当前位置:首页>文档>专题4.8三角函数的图象与性质-重难点题型精练(举一反三)(新高考地区专用)(解析版)_2.2025数学总复习_2023年新高考资料_一轮复习

专题4.8三角函数的图象与性质-重难点题型精练(举一反三)(新高考地区专用)(解析版)_2.2025数学总复习_2023年新高考资料_一轮复习

  • 2026-04-14 22:41:08 2026-03-18 01:38:34

文档预览

专题4.8三角函数的图象与性质-重难点题型精练(举一反三)(新高考地区专用)(解析版)_2.2025数学总复习_2023年新高考资料_一轮复习
专题4.8三角函数的图象与性质-重难点题型精练(举一反三)(新高考地区专用)(解析版)_2.2025数学总复习_2023年新高考资料_一轮复习
专题4.8三角函数的图象与性质-重难点题型精练(举一反三)(新高考地区专用)(解析版)_2.2025数学总复习_2023年新高考资料_一轮复习
专题4.8三角函数的图象与性质-重难点题型精练(举一反三)(新高考地区专用)(解析版)_2.2025数学总复习_2023年新高考资料_一轮复习
专题4.8三角函数的图象与性质-重难点题型精练(举一反三)(新高考地区专用)(解析版)_2.2025数学总复习_2023年新高考资料_一轮复习
专题4.8三角函数的图象与性质-重难点题型精练(举一反三)(新高考地区专用)(解析版)_2.2025数学总复习_2023年新高考资料_一轮复习
专题4.8三角函数的图象与性质-重难点题型精练(举一反三)(新高考地区专用)(解析版)_2.2025数学总复习_2023年新高考资料_一轮复习
专题4.8三角函数的图象与性质-重难点题型精练(举一反三)(新高考地区专用)(解析版)_2.2025数学总复习_2023年新高考资料_一轮复习
专题4.8三角函数的图象与性质-重难点题型精练(举一反三)(新高考地区专用)(解析版)_2.2025数学总复习_2023年新高考资料_一轮复习
专题4.8三角函数的图象与性质-重难点题型精练(举一反三)(新高考地区专用)(解析版)_2.2025数学总复习_2023年新高考资料_一轮复习
专题4.8三角函数的图象与性质-重难点题型精练(举一反三)(新高考地区专用)(解析版)_2.2025数学总复习_2023年新高考资料_一轮复习
专题4.8三角函数的图象与性质-重难点题型精练(举一反三)(新高考地区专用)(解析版)_2.2025数学总复习_2023年新高考资料_一轮复习
专题4.8三角函数的图象与性质-重难点题型精练(举一反三)(新高考地区专用)(解析版)_2.2025数学总复习_2023年新高考资料_一轮复习
专题4.8三角函数的图象与性质-重难点题型精练(举一反三)(新高考地区专用)(解析版)_2.2025数学总复习_2023年新高考资料_一轮复习
专题4.8三角函数的图象与性质-重难点题型精练(举一反三)(新高考地区专用)(解析版)_2.2025数学总复习_2023年新高考资料_一轮复习
专题4.8三角函数的图象与性质-重难点题型精练(举一反三)(新高考地区专用)(解析版)_2.2025数学总复习_2023年新高考资料_一轮复习
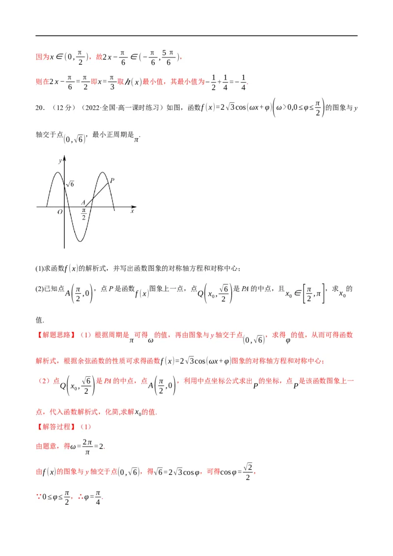
专题4.8三角函数的图象与性质-重难点题型精练(举一反三)(新高考地区专用)(解析版)_2.2025数学总复习_2023年新高考资料_一轮复习
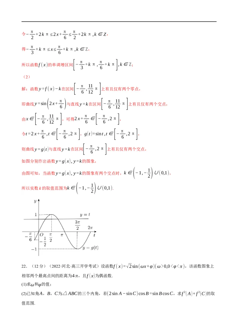
专题4.8三角函数的图象与性质-重难点题型精练(举一反三)(新高考地区专用)(解析版)_2.2025数学总复习_2023年新高考资料_一轮复习
专题4.8三角函数的图象与性质-重难点题型精练(举一反三)(新高考地区专用)(解析版)_2.2025数学总复习_2023年新高考资料_一轮复习

文档信息

文档格式
docx
文档大小
0.373 MB
文档页数
19 页
上传时间
2026-03-18 01:38:34

文档内容

专题4.8 三角函数的图象与性质-重难点题型精练 参考答案与试题解析 一.选择题(共8小题,满分40分,每小题5分) [ π] 1.(5分)(2022·四川省高三阶段练习(文))若x∈ 0, ,则函数f (x)=3sinxcosx+√3sin2x的 2 值域为( ) [ 3√3] [ √3] A. 0, B. 0, C.[0,√3] D.[0,3+√3] 2 2 ( π) √3 π 【解题思路】对f (x)进行降幂化简得f (x)=√3sin 2x- + ,再求出2x- 的范围,利用正弦函数 6 2 6 的单调性,即可得到f (x)值域. 3 1-cos2x 【解答过程】f (x)= sin2x+√3⋅ 2 2 3 √3 √3 ( π) √3 = sin2x- cos2x+ =√3sin 2x- + , 2 2 2 6 2 [ π] π [ π 5π ] ∵x∈ 0, ,∴2x- ∈ - , , 2 6 6 6 ∴当2x- π =- π ,即x=0时,f (x) =√3⋅ (- 1 )+ √3 =0, 6 6 min 2 2 π π π √3 3√3 当2x- = ,即x= 时,f (x) =√3+ = , 6 2 3 max 2 2 [ 3√3] 故f (x)的值域为 0, , 2 故选:A. 2 4 3 4 3 2.(5分)(2022·黑龙江·高三阶段练习)已知实数a=sin ,b= sin ,c= cos ,则a,b,c的 3 3 4 3 4 大小关系为( ) A.ab>c D.a>c>b 【解题思路】直接利用正余弦函数的图像和单调性求出结果. 3 π 3 π π 3 【解答过程】由于0< < ,∴cos >cos =sin >sin , 4 4 4 4 4 4 4 3 4 3 则c= cos >b= sin , 3 4 3 42 3 π 由于0< < < , 3 4 2 2 3 4 3 所以sin √2−1 B.a≥1 C.a>1−√2 D.a≥−1 【解题思路】根据函数的单调性知导数小于等于0恒成立,分离参数后由正切函数单调性求解. π π 【解答过程】由题意,f' (x)=cosx−asinx≤0在 ( , ) 上恒成立, 4 2 cosx 1 π π 即a≥ = 在 ( , ) 上恒成立, sinx tanx 4 2 π π ( ) 因为y=tanx在 , 上单调递增,所以y=tanx>1, 4 2 π π 1 所以在x∈ ( , ) 时,0< <1, 4 2 tanx 所以a≥1. 故选:B. ( π) 4.(5分)(2022·河北·高三开学考试)已知函数f (x)=tan 2x− ,下列说法正确的有( ) 4 π ①函数f (x)最小正周期为 ; 2 { kπ π } ②定义域为 x|x∈R,x≠ + ,k∈Z 2 8 (kπ π ) ③f (x)图象的所有对称中心为 + ,0 ,k∈Z; 4 8 (kπ π kπ 3π) ④函数f (x)的单调递增区间为 − , + ,k∈Z. 2 8 2 8 A.1个 B.2个 C.3个 D.4个 【解题思路】根据正切函数的图象与性质,代入周期、定义域、对称中心和单调递增期间的公式即可求解. ( π) π 【解答过程】对①,函数f (x)=tan 2x− ,可得f (x)的最小正周期为T= ,所以①正确; 4 2π π 3π kπ 对②,令2x− ≠ +kπ,k∈Z,解得x≠ + ,k∈Z, 4 2 8 2 3π kπ 即函数f (x)的定义域为{x|x≠ + ,k∈Z},所以②错误; 8 2 π kπ π kπ (kπ π ) 对③,令2x− = ,k∈Z,解得x= + ,k∈Z,所以函数f (x)的图象关于点 + ,0 ,k∈Z 4 2 8 4 4 8 对称,所以③正确; π π π kπ π kπ 3π 对④,令kπ− <2x− 0)图象的相邻两条对 π 称轴之间的距离为 ,则下列结论错误的是( ) 2 ( 3π ) A.f (x)的图象关于点 − ,0 对称 8 [ π π] B.f (x)在 − , 上单调递增 12 4 [ π] C.f (x)在 0, 上的值域为[−1,1] 2 π D.将f (x)的图象向右平移 个单位长度,得到的函数图象关于y轴对称 8 【解题思路】利用辅助角公式将函数化简,再根据函数的最小正周期求出ω,即可得到函数的解析式,由 正弦函数的对称性可判断A;根据正弦函数单调性通过解不等式可判断B;根据x的范围和正弦函数的性质 直接求解可判断C;由函数图象的平移变换,结合余弦函数的性质可判断D ( π) 【解答过程】解:f (x)=sinωx−cosωx=√2sin ωx− (ω>0), 4 π ∵函数f(x)图象的相邻两条对称轴之间的距离为 , 2 π 2π ∴函数的最小正周期是 ×2=π,∴T=π= , 2 ω ( π) ∴ω=2,f(x)=√2sin 2x− , 4∵ f ( − 3π )=sin ( − 3π − π) =sin(−π)=0, ∴f (x)关于 ( − 3π ,0 ) 对称,故A正确; 8 4 4 8 π π π π 3π 由− +2kπ≤2x− ≤ +2kπ,k∈Z,解得− +kπ≤x≤ +kπ,k∈Z, 2 4 2 8 8 [ π 3π] [ π π] [ π 3π] 所以f (x)的一个单调增区间为 − , ,而 − , ⊆ − , , 8 8 12 4 8 8 [ π π] ∴f (x)在 − , 上单调递增,故B正确; 12 4 π π π 3 √2 ( π) 当0≤x≤ 时,有0≤2x≤π,则− ≤2x− ≤ π,所以− ≤sin 2x− ≤1, 2 4 4 4 2 4 ∴f (x)∈[−1,√2],故C错误; 将 f (x) 的图象向右平移π个单位长度得到 y=√2sin [ 2 ( x− π ) − π] =√2sin ( 2x− π) =−√2cos2x 关于 8 8 4 2 y轴对称,故D正确. 故选:C. π 8.(5分)(2022·四川省高二阶段练习(理))设函数f(x)=sin(ωx− )(ω>0),若 4 π |f(x )−f(x )|=2时,|x −x |的最小值为 ,则( ) 1 2 1 2 3 π A.函数f(x)的周期为 3 π B.将函数f(x)的图像向左平移 个单位,得到的函数为奇函数 4 π π (π π] C.当x∈( , ),f(x)的单增区间为 , 6 3 6 5 D.函数f(x)在区间[−π,π]上的零点个数共有6个. 【解题思路】由题意得函数周期后求解ω,再由三角函数性质与图象变换对选项逐一判断, 2π π 【解答过程】由题意得f(x)的周期为 ,则ω=3,f(x)=sin(3x− ),则A错误, 3 4 π π π 对于B,f(x)的图像向左平移 得y=sin(3(x+ )− )=cos3x,不为奇函数,故B错误, 4 4 4 π π π π 2kπ π 2kπ 对于C,令3x− ∈[− +2kπ, +2kπ],k∈Z,得x∈[− + , + ],k∈Z, 4 2 2 12 3 4 3π π (π π] 当x∈( , ),f(x)的递增区间为 , ,故C错误, 6 3 6 4 π 13π 11π π 对于D,当x∈[−π,π]时,3x− ∈[− , ],当3x− 取−3π,−2π,−π,0,π,2π时,x为 4 4 4 4 f(x)的零点,共6个,故D正确, 故选:D. 二.多选题(共4小题,满分20分,每小题5分) ( π) [ π ) 9.(5分)(2022·贵州省高二阶段练习(理))若函数f (x)=2sin 2x+ 在区间 ,θ 内不存在最小 6 12 值,则θ的值可以是( ) 5π π π A.π B. C. D. 6 3 6 【解题思路】先求函数的最小值点,由区间内不存在最小值,判断区间端点与最近的最小值点的大小,解 出θ的取值范围,最后根据范围选择可能的取值即可. π 3π 2π 【解答过程】令2x+ = +2kπ,k∈Z,得x= +kπ为函数f(x)的最小值点, 6 2 3 2π [ π ) 当k=0时,x= 是区间 ,θ 右侧第一个最小值点, 3 12 [ π ) 因为区间 ,θ 内不存在最小值, 12 π 2π π π 所以 <θ≤ ,满足条件的θ的值有 , . 12 3 3 6 故选:CD. 10.(5分)(2022·江苏苏州·高三期中)已知函数f(x)=cos2x−2cosxcos3x,则( ) π π A.f (x)的最大值为1 B.f ( )=f ( − ) 6 3 π π π C.f (x)在 ( − , ) 上单调递增 D.f (x)的图象关于直线x= 对称 12 6 4 【解题思路】对于A,先利用余弦的和差公式化得f (x)=−cos4x,由此易得f (x)的最大值为1; π π 对于B,代入角易得f ( )=f ( − ) ; 6 3 π π π 2π π 2π 对于C,由− 0,ω>0,|φ|< )图象与y轴交于点 2 ( 1) ( π ) 0,− ,且 ,1 为该图像最高点,则( ) 2 3 π A.f(x)=sin ( 2x− ) 6π ( ) B.f (x)的一个对称中心为 ,0 12 π π C.函数f(x)图像向右平移 个单位可得y=sin ( 2x− ) 图象 6 3 7π D.x= 是函数f(x)的一条对称轴 12 T π 【解题思路】利用待定系数法分别求出φ,ω,注意 > ,从而可求出函数f (x)的解析式,再利用代入检 2 3 验法结合正弦函数的对称性即可判断BD;根据平移变换的原则即可判断C. π ( ) 【解答过程】解:因为 ,1 为该图像最高点, 3 所以A=1, ( 1) 又函数f (x)的图象与y轴交于点 0,− , 2 1 则f (0)=sinφ=− , 2 π π 又|φ|< ,所以φ=− , 2 6 π 则f(x)=sin ( ωx− ) 6 π π π f ( )=sin ( ω− )=1, 3 3 6 π π π 则 ω− = +2kπ,k∈Z, 3 6 2 所以ω=2+6k,k∈Z, T π π 由图可知 = > ,所以0<ω<3, 2 ω 3 所以ω=2, π 所以f(x)=sin ( 2x− ) ,故A正确; 6 π π 对于B,因为f ( )=sin0=0,所以f (x)的一个对称中心为 ( ,0 ) ,故B正确; 12 12 对于C,函数 f(x) 图像向右平移π个单位可得 y=sin [ 2 ( x+ π ) − π] =sin ( 2x+ π )图象,故C错误; 6 6 6 6(7π ) (7π π) 7π 对于D,f =sin − =0不是最值,所以x= 不是函数f(x)的一条对称轴,故D错误. 12 6 6 12 故选:AB. 12.(5分)(2022·湖北恩施·高二期中)已知函数f (x)=(sinx+cosx)⋅|sinx−cosx|,下列说法正确的 是( ) A.f (x)的最大值为2 π B.直线x= 是f (x)图像的一条对称轴 4 [ π π] C.f (x)在区间 − , 上是增函数 2 2 kπ D.若|f (x )|+|f (x )|=2,则x +x = (k∈Z) 1 2 1 2 2 【解题思路】由题知f (x)=¿,再结合函数性质依次分析各选项即可得答案. π 5π 【解答过程】解:当sinx≥cosx时,即 +2kπ≤x≤ +2kπ,k∈Z时,f (x)=−cos2x, 4 4 3π π 当sinx0=f ,f (x)在区间 − , 上不是增函数, 2 2 4 2 2 C错误;因为 且 ,则当 时, 且 , |f (x )|≤1 |f (x )|≤1 |f (x )|+|f (x )|=2 |cos2x |=1 |cos2x |=1 1 2 1 2 1 2 k π k π 则x = 1 且x = 2 ,k ,k ∈Z, 1 2 2 2 1 2 所以 (k +k )π kπ, ,D正确. x +x = 1 2 = k +k =k∈Z 1 2 2 2 1 2 故选:BD. 三.填空题(共4小题,满分20分,每小题5分) π 13.(5分)(2022·浙江·高一期末)已知函数f (x)=3cos ( 2x− )+1单调递增区间为 6 [ 5π π] kπ− ,kπ+ ,k∈Z . 12 12 π 【解题思路】令2kπ−π≤2x− ≤2kπ,k∈Z,求得x的范围,即可求得f(x)的单调递增区间. 6 π 【解答过程】令2kπ−π≤2x− ≤2kπ,k∈Z, 6 5π π 解得kπ− ≤x≤kπ+ ,k∈Z, 12 12 [ 5π π] 故f(x)的单调递增区间为 kπ− ,kπ+ ,k∈Z. 12 12 [ 5π π] 故答案为: kπ− ,kπ+ ,k∈Z. 12 12 14.(5分)(2022·天津高三阶段练习)设f (x)=2√3cos (π +x ) sinx+(sinx+cosx)2-1,则f (x) 2 [π 5π ] 在 , 上的值域为 [-2-√3,0] . 6 6 【解题思路】先利用诱导公式、二倍角公式和辅助角公式化简f (x),结合三角函数的性质可解出函数 f (x)的值域 【解答过程】f (x)=2√3cos (π +x ) sinx+(sinx+cosx)2-1=-2√3sin2x+2sinxcosx 2 π =√3cos2x+sin2x-√3=2sin(2x+ )-√3, 3 [π 5π ] π [2π ] 因为x∈ , ,所以2x+ ∈ ,2π , 6 6 3 3( π) [ √3] 所以sin 2x+ ∈ -1, ,所以f (x)∈[-2-√3,0], 3 2 [π 5π ] 所以f (x)在 , 上的值域为[-2-√3,0], 6 6 故答案为:[-2-√3,0]. 1 √3 15.(5分)(2022·山东省高三期中)若将函数f (x)= sin(2x+φ)+ cos(2x+φ)(0<φ<π)的图像关 2 2 (π ) [ π π] 于点 ,0 对称,则函数g(x)=sin(x+φ)在 − , 上的最小值为 0.5 . 2 2 6 【解题思路】利用辅助角公式,再利用性质求出参数,从而得到相应函数的解析式,再利用函数的性质求 出最小值. 1 √3 ( π ) 【解答过程】∵f (x)= sin(2x+φ)+ cos(2x+φ)=sin 2x+ +φ , 2 2 3 (π ) π π ∵图像关于点 ,0 对称,∴2⋅ + +φ=kπ,k∈ Z, 2 2 3 2π ( 2π) ∵0<φ<π,∴φ= ,故g(x)=sin x+ , 3 3 π 2π 5π 1 ∵ ≤x+ ≤ ,∴ ≤g(x)≤1. 6 3 6 2 [ π π] 1 g(x)在区间 − , 上的最小值为: 2 6 2 1 故答案为: 或0.5. 2 π π 16.(5分)(2023·全国·高三专题练习)已知函数f(x)=sin( +x)sin( −x)给出下列四个结论: 4 4 ①f(x)的值域是[−1,1]; π ②f(x)在[0, ]上单调递减: 2 ③f(x)是周期为π的周期函数 π ④将f(x)的图象向左平移 个单位长度后,可得一个奇函数的图象 2 其中所有正确结论的序号是 ②③ . 【解题思路】先将f(x)化简,然后根据余弦函数的性质逐一判断即可 π π 【解答过程】f(x)=sin( +x)sin( −x) 4 4√2 √2 √2 √2 =( cosx+ sinx)( cosx− sinx) 2 2 2 2 1 1 = cos2x− sin2x 2 2 1 = cos2x 2 1 1 所以f(x)的值域为[− , ] ,故①错误; 2 2 π 令2kπ≤2x≤π+2kπ,k∈Z ,∴kπ≤x≤ +kπ,k∈Z 2 π 当k=0时,f(x)的一个单调递减区间为[0, ],故②正确; 2 2π f(x)的周期T= =π ,故③正确 ω π f(x)的图像向左平移 个单位长度后得到的函数图像对应的解析式为 2 π 1 π 1 g(x)=f(x+ )= cos[2(x+ )]=− cos2x ,是偶函数,故④错误 2 2 2 2 故答案为:②③. 四.解答题(共6小题,满分70分) 17.(10分)(2022·广东·高三学业考试)已知函数f(x)=√3sin2x−cos2x. (1)求函数f(x)的最小正周期和最大值; (2)求函数f(x)的单调递减区间. 【解题思路】(1)用辅助角公式化简原函数,即可得到最小正周期和最值; π (2)将2x− 代入正弦函数的递减区间,解得x的范围即可. 6 【解答过程】(1) (√3 1 ) ( π). f (x)=2 sin2x− cos2x =2sin 2x− 2 2 6 2π ∵ω=2,∴T= =π, 2 即函数f (x)的最小正周期为π. ( π) ∵−1≤sin 2x− ≤1, 6( π) 即−2≤2sin 2x− ≤2, 6 则f (x)的最大值为2. π π 3π (2)令 +2kπ≤2x− ≤ +2kπ,k∈Z, 2 6 2 π 5π 解得 +kπ≤x≤ +kπ,k∈Z, 3 6 [π 5π ] 所以函数f (x)的单调递减区间为 +kπ, +kπ ,k∈Z. 3 6 18.(12分)(2022·重庆市高三阶段练习(理))已知向量 , 函数 . ⃗a=(2sinx,cosx−sinx),⃗b=(cosx,√3(cosx+sinx)) f (x)=⃗a⋅⃗b−1 (1)求函数y=f (x)的值域; (2)函数y=f (x)在x∈[0,m]上有 10 个零点, 求m的取值范围. ( π) 【解题思路】(1)根据向量数量积的坐标表示,结合三角恒等变换得f (x)=2sin 2x+ −1,再根据三 3 角函数性质求解即可; ( π) 1 π π 5π (2)由题知sin 2x+ = ,再根据三角函数性质得 +10π≤2m+ < +10π,解不等式即可得答 3 2 6 3 6 案. 【解答过程】(1)解: f (x)=⃗a⋅⃗b−1=2sinxcosx+√3(cosx−sinx)(cosx+sinx)−1 ( π) =sin2x+√3cos2x−1=2sin 2x+ −1, 3 所以,y=f (x)的值域为[−3,1]. ( π) 1 (2)解:令f (x)=0, 即sin 2x+ = , 3 2 π [π π] 因为x∈[0,m],所以2x+ ∈ ,2m+ , 3 3 3 因为函数y=f (x)在x∈[0,m]上有10个零点, 1 [π π] 所以方程sinx= 在 ,2m+ 上有10个实数根, 2 3 3 π π 5π 59π 21π 所以 +10π≤2m+ < +10π, 解得 ≤m< . 6 3 6 12 4[59π 21π) 所以,m的取值范围为 , . 12 4 1 19.(12分)(2022·全国·高三专题练习)已知函数f(x)=cosx,g(x)=f(ωx+ φ),其中 2 φ∈[0,2π] 1 π (1)若ω= 且直线x= 是g(x)的一条对称轴,求g(x)的递减区间和周期; 2 2 2 π (2)若ω=1,φ= π,求函数 ℎ(x)=f(−x)g(x)在(0, )上的最小值; 3 2 π 【解题思路】(1)根据题设中的对称轴可得φ=2kπ− ,k∈Z,根据其范围可求其值,再根据公式 2 和整体法可求周期及减区间. (2)利用三角变换和整体法可求函数的最小值. 【解答过程】(1) 1 1 可知g(x)=cos( x+ φ), 2 2 π 1 π 1 因为直线x= 是g(x)图象的一条对称轴,故 × + φ=kπ,k∈Z, 2 2 2 2 π 3π 1 3 解得φ=2kπ− ,k∈Z,而φ∈[0,2π],故φ= ,则g(x)=cos( x+ π), 2 2 2 4 2π 则周期T= =4π, ω 1 3 3 π 再令 x+ π∈[2kπ,π+2kπ],k∈Z,则x∈[− π+4kπ, +4kπ],k∈Z, 2 4 2 2 3 π 故g(x)的递减区间为[− π+4kπ, +4kπ],k∈Z. 2 2 (2) π 可知g(x)=cos(x+ ), 3 π π ℎ(x)=cos(−x)cos(x+ )=cosxcos(x+ ) 3 3 1 √3 1 √3 =cosx( cosx− sinx)= cos2x− sinxcosx 2 2 2 2 1 1+cos2x √3 1 π 1 = ⋅ − sin2x =− sin(2x− )+ 2 2 4 2 6 4π π π 5π 因为x∈(0, ),故2x− ∈(− , ), 2 6 6 6 π π π 1 1 1 则在2x− = 即x= 取 ℎ(x)最小值,其最小值为− + =− . 6 2 3 2 4 4 ( π) 20.(12分)(2022·全国·高一课时练习)如图,函数f (x)=2√3cos(ωx+φ) ω>0,0≤φ≤ 的图象与y 2 轴交于点 ,最小正周期是 . (0,√6) π (1)求函数f (x)的解析式,并写出函数图象的对称轴方程和对称中心; (2)已知点 (π ),点P是函数 图象上一点,点 ( √6)是PA的中点,且 [π ],求 的 A ,0 f (x) Q x , x ∈ ,π x 2 0 2 0 2 0 值. 【解题思路】(1)根据周期是 可得 的值,再由图象与y轴交于点 ,求得 的值,从而可得函数 π ω (0,√6) φ 解析式,根据余弦函数的性质可求得函数f (x)=2√3cos(ωx+φ)图象的对称轴方程和对称中心; (2)点 ( √6)是PA的中点,点 (π ),利用中点坐标公式求出 的坐标,点 是该函数图象上一 Q x , A ,0 P P 0 2 2 点,代入函数解析式,化简,求解x 的值. 0 【解答过程】(1) 2π 由题意,得ω= =2. π √2 由f (x)的图象与y轴交于点(0,√6),得√6=2√3cosφ,可得cosφ= , 2 π π ∵0≤φ≤ ,∴φ= . 2 4( π) ∴函数f (x)=2√3cos 2x+ . 4 π 1 π 由2x+ =kπ(k∈Z),可得对称轴方程为x= kπ− (k∈Z), 4 2 8 π π (1 π ) 由2x+ =kπ+ (k∈Z),可得对称中心为 kπ+ ,0 (k∈Z). 4 2 2 8 (2) 点 ( √6)是PA的中点,∴点P的坐标为( π ). Q x , 2x − ,√6 0 2 0 2 又∵点P是函数 图象上一点,∴ [ ( π) π], f (x) √6=2√3cos 2× 2x − + 0 2 4 ( 3π) √2 整理可得cos 4x − = . 0 4 2 [π ] 3π [5π 13π] 3π 7π 3π 9π ∵x ∈ ,π ,∴4x − ∈ , ,∴4x − = 或4x − = , 0 2 0 4 4 4 0 4 4 0 4 4 5π 3π 解得x = 或x = . 0 8 0 4 ( 2 ) 1 21.(12分)(2022·安徽·高三阶段练习)已知函数f(x)=2sinxsin x+ π + 3 2 (1)求函数f(x)的单调增区间; [ π 11 ] (2)若函数y=f(x)−k在区间 − , π 上有且仅有两个零点,求实数k的取值范围. 6 12 【解题思路】(1)利用三角恒等变换化简,再根据正弦函数的单调性结合整体思想即可得解; π [ π ] [ π ] (2)令t=2x+ ,t∈ − ,2π ,g(t)=sint,t∈ − ,2π ,则函数y=f(x)−k在区间 6 6 6 [ π 11 ] [ π ] − , π 上有且仅有两个零点,即曲线y=g(t)与直线y=k在区间 − ,2π 上有且仅有两个交点, 6 12 6 做出函数图象,数形结合即可得解. 【解答过程】(1) ( 2 ) 1 解:f(x)=2sinxsin x+ π + 3 2 =2sinx [ sinxcos 2 π+cosxsin 2 π ] + 1 =sin ( 2x+ π ) , 3 3 2 6π π π 令− +2kπ≤2x+ ≤ +2kπ,k∈Z, 2 6 2 π π 得− +kπ≤x≤ +kπ,k∈Z, 3 6 [ π π ] 所以函数f(x)的单调增区间 − +kπ, +kπ ,k∈Z; 3 6 (2) [ π 11 ] 解:函数y=f(x)−k在区间 − , π 上有且仅有两个零点, 6 12 即曲线y=sin ( 2x+ π ) 与直线y=k在区间 [ − π , 11 π ] 上有且仅有两个交点, 6 6 12 [ π 11 ] π [ π ] 由x∈ − , π ,可得2x+ ∈ − ,2π , 6 12 6 6 π [ π ] [ π ] 令t=2x+ ,t∈ − ,2π ,g(t)=sint,t∈ − ,2π , 6 6 6 [ π ] 则曲线y=g(t)与直线y=k在区间 − ,2π 上有且仅有两个交点, 6 如图分别作出函数y=g(x),y=k的图象, ( 1) 由图可知,当函数y=g(x),y=k的图象有两个交点时,k∈ −1,− ∪(0,1), 2 ( 1) 所以实数k的取值范围为k∈ −1,− ∪(0,1). 2 22.(12分)(2022·河北·高三开学考试)设函数f(x)=√2sin(ωx+φ)(ω>0,0<φ<π),该函数图象上 相邻两个最高点间的距离为4π,且f (x)为偶函数. (1)求ω和φ的值; (2)已知角A,B,C为△ABC的三个内角,若(2sin A−sinC)cosB=sinBcosC,求f2(A)+f2(C)的取 值范围.1 (1 ) 【解题思路】(1)根据题意求得ω= ,得到f(x)=√2sin x+φ ,再结合f (x)为偶函数,即可求得φ 2 2 的值; 1 π 2π (2)由题意结合三角恒等变换的公式,化简得到cosB= ,求得B= ,得到C= −A, 2 3 3 由(1)知f(x)=√2cos 1 x,化简f2 (A)+f2 (C)=sin ( A+ π) +2,结合三角函数的图象与性质,即可看 2 6 求解. 【解答过程】(1) 解:因为f (x)=√2sin(ωx+φ)的图象上相邻两个最高点间的距离为4π, 2π 1 (1 ) 可得 =4π,解得ω= ,所以f(x)=√2sin x+φ , ω 2 2 π 又因为f (x)为偶函数,可得φ=kπ+ ,k∈Z, 2 π 因为0<φ<π,所以φ= . 2 (2) 解:因为(2sin A−sinC)cosB=sinBcosC, 可得2sinAcosB−sinCcosB=sinBcosC,所以2sin AcosB=sin(B+C), 1 又因为A+B+C=π,且0