当前位置:首页>文档>微专题抛物线的弦长问题学案——2023届高考数学一轮《考点·题型·技巧》精讲与精练_2.2025数学总复习_赠品通用版(老高考)复习资料_一轮复习

微专题抛物线的弦长问题学案——2023届高考数学一轮《考点·题型·技巧》精讲与精练_2.2025数学总复习_赠品通用版(老高考)复习资料_一轮复习

  • 2026-04-16 19:52:10 2026-03-20 04:23:18

文档预览

微专题抛物线的弦长问题学案——2023届高考数学一轮《考点·题型·技巧》精讲与精练_2.2025数学总复习_赠品通用版(老高考)复习资料_一轮复习
微专题抛物线的弦长问题学案——2023届高考数学一轮《考点·题型·技巧》精讲与精练_2.2025数学总复习_赠品通用版(老高考)复习资料_一轮复习
微专题抛物线的弦长问题学案——2023届高考数学一轮《考点·题型·技巧》精讲与精练_2.2025数学总复习_赠品通用版(老高考)复习资料_一轮复习
微专题抛物线的弦长问题学案——2023届高考数学一轮《考点·题型·技巧》精讲与精练_2.2025数学总复习_赠品通用版(老高考)复习资料_一轮复习
微专题抛物线的弦长问题学案——2023届高考数学一轮《考点·题型·技巧》精讲与精练_2.2025数学总复习_赠品通用版(老高考)复习资料_一轮复习
微专题抛物线的弦长问题学案——2023届高考数学一轮《考点·题型·技巧》精讲与精练_2.2025数学总复习_赠品通用版(老高考)复习资料_一轮复习
微专题抛物线的弦长问题学案——2023届高考数学一轮《考点·题型·技巧》精讲与精练_2.2025数学总复习_赠品通用版(老高考)复习资料_一轮复习
微专题抛物线的弦长问题学案——2023届高考数学一轮《考点·题型·技巧》精讲与精练_2.2025数学总复习_赠品通用版(老高考)复习资料_一轮复习
微专题抛物线的弦长问题学案——2023届高考数学一轮《考点·题型·技巧》精讲与精练_2.2025数学总复习_赠品通用版(老高考)复习资料_一轮复习
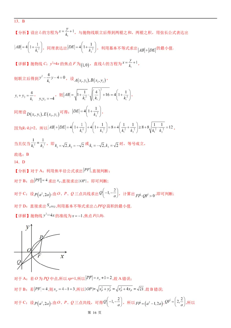
微专题抛物线的弦长问题学案——2023届高考数学一轮《考点·题型·技巧》精讲与精练_2.2025数学总复习_赠品通用版(老高考)复习资料_一轮复习
微专题抛物线的弦长问题学案——2023届高考数学一轮《考点·题型·技巧》精讲与精练_2.2025数学总复习_赠品通用版(老高考)复习资料_一轮复习
微专题抛物线的弦长问题学案——2023届高考数学一轮《考点·题型·技巧》精讲与精练_2.2025数学总复习_赠品通用版(老高考)复习资料_一轮复习
微专题抛物线的弦长问题学案——2023届高考数学一轮《考点·题型·技巧》精讲与精练_2.2025数学总复习_赠品通用版(老高考)复习资料_一轮复习
微专题抛物线的弦长问题学案——2023届高考数学一轮《考点·题型·技巧》精讲与精练_2.2025数学总复习_赠品通用版(老高考)复习资料_一轮复习
微专题抛物线的弦长问题学案——2023届高考数学一轮《考点·题型·技巧》精讲与精练_2.2025数学总复习_赠品通用版(老高考)复习资料_一轮复习
微专题抛物线的弦长问题学案——2023届高考数学一轮《考点·题型·技巧》精讲与精练_2.2025数学总复习_赠品通用版(老高考)复习资料_一轮复习
微专题抛物线的弦长问题学案——2023届高考数学一轮《考点·题型·技巧》精讲与精练_2.2025数学总复习_赠品通用版(老高考)复习资料_一轮复习
微专题抛物线的弦长问题学案——2023届高考数学一轮《考点·题型·技巧》精讲与精练_2.2025数学总复习_赠品通用版(老高考)复习资料_一轮复习
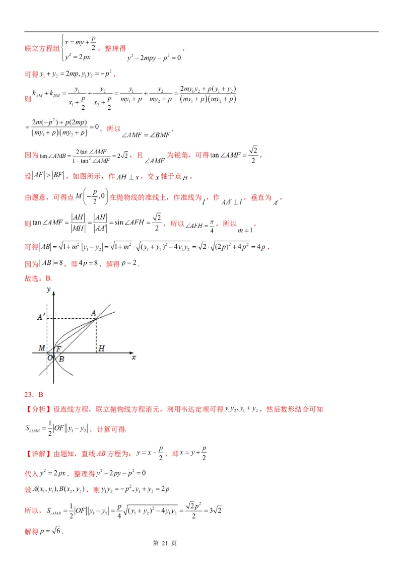
微专题抛物线的弦长问题学案——2023届高考数学一轮《考点·题型·技巧》精讲与精练_2.2025数学总复习_赠品通用版(老高考)复习资料_一轮复习
微专题抛物线的弦长问题学案——2023届高考数学一轮《考点·题型·技巧》精讲与精练_2.2025数学总复习_赠品通用版(老高考)复习资料_一轮复习
微专题抛物线的弦长问题学案——2023届高考数学一轮《考点·题型·技巧》精讲与精练_2.2025数学总复习_赠品通用版(老高考)复习资料_一轮复习
微专题抛物线的弦长问题学案——2023届高考数学一轮《考点·题型·技巧》精讲与精练_2.2025数学总复习_赠品通用版(老高考)复习资料_一轮复习
微专题抛物线的弦长问题学案——2023届高考数学一轮《考点·题型·技巧》精讲与精练_2.2025数学总复习_赠品通用版(老高考)复习资料_一轮复习
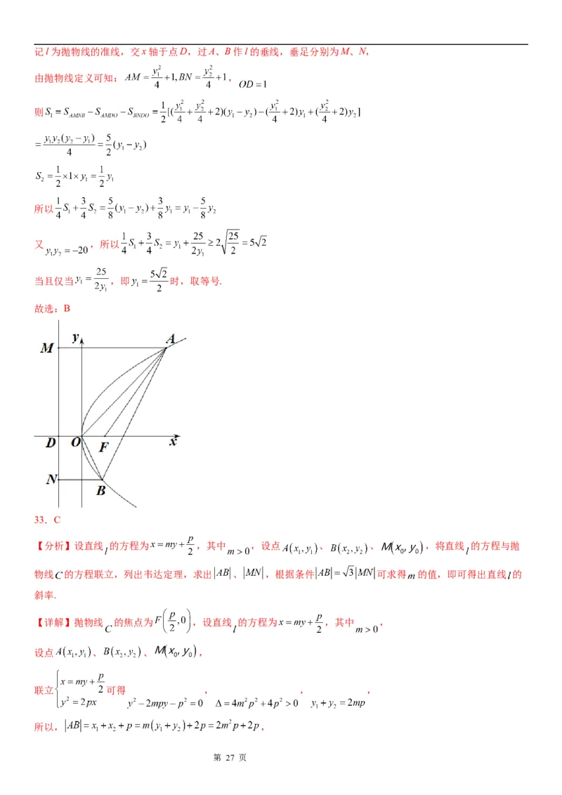
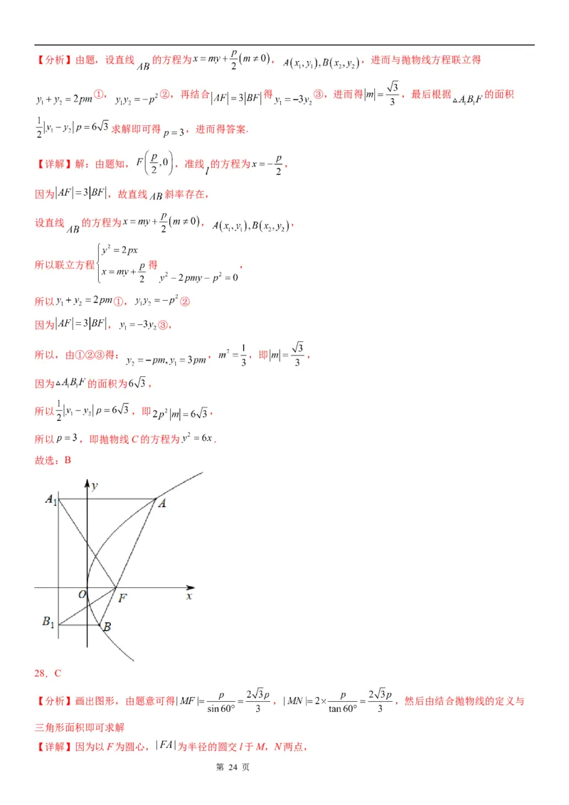
微专题抛物线的弦长问题学案——2023届高考数学一轮《考点·题型·技巧》精讲与精练_2.2025数学总复习_赠品通用版(老高考)复习资料_一轮复习
微专题抛物线的弦长问题学案——2023届高考数学一轮《考点·题型·技巧》精讲与精练_2.2025数学总复习_赠品通用版(老高考)复习资料_一轮复习
微专题抛物线的弦长问题学案——2023届高考数学一轮《考点·题型·技巧》精讲与精练_2.2025数学总复习_赠品通用版(老高考)复习资料_一轮复习
微专题抛物线的弦长问题学案——2023届高考数学一轮《考点·题型·技巧》精讲与精练_2.2025数学总复习_赠品通用版(老高考)复习资料_一轮复习
微专题抛物线的弦长问题学案——2023届高考数学一轮《考点·题型·技巧》精讲与精练_2.2025数学总复习_赠品通用版(老高考)复习资料_一轮复习
微专题抛物线的弦长问题学案——2023届高考数学一轮《考点·题型·技巧》精讲与精练_2.2025数学总复习_赠品通用版(老高考)复习资料_一轮复习
微专题抛物线的弦长问题学案——2023届高考数学一轮《考点·题型·技巧》精讲与精练_2.2025数学总复习_赠品通用版(老高考)复习资料_一轮复习
微专题抛物线的弦长问题学案——2023届高考数学一轮《考点·题型·技巧》精讲与精练_2.2025数学总复习_赠品通用版(老高考)复习资料_一轮复习
微专题抛物线的弦长问题学案——2023届高考数学一轮《考点·题型·技巧》精讲与精练_2.2025数学总复习_赠品通用版(老高考)复习资料_一轮复习
微专题抛物线的弦长问题学案——2023届高考数学一轮《考点·题型·技巧》精讲与精练_2.2025数学总复习_赠品通用版(老高考)复习资料_一轮复习
微专题抛物线的弦长问题学案——2023届高考数学一轮《考点·题型·技巧》精讲与精练_2.2025数学总复习_赠品通用版(老高考)复习资料_一轮复习
微专题抛物线的弦长问题学案——2023届高考数学一轮《考点·题型·技巧》精讲与精练_2.2025数学总复习_赠品通用版(老高考)复习资料_一轮复习
微专题抛物线的弦长问题学案——2023届高考数学一轮《考点·题型·技巧》精讲与精练_2.2025数学总复习_赠品通用版(老高考)复习资料_一轮复习
微专题抛物线的弦长问题学案——2023届高考数学一轮《考点·题型·技巧》精讲与精练_2.2025数学总复习_赠品通用版(老高考)复习资料_一轮复习
微专题抛物线的弦长问题学案——2023届高考数学一轮《考点·题型·技巧》精讲与精练_2.2025数学总复习_赠品通用版(老高考)复习资料_一轮复习
微专题抛物线的弦长问题学案——2023届高考数学一轮《考点·题型·技巧》精讲与精练_2.2025数学总复习_赠品通用版(老高考)复习资料_一轮复习
微专题抛物线的弦长问题学案——2023届高考数学一轮《考点·题型·技巧》精讲与精练_2.2025数学总复习_赠品通用版(老高考)复习资料_一轮复习
微专题抛物线的弦长问题学案——2023届高考数学一轮《考点·题型·技巧》精讲与精练_2.2025数学总复习_赠品通用版(老高考)复习资料_一轮复习

文档信息

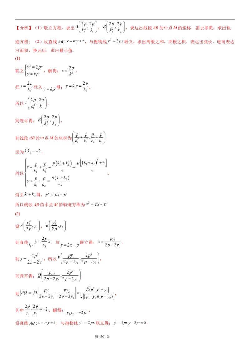
文档格式
docx
文档大小
3.262 MB
文档页数
41 页
上传时间
2026-03-20 04:23:18

文档内容

微专题:抛物线的弦长问题 【考点梳理】 1、直线与抛物线的位置关系和直线与椭圆、双曲线的位置关系类似,一般要用到根与系数的关系; 2、有关直线与抛物线的弦长问题,要注意直线是否过抛物线的焦点,若过抛物线的焦点,可直接使用公式|AB|= x+x+p,若不过焦点,则必须用一般弦长公式. 1 2 3、抛物线相关的弦长或面积问题,一般设出直线方程,与抛物线联立,得到两根之和,两根之积,根据题干条件 得到等量关系,用一个变量表达出弦长或面积,求出最值或取值范围. 【题型归纳】 题型一:求直线与抛物线相交所得弦的弦长 1.过抛物线 的焦点 的直线 交抛物线于 两点,若 的中点 的横坐标为2,则线段 的长为 ( ) A.4 B.5 C.6 D.7 2.直线 过抛物线 的焦点 ,且与 交于 两点,则 ( ) A.6 B.8 C.2 D.4 3.入射光线由点 出发,沿 轴反方向射向抛物线 : 上一点 ,反射光线 与抛物线 交于点 ,则 的值为( ) A.4 B. C.2 D. 题型二:由弦长求参数 4.已知抛物线 的焦点为 ,准线与 轴的交点为 ,过点 的直线与 交于A, 两点,且 , 设直线 的斜率为 ,则 ( ) A. B. C. D. 5.已知 为抛物线 的焦点, 为 上任意一点,且点 到点 距离的最小值为 .若 直线过 交 于 , 两点,且 ,则线段 中点的横坐标为( ) 第 1 页 学学科科网网((北北京京))股股份份有有限限公公司司A.2 B.3 C.4 D.6 6.已知直线l过点 ,且垂直于x轴.若l被抛物线 截得的线段长为 ,则抛物线的焦点坐标为 ( ) A. B. C. D. 题型三:抛物线中的三角形或四边形面积问题 7.已知抛物线 : ,点 为抛物线上任意一点,过点 向圆 : 作切线,切点分别为 , ,则四边形 的面积的最小值为( ) A.1 B.2 C. D. 8.如图,已知抛物线 : 的焦点为 ,过 且斜率为1的直线交 于 , 两点,线段 的中 点为 ,其垂直平分线交 轴于点 , 轴于点 .若四边形 的面积等于7,则 的方程为( ) A. B. C. D. 9.已知 为抛物线 的焦点,过 作两条互相垂直的直线 , ,直线 与 交于 , 两点,直线 与 交于 , 两点,则当 取得最小值时,四边形 的面积为( ) A.32 B.16 C.24 D.8 第 2 页 学学科科网网((北北京京))股股份份有有限限公公司司【双基达标】 10.直线 与抛物线 交于 , 两点,则 ( ) A. B. C. D. 11.抛物线有如下光学性质:由其焦点射出的光线经抛物线反射后,沿平行于抛物线对称轴的方向射出;反之, 平行于抛物线对称轴的入射光线经抛物线反射后必过抛物线的焦点.已知抛物线 ,O为坐标原点, 一条平行于x轴的光线 从点 射入,经过C上的点A反射后,再经C上另一点B反射后,沿直线 射出,经 过点N.下列说法正确的是( ) A.若 ,则 B.若 ,则 平分 C.若 ,则 D.若 ,延长AO交直线 于点D,则D,B,N三点共线 12.已知抛物线 的焦点为F,P为抛物线上一点,过点P向抛物线的准线作垂线,垂足为N.若 , 则 的面积为( ) A. B. C. D. 13.过抛物线C:y2=4x的焦点F分别作斜率为k、k 的直线l、l,直线l 与C交于A、B两点,直线l 与C交于 1 2 1 2 1 2 D、E两点,若|k·k|=2,则|AB|+|DE|的最小值为( ) 1 2 A.10 B.12 C.14 D.16 14.已知抛物线 的焦点为F,过原点O的动直线l交抛物线于另一点P,交抛物线的准线于点Q,下列说法 正确的是( ) A.若O为线段PQ中点,则PF=1 B.若PF=4,则OP=2 C.存在直线l,使得PF⊥QF D.△PFQ面积的最小值为2 15.在平面直角坐标系 中,抛物线 的准线为 与 轴交于点 ,过点 作抛物线的一条切线,切 点为 ,则 的面积为( ) A. B. C.4 D. 16.过抛物线 的焦点F作倾斜角为30°的直线交抛物线于A、B两点,则 ( ). A.16 B.6 C.12 D. 第 3 页 学学科科网网((北北京京))股股份份有有限限公公司司17.抛物线型太阳灶是利用太阳能辐射加热的一种装置.当旋转抛物面的主光轴指向太阳的时候,平行的太阳光线 入射到旋转抛物面表面,经过反光材料的反射,这些反射光线都从它的焦点处通过,形成太阳光线的高密集区, 抛物面的焦点在它的主光轴上.如图所示的太阳灶中,焦点到灶底(抛物线的顶点)的距离为 ,若灶口直径 是灶深 的4倍,则 ( ) A. B. C. D. 18.设 为坐标原点,抛物线 的焦点为 , 为抛物线上一点.若 ,则 的面积为( ) A. B. C. D. 19.已知抛物线 的焦点为 ,过点 的直线 与抛物线 交于A(点A在第一象限), 两点,且 , 则 ( 为坐标原点)的面积是( ) A. B. C.2 D.4 20.已知抛物线 的焦点为F,过F且倾斜角为 的直线l与抛物线相交于A,B两点, ,过 A,B两点分别作抛物线的切线,交于点Q.下列说法正确的是( ) A. B. (O为坐标原点)的面积为 C. D.若 ,P是抛物线上一动点,则 的最小值为 21.已知直线 过抛物线 : 的焦点且与 交于 , 两点,线段 的中点关于 轴的对称点在直线 上,则 ( ) 第 4 页 学学科科网网((北北京京))股股份份有有限限公公司司A.3 B.4 C.5 D.6 22.已知抛物线 的焦点为F,点 ,过点F的直线与此抛物线C交于A,B两点,若 ,且 ,则 ( ) A.1 B.2 C.3 D.4 23.设F是抛物线 的焦点,经过点F且斜率为1的直线与C交于A,B两点.若 (O为坐 标原点)的面积为 ,则 ( ) A. B. C.1 D.2 24.已知 是抛物线 的焦点, 是抛物线 的准线,点 ,连接 交抛物线 于 点, ,则 的面积为( ) A.4 B.9 C. D. 25.已知直线 过抛物线 : 的焦点,且与该抛物线交于 两点.若线段 的长为16, 的 中点到 轴距离为6,则 ( 为坐标原点)的面积是( ) A. B. C. D. 【高分突破】 一、单选题 26.已知 为抛物线 : 的焦点,过 做两条互相垂直的直线 , ,直线 与 交于 、 两点直线 与 交于 、 两点,则 的最小值为( ) A.24 B.28 C.32 D.40 27.设抛物线 的焦点为F,准线为 ,过焦点的直线分别交抛物线于A,B两点,分别过A,B 作 的垂线,垂足为 , .若 ,且 的面积为 ,则抛物线C的方程为( ) 第 5 页 学学科科网网((北北京京))股股份份有有限限公公司司A. B. C. D. 28.设抛物线 的焦点为F,准线为l,A为C上一点,以F为圆心, 为半径的圆交l于M, N两点.若 ,且 的面积为24,则 ( ) A.2 B.4 C.6 D.8 29.过抛物线E:y2=2x焦点的直线交E于A,B两点,线段AB中点M到y轴距离为1,则|AB|=( ) A.2 B. C.3 D.4 30.若正三角形的顶点都在抛物线 上,其中一个顶点恰为坐标原点,则这个三角形的面积是( ) A. B. C. D. 31.直线 与抛物线 交于A,B两点,F为抛物线W的焦点.若 ,则 的 面积为( ) A. B. C. D. 32.设抛物线 的焦点为F,抛物线C上的两点A,B位于x轴的两侧,且 (O为坐标原点), 若 与 的面积分别为 和 , 的最小值为( ) A. B. C. D. 33.已知抛物线 的焦点为 ,过点 且倾斜角为锐角的直线 与 交于 、 两点,过线段 的中点 且垂直于 的直线与 的准线交于点 ,若 ,则 的斜率为( ) A. B. C. D. 二、多选题 34.抛物线有如下光学性质:由其焦点射出的光线经抛物线反射后,沿平行于抛物线对称轴的方向射出;反之, 平行于抛物线对称轴的入射光线经抛物线反射后必过抛物线的焦点.已知抛物线 ,O为坐标原 第 6 页 学学科科网网((北北京京))股股份份有有限限公公司司点,一条平行于x轴的光线 从点 射入,经过C上的点A反射后,再经C上另一点B反射后,沿直线 射 出,经过点Q.下列说法正确的是( ) A.若 ,则 B.若 ,则 C.若 ,则 平分 D.若 ,延长 交直线 于点M,则M,B,Q三点共线 35.已知点 为坐标原点,直线 与抛物线 相交于 两点,则( ) A. B. C. 的面积为 D.线段 的中点到直线 的距离为2 36.如图,已知椭圆 ,过抛物线 焦点 的直线交抛物线于 、 两点,连 、 并 延长分别交 于 、 两点,连接 , 与 的面积分别记为 、 .则下列说法正确的是 ( ) A.若记直线 、 的斜率分别为 、 ,则 的大小是定值 B. 的面积 是定值 C.线段 、 长度的平方和 是定值 D.设 ,则 37.过抛物线 的焦点 的直线与 相交于 , 两点.若 的最小值为 ,则 第 7 页 学学科科网网((北北京京))股股份份有有限限公公司司( ) A.抛物线 的方程为 B. 的中点到准线 的距离的最小值为3 C. D.当直线 的倾斜角为 时, 为 的一个四等分点 三、填空题 38.抛物线 的焦点为F,准线是l,O是坐标原点,P在抛物线上满足 ,连接FP并延 长交准线l与Q点,若 的面积为 ,则抛物线C的方程是______. 39.设O为坐标原点,抛物线 的焦点为F,P为抛物线上一点,若 ,则 的面积为 ____________. 40.已知点F为抛物线 的焦点,点M为C上一点,点N为C的准线上一点,若 为等边三角形, 则 的面积为___________. 41.直线 过抛物线 的焦点F,且与C交于A,B两点,则 ___________. 42.已知抛物线 : ( )的焦点 到准线的距离为4,过点 的直线 与抛物线 交于 , 两点, 若 ,则 ______. 43.已知过抛物线 的焦点F的直线与抛物线C相交于A,B两点,直线OA(O为坐标原点)与抛物线C 的准线相交于点D,则△ 面积的最小值为_________. 44.已知直线 过抛物线 的焦点,且与 的对称轴垂直, 与 交于 , 两点, , 为 的准线上一 点,则 的面积为________. 45.设抛物线 上一点P到其焦点F的距离为 ,O为坐标原点,则△POF的面积为___________. 四、解答题 第 8 页 学学科科网网((北北京京))股股份份有有限限公公司司46.已知直线l:y=kx和l:y=kx与抛物线y2=2px(p>0)分别相交于A,B两点(异于原点O)与直线l:y 1 1 2 2 =2x+p分别相交于P,Q两点,且 . (1)求线段AB的中点M的轨迹方程; (2)求△POQ面积的最小值. 47.已知抛物线 的焦点为F, 为抛物线C上的点,且 . (1)求抛物线C的方程; (2)若直线 与抛物线C相交于A,B两点,求弦长 . 48.已知抛物线 的准线方程为 ,过其焦点 的直线 交抛物线 于 两点,线段 的中 点为 坐标原点为 且直线OM的斜率为 . (1)求抛物线 的方程; (2)求 的面积. 49.已知双曲线C : ,抛物线C : ( ),F为C 的焦点,过F垂直于x轴的直线l被抛 1 2 2 物线C 截得的弦长等于双曲线C 的实轴长. 2 1 (1)求抛物线C 的方程; 2 (2)过焦点F作互相垂直的两条直线,与抛物线C 分别相交于点A、B和C、D,点P、Q分别为AB、CD的中点, 2 求△FPQ面积的最小值. 50.已知抛物线 上的点 到焦点 的距离为6. (1)求抛物线 的方程; (2)设 为抛物线 的焦点,直线 与抛物线 交于 , 两点,求 的面积. 第 9 页 学学科科网网((北北京京))股股份份有有限限公公司司参考答案 1.C 【分析】结合抛物线的弦长公式求得正确答案. 【详解】设点 的横坐标分别为 ,则 . 由过抛物线的焦点的弦长公式知: . 故选:C 2.B 【分析】联立直线与抛物线的方程,根据抛物线的焦点坐标,结合焦点弦长公式求解即可 【详解】因为抛物线 的焦点坐标为 , 又直线 过抛物线 的焦点F,所以 ,抛物线 的方程为 ,由 ,得 ,所以 ,所以 . 故选:B 3.B 【分析】根据抛物线的光学性质,结合抛物线的焦点弦公式求解即可 【详解】易得 的纵坐标为 ,代入 可得 .根据抛物线的光学性质可得,因为入射光线由点 出发,沿 轴反方向射向抛物线,故反射光线 经过抛物线 的焦点 ,故 的斜率为 .设 ,则直线 的方程为 ,联立 可得 ,故 故选:B 4.A 【分析】设直线 的方程为 , ,与抛物线方程联立,利用韦达定理求得 , 再根据弦长公式求得 ,再求出交点坐标,根据斜率公式即可得解. 【详解】解:抛物线 的焦点为 ,准线 , , 设直线 的方程为 , , 联立 ,消 得 , 则 , 故 , 解得 , 当 时,则 ,解得 或4, 第 10 页故两交点坐标为 , 点 与交点 所在直线得斜率为 , 点 与交点 所在直线得斜率为 , 当 时,则 ,解得 或1, 故两交点坐标为 , 点 与交点 所在直线得斜率为 , 点 与交点 所在直线得斜率为 , 所以 . 故选:A. 5.B 【分析】设 ,由 表示为关于 的函数,结合二次函数的性质可得 的值,利用弦长公式即可得结果. 【详解】设 ,则满足 , 则 即当 时, 的最小值为 , 解得 (舍负), 即抛物线 ,焦点 , 设 , , 则 ,即 , 即线段 中点的横坐标为3, 故选:B. 6.A 【分析】将 代入 可得交点坐标,结合弦长为 可得 ,进而得到抛物线的焦点坐标即可 【详解】当 时, ,显然 ,解得 ,故 ,解得 ,故抛物线 ,焦点坐标为 故选:A 第 11 页7.C 【分析】由题意圆的圆心与抛物线的焦点重合,可得连接 ,则 ,而 , 所以当 最小时,四边形 的面积最小,再抛物线的定义转化为点 到抛物线的准线的距离的最小值,结 合抛物线的性质可求得结果 【详解】如图,连接 ,圆 : ,该圆的圆心与抛物线的焦点重合,半径为1, 则 . 又 ,所以当四边形 的面积最小时, 最小. 过点 向抛物线的准线 作垂线,垂足为 ,则 , 当点 与坐标原点重合时, 最小,此时 . 故 . 故选:C 8.C 【分析】设 , , ,求出 ,作 轴于点 ,根据四边形 的面积等于7 得到 ,解方程即得解. 【详解】解:易知 ,直线 的方程为 ,四边形 为梯形,且 . 设 , , ,则 , 所以 ,所以 . 作 轴于点 ,则 . 因为直线 的斜率为1,所以 为等腰直角三角形,故 ,所以 , , 第 12 页所以四边形 的面积为 ,解得 , 故抛物线 的方程为 . 故选:C. 9.A 【分析】由两条直线垂直,以及 取得最小值时 ,有 与 , 与 关于 轴对称,可得直线 的斜率为1,进而可求出直线 的方程,与抛物线联立写出韦达定理和弦长公式,再由相互垂直的四边形面 积公式求值即可. 【详解】因为 ,要使 最小,而 , 由抛物线的对称性可得 与 , 与 关于 轴对称,所以可得直线 的斜率为1,又过抛物线的焦点 , 所以直线 的方程为: , ,整理可得 , , , 所以可得 , 所以 . 故选: . 10.D 【分析】焦点弦长度等于 . 【详解】抛物线 的焦点为 在直线 上,故 是抛物线的焦点弦,则 第 13 页由 得: , 所以, , 所以, 故选:D. 11.D 【分析】根据 求出焦点为 、 点坐标,可得直线 的方程与抛物线方程联立得 点坐标,由两点间的距离公 式求出 可判断AC; 时可得 , .由 可判断B; 求出 点坐标可判断D. 【详解】如图,若 ,则 ,C的焦点为 ,因为 ,所以 , 直线 的方程为 ,整理得 ,与抛物线方程联立得 ,解得 或 ,所以 , 所以 ,选项A错误; 时,因为 ,所以 .又 , ,所以 不平分 ,选项B不正确; 第 14 页若 ,则 ,C的焦点为 ,因为 ,所以 , 直线 的方程为 ,所以 , 所以 ,选项C错误; 若 ,则 ,C的焦点为 ,因为 ,所以 , 直线 的方程为 ,所以 ,直线 的方程为 ,延长 交直线 于点D,所以则 , 所以D,B,N三点共线,选项D正确; 故选: D. 12.C 【分析】根据抛物线定义及 得到 为等边三角形,求出边长为4,计算出面积. 【详解】如图,根据抛物线定义,可知PF=PN,OF=AO=2,又因为 ,所以三角形PNF为等边三角形, 点F作FM⊥PN于点M,则M为PN的中点,且MN=AF=2,所以PN=4,由勾股定理得: ,所 以 的面积为 . 故选:C 第 15 页13.B 【分析】设出l 的方程为 ,与抛物线联立后得到两根之和,两根之积,用弦长公式表达出 1 ,同理表达出 ,利用基本不等式求出 的最小值. 【详解】抛物线C:y2=4x的焦点F为 ,直线l 的方程为 , 1 则联立后得到 ,设 , , ,则 , 同理设 可得: , 因为|k·k|=2,所以 , 1 2 当且仅当 ,即 或 时,等号成立, 故选:B 14.D 【分析】对于A:利用焦半径公式求出 ,直接判断; 对于B:由 求出 ,直接求出 ,即可判断; 对于C:设 ,由O、P、Q三点共线求出 ,计算出 ,即可判断; 对于D:直接求出 ,利用基本不等式求出△PFQ面积的最小值. 【详解】抛物线 的准线为 ,焦点F(1,0). 对于A:若O为PQ中点,所以xp=1,所以 ,故A错误; 对于B:若 ,则 ,所以 .故B错误; 对于C:设 ,由O、P、Q三点共线,可得 ,所以 , ,所以 第 16 页,所以FP与FQ不垂直,故C错误; 对于D: ,当且仅当 ,即 时取等号,所以△PFQ 面积的最小值为2.故D正确. 故选:D. 15.A 【分析】由题可得 ,可设切线 ,联立抛物线方程可得 ,即求. 【详解】∵抛物线 的准线为 , ∴ ,设过点 作抛物线的一条切线方程为 , 由 ,得 , ∴ ,解得 , ∴ ,解得 ,即 , ∴ 的面积为 . 故选:A. 16.A 【分析】求出抛物线的焦点坐标 ,用点斜式设出直线方程: ,与抛物线方程联解得一个关于 的一元二次方程,利用根与系数的关系结合曲线的弦长的公式,可以求出线段 的长度. 【详解】解:根据抛物线 方程得:焦点坐标 , 直线 的斜率为 , 由直线方程的点斜式方程,设 , 将直线方程代入到抛物线方程中,得: , 第 17 页整理得: , 设 , , , , 由一元二次方程根与系数的关系得: , ,所以弦长 . 故选:A. 17.A 【分析】根据题意可设抛物线为 ,由焦点到灶底(抛物线的顶点)的距离为 ,可得抛物线方程. 设 ,再根据灶口直径 是灶深 的4倍,可列出关于 的等式,即可求出 ,进而求出 . 【详解】设抛物线为 ,由焦点到灶底(抛物线的顶点)的距离为 知, ,即抛物线 方程为 .设 ,则点 .由于灶口直径 是灶深 的4倍,故 .故 . 故选:A. 18.D 【分析】先由抛物线方程求出点 的坐标 ,准线方程为 ,再由 可求得点 的横坐标为4,从而可 求出点 的纵坐标,进而可求出 的面积 【详解】由题意可得点 的坐标 ,准线方程为 , 因为 为抛物线上一点, , 所以点 的横坐标为4, 当 时, ,所以 , 所以 的面积为 , 故选:D 19.B 【分析】由题意可得 ,设直线 的方程为 ,联立直线方程和抛物线方程,得到根与系数的关系, 结合 即可求出A、B纵坐标, . 【详解】由题意可得 ,设直线 的方程为 . 联立 整理得 . 设 , ,则 , , . ∵ ,∴ ,则 ,解得 ,从而 , 故 的面积是 . 第 18 页20.A 【分析】设l的方程,和抛物线方程联立,得到根与系数关系,求出 ,根据 求出p的值. A:用导数求出切线斜率,验证两斜率之积是否为-1; B:利用三角形面积公式即可求解; C:根据抛物线焦点弦的几何性质可判断; D:数形结合,利用抛物线的定义转化 为P到准线的距离即可求出最值. 【详解】∵l过点F且倾斜角为 , ∴直线l的方为 ,与抛物线方程联立,得 , 设 ,则 , , ∴ , , 又 ,∴ ,∴ ; 不妨设 ,当 时, , ∴过A的切线斜率为 , 同理可得过B的切线斜率为 , ∴ ,∴ ,故A正确; 第 19 页,故B错误; ,故C错误; 设点M到准线的距离为d,若 ,则 ,则D错误. 故选:A. 21.D 【分析】设 两点的横坐标分别为 ,由对称性求出 ,再结合抛物线的定义得出弦长. 【详解】因为抛物线 : ,所以 设 两点的横坐标分别为 因为线段 的中点关于 轴的对称点在直线 上 所以线段 的中点的横坐标为 ,则 ,即 故 故选:D 【点睛】关键点睛:解决本题的关键在于利用抛物线的定义求出弦长 . 22.B 【分析】设直线 的方程为 ,联立方程组求得 ,根据斜率公式,得到 ,得到 ,进而求得 ,作 , ,求得 ,得到 ,结合弦长公式,列出方程,即可求解. 【详解】设直线 的方程为 , 第 20 页联立方程组 ,整理得 , 可得 , 则 ,所以 , 因为 ,且 为锐角,可得 , 设 ,如图所示,作 ,交 轴于点 , 由题意,可得点 在抛物线的准线上,作准线为 ,作 ,垂直为 , 则 ,所以 ,所以 , 可得 , 因为 ,即 ,解得 . 故选:B. 23.B 【分析】设直线方程,联立抛物线方程消元,利用韦达定理可得 ,然后数形结合可知 ,计算可得. 【详解】由题知,直线AB方程为: ,即 代入 ,整理得 设 ,则 所以, 解得 . 第 21 页故选:B 24.D 【分析】根据题意求得抛物线的方程为 和焦点为 ,由 ,得到 为 的中点,得到 ,代入抛物线方程,求得 ,进而求得 的面积. 【详解】由直线 是抛物线 的准线,可得 ,即 , 所以抛物线的方程为 ,其焦点为 , 因为 ,可得 可得 三点共线,且 为 的中点, 又因为 , ,所以 , 将点 代入抛物线 ,可得 , 所以 的面积为 . 故选:D. 25.B 【分析】设 , 的坐标,由抛物线的性质到焦点的距离等于到准线的距离,可得 的表达式,再由 的 中点到 轴的距离是6可得 , 的横坐标之和,进而可得 的值,求出抛物线的方程,设直线 的方程,与抛物 线联立,结合韦达定理可求出三角形 的面积. 【详解】设 , , , , 由抛物线的定义可得 , 又因为 的中点到 轴的距离是6,所以 , 所以 , 第 22 页所以抛物线的方程为: , 设直线 的方程 , 联立直线与抛物线的方程: ,整理可得 , , 所以 , 解得 ,所以 的方程为: , . 故选:B 26.C 【分析】设直线 的方程为 ,可以先利用方程联立,利用弦长公式,借助韦达定理求出 ,由于直 线 ,求 时只需要将k换成 即可,然后利用基本不等式求最值即得. 【详解】由题意知,抛物线 的焦点 , 因为 ,所以直线 , 斜率存在,且均不为0. 设直线 的方程为 , 代入到 中,化简得 . 则 , . 所以 . 因为 ,故 的斜率为 , 同理可得 , 所以 , 当且仅当 ,即 是取等号, 故 的最小值是32, 故选:C. 【点睛】本题考查直线与抛物线的位置关系,抛物线中的弦长问题和取值范围问题,涉及利用不等式求最值,难 度较大. 27.B 第 23 页【分析】由题,设直线 的方程为 , ,进而与抛物线方程联立得 ①, ②,再结合 得 ③,进而得 ,最后根据 的面积 求解即可得 ,进而得答案. 【详解】解:由题知, ,准线 的方程为 , 因为 ,故直线 斜率存在, 设直线 的方程为 , , 所以联立方程 得 , 所以 ①, ② 因为 , ③, 所以,由①②③得: , ,即 , 因为 的面积为 , 所以 ,即 , 所以 ,即抛物线C的方程为 . 故选:B 28.C 【分析】画出图形,由题意可得 , ,然后由结合抛物线的定义与 三角形面积即可求解 【详解】因为以F为圆心, 为半径的圆交l于M,N两点, 第 24 页所以 , 结合抛物线的定义,可知点A到准线的距离为 . 又因为 , , 所以 的面积为 , 解得 . 故选:C 29.C 【解析】设焦点为F,过A,B,M分别作准线 的垂线,垂足为A′,B′,M′,求出 ,即得解. 【详解】 设焦点为F,过A,B,M分别作准线 的垂线,垂足为A′,B′,M′, 则有|AA′|=|AF|,|BB′|=|BF|,|AA′|+|BB′|=2|MM′|, ∵M到y轴距离为1, ∴ , ∴|AB|=|AF|+|BF|=2|MM′|=3. 故选:C. 第 25 页【点睛】本题主要考查抛物线的定义和几何性质,意在考查学生对这些知识的理解掌握水平. 30.A 【解析】设三角形其中一个顶点为 ,根据三角形为正三角形,由 求得x即可. 【详解】设三角形其中一个顶点为 , 因为三角形是正三角形, 所以 ,即 , 解得 , 所以三角形的两个顶点为 , 所以三角形的面积为 , 故选:A 31.B 【分析】联立直线与抛物线的方程,求出交点坐标,结合弦长为5求出p的值,结合三角形的面积公式,即可求解. 【详解】如图所示,联立方程组 ,整理得 ,解得 或 , 不妨设 ,则 ,解得 , 所以 . 故选:B. 32.B 【分析】根据数量积求得 ,结合图形用坐标表示出面积,然后由基本不等式可得. 【详解】点A,B位于x轴的两侧,且在抛物线 上, 不妨设 , 由题知 ,解得, 或 (舍去), 第 26 页记l为抛物线的准线,交x轴于点D,过A、B作l的垂线,垂足分别为M、N, 由抛物线定义可知: , 则 所以 又 ,所以 当且仅当 ,即 时,取等号. 故选:B 33.C 【分析】设直线 的方程为 ,其中 ,设点 、 、 ,将直线 的方程与抛 物线 的方程联立,列出韦达定理,求出 、 ,根据条件 可求得 的值,即可得出直线 的 斜率. 【详解】抛物线 的焦点为 ,设直线 的方程为 ,其中 , 设点 、 、 , 联立 可得 , , , 所以, , 第 27 页, , 直线 的斜率为 ,则直线 的斜率为 , 所以, , 因为 ,则 ,因为 ,解得 , 因此,直线 的斜率为 . 故选:C. 34.ACD 【分析】运用数形结合的思想,将问题转化为解析几何问题,再结合抛物线的性质及几何图形特点逐项验证结果 即可得出答案. 【详解】如图,若 ,则 ,C的焦点为 , 则 ,选项A正确; 延长 交直线 于点M,则 ,M,B,Q三点共线,选项D正确; 若 ,则 ,C的焦点为 ,直线 ,可得 ,选项B 不正确; 时,因为 ,所以 .又 ,所以 平分 ,选项C 正确. 故选:ACD. 35.AC 【分析】先判断直线过焦点,联立方程组 结合韦达定理得两根关系,再根据选项一一判断即可. 【详解】设 ,抛物线 ,则 ,焦点为 ,则直线 过焦点; 联立方程组 消去 得 , 则 , 第 28 页所以 ,故A正确; 由 ,所以 与 不垂直,B错; 原点到直线 的距离为 ,所以 的面积为 ,则C正确; 因为线段 的中点到直线 的距离为 ,故D错 故选:AC 【点睛】(1)直线与抛物线的位置关系和直线与椭圆、双曲线的位置关系类似,一般要用到根与系数的关系; (2)有关直线与抛物线的弦长问题,要注意直线是否过抛物线的焦点,若过抛物线的焦点,可直接使用公式|AB|=x 1 +x+p,若不过焦点,则必须用一般弦长公式. 2 36.ABD 【分析】设直线 的方程为 ,与抛物线方程联立,利用韦达定理结合斜率公式可判断A选项;利用三 角形的面积公式可判断B选项;利用弦长公式可判断C选项;利用三角形的面积公式结合基本不等式可判断D选 项. 【详解】对于A选项,抛物线 的焦点为 , 若直线 与 轴重合,则该直线与抛物线 只有一个公共点,不合乎题意, 所以,直线 的斜率存在,设直线 的方程为 ,设点 、 , 联立 可得 , ,则 , ,A对; 对于B选项,设 ,则 , 联立 可得 ,解得 , 不妨设点 在第三象限,则 , 设点 在第四象限,同理可得 , 点 到直线 的距离为 , , 所以, ,B对; 第 29 页对于C选项, ,C错; 对于D选项, , 当且仅当 时,等号成立,D对. 故选:ABD. 【点睛】方法点睛:求定值问题常见的方法有两种: (1)从特殊入手,求出定值,再证明这个值与变量无关; (2)直接推理、计算,并在计算推理的过程中消去变量,从而得到定值. 37.ABD 【分析】A选项:考虑直线 的斜率不存在与斜率存在两种情况,分别用含 的式子表达出 ,利用 的最 小值为 求出 的值,B选项结合A选项求出的 的值即可判断当斜率不存在的时候, 的中点到准线 的距离的 最小值为3;C选项利用韦达定理求出 的值,作出判断;D选项,求出当直线 的倾斜角为 时的 与 的值,进行判断. 【详解】当直线 的斜率不存在时, 因为直线 过抛物线 的焦点 ,所以 的方程为: , 由 可得 ,此时 , 当直线 的斜率存在时, 设 的方程为: , , , 由 可得: , 所以 , , 所以 , 对于A:由以上证明可知:当直线 的斜率不存在时, ,可得 , 第 30 页所以抛物线 的方程为 ,故选项A正确; 对于B:当直线 的斜率不存在时, 的中点到准线 的距离为 , 当直线 的斜率存在时, 的中点横坐标为 ,此时 的中点到准线 的距离 , 故选项B正确; 对于C:当直线 的斜率不存在时, , , 此时 ,故选项C不正确; 对于D:当直线 的倾斜角为 时,直线 的方程为: , 由 可得: ,即 , 不妨设 , , 所以 , , 所以 ,所以 为 的一个四等分点,故选项D正确; 故选:ABD 38. 【分析】先根据 确定出 点坐标,再根据 求出 点的纵坐标,即可求解. 【详解】由题可知,抛物线的准线 的方程为 ,则焦点 到准线的距离为 , 已知 ,所以P在线段OF的中垂线上,如图, 第 31 页设 ,则 可知 , 即 , 解得 , 所有抛物线C的方程是 . 故答案为: 39. 【分析】根据抛物线定义求出点 坐标,即可求出面积. 【详解】由题可得 ,设 , 则由抛物线定义可得 ,解得 ,代入抛物线方程可得 , 所以 . 故答案为: . 40. 【分析】利用抛物线的性质,结合正三角形的性质和面积公式进行求解即可. 【详解】由题意知 ,则 与准线垂直,又 为正三角形,所以 与准线所成的锐角为 ,由 抛物线标准方程可知:焦点 到准线的距离为 , 所以 ,所以 的面积为 . 第 32 页故答案为: 41.8 【分析】由题意,求出 ,然后联立直线与抛物线方程,由韦达定理及 即可求解. 【详解】解:因为抛物线 的焦点坐标为 , 又直线 过抛物线 的焦点F, 所以 ,抛物线 的方程为 , 由 ,得 ,所以 , 所以 . 故答案为:8. 42.15 【分析】易得抛物线方程为 ,根据 ,求得点P的坐标,进而得到直线l的方程,与抛物线方程联立, 再利用抛物线定义求解. 【详解】解:因为抛物线的焦点 到准线的距离为4, 所以 ,则抛物线 : , 设点 的坐标为 , 的坐标为 , 因为 , 所以 ,则 , 则 , 所以直线 的方程为 , 代入抛物线方程可得 , 故 ,则 , 第 33 页所以 . 故答案为:15 43. 【分析】令 : , ,根据已知条件求 坐标且可得 轴,由 ,进而用参数k表示 ,再得到△ 面积关于k的函数式,应用换元法、导数求面积最小 值. 【详解】由题设,直线 斜率不为0,令 : ,联立抛物线, ∴ ,不妨设 , ∴ , ,又抛物线准线方程为 ,直线 , ∴ ,又 ,则 , ∴ ,即 轴, 综上, , , 而 ,则 , 由 ,则 , ∴ ,令 , ∴ ,令 ,则 , 第 34 页当 时, ,则 递增;当 时, ,则 递减; ∴ ,故最小值为 ,此时 (由对称性 最小值也成立). 故答案为: . 【点睛】关键点点睛:设直线 及交点坐标,联立抛物线,结合直线与准线、抛物线交点求证 轴,根据 ,进而得到面积关于参数的函数式,应用导数求其最小值. 44. 【分析】先设出抛物线方程,写出准线方程和焦点坐标,利用 得到抛物线方程,再利用三角形的面积公 式进行求解. 【详解】设抛物线 的方程为 , 则焦点为 ,准线方程为 , 由题意,得 , , , 所以 ,解得 , 所以 . 故答案为: . 45. ## 【分析】根据抛物线的定义,结合三角形面积公式进行求解即可. 【详解】设 , 由抛物线的标准方程可知该抛物线的准线方程为: ,焦点 , 由抛物线的定义可知: ,代入抛物线标准方程中得: , 因此△POF的面积为: , 故答案为: 46.(1) (2) 第 35 页【分析】(1)联立方程,求出 , ,表达出线段AB的中点M的坐标,消去参数,求出轨 迹方程;(2)设直线 ,与抛物线 联立,求出两根之和,两根之积,表达出弦长,进而表达 出面积,换元后,求出最小值. (1) 联立 ,解得: , 把 代入 得: , 所以 , 同理可得: , 则线段AB的中点M的坐标为 , 因为 , 所以 , 消去 得: 所以线段AB的中点M的轨迹方程为 (2) 设 , 则直线 ,与 联立得: , 则 ,所以 , 同理可得: , 则 , 其中 ,解得: , 设直线 ,与抛物线 联立得: , 第 36 页则 ,又 ,所以 , 则 , , 所以 , 点O到直线PQ的距离为 , 所以△POQ面积为 , 令 ,则 , 所以 , 当 ,即 时,△POQ面积取得最小值,最小值为 . 【点睛】抛物线相关的弦长或面积问题,一般设出直线方程,与抛物线联立,得到两根之和,两根之积,根据题 干条件得到等量关系,用一个变量表达出弦长或面积,求出最值或取值范围. 47.(1) ;(2) . 【分析】(1)根据抛物线定义可得 ,从而得到抛物线C的方程; (2)设 ,联立抛物线方程,消去 ,可得 的方程,运用韦达定理和弦长公式,计算可得所求 值. 【详解】(1) , 所以 ,即抛物线C的方程 . (2)设 , 由 得 所以 , 所以 . 【点睛】方法点睛:计算抛物线弦长的方法, (1)若直线过抛物线的焦点,则弦长|AB|=x+x+p= (α为弦AB的倾斜角). 1 2 第 37 页(2)若直线不过抛物线的焦点,则用|AB|= ·|x-x|求解. 1 2 48.(1) ; (2) . 【分析】(1)根据抛物线的准线方程,即可容易求得抛物线方程; (2)设出直线 的方程,联立抛物线方程,利用OM的斜率为 ,结合韦达定理,即可求得直线 的方程,再用 面积公式即可求得结果. (1) 由准线方程为 知, ,故 ; 则抛物线方程为 . (2) 由题知直线 的斜率显然不为0,又其过点 故设直线l的方程为 , , 联立抛物线方程 ,化简得 则 , 由线段 的中点为 知 , , ,代入韦达定理知, , 整理得: ,解得 , 故直线 的方程为 则 . 故 的面积为 . 49.(1) ; (2)16. 【分析】(1)由题设有直线l为 ,联立抛物线求相交弦长有 ,即可写出抛物线方程. (2)由题意,可设直线AB为 且 ,联立抛物线应用韦达定理求 、 坐标,再由两点距离公式求 、 ,进而得到 关于k的表达式,结合基本不等式求最小值,注意等号成立条件. 第 38 页(1) 由题意,双曲线实轴长 ,直线l方程为 , 由 ,得 ,则过F垂直于x轴的直线l被抛物线C 的弦长为2p, 2 所以 ,故抛物线 的方程为 . (2) 因为 ,若直线AB、CD分别与两坐标轴垂直,则其中有一条与抛物线只有一个交点,不合题意; 所以,直线AB,CD的斜率均存在且不为0, 设直线AB的斜率为 ,则直线AB的方程为 联立 ,得 ,则 , 设 ,则 . 设 ,则 ,则 即 ,同理得 , 故 , ,又 , 所以 当且仅当 ,即 时等号成立,故△FPQ面积的最小值为16. 50.(1) (2) 【分析】(1)根据焦半径公式可求 ,从而可求抛物线的方程. (2)求出 的长度后可求 的面积. (1) 第 39 页因为 ,所以 , 故抛物线方程为: . (2) 设 ,且 , 由 可得 ,故 或 , 故 ,故 ,故 , 而 到直线 的距离为 , 故 的面积为 . 第 40 页第 41 页