为最大角,即C为钝角; ①当 时, ,符合题意, 此时 的面积为 ; ②当 时, ,不符合题意; 综上可知, 的面积为 . 故选:C. 例题2.(2022·全国·高三专题练习)在 中, 的平分线交 于点D, , ,则 周长的最小值为( ) A. B. C. D. 【答案】C 【详解】根据题意,设 , 因为 , , ,所以 ,即 , 所以 , 因为根据基本不等式有 , 所以 , ,当且仅当 时等号成立, 由余弦定理得 ,当且仅当 时等号 成立, 所以 ,当且仅当 时等号成立. 所以 周长的最小值为 . 故选:C 例题3.(2022·江苏·扬州中学高二开学考试)已知 的内角 对应的边分别 是 , 内角 的角平分线交边 于 点, 且 .若 , 则 面积的最小值是( ) A.16 B. C.64 D. 【答案】B 【详解】∵ , ∴ , 即 , 又 , , ∴ ,即 ,又 ,∴ , 由题可知 , , 所以 ,即 , 又 ,即 , 当且仅当 取等号, 所以 . 故选:B. 【提分秘籍】 1、三角形面积的计算公式: ① ; ② ; ③ (其中, 是三角形 的各边长, 是三角形 的内切圆 半径); ④ (其中, 是三角形 的各边长, 是三角形 的外接圆半径). 2、三角形面积最值: 核心技巧:利用基本不等式 ,再代入面积公式. 3、三角形面积取值范围: 核心技巧:利用正弦定理 , ,代入面积公式,再结合辅助角公 式,根据角的取值范围,求面积的取值范围. 4、利用正弦定理化角 核心技巧:利用正弦定理 , ,代入周长(边长)公式,再结合 辅助角公式,根据角的取值范围,求周长(边长)的取值范围.【变式演练】 1.(2022·全国·高二开学考试)在 中,内角A,B,C的对边分别为a,b,c,若 , ,且 的外接圆面积为 ,则 的面积为( ) A.24 B.25 C.27 D.28 【答案】D 【详解】易知 的外接圆半径 .由 可得 ,所以 , ,由 ,结合 正弦定理可得 ,所以 . 故选:D 2.(2022·江西赣州·高三期中(文))在 ABC中,a,b,c分别为角A,B,C的对边, , , ABC的面积为 , △ 则 的周长为( ) △ A.6 B.8 C. D. 【答案】C 【详解】因为 ABC的面积为 , ,故 , △ 即 , 由于 , 故 ,故 , 所以 , 所以 的周长为 , 故选:C 3.(2022·浙江·高三开学考试)若 ,则 的最大值是( )A. B. C.3 D. 【答案】B 【详解】解:设 ,则 , , 又 ,代入上式得 , 又 ,则 , 所以当 时, 取最大值 . 故选:B. 4.(2022·全国·高三专题练习)在 中,已知 为 边上的一点,且满足 , , 的面积是 面积的两倍,则 的面积为 ( ) A. B. C. D. 【答案】C 【详解】因为 ,所以 , 因为 的面积是 面积的两倍, 所以 , 所以 , 又由题意 是 的平分线,所以 , 不妨设 , ,结合已知得 ,由余弦定理得 ,解得 ,负值舍去, 所以 , 所以 , 因为 所以 , 所以 , 故选:C. 题型七:正余弦定理实际应用 【典例分析】 例题1.(2022·四川达州·高二期末(理))某班同学利用课外实践课,测量北京延庆 会展中心冬奥会火炬台“大雪花”的垂直高度 .在过 点的水平面上确定两观测点 ,在 处测得 的仰角为30°, 在 的北偏东60°方向上, 在 的正东方向30 米处,在 处测得 在北偏西60°方向上,则 ( ) A.10米 B.12米 C.16米 D.18米 【答案】A 【详解】由已知得, , , 米在 中,由正弦定理可得 ,求得 米 在直角 中, 米 故选:A 例题2.(2022·全国·高三专题练习(文))我国无人机技术处于世界领先水平,并广 泛民用于抢险救灾、视频拍摄、环保监测等领域.如图,有一个从地面 处垂直上升的无人 机 ,对地面 两受灾点的视角为 ,且 .已知地面上三处受灾点 共线,且 , ,则无人机 到地面受灾点 处的遥 测距离PD的长度是( ) A. B. C. D. 【答案】B 【详解】提示:法一:由题意,得 面 .设 记 , ,解得 或 ,又在 中有 选 .法二:由题, 面 .设 ,则 .由 ,在 中,由余弦定理得 ,解得 ,进而 选B. 故选:B. 【变式演练】 1.(2022·浙江·慈溪中学高三期中)雷峰塔又名黄妃塔、西关砖塔,位于浙江省杭州市西 湖区,地处西湖风景区南岸夕照山(海拔46米)之上.是吴越国王钱俶为供奉佛螺髻发舍 利、祈求国泰民安而建.始建于北宋太平兴国二年(977年),历代屡加重修.现存建筑以原 雷峰塔为原型设计,重建于2002年,是“西湖十景”之一,中国九大名塔之一,中国首座 彩色铜雕宝塔.李华同学为测量塔高,在西湖边相距 的 、 两处(海拔均约16米) 各放置一架垂直于地面高为 米的测角仪 、 (如图所示).在测角仪 处测得两个数 据:塔顶 仰角 及塔顶 与观测仪 点的视角 在测角仪 处 测得塔顶 与观测仪 点的视角 ,李华根据以上数据能估计雷锋塔 的高 度约为( )(参考数据: , ) A.70.5 B.71 C.71.5 D.72 【答案】C 【详解】在 中 , , , 所以 , 由正弦定理得 , 所以 ,在直角 中, , 将平面 画成平面图如图所示: 由题意知: , , , , 故选:C. 2.(2022·陕西·蓝田县城关中学高二期中(理))甲、乙两名学生决定利用解三角形的相 关知识估算一下友谊大厦的高度,甲同学在点A处测得友谊大厦顶端C的仰角是63.435°, 随后,他沿着某一方向直行 m后到达点B,测得友谊大厦顶端C的仰角为45°,乙同 学站在友谊大厦底端的点D,测量发现甲同学在移动的过程中,∠ADB恰好为60°,若 甲、乙两名同学始终在同一水平面上,则友谊大厦的高度大约是( )(参考数据: ) A.270m B.280m C.290m D.300m 【答案】B 【详解】如图所示:设友谊大厦的高度为 , 在直角 中, ,即 ;在直角 中, ,即 , 在 中,根据余弦定理: ,解得 , 故选:B 3.(2022·黑龙江·哈尔滨市剑桥第三高级中学有限公司高三阶段练习)如图甲,圣 索菲 亚教堂是哈尔滨的标志性建筑,其中央主体建筑集球、圆柱、棱柱于一体,极具对称之美.为 了估算索菲亚教堂的高度,在索菲亚教堂的正东方向找到一座建筑物 ,高约为40 , 如图乙,在它们之间的地面上的点 ( 三点共线)处测得楼顶 、教堂顶 的仰角 分别是 和 ,在楼顶 处测得塔顶 的仰角为 ,则估算索菲亚教堂的高度 约为 ( ) A.50 B.55 C.60 D.70 【答案】C 【详解】由题意知: , ,所以 , 在 中, , 在 中,由正弦定理得 ,所以 , 在 中, 故选:C 4.(2022·湖北·襄阳五中高三开学考试)如图为2022年北京冬奥会首钢滑雪大跳台示意 图,为测量大跳台最高点 距地面的距离,小明同学在场馆内的A点测得 的仰角为 , , , (单位: ),(点 在同一水平地面上), 则大跳台最高高度 ( ) A. B. C. D. 【答案】C 【详解】在 中, , ,所以 ,又 ,由正 弦定理可得, , , 在 中, , 所以, (m)故选:C. 一、单选题 1.(2022·陕西·汉阴县第二高级中学一模(文))在 中,角A,B,C的对边分别为 a,b,c,若 , ,且 外接圆的周长为 ,则 的周长为 ( ) A.20 B. C.27 D. 【答案】D 【详解】设 的外接圆半径为 ,则 ,解得: , 因为 ,由 , , 可得 , , 所以 , , 因为 , 由正弦定理可得: , 所以 的周长为 . 故选:D. 2.(2022·吉林·吉化第一高级中学校高三阶段练习)材料一:已知三角形三边长分别为 ,则三角形的面积为 ,其中 .这个公式被称为海伦一秦九韶公式.材料二:阿波罗尼奥斯(Apollonius)在《圆锥曲线论》中提出椭圆定 义:我们把平面内与两个定点 的距离的和等于常数(大于 )的点的轨迹叫做椭 圆.根据材料一或材料二解答:已知 中, ,则 面积的最大 值为( ) A.6 B.10 C.12 D.2 【答案】C 【详解】用材料一:根据海伦-秦九韶公式, ,其中 , 由题意,可知 , , ,且 , 故 , 当且仅当 ,即 时取等号. 用材料二:以 的中点为原点, 所在直线为 轴, 的垂直平分线为 轴, 由椭圆的定义易知,椭圆方程为 , 所以 面积 ( 为 到 的距离),, 可知当点 位于短轴的顶点时, 取到最大值为4, 所以 , 当且仅当 时取等号. 故选:C. 3.(2022·黑龙江·哈尔滨三中模拟预测)在 中,角 的对边分别为 ,若 , ,则 面积的最大值为( )A. B. C. D. 【答案】B 【详解】由正弦定理得: , , , , , , , ,解得: ; 由余弦定理得: , (当且仅当 时取等号), , . 故选:B. 4.(2022·重庆·高三阶段练习)已知 是 内的一点,且 ,则 的最小值是( ) A.8 B.4 C.2 D.1 【答案】C 【详解】∵ , , ∴ , ∴ , 因为 , ,所以 , 所以 , 当且仅当 ,即 时取等. 故选:C. 5.(2022·宁夏·银川三沙源上游学校高二期中(理))云台阁,位于镇江西津渡景区,全 全落于云台山北峰,建筑形式具有宋、元古建特征.如图,小明同学为测量云台阁的高度, 在云台阁的正东方向找到一座建筑物AB,高为12 ,在它们的地面上的点M(B,M,D 三点共线)测得楼顶A,云台阁顶部C的仰角分别为15°和60°,在楼顶A处测得阁顶部C 的仰角为30°,则小明估算云台阁的高度为( ) ( , ,精确到1 ) A.42 B.45 C.51 D.57 【答案】D 【详解】因为 , 所以在 中, ,故 , 在 中, ,则 ,所以由正弦定理得 ,故 , 所以在 中, ,故 . 故选:D. 6.(2022·江苏·南京市第一中学高二阶段练习)在钝角 中,角 对应的边分别 为 ,若 ,则 的最小值为( ) A. B. C. D. 【答案】C 【详解】因为 ,由正弦定理得 , 中, ,所以 , 又因为 为钝角三角形,所以由诱导公式得 ( 时为直角三角形,舍 去),即 为钝角, 从而 , 由 ,解得 ,则 , 当 时, 取得最小值 ,即 的最小值为 , 故选:C. 7.(2022·天津南开·高一期末)已知 中, ,则 ( )A. 或 B. C. D. 或 【答案】B 【详解】因为在 中, ,所以 , 所以 ,由正弦定理可得 ,故 ,故 为锐角, 所以 , 所以 . 故选:B. 8.(2022·黑龙江·齐齐哈尔市实验中学高三阶段练习)在 中,角A,B,C所对的边 分别是a,b,c,若 , ,则 的取值范围是( ) A. B. C. D. 【答案】A 【详解】∵在 中, , ∴ , ∵ ∴ . ∵ ,∴ , 即 .∴ . 根据条件得 , ∴ . ∴ 即 . 故选:A 二、多选题 9.(2022·重庆巴蜀中学高三阶段练习)已知 的内角 所对应的边分别是 ,它的外接圆半径为 , , ,则下列说法正确的是( ) A. B. C. 的外接圆半径 为1 D. 面积的最大值为 【答案】ACD 【详解】解:因为 ,有正弦定理 ,得 所以 ,又 ,所以 ,则 ,故A正 确,B错误;所以 ,则 ,所以 的外接圆半径 为1,故C正确; 由余弦定理 ,所以 , 又 ,当且仅当 时,等号成立, 所以 ,则 面积的最大值为 ,故D正确. 故选:ACD. 10.(2022·河北·高三阶段练习)在 中,内角 所对应的边分别是 , ,点 在线段 上,且 ,若 ,则( ) A. B. C. 面积的最大值是9 D. 面积的最小值是6 【答案】AC 【详解】由 ,可得 , 整理得 ,即 , 又 , ,即 , ,所以A正确; 由 ,得 可能相等也可能不等,又 ,若 ,则 为等边三 角形就不会出现C,D求最值了,因此可用排除法,所以B不正确; 由余弦定理可得 ,又 可得 又 且 , 可得整 理得 又 的面积 又 , , ,当且仅当 时等号成立, ,则 所以 面积的最大值是9,无最小值. 所以C正确,D不正确. 故选:AC. 三、填空题 11.(2022·陕西·汉阴县第二高级中学一模(理))在 中,角A,B,C的对边分别 为a,b,c,若 ,则 ___________. 【答案】4 【详解】 因为在 中,若 ,所以 , 所以 ,即 ,由正弦定理得 , 化简得 ,所以 . 故答案为:4 12.(2022·湖北·丹江口市第一中学高一期末)记 的内角A,B,C的对边分别为a, b,c,若O为 的重心, , ,则 ________. 【答案】 【详解】连接AO,延长AO交BC于D, 由题意得D为BC的中点, ,所以 , 因为 , 所以 ,得 . 故 故答案为: 13.(2022·上海市大同中学高一期末)在 中, ,点 满足 ,且对任意 , 恒成立,则 的值为______. 【答案】 【详解】解:根据题意,在 中,点 满足 . 设 ,则 . ∵ , 且 表示起点为 ,终点在平行于 且过 点的直线上 的向量,如下图中的 ,且 随 变化在直线 上运动, ∴对任意 , 恒成立,即 恒成立,只需 即可, ∴ ,即 , ∵ ∴ , ∴ . ∴ 故答案为: . 14.(2022·陕西·府谷县府谷中学高二阶段练习(理))在 中,a,b,c分别为内角A,B,C的对边, .若 ,则 面积的最大值为______ 【答案】 【详解】 , 所以 ,即 ,所以 ,因为 ,所以 .因为 ,所以 ,所以 ,当且仅当 时等号成立,所以 . 故答案为: