当前位置:首页>文档>2016年高考数学试卷(理)(浙江)(解析卷)_历年高考真题合集_数学历年高考真题_新·PDF版2008-2025·高考数学真题_数学(按试卷类型分类)2008-2025_自主命题卷·数学(2008-2025)

2016年高考数学试卷(理)(浙江)(解析卷)_历年高考真题合集_数学历年高考真题_新·PDF版2008-2025·高考数学真题_数学(按试卷类型分类)2008-2025_自主命题卷·数学(2008-2025)

  • 2026-03-21 17:17:06 2026-01-27 08:42:00

文档预览

2016年高考数学试卷(理)(浙江)(解析卷)_历年高考真题合集_数学历年高考真题_新·PDF版2008-2025·高考数学真题_数学(按试卷类型分类)2008-2025_自主命题卷·数学(2008-2025)
2016年高考数学试卷(理)(浙江)(解析卷)_历年高考真题合集_数学历年高考真题_新·PDF版2008-2025·高考数学真题_数学(按试卷类型分类)2008-2025_自主命题卷·数学(2008-2025)
2016年高考数学试卷(理)(浙江)(解析卷)_历年高考真题合集_数学历年高考真题_新·PDF版2008-2025·高考数学真题_数学(按试卷类型分类)2008-2025_自主命题卷·数学(2008-2025)
2016年高考数学试卷(理)(浙江)(解析卷)_历年高考真题合集_数学历年高考真题_新·PDF版2008-2025·高考数学真题_数学(按试卷类型分类)2008-2025_自主命题卷·数学(2008-2025)
2016年高考数学试卷(理)(浙江)(解析卷)_历年高考真题合集_数学历年高考真题_新·PDF版2008-2025·高考数学真题_数学(按试卷类型分类)2008-2025_自主命题卷·数学(2008-2025)
2016年高考数学试卷(理)(浙江)(解析卷)_历年高考真题合集_数学历年高考真题_新·PDF版2008-2025·高考数学真题_数学(按试卷类型分类)2008-2025_自主命题卷·数学(2008-2025)
2016年高考数学试卷(理)(浙江)(解析卷)_历年高考真题合集_数学历年高考真题_新·PDF版2008-2025·高考数学真题_数学(按试卷类型分类)2008-2025_自主命题卷·数学(2008-2025)
2016年高考数学试卷(理)(浙江)(解析卷)_历年高考真题合集_数学历年高考真题_新·PDF版2008-2025·高考数学真题_数学(按试卷类型分类)2008-2025_自主命题卷·数学(2008-2025)
2016年高考数学试卷(理)(浙江)(解析卷)_历年高考真题合集_数学历年高考真题_新·PDF版2008-2025·高考数学真题_数学(按试卷类型分类)2008-2025_自主命题卷·数学(2008-2025)
2016年高考数学试卷(理)(浙江)(解析卷)_历年高考真题合集_数学历年高考真题_新·PDF版2008-2025·高考数学真题_数学(按试卷类型分类)2008-2025_自主命题卷·数学(2008-2025)
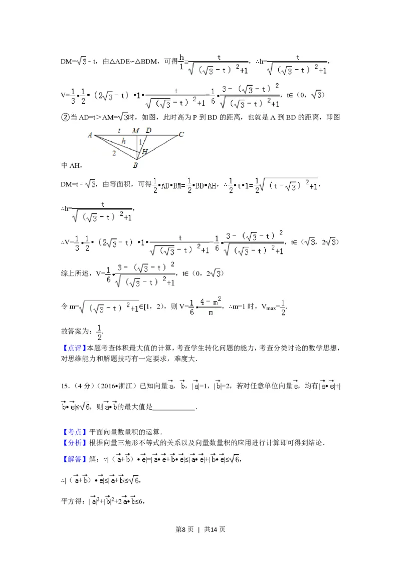
2016年高考数学试卷(理)(浙江)(解析卷)_历年高考真题合集_数学历年高考真题_新·PDF版2008-2025·高考数学真题_数学(按试卷类型分类)2008-2025_自主命题卷·数学(2008-2025)
2016年高考数学试卷(理)(浙江)(解析卷)_历年高考真题合集_数学历年高考真题_新·PDF版2008-2025·高考数学真题_数学(按试卷类型分类)2008-2025_自主命题卷·数学(2008-2025)
2016年高考数学试卷(理)(浙江)(解析卷)_历年高考真题合集_数学历年高考真题_新·PDF版2008-2025·高考数学真题_数学(按试卷类型分类)2008-2025_自主命题卷·数学(2008-2025)
2016年高考数学试卷(理)(浙江)(解析卷)_历年高考真题合集_数学历年高考真题_新·PDF版2008-2025·高考数学真题_数学(按试卷类型分类)2008-2025_自主命题卷·数学(2008-2025)
2016年高考数学试卷(理)(浙江)(解析卷)_历年高考真题合集_数学历年高考真题_新·PDF版2008-2025·高考数学真题_数学(按试卷类型分类)2008-2025_自主命题卷·数学(2008-2025)
2016年高考数学试卷(理)(浙江)(解析卷)_历年高考真题合集_数学历年高考真题_新·PDF版2008-2025·高考数学真题_数学(按试卷类型分类)2008-2025_自主命题卷·数学(2008-2025)
2016年高考数学试卷(理)(浙江)(解析卷)_历年高考真题合集_数学历年高考真题_新·PDF版2008-2025·高考数学真题_数学(按试卷类型分类)2008-2025_自主命题卷·数学(2008-2025)
2016年高考数学试卷(理)(浙江)(解析卷)_历年高考真题合集_数学历年高考真题_新·PDF版2008-2025·高考数学真题_数学(按试卷类型分类)2008-2025_自主命题卷·数学(2008-2025)

文档信息

文档格式
pdf
文档大小
0.322 MB
文档页数
14 页
上传时间
2026-01-27 08:42:00

文档内容

2016 年浙江省高考数学试卷(理科) 参考答案与试题解析 一、选择题:本大题共8小题,每小题5分,共40分.在每小题给出的四个选项中,只有 一个是符合题目要求的. 1.(5分)(2016•浙江)已知集合P={x∈R|1≤x≤3},Q={x∈R|x2≥4},则P∪(∁ Q)=( ) R A.[2,3] B.(﹣2,3] C.[1,2) D.(﹣∞,﹣2]∪ [1,+∞) 【考点】并集及其运算. 菁优网版权所有 【分析】运用二次不等式的解法,求得集合Q,求得Q的补集,再由两集合的并集运算, 即可得到所求. 【解答】解:Q={x∈R|x2≥4}={x∈R|x≥2或x≤﹣2}, 即有∁ Q={x∈R|﹣2<x<2}, R 则P∪(∁ Q)=(﹣2,3]. R 故选:B. 【点评】本题考查集合的运算,主要是并集和补集的运算,考查不等式的解法,属于基础题. 2.(5分)(2016•浙江)已知互相垂直的平面α,β交于直线l,若直线m,n满足m∥α, n⊥β,则( ) A.m∥ l B.m∥ n C.n⊥ l D.m⊥ n 【考点】直线与平面垂直的判定. 菁优网版权所有 【分析】由已知条件推导出l⊂β,再由n⊥ β,推导出n⊥ l. 【解答】解:∵互相垂直的平面α,β交于直线l,直线m,n满足m∥α, ∴ m∥ β或m⊂β或m⊥β,l⊂β, ∵ n⊥ β, ∴ n⊥ l. 故选:C. 【点评】本题考查两直线关系的判断,是基础题,解题时要认真审题,注意空间思维能力的 培养. 3.(5分)(2016•浙江)在平面上,过点P作直线l的垂线所得的垂足称为点P在直线l上 的投影,由区域 中的点在直线x+y﹣2=0上的投影构成的线段记为AB,则 |AB|=( ) A.2 B.4 C.3 D.6 【考点】简单线性规划的应用. 菁优网版权所有 【分析】作出不等式组对应的平面区域,利用投影的定义,利用数形结合进行求解即可. 【解答】解:作出不等式组对应的平面区域如图:(阴影部分), 第1页 | 共14页区域内的点在直线x+y﹣2=0上的投影构成线段R′Q′,即SAB, 而R′Q′=RQ, 由 得 ,即Q(﹣1,1), 由 得 ,即R(2,﹣2), 则|AB|=|QR|= = =3 , 故选:C 【点评】本题主要考查线性规划的应用,作出不等式组对应的平面区域,利用投影的定义以 及数形结合是解决本题的关键. 4.(5分)(2016•浙江)命题“∀x∈R,∃n∈N*,使得n≥x2”的否定形式是( ) A.∀x∈R,∃n∈N*,使得n<x2 B.∀x∈R,∀n∈N*,使得n<x2 C.∃x∈R,∃n∈N*,使得n<x2 D.∃x∈R,∀n∈N*,使得n<x2 【考点】命题的否定. 菁优网版权所有 【分析】直接利用全称命题的否定是特称命题写出结果即可. 【解答】解:因为全称命题的否定是特称命题,所以,命题“∀x∈R,∃n∈N*,使得n≥x2”的 否定形式是:∃x∈R,∀n∈N*,使得n<x2. 故选:D. 【点评】本题考查命题的否定,特称命题与全称命题的否定关系,是基础题. 5.(5分)(2016•浙江)设函数f(x)=sin2x+bsinx+c,则f(x)的最小正周期( ) A.与b有关,且与c有关 B.与b有关,但与c无关 C.与b无关,且与c无关 D.与b无关,但与c有关 【考点】三角函数的周期性及其求法. 菁优网版权所有 【分析】根据三角函数的图象和性质即可判断. 【解答】解:∵设函数f(x)=sin2x+bsinx+c, ∴c是图象的纵坐标增加了c,横坐标不变,故周期与c无关, 第2页 | 共14页当b=0时,f(x)=sin2x+bsinx+c=﹣ cos2x+ +c的最小正周期为T= =π, 当b≠0时,f(x)=﹣ cos2x+bsinx+ +c, ∵y=cos2x的最小正周期为π,y=bsinx的最小正周期为2π, ∴f(x)的最小正周期为2π, 故f(x)的最小正周期与b有关, 故选:B 【点评】本题考查了三额角函数的最小正周期,关键掌握三角函数的图象和性质,属于中档 题. 6.(5分)(2016•浙江)如图,点列{A }、{B }分别在某锐角的两边上,且 n n |A A |=|A A |,A ≠A ,n∈N*,|B B |=|B B |,B ≠B ,n∈N*,(P≠Q表示点P n n+1 n+1 n+2 n n+1 n n+1 n+1 n+2 n n+1 与Q不重合)若d =|A B |,S 为△A B B 的面积,则( ) n n n n n n n+1 A.{S }是等差数列 B.{S 2}是等差数列 n n C.{d }是等差数列 D.{d 2}是等差数列 n n 【考点】数列与函数的综合. 菁优网版权所有 【分析】设锐角的顶点为O,再设|OA |=a,|OB |=b,|A A |=|A A |=b, 1 1 n n+1 n+1 n+2 |B B |=|B B |=d,由于a,b不确定,判断C,D不正确,设△A B B 的底边B B n n+1 n+1 n+2 n n n+1 n n+1 上的高为h ,运用三角形相似知识,h +h =2h ,由S = d•h ,可得S +S =2S ,进 n n n+2 n+1 n n n n+2 n+1 而得到数列{S }为等差数列. n 【解答】解:设锐角的顶点为O,|OA |=a,|OB |=b, 1 1 |A A |=|A A |=b,|B B |=|B B |=d, n n+1 n+1 n+2 n n+1 n+1 n+2 由于a,b不确定,则{d }不一定是等差数列, n {d 2}不一定是等差数列, n 设△A B B 的底边B B 上的高为h , n n n+1 n n+1 n 由三角形的相似可得 = = , = = , 两式相加可得, = =2, 即有h +h =2h , n n+2 n+1 第3页 | 共14页由S = d•h ,可得S +S =2S , n n n n+2 n+1 即为S ﹣S =S ﹣S , n+2 n+1 n+1 n 则数列{S }为等差数列. n 故选:A. 【点评】本题考查等差数列的判断,注意运用三角形的相似和等差数列的性质,考查化简整 理的推理能力,属于中档题. 7.(5分)(2016•浙江)已知椭圆C : +y2=1(m>1)与双曲线C : ﹣y2=1(n>0) 1 2 的焦点重合,e ,e 分别为C ,C 的离心率,则( ) 1 2 1 2 A.m>n且e e >1 B.m>n且e e <1 C.m<n且e e >1 D.m<n且e e <1 1 2 1 2 1 2 1 2 【考点】椭圆的简单性质;双曲线的简单性质. 菁优网版权所有 【分析】根据椭圆和双曲线有相同的焦点,得到c2=m2﹣1=n2+1,即m2﹣n2=2,进行判断, 能得m>n,求出两个离心率,先平方进行化简进行判断即可. 【解答】解:∵椭圆C : +y2=1(m>1)与双曲线C : ﹣y2=1(n>0)的焦点重合, 1 2 ∴满足c2=m2﹣1=n2+1, 即m2﹣n2=2>0,∴m2>n2,则m>n,排除C,D 则c2=m2﹣1<m2,c2=n2+1>n2, 则c<m.c>n, e = ,e = , 1 2 则e •e = • = , 1 2 则(e •e )2=( )2•( ) 1 2 2= = = =1+ =1+ = 1+ >1, ∴e e >1, 1 2 故选:A. 【点评】本题主要考查圆锥曲线离心率的大小关系的判断,根据条件结合双曲线和椭圆离心 率以及不等式的性质进行转化是解决本题的关键.考查学生的转化能力. 第4页 | 共14页8.(5分)(2016•浙江)已知实数a,b,c.( ) A.若|a2+b+c|+|a+b2+c|≤1,则a2+b2+c2<100 B.若|a2+b+c|+|a2+b﹣c|≤1,则a2+b2+c2<100 C.若|a+b+c2|+|a+b﹣c2|≤1,则a2+b2+c2<100 D.若|a2+b+c|+|a+b2﹣c|≤1,则a2+b2+c2<100 【考点】命题的真假判断与应用. 菁优网版权所有 【分析】本题可根据选项特点对a,b,c设定特定值,采用排除法解答. 【解答】解:A.设a=b=10,c=﹣110,则|a2+b+c|+|a+b2+c|=0≤1,a2+b2+c2>100; B.设a=10,b=﹣100,c=0,则|a2+b+c|+|a2+b﹣c|=0≤1,a2+b2+c2>100; C.设a=100,b=﹣100,c=0,则|a+b+c2|+|a+b﹣c2|=0≤1,a2+b2+c2>100; 故选:D. 【点评】本题主要考查命题的真假判断,由于正面证明比较复杂,故利用特殊值法进行排除 是解决本题的关键. 二、填空题:本大题共7小题,多空题每题6分,单空题每题4分,共36分. 9.(4分)(2016•浙江)若抛物线y2=4x上的点M到焦点的距离为10,则M到y轴的距离 是 . 【考点】抛物线的简单性质. 菁优网版权所有 【分析】根据抛物线的性质得出M到准线x=﹣1的距离为10,故到y轴的距离为9. 【解答】解:抛物线的准线为x=﹣1, ∵点M到焦点的距离为10, ∴点M到准线x=﹣1的距离为10, ∴点M到y轴的距离为9. 故答案为:9. 【点评】本题考查了抛物线的性质,属于基础题. 10.(6分)(2016•浙江)已知2cos2x+sin2x=Asin(ωx+φ)+b(A>0),则A= , b= . 【考点】两角和与差的正弦函数. 菁优网版权所有 【分析】根据二倍角的余弦公式、两角和的正弦函数化简左边,即可得到答案. 【解答】解:∵2cos2x+sin2x=1+cos2x+sin2x =1+ ( cos2x+ sin2x)+1 = sin(2x+ )+1, ∴A= ,b=1, 故答案为: ;1. 【点评】本题考查了二倍角的余弦公式、两角和的正弦函数的应用,熟练掌握公式是解题的 关键. 第5页 | 共14页11.(6分)(2016•浙江)某几何体的三视图如图所示(单位:cm),则该几何体的表面积是 cm2,体积是 cm3. 【考点】由三视图求面积、体积. 菁优网版权所有 【分析】由三视图可得,原几何体为由四个棱长为2cm的小正方体所构成的,代入体积公 式和面积公式计算即可. 【解答】解:由三视图可得,原几何体为由四个棱长为2cm的小正方体所构成的, 则其表面积为22×(24﹣6)=72cm2, 其体积为4×23=32, 故答案为:72,32 【点评】本题考查了由三视图求几何体的体积和表面积,解题的关键是判断几何体的形状及 相关数据所对应的几何量,考查空间想象能力. 12.(6分)(2016•浙江)已知a>b>1,若log b+log a= ,ab=ba,则a= , a b b= . 【考点】对数的运算性质. 菁优网版权所有 【分析】设t=log a并由条件求出t的范围,代入log b+log a= 化简后求出t的值,得到a b a b 与b的关系式代入ab=ba化简后列出方程,求出a、b的值. 【解答】解:设t=log a,由a>b>1知t>1, b 代入log b+log a= 得 , a b 即2t2﹣5t+2=0,解得t=2或t= (舍去), 所以log a=2,即a=b2, b 因为ab=ba,所以b2b=ba,则a=2b=b2, 第6页 | 共14页解得b=2,a=4, 故答案为:4;2. 【点评】本题考查对数的运算性质,以及换元法在解方程中的应用,属于基础题. 13.(6分)(2016•浙江)设数列{a }的前n项和为S ,若S =4,a =2S +1,n∈N*,则 n n 2 n+1 n a = ,S = . 1 5 【考点】数列的概念及简单表示法. 菁优网版权所有 【分析】运用n=1时,a =S ,代入条件,结合S =4,解方程可得首项;再由n>1时, 1 1 2 a =S ﹣S ,结合条件,计算即可得到所求和. n+1 n+1 n 【解答】解:由n=1时,a =S ,可得a =2S +1=2a +1, 1 1 2 1 1 又S =4,即a +a =4, 2 1 2 即有3a +1=4,解得a =1; 1 1 由a =S ﹣S ,可得 n+1 n+1 n S =3S +1, n+1 n 由S =4,可得S =3×4+1=13, 2 3 S =3×13+1=40, 4 S =3×40+1=121. 5 故答案为:1,121. 【点评】本题考查数列的通项和前n项和的关系:n=1时,a =S ,n>1时,a =S ﹣S , 1 1 n n n﹣1 考查运算能力,属于中档题. 14.(4分)(2016•浙江)如图,在△ABC中,AB=BC=2,∠ABC=120°.若平面ABC外的 点P和线段AC上的点D,满足PD=DA,PB=BA,则四面体PBCD的体积的最大值 是 . 【考点】棱柱、棱锥、棱台的体积. 菁优网版权所有 【分析】由题意,△ABD≌△PBD,可以理解为△PBD是由△ABD绕着BD旋转得到的,对 于每段固定的AD,底面积BCD为定值,要使得体积最大,△PBD必定垂直于平面ABC, 此时高最大,体积也最大. 【解答】解:如图,M是AC的中点. ①当AD=t<AM= 时,如图,此时高为P到BD的距离,也就是A到BD的距离,即图 中AE, 第7页 | 共14页DM= ﹣t,由△ADE∽△BDM,可得 ,∴h= , V= = ,t∈(0, ) ②当AD=t>AM= 时,如图,此时高为P到BD的距离,也就是A到BD的距离,即图 中AH, DM=t﹣ ,由等面积,可得 ,∴ , ∴h= , ∴V= = ,t∈( ,2 ) 综上所述,V= ,t∈(0,2 ) 令m= ∈[1,2),则V= ,∴m=1时,V = . max 故答案为: . 【点评】本题考查体积最大值的计算,考查学生转化问题的能力,考查分类讨论的数学思想, 对思维能力和解题技巧有一定要求,难度大. 15.(4分)(2016•浙江)已知向量 , ,| |=1,| |=2,若对任意单位向量 ,均有| • |+| • |≤ ,则 • 的最大值是 . 【考点】平面向量数量积的运算. 菁优网版权所有 【分析】根据向量三角形不等式的关系以及向量数量积的应用进行计算即可得到结论. 【解答】解:∵|( + )• |=| • + • |≤| • |+| • |≤ , ∴|( + )• |≤| + |≤ , 平方得:| |2+| |2+2 • ≤6, 第8页 | 共14页即12+22+2 • ≤6, 则 • ≤ , 故 • 的最大值是 , 故答案为: . 【点评】本题主要考查平面向量数量积的应用,根据绝对值不等式的性质以及向量三角形不 等式的关系是解决本题的关键.综合性较强,有一定的难度. 三、解答题:本大题共5小题,共74分.解答应写出文字说明,证明过程或演算步骤. 16.(14分)(2016•浙江)在△ ABC中,内角A,B,C所对的边分别为a,b,c,已知 b+c=2acosB. (Ⅰ)证明:A=2B (Ⅱ)若△ABC的面积S= ,求角A的大小. 【考点】余弦定理;正弦定理. 菁优网版权所有 【分析】(Ⅰ)利用正弦定理,结合和角的正弦公式,即可证明A=2B (Ⅱ)若△ABC的面积S= ,则 bcsinA= ,结合正弦定理、二倍角公式,即可求角A 的大小. 【解答】(Ⅰ)证明:∵b+c=2acosB, ∴sinB+sinC=2sinAcosB, ∴sinB+sin(A+B)=2sinAcosB ∴sinB+sinAcosB+cosAsinB=2sinAcosB ∴sinB=2=sinAcosB﹣cosAsinB=sin(A﹣B) ∵A,B是三角形中的角, ∴B=A﹣B, ∴A=2B; (Ⅱ)解:∵△ABC的面积S= , ∴ bcsinA= , ∴2bcsinA=a2, ∴2sinBsinC=sinA=sin2B, ∴sinC=cosB, ∴B+C=90°,或C=B+90°, ∴A=90°或A=45°. 【点评】本题考查了正弦定理,解三角形,考查三角形面积的计算,考查二倍角公式的运用, 属于中档题. 第9页 | 共14页17.(15分)(2016•浙江)如图,在三棱台ABC﹣DEF中,已知平面BCFE⊥平面ABC, ∠ACB=90°,BE=EF=FC=1,BC=2,AC=3, (Ⅰ)求证:EF⊥平面ACFD; (Ⅱ)求二面角B﹣AD﹣F的余弦值. 【考点】二面角的平面角及求法;空间中直线与直线之间的位置关系. 菁优网版权所有 【分析】(I)先证明BF⊥AC,再证明BF⊥CK,进而得到BF⊥平面ACFD. (II)方法一:先找二面角B﹣AD﹣F的平面角,再在Rt△BQF中计算,即可得出; 方法二:通过建立空间直角坐标系,分别计算平面ACK与平面ABK的法向量,进而可得 二面角B﹣AD﹣F的平面角的余弦值. 【解答】(I)证明:延长AD,BE,CF相交于点K,如图所示,∵平面BCFE⊥平面ABC, ∠ACB=90°, ∴AC⊥平面BCK,∴BF⊥AC. 又EF∥BC,BE=EF=FC=1,BC=2,∴△BCK为等边三角形,且F为CK的中点,则 BF⊥CK, ∴BF⊥平面ACFD. (II)方法一:过点F作FQ⊥AK,连接BQ,∵BF⊥平面ACFD.∴BF⊥AK,则AK⊥平面 BQF, ∴BQ⊥AK.∴∠BQF是二面角B﹣AD﹣F的平面角. 在Rt△ACK中,AC=3,CK=2,可得FQ= . 在Rt△BQF中,BF= ,FQ= .可得:cos∠BQF= . ∴二面角B﹣AD﹣F的平面角的余弦值为 . 方法二:如图,延长AD,BE,CF相交于点K,则△BCK为等边三角形, 取BC的中点,则KO⊥BC,又平面BCFE⊥平面ABC,∴KO⊥平面BAC, 以点O为原点,分别以OB,OK的方向为x,z的正方向,建立空间直角坐标系O﹣xyz. 可得:B(1,0,0),C(﹣1,0,0),K(0,0, ),A(﹣1,﹣3,0), , . =(0,3,0), = , (2,3,0). 设平面ACK的法向量为 =(x ,y ,z ),平面ABK的法向量为 =(x ,y ,z ),由 1 1 1 2 2 2 ,可得 , 取 = . 第10页 | 共14页由 ,可得 ,取 = . ∴ = = . ∴二面角B﹣AD﹣F的余弦值为 . 【点评】本题考查了空间位置关系、法向量的应用、空间角,考查了空间想象能力、推理能 力与计算能力,属于中档题. 18.(15分)(2016•浙江)已知a≥3,函数F(x)=min{2|x﹣1|,x2﹣2ax+4a﹣2},其中min (p,q)= (Ⅰ)求使得等式F(x)=x2﹣2ax+4a﹣2成立的x的取值范围 (Ⅱ)(i)求F(x)的最小值m(a) (ii)求F(x)在[0,6]上的最大值M(a) 【考点】函数最值的应用;函数的最值及其几何意义. 菁优网版权所有 【分析】(Ⅰ)由a≥3,讨论x≤1时,x>1,去掉绝对值,化简x2﹣2ax+4a﹣2﹣2|x﹣1|,判 断符号,即可得到F(x)=x2﹣2ax+4a﹣2成立的x的取值范围; (Ⅱ)(i)设f(x)=2|x﹣1|,g(x)=x2﹣2ax+4a﹣2,求得f(x)和g(x)的最小值,再 由新定义,可得F(x)的最小值; (ii)分别对当0≤x≤2时,当2<x≤6时,讨论F(x)的最大值,即可得到F(x)在[0,6] 上的最大值M(a). 【解答】解:(Ⅰ)由a≥3,故x≤1时, x2﹣2ax+4a﹣2﹣2|x﹣1|=x2+2(a﹣1)(2﹣x)>0; 第11页 | 共14页当x>1时,x2﹣2ax+4a﹣2﹣2|x﹣1|=x2﹣(2+2a)x+4a=(x﹣2)(x﹣2a), 则等式F(x)=x2﹣2ax+4a﹣2成立的x的取值范围是(2,2a); (Ⅱ)(i)设f(x)=2|x﹣1|,g(x)=x2﹣2ax+4a﹣2, 则f(x) =f(1)=0,g(x) =g(a)=﹣a2+4a﹣2. min min 由﹣a2+4a﹣2=0,解得a=2+ (负的舍去), 由F(x)的定义可得m(a)=min{f(1),g(a)}, 即m(a)= ; (ii)当0≤x≤2时,F(x)≤f(x)≤max{f(0),f(2)}=2=F(2); 当2<x≤6时,F(x)≤g(x)≤max{g(2),g(6)} =max{2,34﹣8a}=max{F(2),F(6)}. 则M(a)= . 【点评】本题考查新定义的理解和运用,考查分类讨论的思想方法,以及二次函数的最值的 求法,不等式的性质,考查化简整理的运算能力,属于中档题. 19.(15分)(2016•浙江)如图,设椭圆C: +y2=1(a>1) (Ⅰ)求直线y=kx+1被椭圆截得到的弦长(用a,k表示) (Ⅱ)若任意以点A(0,1)为圆心的圆与椭圆至多有三个公共点,求椭圆的离心率的取值 范围. 【考点】椭圆的简单性质;圆与圆锥曲线的综合. 菁优网版权所有 【分析】(Ⅰ)联立直线y=kx+1与椭圆方程,利用弦长公式求解即可. (Ⅱ)写出圆的方程,假设圆A与椭圆由4个公共点,再利用对称性有解已知条件可得任 意一A(0,1)为圆心的圆与椭圆至多有3个公共点,a的取值范围,进而可得椭圆的离心 率的取值范围. 【解答】解:(Ⅰ)由题意可得: ,可得:(1+a2k2)x2+2ka2x=0, 得x =0或x = , 1 2 第12页 | 共14页直线y=kx+1被椭圆截得到的弦长为: = . (Ⅱ)假设圆A与椭圆由4个公共点,由对称性可设y轴左侧的椭圆上有两个不同的点P, Q,满足|AP|=|AQ|, 记直线AP,AQ的斜率分别为:k ,k ;且k ,k >0,k ≠k ,由(1)可知 1 2 1 2 1 2 |AP|= ,|AQ|= , 故: = ,所以,(k 2﹣k 2)[1+k 2+k 2+a2(2﹣a2) 1 2 1 2 k 2k 2]=0,由k ≠k , 1 2 1 2 k ,k >0,可得:1+k 2+k 2+a2(2﹣a2)k 2k 2=0, 1 2 1 2 1 2 因此 a2(a2﹣2)①, 因为①式关于k ,k ;的方程有解的充要条件是:1+a2(a2﹣2)>1, 1 2 所以a> . 因此,任意点A(0,1)为圆心的圆与椭圆至多有三个公共点的充要条件为:1<a<2, e= = 得,所求离心率的取值范围是: . 【点评】本题考查直线与椭圆的位置关系的综合应用,椭圆与圆的位置关系的综合应用,考 查分析问题解决问题的能力,考查转化思想以及计算能力. 20.(15分)(2016•浙江)设数列满足|a ﹣ |≤1,n∈N*. n (Ⅰ)求证:|a |≥2n﹣1(|a |﹣2)(n∈N*) n 1 (Ⅱ)若|a |≤( )n,n∈N*,证明:|a |≤2,n∈N*. n n 【考点】数列与不等式的综合. 菁优网版权所有 【分析】(I)使用三角不等式得出|a |﹣ |a |≤1,变形得 ﹣ ≤ ,使用累加 n n+1 法可求得 <1,即结论成立; (II)利用(I)的结论得出 ﹣ < ,进而得出|a |<2+( )m•2n,利用m n 的任意性可证|a |≤2. n 第13页 | 共14页【解答】解:(I)∵|a ﹣ |≤1,∴|a |﹣ |a |≤1, n n n+1 ∴ ﹣ ≤ ,n∈N*, ∴ =( ﹣ )+( ﹣ )+…+( ﹣ ) ≤ + + +…+ = =1﹣ <1. ∴|a |≥2n﹣1(|a |﹣2)(n∈N*). n 1 (II)任取n∈N*,由(I)知,对于任意m>n, ﹣ =( ﹣ )+( ﹣ )+…+( ﹣ ) ≤ + +…+ = < . ∴|a |<( + )•2n≤[ + •( )m]•2n=2+( )m•2n.① n 由m的任意性可知|a |≤2. n 否则,存在n ∈N*,使得|a |>2, 0 取正整数m >log 且m >n ,则 0 0 0 2 •( ) <2 •( ) =|a |﹣2,与①式矛盾. 综上,对于任意n∈N*,都有|a |≤2. n 【点评】本题考查了不等式的应用与证明,等比数列的求和公式,放缩法证明不等式,难度 较大. 第14页 | 共14页