当前位置:首页>文档>易错点04导数及其应用-备战2023年高考数学考试易错题(解析版)(全国通用)_2.2025数学总复习_赠品通用版(老高考)复习资料_专项复习_备战2023年高考数学考试易错题(全国通用)

易错点04导数及其应用-备战2023年高考数学考试易错题(解析版)(全国通用)_2.2025数学总复习_赠品通用版(老高考)复习资料_专项复习_备战2023年高考数学考试易错题(全国通用)

  • 2026-05-02 20:43:58 2026-03-21 23:56:46

文档预览

易错点04导数及其应用-备战2023年高考数学考试易错题(解析版)(全国通用)_2.2025数学总复习_赠品通用版(老高考)复习资料_专项复习_备战2023年高考数学考试易错题(全国通用)
易错点04导数及其应用-备战2023年高考数学考试易错题(解析版)(全国通用)_2.2025数学总复习_赠品通用版(老高考)复习资料_专项复习_备战2023年高考数学考试易错题(全国通用)
易错点04导数及其应用-备战2023年高考数学考试易错题(解析版)(全国通用)_2.2025数学总复习_赠品通用版(老高考)复习资料_专项复习_备战2023年高考数学考试易错题(全国通用)
易错点04导数及其应用-备战2023年高考数学考试易错题(解析版)(全国通用)_2.2025数学总复习_赠品通用版(老高考)复习资料_专项复习_备战2023年高考数学考试易错题(全国通用)
易错点04导数及其应用-备战2023年高考数学考试易错题(解析版)(全国通用)_2.2025数学总复习_赠品通用版(老高考)复习资料_专项复习_备战2023年高考数学考试易错题(全国通用)
易错点04导数及其应用-备战2023年高考数学考试易错题(解析版)(全国通用)_2.2025数学总复习_赠品通用版(老高考)复习资料_专项复习_备战2023年高考数学考试易错题(全国通用)
易错点04导数及其应用-备战2023年高考数学考试易错题(解析版)(全国通用)_2.2025数学总复习_赠品通用版(老高考)复习资料_专项复习_备战2023年高考数学考试易错题(全国通用)
易错点04导数及其应用-备战2023年高考数学考试易错题(解析版)(全国通用)_2.2025数学总复习_赠品通用版(老高考)复习资料_专项复习_备战2023年高考数学考试易错题(全国通用)
易错点04导数及其应用-备战2023年高考数学考试易错题(解析版)(全国通用)_2.2025数学总复习_赠品通用版(老高考)复习资料_专项复习_备战2023年高考数学考试易错题(全国通用)
易错点04导数及其应用-备战2023年高考数学考试易错题(解析版)(全国通用)_2.2025数学总复习_赠品通用版(老高考)复习资料_专项复习_备战2023年高考数学考试易错题(全国通用)
易错点04导数及其应用-备战2023年高考数学考试易错题(解析版)(全国通用)_2.2025数学总复习_赠品通用版(老高考)复习资料_专项复习_备战2023年高考数学考试易错题(全国通用)
易错点04导数及其应用-备战2023年高考数学考试易错题(解析版)(全国通用)_2.2025数学总复习_赠品通用版(老高考)复习资料_专项复习_备战2023年高考数学考试易错题(全国通用)
易错点04导数及其应用-备战2023年高考数学考试易错题(解析版)(全国通用)_2.2025数学总复习_赠品通用版(老高考)复习资料_专项复习_备战2023年高考数学考试易错题(全国通用)
易错点04导数及其应用-备战2023年高考数学考试易错题(解析版)(全国通用)_2.2025数学总复习_赠品通用版(老高考)复习资料_专项复习_备战2023年高考数学考试易错题(全国通用)
易错点04导数及其应用-备战2023年高考数学考试易错题(解析版)(全国通用)_2.2025数学总复习_赠品通用版(老高考)复习资料_专项复习_备战2023年高考数学考试易错题(全国通用)
易错点04导数及其应用-备战2023年高考数学考试易错题(解析版)(全国通用)_2.2025数学总复习_赠品通用版(老高考)复习资料_专项复习_备战2023年高考数学考试易错题(全国通用)
易错点04导数及其应用-备战2023年高考数学考试易错题(解析版)(全国通用)_2.2025数学总复习_赠品通用版(老高考)复习资料_专项复习_备战2023年高考数学考试易错题(全国通用)

文档信息

文档格式
docx
文档大小
0.818 MB
文档页数
17 页
上传时间
2026-03-21 23:56:46

文档内容

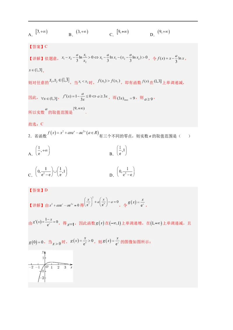
易错点 04 导数及其应用 易错点1:导数与函数的单调性 导数是研究函数的单调性、极值(最值)最有效的工具,而函数是高中数学中重要的知识点,对 导数的应用的考查主要从以下几个角度进行: (1)考查导数的几何意义,往往与解析几何、微 积分相联系. (2)利用导数求函数的单调区间,判断单调性;已知单调性,求参数. (3)利用 导数求函数的最值(极值),解决生活中的优化问题. (4)考查数形结合思想的应用. 易错点2:导数与函数的极(最)值 求函数f(x)在[a,b]上的最大值和最小值的步骤 (1)求函数在(a,b)内的极值; (2)求函数在区间端点的函数值f(a),f(b); (3)将函数f(x)的各极值与f(a),f(b)比较,其中最大的一个为最大值,最小的一个为最小值。 易错点3:对“导函数值正负”与“原函数图象升降”关系不清楚 讨论函数的单调区间可化归为求解导函数正或负的相应不等式问题的讨论. 易错点4:导数与函数的零点 研究函数图像的交点、方程的根、函数零点,归根到底是研 究 函数的性质,如单调性、极值等。 用导数研究函数的零点,一方面用导数判断函数单调性,借助零点村子性定理判断;另一方面, 也可将零点问题转化为函数图像的交点问题,利用数形结合来解决。 1.对任意的 ,当 时, 恒成立,则实数 的取值范围是 ( )A. B. C. D. 【答案】C 【详解】依题意, ,令 , , 则对任意的 ,当 时, ,即有函数 在 上单调递减, 因此, , ,而 ,则 , 所以实数 的取值范围是 . 故选:C 2.若函数 有三个不同的零点,则实数a的取值范围是( ) A. B. C. D. 【答案】D 【详解】由 得 ,令 , 由 ,得 ,因此函数 在 上单调递增,在 上单调递减,且 ,当 时, ,则 的图像如图所示:即函数 的最大值为 , 令 ,则 , 由二次函数的图像可知,二次方程的一根 必在 内,另一根 或 或 上, 当 时, ,则另一根 ,不满足题意, 当 时,a=0,则另一根 ,不满足题意, 当 时,由二次函数 的图像可知 , 解得 , 则实数 的取值范围是 , 故选:D. 3.已知函数 , 是函数 的导函数,则 的图像大致是( ) A. B. C. D. 【答案】C 【详解】 ,则 ,则函数 为奇函数,排除BD;,排除A; 故选:C. 4.已知函数 ,若 时, 在 处取得最大值,则实数a的取 值范围是( ) A. B. C. D. 【答案】B 【详解】根据题意得 当 时恒成立 则 ,即 ∴当 时, 在 图像的下方 ,则 ,则 故选:B. 5.已知 是定义在R上的函数 的导数,且 ,则下列不等式一定成立 的是( ) A. B.C. D. 【答案】C 【详解】设 ,则 . 因为 ,所以 ,则 在R上单调递增. 因为 ,所以 ,即 , 所以 ,则A错误; 因为 , 的大小不能确定,所以 , 的大小不能确定,则B错误; 因为 ,所以 ,则 ,所以 ,则C正确; 因为 , 的大小不能确定,所以 , 不能确定,则D错误. 故选:C 1.若直线l与曲线y= 和x2+y2= 都相切,则l的方程为( ) A.y=2x+1 B.y=2x+ C.y= x+1 D.y= x+ 【答案】D 【详解】设直线 在曲线 上的切点为 ,则 , 函数 的导数为 ,则直线 的斜率 , 设直线 的方程为 ,即 ,由于直线 与圆 相切,则 , 两边平方并整理得 ,解得 , (舍), 则直线 的方程为 ,即 . 故选:D. 2.设 ,若 为函数 的极大值点,则( ) A. B. C. D. 【答案】D 【详解】若 ,则 为单调函数,无极值点,不符合题意,故 . 有 和 两个不同零点,且在 左右附近是不变号,在 左右附近是变号 的.依题意, 为函数 的极大值点, 在 左右附近都是小于 零的. 当 时,由 , ,画出 的图象如下图所示: 由图可知 , ,故 .当 时,由 时, ,画出 的图象如下图所示: 由图可知 , ,故 . aba2 综上所述, 成立. 故选:D f(x) f(x) y f(x) y f(x) 3.设 是函数 的导函数,将 和 的图象画在同一个直角坐标系中,不 可能正确的是( ) A. B. C. D. 【答案】D 【详解】解析:检验易知A、B、C均适合,不存在选项D的图象所对应的函数,在整个定义 域内,不具有单调性,但y=f(x)和y=f′(x)在整个定义域内具有完全相同的走势,不具有 这样的函数,故选D.x22ax2a, x�1, f(x) 4.已知 aR ,设函数 xalnx, x1,若关于 x 的不等式 f(x)�0在 R 上恒成立, 则a的取值范围为 0,1 0,2 0,e 1,e A. B. C. D. 【答案】C 【详解】∵ f(0)0,即a0, 0a1 f(x)x22ax2a(xa)22aa2 2aa2 a(2a)0 (1)当 时, , 当a1时, f(1)10, 故当a0时,x22ax2a0在(,1]上恒成立; x a 若 在 上恒成立,即 在 上恒成立, xalnx0 (1,) lnx (1,) x lnx1 令g(x) ,则 g'(x) , lnx (lnx)2 当xe,函数单增,当0xe,函数单减, gx gee ae a0 x22ax2a0 (,1] 故 min ,所以 .当 时, 在 上恒成立; 综上可知,a的取值范围是[0,e], 故选C. 36 3l3 3 5.已知正四棱锥的侧棱长为l,其各顶点都在同一球面上.若该球的体积为 ,且 , 则该正四棱锥体积的取值范围是( )  81 27 81 27 64 18, , ,       A. 4  B. 4 4  C. 4 3  D.[18,27] 【答案】C 【详解】∵ 球的体积为36,所以球的半径R3,设正四棱锥的底面边长为2a,高为h, l2 2a2h2 32 2a2(3h)2 则 , , 所以6hl2,2a2 l2h2 1 1 2 l4 l2 1 l6  V  Sh 4a2h (l2 ) = l4  所以正四棱锥的体积 3 3 3 36 6 9 36, 1 l5 1 24l2 V 4l3  l3   所以 9 6  9  6 , 3l2 6 V0 2 6 l3 3 V0 当 时, ,当 时, , 64 所以当 时,正四棱锥的体积 取最大值,最大值为 , l 2 6 V 3 27 81 又 时,V  , 时, V  , l 3 4 l 3 3 4 27 所以正四棱锥的体积 的最小值为 , V 4 27 64 ,   所以该正四棱锥体积的取值范围是 4 3 . 故选:C.yxex2x2 x0 1.曲线 在 处的切线方程是( ) 3xy20 2xy20 A. B. 2xy20 3xy20 C. D. 【答案】D yxex2x2 yx1ex2 【详解】 ,则 , x0 y2 y�=3 当 时, , , y23x 3xy20 所以切线方程为 ,即 . 故选:D. f xax33x22 f14 2.已知 ,且 ,则实数a的值为( ) 19 16 13 10 A. B. C. D. 3 3 3 3 【答案】D f xax33x22 【详解】∵ , fx3ax26x ∴ , f14  , 3a64, 10 a . 3 故选:D. f(x) f(x) f(x) 3.设函数 在定义域内可导, 的图象如图所示,则其导函数 的图象可能是 ( )A. B. C. D. 【答案】A x,0 fx0 f(x) 【详解】解:由 的图象可知,当 时函数单调递增,则 ,故排除C、 D; x0, f(x) 0 0 当 时 先递减、再递增最后递减,所以所对应的导数值应该先小于 ,再大于 , 最后小于0,故排除B; 故选:A 1 8 4.已知函数 f x x33x28x ,gxxlnx,若x,x 0,3,gx k  f x  3 3 1 2 1 2 恒成立,则实数k的取值范围是( ) 2ln2, 3, A. B. 5  C.  3 ,  D. 3, 【答案】Dfxx26x8x2x4 【详解】 , x0,2 fx0 f x x2,3 fx0 f x 当 时, , 单调递增,当 时, , 单调递减, f x 0,3 f 24 所以 在 上的最大值是 . 1 x1 gx1  , x x x0,1 gx0 gx x1,3 gx0 gx 当 时, , 单调递减,当 时, , 单调递增, gx 0,3 g11 所以 在 上的最小值是 , 若 x 1, x 2 0,3 , gx 1 k  f x 2  恒成立,则   gxk  min  f x max,即1k 4, 3, k 3 所以 ,所以实数k的取值范围是 . 故选:D. f(x)3(lnx)2ax x  1,e2  f(x) x1 5.已知函数 ,若 时, 在 处取得最大值,则实数a的取 值范围是( )  6   6   6 6 A.   , e2  B.(,0] C.   0, e2   D.  e2 , e   【答案】B x1,e2 f(x) f(1)   【详解】根据题意得 当 时恒成立 3(lnx)2axa ax13(lnx)2 则 ,即 x1,e2 yax1 gx3(lnx)2   ∴当 时, 在 图像的下方 6lnx gx ,则g10,则 x a0 故选:B.f xxln2x3 f  3x2  f 2x5 6.已知函数 ,则不等式 的解集为( ) 4,2 2,2 A. B. ,22, ,4 2,  C. D. 【答案】D 【详解】 f(x)的定义域为(,), f(x)ln23x2 0 f(x) (,) 因为 ,所以 在 上单调递减, f  3x2  f 2x5 3x2 2x5 x4 x2 所以不等式 等价于 ,解得 或 , f  3x2  f 2x5 ,4 2, 所以不等式 的解集为  . 故选:D 7.如图所示为某“胶囊”形组合体,由中间是底面半径为1,高为2的圆柱,两端是半径为1 的半球组成,现欲加工成一个圆柱,使得圆柱的两个底面的圆周落在半球的球面上,则当圆柱 的体积最大时,圆柱的底面半径为( )2 2 8 2 2 A. 3 B.9 C. 3 D.3 【答案】A x(0x1) 22 1x2 【详解】设该几何体的内接圆柱的底面半径为 ,则其高为 ,   V(x)x22 1 1x2 该内接圆柱的体积为 ,   2x 2 1x2 23x2    2x  因为V(x)4x 1 1x2 2x2  ,  2 1x2  1x2 2 2 令 V(x)0 ,则有 2 1x2 23x2 0 ,解得x 3 ,  2 2 2 2  x0,  x ,1 当   3   时, V(x)0 ,当   3  时, V(x)0 , 2 2 所以当x 时体积有最大值; 3 故选:A. 8.不等式lnxkx0恒成立,则实数k的取值范围是( )  1 1  A. 0,e B. ,e C.   0, e   D.  e ,   【答案】D lnx k 【详解】由题可得 x 在区间(0,)上恒成立, lnx 1lnx 令 f x x0 ,则 fx x0 , x x2 x0,e fx0 xe, fx0 当 时, ,当 时, , f x 0,e e, 所以 的单调增区间为 ,单调减区间为 ; 1 f x  f e 所以 , max e 1 k≥ 所以 . e故选:D. f(x)ex g(x) f(x) yx h(x)g(x)kx 9.已知函数 ,函数 与 的图象关于直线 对称,若 无零点, 则实数k的取值范围是( ) 1  1  1   ,e2   ,e  , A.e  B.e  C.(e,) D.e  【答案】D lnx lnx 1lnx h(x)g(x)kx0k F(x) F(x) 【详解】由题知g(x)lnx, x ,设 x x2 ,当 F(x)0 xe, F(x) F(x)0 x0,e F(x) 时, ,此时 单调递减,当 时, ,此时 单调递增, 1 1 所以F(x) F(e) , 的图象如下,由图可知,当k  时, 与 无交点,即 max e F(x) e yF(x) yk h(x)g(x)kx无零点. 故选:D. f xx2axexae2xaR 10.若函数 有三个不同的零点,则实数a的取值范围是( ) 1  1   ,  ,1 A.e  B.e   1  1   1  0,  ,1 0,  C. e2e e  D. e2e 【答案】D x  2  x  x   a a0 gx 【详解】由x2axex ae2x 0得ex  ex ,令 ex , 1x 由 gx ex 0 ,得 x=1 ,因此函数gx在,1上单调递增,在1,上单调递减,且 x x g00,当 x0 时, gx ex 0 ,则gx ex 的图像如图所示: 1 即函数gx的最大值为 g1 , e x  1 令t ex   t e   ,则 htt2ata0 ,  1 1 由二次函数的图像可知,二次方程的一根 t 1 必在  0, e   内,另一根t 2  e 或t 2 0或 t 2 ,0 上, 1 1 1 当t  时,a ,则另一根t  ,不满足题意, 2 e e2e 1 1e t 0 t 0 当 2 时,a=0,则另一根 1 ,不满足题意, 02a0a0  1 2 1 当 时,由二次函数 的图像可知   a a0, t ,0 htt2ata0 e e 2 1 0a 解得 , e2e  1  则实数 的取值范围是0, , a  e2e 故选:D.