当前位置:首页>文档>培优点06平面向量的综合应用(2种核心题型+基础保分练+综合提升练+拓展冲刺练)解析版_2.2025数学总复习_2025年新高考资料_一轮复习_2025年高考数学一轮复习核心题型讲与练(完结)

培优点06平面向量的综合应用(2种核心题型+基础保分练+综合提升练+拓展冲刺练)解析版_2.2025数学总复习_2025年新高考资料_一轮复习_2025年高考数学一轮复习核心题型讲与练(完结)

  • 2026-04-28 06:45:38 2026-03-19 10:09:43

文档预览

培优点06平面向量的综合应用(2种核心题型+基础保分练+综合提升练+拓展冲刺练)解析版_2.2025数学总复习_2025年新高考资料_一轮复习_2025年高考数学一轮复习核心题型讲与练(完结)
培优点06平面向量的综合应用(2种核心题型+基础保分练+综合提升练+拓展冲刺练)解析版_2.2025数学总复习_2025年新高考资料_一轮复习_2025年高考数学一轮复习核心题型讲与练(完结)
培优点06平面向量的综合应用(2种核心题型+基础保分练+综合提升练+拓展冲刺练)解析版_2.2025数学总复习_2025年新高考资料_一轮复习_2025年高考数学一轮复习核心题型讲与练(完结)
培优点06平面向量的综合应用(2种核心题型+基础保分练+综合提升练+拓展冲刺练)解析版_2.2025数学总复习_2025年新高考资料_一轮复习_2025年高考数学一轮复习核心题型讲与练(完结)
培优点06平面向量的综合应用(2种核心题型+基础保分练+综合提升练+拓展冲刺练)解析版_2.2025数学总复习_2025年新高考资料_一轮复习_2025年高考数学一轮复习核心题型讲与练(完结)
培优点06平面向量的综合应用(2种核心题型+基础保分练+综合提升练+拓展冲刺练)解析版_2.2025数学总复习_2025年新高考资料_一轮复习_2025年高考数学一轮复习核心题型讲与练(完结)
培优点06平面向量的综合应用(2种核心题型+基础保分练+综合提升练+拓展冲刺练)解析版_2.2025数学总复习_2025年新高考资料_一轮复习_2025年高考数学一轮复习核心题型讲与练(完结)
培优点06平面向量的综合应用(2种核心题型+基础保分练+综合提升练+拓展冲刺练)解析版_2.2025数学总复习_2025年新高考资料_一轮复习_2025年高考数学一轮复习核心题型讲与练(完结)
培优点06平面向量的综合应用(2种核心题型+基础保分练+综合提升练+拓展冲刺练)解析版_2.2025数学总复习_2025年新高考资料_一轮复习_2025年高考数学一轮复习核心题型讲与练(完结)
培优点06平面向量的综合应用(2种核心题型+基础保分练+综合提升练+拓展冲刺练)解析版_2.2025数学总复习_2025年新高考资料_一轮复习_2025年高考数学一轮复习核心题型讲与练(完结)
培优点06平面向量的综合应用(2种核心题型+基础保分练+综合提升练+拓展冲刺练)解析版_2.2025数学总复习_2025年新高考资料_一轮复习_2025年高考数学一轮复习核心题型讲与练(完结)
培优点06平面向量的综合应用(2种核心题型+基础保分练+综合提升练+拓展冲刺练)解析版_2.2025数学总复习_2025年新高考资料_一轮复习_2025年高考数学一轮复习核心题型讲与练(完结)
培优点06平面向量的综合应用(2种核心题型+基础保分练+综合提升练+拓展冲刺练)解析版_2.2025数学总复习_2025年新高考资料_一轮复习_2025年高考数学一轮复习核心题型讲与练(完结)
培优点06平面向量的综合应用(2种核心题型+基础保分练+综合提升练+拓展冲刺练)解析版_2.2025数学总复习_2025年新高考资料_一轮复习_2025年高考数学一轮复习核心题型讲与练(完结)
培优点06平面向量的综合应用(2种核心题型+基础保分练+综合提升练+拓展冲刺练)解析版_2.2025数学总复习_2025年新高考资料_一轮复习_2025年高考数学一轮复习核心题型讲与练(完结)
培优点06平面向量的综合应用(2种核心题型+基础保分练+综合提升练+拓展冲刺练)解析版_2.2025数学总复习_2025年新高考资料_一轮复习_2025年高考数学一轮复习核心题型讲与练(完结)
培优点06平面向量的综合应用(2种核心题型+基础保分练+综合提升练+拓展冲刺练)解析版_2.2025数学总复习_2025年新高考资料_一轮复习_2025年高考数学一轮复习核心题型讲与练(完结)
培优点06平面向量的综合应用(2种核心题型+基础保分练+综合提升练+拓展冲刺练)解析版_2.2025数学总复习_2025年新高考资料_一轮复习_2025年高考数学一轮复习核心题型讲与练(完结)
培优点06平面向量的综合应用(2种核心题型+基础保分练+综合提升练+拓展冲刺练)解析版_2.2025数学总复习_2025年新高考资料_一轮复习_2025年高考数学一轮复习核心题型讲与练(完结)
培优点06平面向量的综合应用(2种核心题型+基础保分练+综合提升练+拓展冲刺练)解析版_2.2025数学总复习_2025年新高考资料_一轮复习_2025年高考数学一轮复习核心题型讲与练(完结)
培优点06平面向量的综合应用(2种核心题型+基础保分练+综合提升练+拓展冲刺练)解析版_2.2025数学总复习_2025年新高考资料_一轮复习_2025年高考数学一轮复习核心题型讲与练(完结)
培优点06平面向量的综合应用(2种核心题型+基础保分练+综合提升练+拓展冲刺练)解析版_2.2025数学总复习_2025年新高考资料_一轮复习_2025年高考数学一轮复习核心题型讲与练(完结)
培优点06平面向量的综合应用(2种核心题型+基础保分练+综合提升练+拓展冲刺练)解析版_2.2025数学总复习_2025年新高考资料_一轮复习_2025年高考数学一轮复习核心题型讲与练(完结)
培优点06平面向量的综合应用(2种核心题型+基础保分练+综合提升练+拓展冲刺练)解析版_2.2025数学总复习_2025年新高考资料_一轮复习_2025年高考数学一轮复习核心题型讲与练(完结)
培优点06平面向量的综合应用(2种核心题型+基础保分练+综合提升练+拓展冲刺练)解析版_2.2025数学总复习_2025年新高考资料_一轮复习_2025年高考数学一轮复习核心题型讲与练(完结)
培优点06平面向量的综合应用(2种核心题型+基础保分练+综合提升练+拓展冲刺练)解析版_2.2025数学总复习_2025年新高考资料_一轮复习_2025年高考数学一轮复习核心题型讲与练(完结)
培优点06平面向量的综合应用(2种核心题型+基础保分练+综合提升练+拓展冲刺练)解析版_2.2025数学总复习_2025年新高考资料_一轮复习_2025年高考数学一轮复习核心题型讲与练(完结)
培优点06平面向量的综合应用(2种核心题型+基础保分练+综合提升练+拓展冲刺练)解析版_2.2025数学总复习_2025年新高考资料_一轮复习_2025年高考数学一轮复习核心题型讲与练(完结)
培优点06平面向量的综合应用(2种核心题型+基础保分练+综合提升练+拓展冲刺练)解析版_2.2025数学总复习_2025年新高考资料_一轮复习_2025年高考数学一轮复习核心题型讲与练(完结)
培优点06平面向量的综合应用(2种核心题型+基础保分练+综合提升练+拓展冲刺练)解析版_2.2025数学总复习_2025年新高考资料_一轮复习_2025年高考数学一轮复习核心题型讲与练(完结)
培优点06平面向量的综合应用(2种核心题型+基础保分练+综合提升练+拓展冲刺练)解析版_2.2025数学总复习_2025年新高考资料_一轮复习_2025年高考数学一轮复习核心题型讲与练(完结)
培优点06平面向量的综合应用(2种核心题型+基础保分练+综合提升练+拓展冲刺练)解析版_2.2025数学总复习_2025年新高考资料_一轮复习_2025年高考数学一轮复习核心题型讲与练(完结)
培优点06平面向量的综合应用(2种核心题型+基础保分练+综合提升练+拓展冲刺练)解析版_2.2025数学总复习_2025年新高考资料_一轮复习_2025年高考数学一轮复习核心题型讲与练(完结)
培优点06平面向量的综合应用(2种核心题型+基础保分练+综合提升练+拓展冲刺练)解析版_2.2025数学总复习_2025年新高考资料_一轮复习_2025年高考数学一轮复习核心题型讲与练(完结)
培优点06平面向量的综合应用(2种核心题型+基础保分练+综合提升练+拓展冲刺练)解析版_2.2025数学总复习_2025年新高考资料_一轮复习_2025年高考数学一轮复习核心题型讲与练(完结)
培优点06平面向量的综合应用(2种核心题型+基础保分练+综合提升练+拓展冲刺练)解析版_2.2025数学总复习_2025年新高考资料_一轮复习_2025年高考数学一轮复习核心题型讲与练(完结)
培优点06平面向量的综合应用(2种核心题型+基础保分练+综合提升练+拓展冲刺练)解析版_2.2025数学总复习_2025年新高考资料_一轮复习_2025年高考数学一轮复习核心题型讲与练(完结)
培优点06平面向量的综合应用(2种核心题型+基础保分练+综合提升练+拓展冲刺练)解析版_2.2025数学总复习_2025年新高考资料_一轮复习_2025年高考数学一轮复习核心题型讲与练(完结)
培优点06平面向量的综合应用(2种核心题型+基础保分练+综合提升练+拓展冲刺练)解析版_2.2025数学总复习_2025年新高考资料_一轮复习_2025年高考数学一轮复习核心题型讲与练(完结)
培优点06平面向量的综合应用(2种核心题型+基础保分练+综合提升练+拓展冲刺练)解析版_2.2025数学总复习_2025年新高考资料_一轮复习_2025年高考数学一轮复习核心题型讲与练(完结)
培优点06平面向量的综合应用(2种核心题型+基础保分练+综合提升练+拓展冲刺练)解析版_2.2025数学总复习_2025年新高考资料_一轮复习_2025年高考数学一轮复习核心题型讲与练(完结)
培优点06平面向量的综合应用(2种核心题型+基础保分练+综合提升练+拓展冲刺练)解析版_2.2025数学总复习_2025年新高考资料_一轮复习_2025年高考数学一轮复习核心题型讲与练(完结)
培优点06平面向量的综合应用(2种核心题型+基础保分练+综合提升练+拓展冲刺练)解析版_2.2025数学总复习_2025年新高考资料_一轮复习_2025年高考数学一轮复习核心题型讲与练(完结)
培优点06平面向量的综合应用(2种核心题型+基础保分练+综合提升练+拓展冲刺练)解析版_2.2025数学总复习_2025年新高考资料_一轮复习_2025年高考数学一轮复习核心题型讲与练(完结)
培优点06平面向量的综合应用(2种核心题型+基础保分练+综合提升练+拓展冲刺练)解析版_2.2025数学总复习_2025年新高考资料_一轮复习_2025年高考数学一轮复习核心题型讲与练(完结)
培优点06平面向量的综合应用(2种核心题型+基础保分练+综合提升练+拓展冲刺练)解析版_2.2025数学总复习_2025年新高考资料_一轮复习_2025年高考数学一轮复习核心题型讲与练(完结)
培优点06平面向量的综合应用(2种核心题型+基础保分练+综合提升练+拓展冲刺练)解析版_2.2025数学总复习_2025年新高考资料_一轮复习_2025年高考数学一轮复习核心题型讲与练(完结)
培优点06平面向量的综合应用(2种核心题型+基础保分练+综合提升练+拓展冲刺练)解析版_2.2025数学总复习_2025年新高考资料_一轮复习_2025年高考数学一轮复习核心题型讲与练(完结)
培优点06平面向量的综合应用(2种核心题型+基础保分练+综合提升练+拓展冲刺练)解析版_2.2025数学总复习_2025年新高考资料_一轮复习_2025年高考数学一轮复习核心题型讲与练(完结)
培优点06平面向量的综合应用(2种核心题型+基础保分练+综合提升练+拓展冲刺练)解析版_2.2025数学总复习_2025年新高考资料_一轮复习_2025年高考数学一轮复习核心题型讲与练(完结)
培优点06平面向量的综合应用(2种核心题型+基础保分练+综合提升练+拓展冲刺练)解析版_2.2025数学总复习_2025年新高考资料_一轮复习_2025年高考数学一轮复习核心题型讲与练(完结)
培优点06平面向量的综合应用(2种核心题型+基础保分练+综合提升练+拓展冲刺练)解析版_2.2025数学总复习_2025年新高考资料_一轮复习_2025年高考数学一轮复习核心题型讲与练(完结)
培优点06平面向量的综合应用(2种核心题型+基础保分练+综合提升练+拓展冲刺练)解析版_2.2025数学总复习_2025年新高考资料_一轮复习_2025年高考数学一轮复习核心题型讲与练(完结)
培优点06平面向量的综合应用(2种核心题型+基础保分练+综合提升练+拓展冲刺练)解析版_2.2025数学总复习_2025年新高考资料_一轮复习_2025年高考数学一轮复习核心题型讲与练(完结)
培优点06平面向量的综合应用(2种核心题型+基础保分练+综合提升练+拓展冲刺练)解析版_2.2025数学总复习_2025年新高考资料_一轮复习_2025年高考数学一轮复习核心题型讲与练(完结)
培优点06平面向量的综合应用(2种核心题型+基础保分练+综合提升练+拓展冲刺练)解析版_2.2025数学总复习_2025年新高考资料_一轮复习_2025年高考数学一轮复习核心题型讲与练(完结)
培优点06平面向量的综合应用(2种核心题型+基础保分练+综合提升练+拓展冲刺练)解析版_2.2025数学总复习_2025年新高考资料_一轮复习_2025年高考数学一轮复习核心题型讲与练(完结)
培优点06平面向量的综合应用(2种核心题型+基础保分练+综合提升练+拓展冲刺练)解析版_2.2025数学总复习_2025年新高考资料_一轮复习_2025年高考数学一轮复习核心题型讲与练(完结)
培优点06平面向量的综合应用(2种核心题型+基础保分练+综合提升练+拓展冲刺练)解析版_2.2025数学总复习_2025年新高考资料_一轮复习_2025年高考数学一轮复习核心题型讲与练(完结)
培优点06平面向量的综合应用(2种核心题型+基础保分练+综合提升练+拓展冲刺练)解析版_2.2025数学总复习_2025年新高考资料_一轮复习_2025年高考数学一轮复习核心题型讲与练(完结)
培优点06平面向量的综合应用(2种核心题型+基础保分练+综合提升练+拓展冲刺练)解析版_2.2025数学总复习_2025年新高考资料_一轮复习_2025年高考数学一轮复习核心题型讲与练(完结)
培优点06平面向量的综合应用(2种核心题型+基础保分练+综合提升练+拓展冲刺练)解析版_2.2025数学总复习_2025年新高考资料_一轮复习_2025年高考数学一轮复习核心题型讲与练(完结)
培优点06平面向量的综合应用(2种核心题型+基础保分练+综合提升练+拓展冲刺练)解析版_2.2025数学总复习_2025年新高考资料_一轮复习_2025年高考数学一轮复习核心题型讲与练(完结)
培优点06平面向量的综合应用(2种核心题型+基础保分练+综合提升练+拓展冲刺练)解析版_2.2025数学总复习_2025年新高考资料_一轮复习_2025年高考数学一轮复习核心题型讲与练(完结)
培优点06平面向量的综合应用(2种核心题型+基础保分练+综合提升练+拓展冲刺练)解析版_2.2025数学总复习_2025年新高考资料_一轮复习_2025年高考数学一轮复习核心题型讲与练(完结)

文档信息

文档格式
docx
文档大小
3.420 MB
文档页数
65 页
上传时间
2026-03-19 10:09:43

文档内容

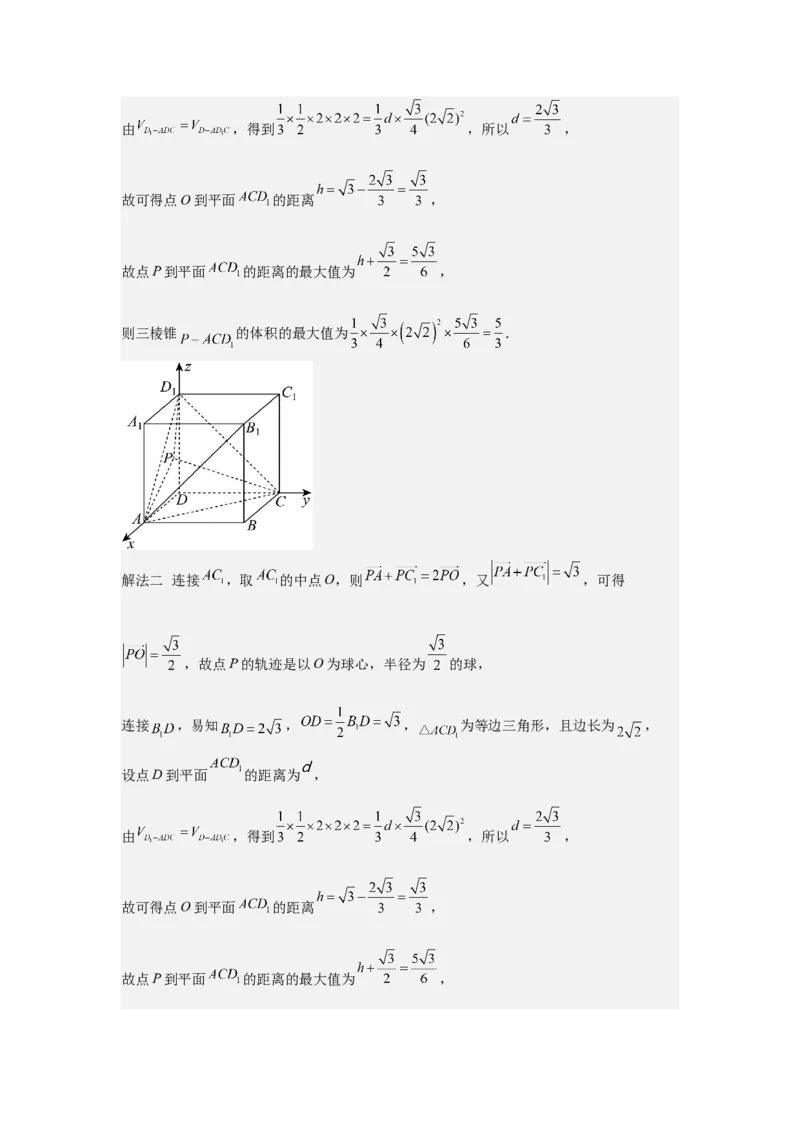
培优点 06 平面向量的综合应用(2 种核心题型+基础保分练 +综合提升练+拓展冲刺练) 【核心题型】 题型一 平面向量在几何中的应用 用向量方法解决平面几何问题的步骤 平面几何问题――→向量问题――→解决向量问题――→解决几何问题. 【例题1】(2024·湖南娄底·一模)已知圆内接四边形 中, 是 圆的直径, ,则 ( ) A. B. C. D. 【答案】C 【分析】根据平面向量数量积的线性运算,结合圆内接四边形 的几何性质,即可得 所求. 【详解】 因为 ,所以 ,易知 , 结合图形, , ,则 ,故 . 所以在直角三角形 中可得 ,故 . 故选: 【变式1】(2023·河南·模拟预测)在 中,内角A, , 所对的边分别为 , , ,, 为 上一点, , ,则 的面积为( ) A. B. C. D. 【答案】D 【分析】根据向量的基本定理得 ,同时平方化简得 , 再由余弦定理得 ,两式联立化简可得 ,由三角形面积公式计算即可. 【详解】 如图所示,在 中,由 ,得 . 又 ,即 , 所以 , 化简得 .① 在 中,由余弦定理得, ,② 由①②式,解得 .由 ,得 , 将其代入②式,得 ,解得 , 故 的面积 . 故选:D 【变式2】(2023·天津南开·一模)在平面四边形 中,,则 ; . 【答案】 【分析】根据 求出B的大小,从而可判断△ABC的形状,从而求出 ;再求 出 ,从而求出∠ACD的大小,再根据 即可求出 . 【详解】∵ , 又 ,故 , ∵ ,故 , ∴ 为等边三角形,则 ; ∵ ,∴ ,又 ,∴ , 得 , ∴ , 根据以上分析作图如下: 则∠BCD=150°, 则 . 故答案为:1; 【变式3】(2024·河北张家口·三模)在 中,内角A,B,C的对边分别为a,b,c,点D为边 上一点,且满足 . (1)证明: ; (2)若 为内角A的平分线,且 ,求 . 【答案】(1)证明见详解; (2) . 【分析】(1)记 的中点为 ,利用向量运算证明 即可; (2)先根据向量关系得 ,再由角平分线定理可得 ,分别在 使用余弦定理可得 ,再在 中利用余弦定理求 ,然后由 平方关系可得 . 【详解】(1)记 的中点为 ,则 , 因为 ,所以 , 所以 为 的垂直平分线,所以 . (2)记 , 因为 ,所以 , 所以 , , 又 为内角A的平分线,所以 , , 在 中,分别由余弦定理得: , 联立可得 , 在 中,由余弦定理得 ,所以 . 题型二 和向量有关的最值(范围)问题 命题点1 与平面向量基本定理有关的最值(范围)问题 【例题2】(2024·内蒙古呼和浩特·一模)在 中, 为线段 的一个三等分点, .连接 ,在线段 上任取一点 ,连接 ,若 ,则 的最小值为( ) A. B. C. D. 【答案】C 【分析】根据 在线段 上得到 ,结合已知条件得到 , 和 的 关系式,最后转化为二次函数求最小值. 【详解】 在线段 上, , , 为线段 的一个三等分点, , , , 由平面向量基本定理得 , , , 当 时, 取得最小值 . 故选:C. 【变式1】(2023·山东泰安·模拟预测)已知 , ,则 的最小值为( ) A. B. C. D. 【答案】B 【分析】利用数量积定义可得 的夹角为 ,不妨设 , ,即可得 ,再利用辅助角公式可得 ,即可求得其最小值. 【详解】设 的夹角为 , , , , , ,又 , 不妨设 , , ,所以 ,即 , , 由 ,当 时,即 时, 有最小值 . 故选:B 【变式2】(2024·全国·模拟预测)已知正方体 的棱长为2,空间中点P满 足 ,则三棱锥 的体积的最大值为 . 【答案】 【分析】方法一:根据题意建立合适的空间直角坐标系,设 ,根据 得出点P的轨迹是球,然后得到点P到平面 的距离的最大值,从而根 据三棱锥的体积公式求解.方法二:利用向量的几何运算得到 ,得到点P的轨迹 是球,然后得到点P到平面 的距离的最大值,从而根据三棱锥的体积公式求解. 【详解】解法一 根据题意建立如图所示的空间直角坐标系,则 , ,设 ,则 , 所以 , 由 ,得 ,故点P的轨迹是以 ( 为正 方体 的中心)为球心,半径为 的球. 连接 ,易知 , , 为等边三角形,且边长为 , 设点D到平面 的距离为 ,由 ,得到 ,所以 , 故可得点O到平面 的距离 , 故点P到平面 的距离的最大值为 , 则三棱锥 的体积的最大值为 . 解法二 连接 ,取 的中点O,则 ,又 ,可得 ,故点P的轨迹是以O为球心,半径为 的球, 连接 ,易知 , , 为等边三角形,且边长为 , 设点D到平面 的距离为 , 由 ,得到 ,所以 , 故可得点O到平面 的距离 , 故点P到平面 的距离的最大值为 ,则三棱锥 的体积的最大值为 . 故答案为: . 【变式3】(23-24高三下·天津和平·开学考试)在 中,M是边BC的中点,N是线段 BM的中点.设 , ,记 ,则 ;若 , 的面积为 ,则当 时, 取得最小值. 【答案】 /0.5 2 【分析】利用平面向量基本定理得到 ,得到 ,求出 ;由三 角形面积公式得到 ,结合 和平面向量数量积公式,基本 不等式得到 的最小值,此时 ,由余弦定理得到 . 【详解】由题意得 , 故 ,故 ; 由三角形面积公式得 , 故 , 其中 , 故, 当且仅当 ,即 时,等号成立, 此时 , 故 . 故答案为: ,2 命题点2 与数量积有关的最值(范围)问题 【例题3】(2024·黑龙江·三模)已知 内角 的对边分别为 ,动点 位于线段 上,则 的最小值为( ) A.0 B. C. D. 【答案】C 【分析】根据条件,利用数量积的定义及运算,得到 ,即可求出 结果. 【详解】由题知 , 而 ,所以当 时, 有最小值为 , 故选:C. 【变式1】(2024·全国·模拟预测)已知 , 为非零向量,且 , ,若 的最小值为 ,则 的值为( ). A. B. C.4 D. 【答案】D 【分析】由数量积的定义和模长公式对 平方可得,当 时, 取得最小值 ,可求出 ,即可求出 的值, 【详解】因为 , , 由题意得 , 所以当 时, 取得最小值 , 由 得 ,所以 . 故选:D 【变式2】(2024·四川遂宁·模拟预测)已知 , 为圆 上的两个动点, ,若点 为直线 上一动点,则 的最小值为 . 【答案】6 【分析】取 中点 ,则 ,问题转化为求 的最小值,再利用点到直线的距离公式求 的最小值即可. 【详解】如图:取 中点 ,因为 ,圆 的半径为2,所以 ,点 的 轨迹是以原点为圆心,以1为半径的圆, ., 由点到直线距离公式,得: ,所以 , 所以 . 故答案为:6 【变式3】(2024·重庆·模拟预测)在 中,内角A,B,C所对的边分别为a,b,c. 已知 . (1)求角A的大小; (2)若 ,且 ,求AP的最小值. 【答案】(1) ; (2) . 【分析】(1)根据题意,由正弦定理代入计算,结合三角恒等变换公式代入计算,即可得 到结果; (2)根据题意,由平面向量数量积的运算律代入计算,结合基本不等式代入计算,即可得 到结果. 【详解】(1)在 中,由正弦定理 ,可得 又由 知 ,即 ,得 ,得 , 得 ,所以 ; 又因为 ,所以 . (2)由 ,得 , 所以 , 当且仅当 ,即 时等号成立,故AP的最小值为 命题点3 与模有关的最值(范围)问题 【例题4】(2022·内蒙古赤峰·模拟预测)已知点 、 在单位圆上, ,若 ,则 的取值范围是( ) A. B. C. D. 【答案】C【分析】利用平面向量数量积的运算性质以及二次函数的基本性质可求得 的取值范围. 【详解】 , 因此, . 故选:C. 【变式1】(2023·重庆·三模)已知 是单位向量,向量 满足 与 成角 ,则 的取值范围是( ) A. B. C. D. 【答案】C 【分析】设 ,由已知 与 的夹角为 可得 ,由正弦定理 得 ,从而可求 的取值范围. 【详解】设 ,如图所示: 则由 ,又 与 的夹角为 , .又由 ,由正弦定理 ,得 , , , , 故选:C 【变式2】(2022·浙江·三模)已知平面向量 满足 ,设 ,若 ,则 的取值范围为 . 【答案】 【分析】设 ,则 ,由条件求出 ,根据向量三角不等式可求 . 【详解】设 ,则 ,则由条件 知 , 所以 ,所以 , 又 所以 . 故答案为: 【变式3】(2022·上海·模拟预测)已知向量 在向量 方向上的投影为 ,且 ,则 的取值范围为 (结果用数值表示) 【答案】【分析】根据向量的投影公式可得 ,结合向量的数量积公式和 的取值范围即 可求出 的范围. 【详解】由题意知,设向量 的夹角为 , 由 , 得 , 又 , 又 且 , ,所以 , 所以 的取值范围为 . 故答案为: 【课后强化】 【基础保分练】 一、单选题 1.(2024·江西鹰潭·二模)在 中,角 所对应的边为 , , , , 是 外接圆上一点,则 的最大值是( ) A.4 B. C.3 D. 【答案】A 【分析】先判断 外接圆圆心 是 的中点,将 化简为 ,再 将 分解整理得 ,结合图形,利用向量数量积的定义式进行分析,即得的最大值. 【详解】 如图,设 的外心为 ,则点 是 的中点, 由 , 因 ,故 ,而 , 故 当且仅当 与 同向时取等号. 故选:A. 2.(2024·陕西渭南·二模)已知菱形 的边长为 为菱形的中心, 是线段 上的动点,则 的最小值为( ) A. B. C. D. 【答案】A 【分析】设 ,将 分别用 表示,再结合数量积的运算律即 可得解. 【详解】由题意点 为 的中点, 设 , 则 , , 故, 当 时, 取得最小值 . 故选:A. 3.(2024·四川凉山·三模)已知平面向量 , 夹角为 ,且满足 , ,若当 时, 取得最小值,则 ( ) A. B. C. D. 【答案】C 【分析】利用平面向量数量积公式结合二次函数的性质求得 时取得最小值, 再根据同角三角函数的平方关系计算即可. 【详解】易知 , 由二次函数的单调性可知 时上式取得最小值, 即 , 所以 . 故选:C 4.(2023·陕西榆林·模拟预测)已知向量 , 满足 , ,则 的取值范围为( ) A. B. C. D. 【答案】D 【分析】由向量的数量积与模的关系消元化简计算即可. 【详解】设向量 , 的夹角为 ,则 , 易知 ,即 所以 ,所以 ,即 . 故选:D. 二、多选题 5.(2023·山东烟台·二模)如图,在 中, , , ,点 分 别在 , 上且满足 , ,点 在线段 上,下列结论正确的有 ( ). A.若 ,则 B.若 ,则 C. 的最小值为 D. 取最小值时, 【答案】BCD【分析】A选项根据平面向量基本定理和向量共线的性质求解; B选项,结合A选项,用 , 来表示出 ,然后由数量积的计算进行说明; C选项,取 中点 ,则 ,问题转化成定点 到线段 上动点的距离最 小值; D选项,通过转化先推出 取得最小值时, 也取最小值,然后用面积的割 补计算. 【详解】 A选项,点 在线段 上,则 ,使得 ,则 , 又 , ,故 , 根据题干若 ,由平面向量基本定理可知: , 于是 ,A选项错误; B选项,根据A的分析,若 ,此时 ,故 , , 于是 ,由 , , ,代入数据由向量的数量积可得 ,即 , B选项正确; C选项,取 中点 ,则 ,由 ,于是 , 由 , , 故 为等边三角形,故 ,根据中位线可知, // , 于是 ,在 中根据余弦定理可得 , 为锐角,又 , 故过 作 的高线时,垂足点落在线段 上,由题意垂足点为 时, 最小.最小值为 ,C选项正确; D选项, , 在 中,根据余弦定理可求得 ,即 , 根据C选项可知, 最小时 也最小. 根据 ,根 据C选项的分析, ,故 ,注意到 , 故 , 故 ,D选项 正确. 故选:BCD 6.(2024·河南信阳·二模)如图,在四棱锥 中,底面是边长为 的正方形,为 的中点. ,过 作平面 的垂线,垂足为 ,连 , ,设 , 的交点为 ,在 中过 作直线 交 , 于 , 两点, , ,过 作截面将此四棱锥分成上、下两部分,记上、下两 部分的体积分别为 ,下列说法正确的是( ) A. B. C. D. 的最小值为 【答案】ABD 【分析】过 作平面 的垂线,垂足为 ,连接 、 、 ,设 、 的交 点为 ,在 中,过 作直线交 , 于 , ,由相交直线确定平面,得到四 边形 是过 的截面,结合平面向量基本定理,基本不等式及体积求解逐项判断能 求出结果. 【详解】由题意可知,四棱锥 为正四棱锥, 过 作平面 的垂线,垂足为 ,则O为底面中心,连接 、 、 , 设 、 的交点为 ,在 中,过 作直线交 , 于 , , 由相交直线确定平面,得到四边形 是过 的截面, 由题意得 , 是等边三角形, 是 的重心, 则 ,故A正确;又设 , , , , ,由三点共线得 ,解得 ,故B正确; 易知 平面 ,故 平面 , 则E到平面 的距离为 ,同理G到平面 的距离为2, 又 为 的中点,则 到平面 的距离为1, , ,故C错误; 易知 , 故 , , , , , 当且仅当 .取等号, , .故D正确. 故选:ABD【点睛】关键点点睛:本题考查正棱锥性质及向量应用,解决问题关键是利用向量共线得 结合基本不等式求最值. 三、填空题 7.(2024·湖北·模拟预测)已知向量 , 满足 , ,且 , 的夹角为 ,则 的最小值是 . 【答案】 【分析】根据数量积的定义和运算律可得 ,结合二次函数分析求解. 【详解】由题意可知: , 因为 , 当且仅当 时,等号成立, 所以 的最小值是 . 故答案为: . 8.(2024·上海闵行·二模)已知 、 是空间中两个互相垂直的单位向量,向量 满足 ,且 ,当 取任意实数时, 的最小值为 . 【答案】【分析】由向量的模长和数量积的运算结合二次函数求出最值即可. 【详解】因为 , , , , 所以 , 所以当 时, 的最小值为 , 故答案为: . 9.(2022·天津南开·二模)已知平行四边形 中, , , , 则 ;若 , ,则 的最大值为 . 【答案】 【分析】由 求出 ,然后由 平方后求得 ,把 用 表示后求数量积化为 的函数可得最大值. 【详解】由已知 , 所以 ,所以 , ; 因为 , , 所以 , ,, 所以 时, 取得最大值 . 故答案为: ; . 四、解答题 10.(2023·湖北·二模)已知在 中,角A、B、C的对边分别是a、b、c, . (1)若BC边上的高等于 ,求 ; (2)若 ,求AB边上的中线CD长度的最小值. 【答案】(1) (2) 【分析】(1)先求得 (用 表示),然后利用余弦定理求得 . (2)先求得 ,利用向量法求以及基本不等式求得 长度的最小值. 【详解】(1)过 作 ,垂足为 ,则 , , , 在三角形 中,由余弦定理得 .(2) , ,两边平方得 ,当且仅当 时等号成立, 所以 的最小值为 . 11.(2023·四川成都·一模)已知 的内角A,B,C所对的边分别为a,b,c,且 . (1)求角B; (2)若边 上的中线 长为2,求 面积的最大值. 【答案】(1) (2) 【分析】(1)先化简 ,再结合余弦定理即可求解; (2)利用中线向量公式,结合数量积的运算可得 ,结合基本不等式与三角 形的面积公式即可求解. 【详解】(1)因为 ,所以 ,即 , 根据余弦定理可得 ,又因为 ,所以 ; (2) 是 上的中线, ,即 , ,即 , 当且仅当 时,等号成立, ,即 面积的最大值为 【综合提升练】 一、单选题 1.(2023·陕西咸阳·模拟预测)已知向量 , ,且 , ,则 的最小值为( ) A. B.4 C. D. 【答案】A 【分析】求出 的值,写出 的表达式,即可求出最小值. 【详解】由题意, ∵ , ∴ , ∵ , ∴ , , 当 时, 取得最小值 , ∴ 的最小值为 , 故选:A.2.(2024·全国·模拟预测)若单位向量 , 的夹角为 ,则当 取得最 小值时, 的值为( ) A.-2 B.-1 C. D. 【答案】C 【分析】利用平面向量数量积的运算性质,将 平方后即可求解. 【详解】由题意知 ,因为 ,所以当 时, 取得最小值. 故选:C. 3.(2023高三下·全国·竞赛)已知平面向量 , 满足 , ,并且当 时, 取得最小值,则 ( ) A. B. C. D. 【答案】B 【分析】根据已知得出 ,即可根据二次函数最值问题得 出 时, 取得最小值,即 取得最小值,再根据已知列式解 出 ,即可根据同角三角函数关系得出答案. 【详解】平面向量 , 满足 , , 则 , ,, 则 时, 取得最小值,即 取得最小值, 故 ,解得: , 则 , 故选:B. 4.(2023·山东青岛·三模)已知向量 , , 满足: , , ,则 的最小值为( ) A. B. C.2 D.1 【答案】A 【分析】建立平面坐标系,用坐标表示 , , ,利用数量积的坐标运算计算即可. 【详解】由题意不妨设 ,则 ,且 , 解之得 或 , 由 , 即 的终点C在以 为圆心,1为半径的圆上,故 , 由圆的对称性,不妨令 ,即 ,连接AD交圆于E,由点与圆的位置关系 可知. 故选:A 5.(2023高一·全国·单元测试)若 , 是两个互相垂直的单位向量,且向量 满足 ,则 的取值范围是( ) A. B. C. D.以上答案均不对 【答案】A 【分析】取 ,引入向量坐标后处理表达式,找出向量 满足的关系,最后 用模长公式结合二次函数的性质求 的范围 【详解】根据 垂直可得 ,不妨取 ,设 , 于是 , ,并取 ,注意到 . 于是 . 故 点在线段 上运动,由直线的截距式方程可得,直线 方程为: ,即 ,设 , ,则 , ,故 , 设 , ,则 ; 由 , ,于是 时, , 于是 . 故选:A 6.(2024·湖北武汉·模拟预测)已知 是边长为 的正三角形,点 是 所在 平面内的一点,且满足 ,则 的最小值是( ) A.1 B.2 C.3 D.【答案】C 【分析】可由重心的性质结合向量运算得到点 的轨迹,再结合圆上的点到圆外定点的距 离最小值为圆心到定点减半径得到;亦可建立适当平面直角坐标系,借助向量的坐标运算 结合圆的性质得解. 【详解】法一:设 的重心为 ,则 , 点 的轨迹是以 为圆心,1为半径的圆, 又 , 的最小值是 . 法二:以 所在直线为 轴,以 中垂线为 轴建立直角坐标系, 则 , 设 ,即 , 化简得 , 点 的轨迹方程为 , 设圆心为 , ,由圆的性质可知当 过圆心时 最小, 又 ,故 得最小值为 . 故选:C. 7.(2023·江西景德镇·三模)互相垂直且有公共原点的两条数轴构成平面直角坐标系,但如果平面坐标系中两条坐标轴不垂直,则这样的坐标系称为“斜坐标系”.如图,在斜坐标 系中,过点 作两坐标轴的平行线,其在 轴和 轴上的截距 , 分别作为点 的 坐标 和 坐标,记 .若斜坐标系中, 轴正方向和 轴正方向的夹角为 ,则该坐标系中 和 两点间的距离为( ) A.2 B.1 C. D. 【答案】D 【分析】设与x轴方向相同的单位向量为 ,与y轴方向相同的单位向量为 ,则可表示 出 ,即可计算出 和 两点间的距离. 【详解】设与x轴方向相同的单位向量为 ,与y轴方向相同的单位向量为 , 则 , , 则 , 所以 , 所以 , 故选:D. 8.(2022·浙江宁波·二模)已知平面向量 , , 满足 , , , ( , ).当 时, ( )A. B. C. D. 【答案】A 【分析】分析题目条件,得到 ,画出草图,利用等和线得到 ,过 O点,C点分别向AB做垂线,得到两个相似比为1比3的直角三角形,设出∠CAB=θ,然后 利用角表示边,通过勾股定理得到角的大小,从而得到边长的大小,进而求出 的大小 【详解】解析:作 , , ,由题意 , 设直线 与直线 交于点 , ∵ ( , ), ∴点 在线段 上(不含端点) 又 ,结合等和线性质,可知 作 于 , 于 , 有 , 记 ①当点 在线段 上时, , 由 ,得 ,可解得 ,进而有 此时, ,(注:点 为线段 的中点,在线段 上,符合题意) 可得 ,所以 ②当点 在线段 的反向延长线上时,同①方法可推得点 与点 重合,矛盾综上, . 故选:A 二、多选题 9.(2023·全国·模拟预测)已知点 , , ,则下列说法正确 的是( ) A. B.若 ,则 C.若 ,则 D.若 , 的夹角为锐角,则 且 【答案】AC 【分析】根据向量的模长,垂直,平行和夹角大小的定义,对下列各项逐一判断,即可得 到本题答案. 【详解】因为 , , , 所以 , , 选项A: ,所以A正确; 选项B:因为 ,所以 ,所以 ,所以 ,所以B错误; 选项C:因为 ,所以 ,所以 ,所以C正确; 选项D:因为 , 的夹角为锐角,且 ,所以 ,解得,所以D错误. 故选:AC 10.(2023·湖北·模拟预测)下列关于平面向量的说法中正确的是( ) A.已知 ,点 在直线 上,且 ,则 的坐标为 ; B.若 是 的外接圆圆心,则 C.若 ,且 ,则 D.若点 是 所在平面内一点,且 ,则 是 的 垂心. 【答案】BD 【分析】对于A,设 ,由题意可得 或 ,再根据平面向量的坐 标表示计算即可;对于B,如图,设 为 的中点,根据数量积的定义即可得解;对于 C,当 时,再根据数量积的运算律即可判断;根据数量积的运算律即可判断D. 【详解】对于A,设 ,则 , 因为点 在直线 上,且 , 所以 或 , 则 或 , 所以 或 ,解得 或 , 所以 或 ,故A错误; 对于B,如图,设 为 的中点,则 ,则 ,故B正确; 对于C,当 时, , 满足 ,则 与 不一定相等,故C错误; 对于D,因为 , 所以 ,所以 , 同理可得 , 所以 是 的垂心,故D正确. 故选:BD. 11.(2024·全国·模拟预测)在平面直角坐标系中, , ,且 , MN是圆Q: 的一条直径,则( ) A.点P在圆Q外 B. 的最小值为2 C. D. 的最大值为32 【答案】BCD 【分析】根据 化简可得 ,即可得P点轨迹,进而根据圆A与圆 Q外切求解A,根据 即可求解B,根据向量数量积的运算律 即可求CD. 【详解】对A,由 ,得 ,整理得 ,所以点P在以 为圆心,2为半径的圆上,记为圆A,如图. 因为 ,所以圆A与圆Q外切.当点P为两圆的公共点时,点P在圆Q上,故A错 误. 对B,由题意,得 ,故B正确. 对C, ,故C正确. 对D, .而 , 所以 ,故D正确. 故选:BCD. 三、填空题 12.(2023·全国·模拟预测)已知在△ABC中,∠BAC=60°,点D为边BC的中点,E,F 分别为BD,DC的中点,若AD=1,则 的最大值为 . 【答案】 【分析】由平面向量的加法法及平面向量的基本定理得 、 、 都可用基底 、 表示,将 左右平方后所得式子与重要不等式联立可得 ,将 、 代入 中计算即可. 【详解】设AC=b,AB=c, 则 ,∵D为边BC的中点, ∴ , ∴ ,即: ,① 又∵ ,当且仅当 时取等号. ② ∴由①②得: . 又∵E、F分别为BD、DC的中点, ∴ , , ∴ ,当且仅当 时取等号. ∴ 的最大值为 . 故答案为: . 13.(2023·广西·模拟预测)在 中, ,点 在线段 上,且 , ,则 面积的最大值为 . 【答案】 / 【分析】利用向量法求得 的取值范围,进而求得 面积的最大值. 【详解】在 中,设 , , , 由 ,则 ,则 , ,即 , ,当且仅当 时取等号.所以 面积的最大值为 . 故答案为: 14.(2024·贵州贵阳·模拟预测)如果复数 , , , 在复平面内对应的点分别为 , , , ,复数z满足 ,且 ,则 的最大值为 . 【答案】 【分析】先将复数转化为平面直角坐标系中的坐标,然后用距离公式对条件 进行变形,得到 ,由此可以证明 . 之后再使用向量的 坐标运算将 表示为关于 的表达式,利用 即可证明 , 最后给出一个 的例子即可说明 的最大值是 . 【详解】由 , , , ,知 , , , ,从而 , , . 由于 , ,故条件 即为 ,展开得到 ,再化简 得 ,所以 ,故我们有,从而 . 由于 , , , ,故 ,从而 . 经验证,当 , 时,条件满足. 此时 . 所以 的最大值是 . 故答案为: . 【点睛】关键点点睛:本题的关键点在于将复数坐标化为平面直角坐标系中的坐标,并将 复数之差的模长表示为平面直角坐标系中的线段长度. 另外,本题还具有“阿波罗尼斯 圆”的背景:平面上到两个不同定点 的距离之比恒为常数 的点的轨 迹是一个圆,该圆称为关于 的阿波罗尼斯圆. 使用解析几何方法结合距离公式,很容 易证明此结论. 四、解答题 15.(2024·湖南衡阳·模拟预测)在 中,角 的对边分别为 已知 (1)求角 (2)过 作 ,交线段 于D,且 ,求角 .【答案】(1) (2) 【分析】(1)由正弦定理边化角,再利用内角和为 变换角 ,最后进行三角恒等变化 即可求解; (2)利用 ,结合定比分点向量公式,用向量法来运算垂直关系,即可解得. 【详解】(1)由正弦定理得: . ∵ ,∴ , ∴ ∴ , 又 ,∴ ,又 为三角形内角,∴ . (2) 因为 在 边上,且 ,所以 . 因为 ,所以 , 即 , 所以 . 在 中,由 , ,可得 .16.(2022·湖南·一模)在 中,内角A,B,C所对的边分别为a,b,c,已知 . (1)求 中的最大值; (2)求 边上的中线长. 【答案】(1)最大值为 (2) 【分析】(1)先判断 为最大,再根据余弦定理可求其余弦值,从而可求其正弦值. (2)由 可得求中线长. 【详解】(1) ,故有 , 由余弦定理可得 , 又 , ,故 . (2)设 边上的中线为 ,则 , , ,即 边上的中线长为 . 17.(2022·广东深圳·一模)如图,在 ABC中,已知 , , , △ BC,AC边上的两条中线AM,BN相交于点P. (1)求 的正弦值; (2)求 的余弦值.【答案】(1) (2) 【分析】(1)解法1、由余弦定理求得 ,得到 ,分别在 和 ,求得 和 ,结合 和 互补,求得 ,再在 中,求得 ,即可求解; 解法2、由题意,求得 ,根据 ,结合 的面积为 面积的 ,列出方程,即可求解; (2)解法1、由余弦定理求得 ,得到 , ,在 中,由余 弦定理求得 ,即可求解; 又由 ,所以 . 解法2、由 ,求得 ,结合向量的夹角公式,即可求解. 【详解】(1)解:解法1、由余弦定理得 , 即 ,所以 , 所以 , 在 中,由余弦定理,得 , 在 中,由余弦定理,得 ,与 互补,则 ,解得 , 在 中,由余弦定理,得 , 因为 ,所以 . 解法2、由题意可得, , 由AM为边BC上的中线,则 , 两边同时平方得, ,故 , 因为M为BC边中点,则 的面积为 面积的 , 所以 , 即 , 化简得, . (2)解:方法1、在 中,由余弦定理,得 , 所以 , 由AM,BN分别为边BC,AC上的中线可知P为 重心, 可得 , , 在 中,由余弦定理,得 , 又由 ,所以 . 解法2: 因为BN为边AC上的中线,所以 ,, ,即 . 所以 . 18.(2023·河南·模拟预测) 的内角 的对边分别为 ,已知 是 边上一点, . (1)求 ; (2)求 的最大值. 【答案】(1) (2) 【分析】(1)利用正弦定理化边为角,再由同角三角函数的商数关系,得解; (2)由 ,知 ,将其两边平方后,结合基本不等式,计算可得 ,再由平面向量数量积的运算法则,得解. 【详解】(1)由正弦定理及 知, , 因为 ,所以 , 所以 . (2)因为 ,所以 , 又 , 所以 ,整理得 ,所以 , 所以 ,当且仅当 ,即 时,等号成立, 所以 , 故 的最大值为 . 19.(2023·四川自贡·一模)在 中,角A,B,C所对的边分别为a,b,c,已知 .若D在线段BC上,且 , . (1)求A; (2)求 面积的最大值. 【答案】(1) (2) 【分析】(1)由 使用三角恒等变换求得 值; (2)将 用 表示,由 求得 关系,使用基本不等式求 的最大值,从 而得到面积的最大值. 【详解】(1)因为 ,因为 ,所以 . (2)由 得, , 所以 . 所以 . 所以 . 所以 ,当且仅当 时等号成立. 所以 .所以 . 故 面积的最大值 【拓展冲刺练】 一、单选题 1.(2022·安徽黄山·一模)在 中, ,O是 的外心,则 的最大值为( ) A.1 B. C.3 D. 【答案】C 【分析】取 中点为 ,将 写为 ,展开后,将 作为一组基底,将其他向量 写为 的形式,再将三角形的边和角代入,用余弦定理将边角之间关系代入上式,再用正 弦定理求出变量范围,求出最大值即可. 【详解】解:由题知,记 的三边为 , 因为O是 的外心, 记 中点为 , 则有 , 所以 且 , 所以①, 在 中,由余弦定理得: , 即 , 即 , 代入①中可得: , 在 中,由正弦定理得: , 所以 , 所以 , 当 时取等, 故 的最大值为3. 故选:C 2.(2022·江苏盐城·模拟预测)在 中,过重心E任作一直线分别交AB,AC于M,N 两点,设 , ,( , ),则 的最小值是( ) A. B. C.3 D.2 【答案】C【分析】先利用平面向量基本定理及三点共线得到 ,利用基本不等式“1的妙 用”求出最小值. 【详解】在 中,E为重心,所以 , 设 , ,( , ) 所以 , ,所以 . 因为M、E、N三点共线,所以 , 所以 (当且仅当 ,即 , 时取等号). 故 的最小值是3. 故选:C. 3.(22-23高三下·河北石家庄·阶段练习)设 是平面直角坐标系中关于 轴对称的两点, 且 .若存在 ,使得 与 垂直,且 ,则 的最小值为( ) A.1 B. C.2 D. 【答案】D 【分析】构造向量,利用向量垂直和 ,结合基本不等式得出 的最大值2,结合图形可得答案.【详解】如图, 是平面直角坐标系中关于 轴对称的两点,且 , 由题意得: ,令 ,则 三点共线, ,则 三点共线, 故有 共线,由题意 与 垂直, , 知 ,且 为定值, 在 中, ,当且仅当 时, 取最大值2, 此时 面积最大,则 到 的距离最远,而 ,故当且仅当 , 即 关于 轴对称时, 最小,此时 到 的距离为 , 所以 ,故 ,即 的最小值为 . 故选:D. 4.(2023·贵州毕节·模拟预测)已知点G为三角形ABC的重心,且 , 当 取最大值时, ( ) A. B. C. D. 【答案】A 【分析】 由题设可得 ,结合 , 及余弦定理可得,根据基本不等式即可求解. 【详解】由题意 ,所以 , 即 ,所以 ,所以 , 又 , , 则 , 所以 ,即 , 由 , , , 所以 , 所以 ,当且仅当 时等号成立, 又 在 上单调递减, , 所以当 取最大值时, . 故选:A 【点睛】关键点点睛:此题考查向量的数量积运算及余弦定理的应用,解题的关键是结合 三角形重心的性质和余弦定理可得 ,然后利用基本不等式求解,考查转化思想, 属于较难题. 二、多选题 5.(2022·湖北·二模)定义空间两个非零向量的一种运算: ,则关于 空间向量上述运算的以下结论中恒成立的有( ) A. B.C.若 ,则 D. 【答案】BD 【分析】A选项,可举出反例,当 不共线且 为负数时, ;B选项, 根据定义得到B正确;C选项,根据题意得到 共线;D选项,结合正弦函数的值域得到 D正确. 【详解】对于A, , , 若 不共线,且 为负数,则 ,而 , 此时 ,故A错误; 对于B,由定义知 , ,故B正确; 对于C,若 ,则 , 共线,故C错误; 对于D,由定义知 ,又 , 故 ,当且仅当 时,等号成立,故D正确. 故选:BD 6.(2024·海南海口·模拟预测)已知 , 是 上的两个动点,且 .设 , ,线段 的中点为 ,则( ) A. B.点 的轨迹方程为 C. 的最小值为6D. 的最大值为 【答案】BC 【分析】A选项,由垂径定理得到 ,从而得到 , ; B选项,由 得到点 的轨迹为以 为圆心,半径为1的圆,得到轨迹方程;C选项, 由极化恒等式得到 ,结合点 的轨迹方程,得到 的最小值;D选项,转化为点到直线的距离问题, 可看作点 到直线 的距离,结合点 的轨迹方程,求出 最大值,得到答案. 【详解】A选项,由题意得 ,半径为 , 由垂径定理得 ⊥ ,则 ,解得 , 由于 ,则 ,故 ,A错误; B选项,由A选项可得, ,故点 的轨迹为以 为圆心,半径为1的圆, 故点 的轨迹方程为 ,B正确; C选项,由题意得 , , 两式分别平方后相减得, , 其中 ,又点 的轨迹方程为 , 所以 的最小值为 ,故 的最小值为 ,C正确; D选项, 可看作点 到直线 的距离, 同理, 可看作点 到直线 的距离, 故 可看作点 到直线 的距离, 点 的轨迹方程为 , 故点 到直线 的距离最大值为圆心到 的距离加上半径, 即 ,故 , 所以 ,故最大值为 ,D错误. 故选:BC 【点睛】关键点睛:向量恒等式 ,及 是 常用等式,要学会合理利用这两个式子解题. 三、填空题 7.(2024·河北沧州·模拟预测)已知单位向量 ,向量 与 不共线,且 , 则 的最大值为 . 【答案】2 【分析】由 ,则 ,方法一:利用正弦定理可得 ,当 时,可求得结果;方法二:作出△ABC的外接圆,当AC为圆的直径,即 时,可求 . 【详解】法1:设 , ,则 ,如图所示. 因为 ,所以在△ABC中, , , 由正弦定理,得 即 ,得 , 当 时, . 法2:设 , ,则 ,作出△ABC的外接圆,如图所示. 因为 ,所以 ,因为 , 当AC为圆的直径,即 时, . 故答案为:2 8.(2024·山东济宁·三模)已知 ,则的最小值为 . 【答案】 【分析】根据平面向量的模求出数量积 ,利用向量的几何意义和运算律计算可得 , 表示点 与点 的距离之和,作出图形,确定 的最小值,结合图形即可求 解. 【详解】由 ,得 , 即 ,解得 . , 表示点 与点 的距离之和. 如图,点 关于x轴的对称点为 ,连接 ,则 , 当且仅当 三点共线时等号成立, 所以 的最小值为 . 故答案为: 【点睛】关键点点睛:本题的关键是 表示点 与点 的距离之和,结合图形,确定 (当且仅 当 三点共线时等号成立). 9.(2024·黑龙江牡丹江·模拟预测)已知 是边长为1的正六边形边上相异的三点, 则 的取值范围是 . 【答案】 【分析】一方面 ,而 , , 不重合,所以 ;另 一方面,设 中点为 ,那么 ,设 在六边形的端点上,同理不妨设 在六边形的端点上.分四种情况即可得 ,剩下的只需证明何时取等并且 可以遍历 中的每一个数. 【详解】首先, ,这里 是最长的那条对角线的长度, 等号取到当且仅当 同向,且 ,而这意味着 重合,矛盾. 所以 . 另一方面,我们先舍弃 互不重合的条件,然后证明 : 设 中点为 ,那么 , 然后,设A所在的边的端点为 ,则 , (这是因为,记 ,其中 为原点,确定的 , 那么 是一次函数,从而t属于 时,有 ) 所以我们可以不妨设A在六边形的端点上. 同理,我们可以不妨设C在六边形的端点上. 此时分以下四种情况: (1) 重合,此时 , (2) 为相邻顶点,此时 , (3) 相隔一个顶点,此时 , (4) 为对径点,此时 ,综上, , 所以,即使去掉 互不重合的条件,我们仍有 , 这就说明, 互不重合时,有 , 然后,取等条件如图所示: 具体说明如下:构造一个 到六边形的函数 (即从数映射到点), 使得 ,并且只沿着最近的轨道, 这样在 的情况下, 互不重合 同时设 ,那么 ,而 连续, 所以在 的情况下, 必定取遍 , 这就意味着, 的取值范围就是 , 所以 的取值范围是 . 故答案为: . 【点睛】关键点点睛:对 分以下四种情况: (1) 重合,此时 ,(2) 为相邻顶点,此时 , (3) 相隔一个顶点,此时 , (4) 为对径点,此时 四、解答题 10.(2023·重庆·模拟预测)在 中,a,b,c分别是 的内角A,B,C所对的边, 且 . (1)求角A的大小; (2)记 的面积为S,若 ,求 的最小值. 【答案】(1) (2) 【分析】(1)根据题意,由正弦定理先将边角化统一,然后由余弦定理即可得到结果; (2)根据题意可得, ,然后得到 ,再由三角形的面积公式可得 , 最后结合基本不等式即可得到结果. 【详解】(1)因为 ,即 由正弦定理可得, ,化简可得 , 且由余弦定理可得, ,所以 , 且 ,所以 . (2)因为 ,则可得 , 所以 且 , 即 , 当且仅当 ,即 时,等号成立. 所以 11.(2023·四川成都·模拟预测)如图,A,B是单位圆(圆心为O)上两动点,C是劣弧 (含端点)上的动点.记 ( , 均为实数). (1)若O到弦AB的距离是 ,求 的取值范围; (2)若 ,向量 和向量 的夹角为 ,求 的最小值. 【答案】(1)(2) 【分析】(1)由题意确定 ,根据数量积的运算律求得则 , ,可得 ,即可求得答案; (2)将 平方可得 ,根据数量运算律求出 ,以及求得向量 和向量 的模,即可求 得 的表达式,结合余弦函数性质利用函数单调性即可求得答案. 【详解】(1)由题意知O到弦AB的距离是 ,则 , 故 ,且 , 记劣弧 的中点为D, 则 , , 两式相加得 , 故 , 由于 ,故 ,即 的取值范围为 ; (2)设 , 由 可得 , 即 ,结合 可得 , 故 , 而 , 由于向量 和向量 的夹角为 , 故 , 令 ,则 在 上单调递增, 则 , 即 得最小值为 .