当前位置:首页>文档>2025年高考海南卷物理部分真题(1-6,14-18题)_2025年全国各省市全科高考真题及答案_版本二(互相补充)_6、各省市全科真题及答案(按省份分类)_32、海南省(全科,持续更新)_物理

2025年高考海南卷物理部分真题(1-6,14-18题)_2025年全国各省市全科高考真题及答案_版本二(互相补充)_6、各省市全科真题及答案(按省份分类)_32、海南省(全科,持续更新)_物理

  • 2026-03-26 21:43:05 2026-03-20 17:34:53

文档预览

2025年高考海南卷物理部分真题(1-6,14-18题)_2025年全国各省市全科高考真题及答案_版本二(互相补充)_6、各省市全科真题及答案(按省份分类)_32、海南省(全科,持续更新)_物理
2025年高考海南卷物理部分真题(1-6,14-18题)_2025年全国各省市全科高考真题及答案_版本二(互相补充)_6、各省市全科真题及答案(按省份分类)_32、海南省(全科,持续更新)_物理
2025年高考海南卷物理部分真题(1-6,14-18题)_2025年全国各省市全科高考真题及答案_版本二(互相补充)_6、各省市全科真题及答案(按省份分类)_32、海南省(全科,持续更新)_物理
2025年高考海南卷物理部分真题(1-6,14-18题)_2025年全国各省市全科高考真题及答案_版本二(互相补充)_6、各省市全科真题及答案(按省份分类)_32、海南省(全科,持续更新)_物理
2025年高考海南卷物理部分真题(1-6,14-18题)_2025年全国各省市全科高考真题及答案_版本二(互相补充)_6、各省市全科真题及答案(按省份分类)_32、海南省(全科,持续更新)_物理
2025年高考海南卷物理部分真题(1-6,14-18题)_2025年全国各省市全科高考真题及答案_版本二(互相补充)_6、各省市全科真题及答案(按省份分类)_32、海南省(全科,持续更新)_物理
2025年高考海南卷物理部分真题(1-6,14-18题)_2025年全国各省市全科高考真题及答案_版本二(互相补充)_6、各省市全科真题及答案(按省份分类)_32、海南省(全科,持续更新)_物理

文档信息

文档格式
pdf
文档大小
0.810 MB
文档页数
7 页
上传时间
2026-03-20 17:34:53

文档内容

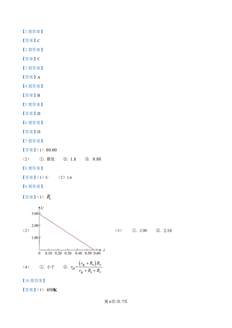
2025 年高考海南卷物理部分真题(1-6,14-18 题) 235UX144Ba 89Kr31n 1. 核反应方程中 92 56 36 0 ,则X是( ) A. 4He B. 1H C. 1n D. 0e 2 1 0 1 2. 带正电的金属球靠近不带电验电器金属小球a,则关于验电器金属小球a和金属箔b,下列说法正确的 是( ) A. a、b都带正电 B. a、b都带负电 C. a带负电、b带正电 D. a带正电、b带负电 3. 如图所示是某汽车通过ETC过程的vt图像,下面说法正确的是( ) A. 0t 内,汽车做匀减速直线运动 1 B. t t 内,汽车静止 1 2 C. 0t 和t t 内,汽车加速度方向相同 1 2 3 D. 0t 和t t 内,汽车速度方向相反 1 2 3 4. 载人飞船的火箭成功发射升空,载人飞船进入预定轨道后,与空间站完成自主快速交会对接,然后绕地 球做匀速圆周运动。已知空间站轨道高度低于地球同步卫星轨道,则下面说法正确的是( ) A. 火箭加速升空失重 B. 宇航员在空间站受到的万有引力小于在地表受到万有引力 C. 空间站绕地球做匀速圆周运动的角速度小于地球自转角速度 D. 空间站绕地球做匀速圆周运动的加速度小于地球同步卫星的加速度 5. 如图所示,实线何虚线分别是沿着x轴正方向传播的一列简谐横波在t  0时刻和t 0.5s的波形图,已 知波的周期T 0.5s,则下列关于该列波说法正确的是( ) 第1页/共7页 学科网(北京)股份有限公司A. 波长为5cm B. 波速为10cm/s C. 周期为1s D. t  0时刻,质点M 向下振动 6. 某静电场电势在x轴上分布如图所示,图线关于轴对称,M 、P、N 是x轴上的三点,OM ON ; 有一电子从M 点静止释放,仅受x方向的电场力作用,则下列说法正确的是( ) A. P点电场强度方向沿x负方向 B. M 点的电场强度小于N 点的电场强度 C. 电子在P点的动能小于在N 点的动能 D. 电子在M 点的电势能大于在P点的电势能 7. 小组用如图所示单摆测量当地重力加速度 (1)用游标卡尺测得小球直径d 20mm,刻度尺测得摆线长l 79cm,则单摆摆长L_____cm(保 留四位有效数字); (2)拉动小球,使摆线伸直且与竖直方向的夹角为(5),无初速度的释放小球,小球经过_____点 (选填:“最高”或“最低”)时,开始计时,记录小球做了30次全振动用时t 54.00s,则单摆周期 T _____s,由此可得当地重力加速度g  _____m/s2(2 10)。 8. 测量某半圆形玻璃砖的折射率,操作步骤如下 I.在白纸上画一条直线,半圆形玻璃砖放白纸上,玻璃砖直径与直线重合,描出直径两端点A和B,取走 玻璃砖,用刻度尺求圆心O点,过O点作AB垂线CO,放回玻璃砖,将光屏垂直AB贴近玻璃砖A点放置。 II.沿玻璃砖由C向B缓慢移动激光笔,使得入射光线平行纸面且始终沿着半径方向射向圆心O,从玻璃砖 第2页/共7页 学科网(北京)股份有限公司射出的激光在AB下方的光屏上恰好消失,记下激光入射点D,取走玻璃砖,过D点作CO的垂线DE。 (1)步骤II中,当激光从D点入射到O点在AB面下方光屏上恰好消失时是光的_____。 A. 色散现象 B. 衍射现象 C. 全反射现象 (2)用刻度尺测得OB4.00cm、DE 2.50cm,则玻璃砖的折射率n  _____。 9. 图是“测量电源的电动势和内阻”的实验电路。 有如下器材 电源E (约为3V,内阻未知) 1 电压表V(0~3V,R 约为3kΩ) V 电流表A(0~6A,R 约为1Ω) A 定值电阻R 3 0 滑动变阻器R(050Ω) 1 滑动变阻器R (0500Ω) 2 开关S 导线若干 (1)为了提高测量精度,电路图中滑动变阻器应选_____。 (2)闭合开关S,多次调节滑动变阻器,记录U、I,如下表 170 250 1.00 1.30 . 2.00 . 038 . 0.32 0.24 0.18 0.08 第3页/共7页 学科网(北京)股份有限公司根据表中数据作出U-I图像_____。 (3)由U-I图像可求出电动势E =_____V,内阻r=_____Ω(均保留三位有效数字)。 1 (4)考虑电压表分流引起的误差,则E _____E ;(填“大于”、 “等于”或“小于”);r 与真实值 测 真 测 r 之间的关系式为_____(用R ,R ,r ,r 表示 真 V 0 测 真 10. 竖直放置的气缸内,活塞横截面积S  0.01m2,活塞质量不计,活塞与气缸无摩擦,最初活塞静止, 缸内气体T 300K,V 5103m3,大气压强 p 1105Pa,g 10m/s2 0 0 0 (1)若加热活塞缓慢上升,体积变为V 7.5103m3,求此时的温度T ; 1 1 (2)若往活塞上放m25kg的重物,保持温度T 不变,求稳定之后,气体的体积V 。 0 2 11. 足够长的传送带固定在竖直平面内,半径R 0.5m,圆心角53的圆弧轨道与平台平滑连接,平 台与顺时针匀速转动的水平传送带平滑连接,工件A从圆弧顶点无初速度下滑,在平台与B碰成一整体, B随后滑上传送带,已知m 4kg,m 1kg,A、B可视为质点,AB与传送带间的动摩擦因数恒定, A B 在传送带上运动的过程中,因摩擦生热Q 2.5J,忽略轨道及平台的摩擦,g 10m/s2 (1)A滑到圆弧最低点时受的支持力; (2)A与B整个碰撞过程中损失的机械能; (3)传送带的速度大小。 第4页/共7页 学科网(北京)股份有限公司12. 间距为L的金属导轨倾斜部分光滑,水平部分粗糙且平滑相接,导轨上方接有电源和开关,倾斜导轨与 水平面夹角30,处于垂直于导轨平面向上的匀强磁场中,水平导轨处于垂直竖直向下的匀强磁场中, 磁感应强度大小均为B,两相同导体棒ab、cd 与水平导轨的动摩擦因数0.25,最大静摩擦力等于滑 动摩擦力,两棒质量均m,接入电路中的电阻均为R,cd 棒仅在水平导轨上运动,两导体棒在运动过程中 始终与导轨垂直并接触良好,且不互相碰撞,忽略金属导轨的电阻,重力加速度为g。 (1)锁定水平导轨上的cd 棒,闭合开关,ab棒静止在倾斜导轨上,求通过ab棒的电流;断开开关,同 时解除cd 棒的锁定,当ab棒下滑距离为x 时,cd 棒开始运动,求cd 棒从解除锁定到开始运动过程中,cd 0 棒产生的焦耳热; (2)此后ab棒在下滑过程中,电流达到稳定,求此时ab、cd 棒的速度大小之差; (3)ab棒中电流稳定之后继续下滑,从ab棒到达水平导轨开始计时,t 时刻cd 棒速度为零,加速度不 1 为零,此后某时刻,cd 棒的加速度为零,速度不为零,求从t 时刻到某时刻,ab、cd 的路程之差。 1 第5页/共7页 学科网(北京)股份有限公司【1题答案】 【答案】C 【2题答案】 【答案】C 【3题答案】 【答案】A 【4题答案】 【答案】B 【5题答案】 【答案】D 【6题答案】 【答案】D 【7题答案】 【答案】(1)80.00 (2) ①. 最低 ②. 1.8 ③. 9.88 【8题答案】 【答案】(1)C (2)1.6 【9题答案】 【答案】(1)R 1 (2) (3) ①. 2.90 ②. 2.18   r R R (4) ①. 小于 ②. r = 真 0 V 测 r R R 真 0 V 【10题答案】 【答案】(1)450K 第6页/共7页 学科网(北京)股份有限公司(2)4103m3 【11题答案】 【答案】(1)72N,方向竖直向上; (2)1.6J (3)0.6m/s或2.6m/s 【12题答案】 mg 1 m3g2R2 【答案】(1) , mgx  2BL 4 0 16B4L4 3mgR (2) 4B2L2 m2gR2 (3)Δs  4B4L4 第7页/共7页 学科网(北京)股份有限公司