当前位置:首页>文档>第1讲素养提升之立体几何选填专项冲刺(解析版)_2.2025数学总复习_2023年新高考资料_二轮复习_备战2023年高考数学二轮复习专题讲练(新高考版)_专题四立体几何

第1讲素养提升之立体几何选填专项冲刺(解析版)_2.2025数学总复习_2023年新高考资料_二轮复习_备战2023年高考数学二轮复习专题讲练(新高考版)_专题四立体几何

  • 2026-04-02 06:58:46 2026-03-25 07:37:20

文档预览

第1讲素养提升之立体几何选填专项冲刺(解析版)_2.2025数学总复习_2023年新高考资料_二轮复习_备战2023年高考数学二轮复习专题讲练(新高考版)_专题四立体几何
第1讲素养提升之立体几何选填专项冲刺(解析版)_2.2025数学总复习_2023年新高考资料_二轮复习_备战2023年高考数学二轮复习专题讲练(新高考版)_专题四立体几何
第1讲素养提升之立体几何选填专项冲刺(解析版)_2.2025数学总复习_2023年新高考资料_二轮复习_备战2023年高考数学二轮复习专题讲练(新高考版)_专题四立体几何
第1讲素养提升之立体几何选填专项冲刺(解析版)_2.2025数学总复习_2023年新高考资料_二轮复习_备战2023年高考数学二轮复习专题讲练(新高考版)_专题四立体几何
第1讲素养提升之立体几何选填专项冲刺(解析版)_2.2025数学总复习_2023年新高考资料_二轮复习_备战2023年高考数学二轮复习专题讲练(新高考版)_专题四立体几何
第1讲素养提升之立体几何选填专项冲刺(解析版)_2.2025数学总复习_2023年新高考资料_二轮复习_备战2023年高考数学二轮复习专题讲练(新高考版)_专题四立体几何
第1讲素养提升之立体几何选填专项冲刺(解析版)_2.2025数学总复习_2023年新高考资料_二轮复习_备战2023年高考数学二轮复习专题讲练(新高考版)_专题四立体几何
第1讲素养提升之立体几何选填专项冲刺(解析版)_2.2025数学总复习_2023年新高考资料_二轮复习_备战2023年高考数学二轮复习专题讲练(新高考版)_专题四立体几何
第1讲素养提升之立体几何选填专项冲刺(解析版)_2.2025数学总复习_2023年新高考资料_二轮复习_备战2023年高考数学二轮复习专题讲练(新高考版)_专题四立体几何
第1讲素养提升之立体几何选填专项冲刺(解析版)_2.2025数学总复习_2023年新高考资料_二轮复习_备战2023年高考数学二轮复习专题讲练(新高考版)_专题四立体几何
第1讲素养提升之立体几何选填专项冲刺(解析版)_2.2025数学总复习_2023年新高考资料_二轮复习_备战2023年高考数学二轮复习专题讲练(新高考版)_专题四立体几何
第1讲素养提升之立体几何选填专项冲刺(解析版)_2.2025数学总复习_2023年新高考资料_二轮复习_备战2023年高考数学二轮复习专题讲练(新高考版)_专题四立体几何
第1讲素养提升之立体几何选填专项冲刺(解析版)_2.2025数学总复习_2023年新高考资料_二轮复习_备战2023年高考数学二轮复习专题讲练(新高考版)_专题四立体几何
第1讲素养提升之立体几何选填专项冲刺(解析版)_2.2025数学总复习_2023年新高考资料_二轮复习_备战2023年高考数学二轮复习专题讲练(新高考版)_专题四立体几何
第1讲素养提升之立体几何选填专项冲刺(解析版)_2.2025数学总复习_2023年新高考资料_二轮复习_备战2023年高考数学二轮复习专题讲练(新高考版)_专题四立体几何
第1讲素养提升之立体几何选填专项冲刺(解析版)_2.2025数学总复习_2023年新高考资料_二轮复习_备战2023年高考数学二轮复习专题讲练(新高考版)_专题四立体几何
第1讲素养提升之立体几何选填专项冲刺(解析版)_2.2025数学总复习_2023年新高考资料_二轮复习_备战2023年高考数学二轮复习专题讲练(新高考版)_专题四立体几何
第1讲素养提升之立体几何选填专项冲刺(解析版)_2.2025数学总复习_2023年新高考资料_二轮复习_备战2023年高考数学二轮复习专题讲练(新高考版)_专题四立体几何
第1讲素养提升之立体几何选填专项冲刺(解析版)_2.2025数学总复习_2023年新高考资料_二轮复习_备战2023年高考数学二轮复习专题讲练(新高考版)_专题四立体几何
第1讲素养提升之立体几何选填专项冲刺(解析版)_2.2025数学总复习_2023年新高考资料_二轮复习_备战2023年高考数学二轮复习专题讲练(新高考版)_专题四立体几何
第1讲素养提升之立体几何选填专项冲刺(解析版)_2.2025数学总复习_2023年新高考资料_二轮复习_备战2023年高考数学二轮复习专题讲练(新高考版)_专题四立体几何
第1讲素养提升之立体几何选填专项冲刺(解析版)_2.2025数学总复习_2023年新高考资料_二轮复习_备战2023年高考数学二轮复习专题讲练(新高考版)_专题四立体几何
第1讲素养提升之立体几何选填专项冲刺(解析版)_2.2025数学总复习_2023年新高考资料_二轮复习_备战2023年高考数学二轮复习专题讲练(新高考版)_专题四立体几何
第1讲素养提升之立体几何选填专项冲刺(解析版)_2.2025数学总复习_2023年新高考资料_二轮复习_备战2023年高考数学二轮复习专题讲练(新高考版)_专题四立体几何
第1讲素养提升之立体几何选填专项冲刺(解析版)_2.2025数学总复习_2023年新高考资料_二轮复习_备战2023年高考数学二轮复习专题讲练(新高考版)_专题四立体几何
第1讲素养提升之立体几何选填专项冲刺(解析版)_2.2025数学总复习_2023年新高考资料_二轮复习_备战2023年高考数学二轮复习专题讲练(新高考版)_专题四立体几何
第1讲素养提升之立体几何选填专项冲刺(解析版)_2.2025数学总复习_2023年新高考资料_二轮复习_备战2023年高考数学二轮复习专题讲练(新高考版)_专题四立体几何
第1讲素养提升之立体几何选填专项冲刺(解析版)_2.2025数学总复习_2023年新高考资料_二轮复习_备战2023年高考数学二轮复习专题讲练(新高考版)_专题四立体几何
第1讲素养提升之立体几何选填专项冲刺(解析版)_2.2025数学总复习_2023年新高考资料_二轮复习_备战2023年高考数学二轮复习专题讲练(新高考版)_专题四立体几何
第1讲素养提升之立体几何选填专项冲刺(解析版)_2.2025数学总复习_2023年新高考资料_二轮复习_备战2023年高考数学二轮复习专题讲练(新高考版)_专题四立体几何
第1讲素养提升之立体几何选填专项冲刺(解析版)_2.2025数学总复习_2023年新高考资料_二轮复习_备战2023年高考数学二轮复习专题讲练(新高考版)_专题四立体几何
第1讲素养提升之立体几何选填专项冲刺(解析版)_2.2025数学总复习_2023年新高考资料_二轮复习_备战2023年高考数学二轮复习专题讲练(新高考版)_专题四立体几何
第1讲素养提升之立体几何选填专项冲刺(解析版)_2.2025数学总复习_2023年新高考资料_二轮复习_备战2023年高考数学二轮复习专题讲练(新高考版)_专题四立体几何
第1讲素养提升之立体几何选填专项冲刺(解析版)_2.2025数学总复习_2023年新高考资料_二轮复习_备战2023年高考数学二轮复习专题讲练(新高考版)_专题四立体几何
第1讲素养提升之立体几何选填专项冲刺(解析版)_2.2025数学总复习_2023年新高考资料_二轮复习_备战2023年高考数学二轮复习专题讲练(新高考版)_专题四立体几何
第1讲素养提升之立体几何选填专项冲刺(解析版)_2.2025数学总复习_2023年新高考资料_二轮复习_备战2023年高考数学二轮复习专题讲练(新高考版)_专题四立体几何
第1讲素养提升之立体几何选填专项冲刺(解析版)_2.2025数学总复习_2023年新高考资料_二轮复习_备战2023年高考数学二轮复习专题讲练(新高考版)_专题四立体几何
第1讲素养提升之立体几何选填专项冲刺(解析版)_2.2025数学总复习_2023年新高考资料_二轮复习_备战2023年高考数学二轮复习专题讲练(新高考版)_专题四立体几何
第1讲素养提升之立体几何选填专项冲刺(解析版)_2.2025数学总复习_2023年新高考资料_二轮复习_备战2023年高考数学二轮复习专题讲练(新高考版)_专题四立体几何
第1讲素养提升之立体几何选填专项冲刺(解析版)_2.2025数学总复习_2023年新高考资料_二轮复习_备战2023年高考数学二轮复习专题讲练(新高考版)_专题四立体几何
第1讲素养提升之立体几何选填专项冲刺(解析版)_2.2025数学总复习_2023年新高考资料_二轮复习_备战2023年高考数学二轮复习专题讲练(新高考版)_专题四立体几何
第1讲素养提升之立体几何选填专项冲刺(解析版)_2.2025数学总复习_2023年新高考资料_二轮复习_备战2023年高考数学二轮复习专题讲练(新高考版)_专题四立体几何
第1讲素养提升之立体几何选填专项冲刺(解析版)_2.2025数学总复习_2023年新高考资料_二轮复习_备战2023年高考数学二轮复习专题讲练(新高考版)_专题四立体几何
第1讲素养提升之立体几何选填专项冲刺(解析版)_2.2025数学总复习_2023年新高考资料_二轮复习_备战2023年高考数学二轮复习专题讲练(新高考版)_专题四立体几何
第1讲素养提升之立体几何选填专项冲刺(解析版)_2.2025数学总复习_2023年新高考资料_二轮复习_备战2023年高考数学二轮复习专题讲练(新高考版)_专题四立体几何
第1讲素养提升之立体几何选填专项冲刺(解析版)_2.2025数学总复习_2023年新高考资料_二轮复习_备战2023年高考数学二轮复习专题讲练(新高考版)_专题四立体几何
第1讲素养提升之立体几何选填专项冲刺(解析版)_2.2025数学总复习_2023年新高考资料_二轮复习_备战2023年高考数学二轮复习专题讲练(新高考版)_专题四立体几何
第1讲素养提升之立体几何选填专项冲刺(解析版)_2.2025数学总复习_2023年新高考资料_二轮复习_备战2023年高考数学二轮复习专题讲练(新高考版)_专题四立体几何
第1讲素养提升之立体几何选填专项冲刺(解析版)_2.2025数学总复习_2023年新高考资料_二轮复习_备战2023年高考数学二轮复习专题讲练(新高考版)_专题四立体几何
第1讲素养提升之立体几何选填专项冲刺(解析版)_2.2025数学总复习_2023年新高考资料_二轮复习_备战2023年高考数学二轮复习专题讲练(新高考版)_专题四立体几何
第1讲素养提升之立体几何选填专项冲刺(解析版)_2.2025数学总复习_2023年新高考资料_二轮复习_备战2023年高考数学二轮复习专题讲练(新高考版)_专题四立体几何
第1讲素养提升之立体几何选填专项冲刺(解析版)_2.2025数学总复习_2023年新高考资料_二轮复习_备战2023年高考数学二轮复习专题讲练(新高考版)_专题四立体几何
第1讲素养提升之立体几何选填专项冲刺(解析版)_2.2025数学总复习_2023年新高考资料_二轮复习_备战2023年高考数学二轮复习专题讲练(新高考版)_专题四立体几何
第1讲素养提升之立体几何选填专项冲刺(解析版)_2.2025数学总复习_2023年新高考资料_二轮复习_备战2023年高考数学二轮复习专题讲练(新高考版)_专题四立体几何
第1讲素养提升之立体几何选填专项冲刺(解析版)_2.2025数学总复习_2023年新高考资料_二轮复习_备战2023年高考数学二轮复习专题讲练(新高考版)_专题四立体几何
第1讲素养提升之立体几何选填专项冲刺(解析版)_2.2025数学总复习_2023年新高考资料_二轮复习_备战2023年高考数学二轮复习专题讲练(新高考版)_专题四立体几何
第1讲素养提升之立体几何选填专项冲刺(解析版)_2.2025数学总复习_2023年新高考资料_二轮复习_备战2023年高考数学二轮复习专题讲练(新高考版)_专题四立体几何
第1讲素养提升之立体几何选填专项冲刺(解析版)_2.2025数学总复习_2023年新高考资料_二轮复习_备战2023年高考数学二轮复习专题讲练(新高考版)_专题四立体几何
第1讲素养提升之立体几何选填专项冲刺(解析版)_2.2025数学总复习_2023年新高考资料_二轮复习_备战2023年高考数学二轮复习专题讲练(新高考版)_专题四立体几何
第1讲素养提升之立体几何选填专项冲刺(解析版)_2.2025数学总复习_2023年新高考资料_二轮复习_备战2023年高考数学二轮复习专题讲练(新高考版)_专题四立体几何
第1讲素养提升之立体几何选填专项冲刺(解析版)_2.2025数学总复习_2023年新高考资料_二轮复习_备战2023年高考数学二轮复习专题讲练(新高考版)_专题四立体几何
第1讲素养提升之立体几何选填专项冲刺(解析版)_2.2025数学总复习_2023年新高考资料_二轮复习_备战2023年高考数学二轮复习专题讲练(新高考版)_专题四立体几何
第1讲素养提升之立体几何选填专项冲刺(解析版)_2.2025数学总复习_2023年新高考资料_二轮复习_备战2023年高考数学二轮复习专题讲练(新高考版)_专题四立体几何
第1讲素养提升之立体几何选填专项冲刺(解析版)_2.2025数学总复习_2023年新高考资料_二轮复习_备战2023年高考数学二轮复习专题讲练(新高考版)_专题四立体几何
第1讲素养提升之立体几何选填专项冲刺(解析版)_2.2025数学总复习_2023年新高考资料_二轮复习_备战2023年高考数学二轮复习专题讲练(新高考版)_专题四立体几何
第1讲素养提升之立体几何选填专项冲刺(解析版)_2.2025数学总复习_2023年新高考资料_二轮复习_备战2023年高考数学二轮复习专题讲练(新高考版)_专题四立体几何
第1讲素养提升之立体几何选填专项冲刺(解析版)_2.2025数学总复习_2023年新高考资料_二轮复习_备战2023年高考数学二轮复习专题讲练(新高考版)_专题四立体几何
第1讲素养提升之立体几何选填专项冲刺(解析版)_2.2025数学总复习_2023年新高考资料_二轮复习_备战2023年高考数学二轮复习专题讲练(新高考版)_专题四立体几何
第1讲素养提升之立体几何选填专项冲刺(解析版)_2.2025数学总复习_2023年新高考资料_二轮复习_备战2023年高考数学二轮复习专题讲练(新高考版)_专题四立体几何
第1讲素养提升之立体几何选填专项冲刺(解析版)_2.2025数学总复习_2023年新高考资料_二轮复习_备战2023年高考数学二轮复习专题讲练(新高考版)_专题四立体几何
第1讲素养提升之立体几何选填专项冲刺(解析版)_2.2025数学总复习_2023年新高考资料_二轮复习_备战2023年高考数学二轮复习专题讲练(新高考版)_专题四立体几何
第1讲素养提升之立体几何选填专项冲刺(解析版)_2.2025数学总复习_2023年新高考资料_二轮复习_备战2023年高考数学二轮复习专题讲练(新高考版)_专题四立体几何
第1讲素养提升之立体几何选填专项冲刺(解析版)_2.2025数学总复习_2023年新高考资料_二轮复习_备战2023年高考数学二轮复习专题讲练(新高考版)_专题四立体几何
第1讲素养提升之立体几何选填专项冲刺(解析版)_2.2025数学总复习_2023年新高考资料_二轮复习_备战2023年高考数学二轮复习专题讲练(新高考版)_专题四立体几何
第1讲素养提升之立体几何选填专项冲刺(解析版)_2.2025数学总复习_2023年新高考资料_二轮复习_备战2023年高考数学二轮复习专题讲练(新高考版)_专题四立体几何
第1讲素养提升之立体几何选填专项冲刺(解析版)_2.2025数学总复习_2023年新高考资料_二轮复习_备战2023年高考数学二轮复习专题讲练(新高考版)_专题四立体几何
第1讲素养提升之立体几何选填专项冲刺(解析版)_2.2025数学总复习_2023年新高考资料_二轮复习_备战2023年高考数学二轮复习专题讲练(新高考版)_专题四立体几何
第1讲素养提升之立体几何选填专项冲刺(解析版)_2.2025数学总复习_2023年新高考资料_二轮复习_备战2023年高考数学二轮复习专题讲练(新高考版)_专题四立体几何
第1讲素养提升之立体几何选填专项冲刺(解析版)_2.2025数学总复习_2023年新高考资料_二轮复习_备战2023年高考数学二轮复习专题讲练(新高考版)_专题四立体几何
第1讲素养提升之立体几何选填专项冲刺(解析版)_2.2025数学总复习_2023年新高考资料_二轮复习_备战2023年高考数学二轮复习专题讲练(新高考版)_专题四立体几何
第1讲素养提升之立体几何选填专项冲刺(解析版)_2.2025数学总复习_2023年新高考资料_二轮复习_备战2023年高考数学二轮复习专题讲练(新高考版)_专题四立体几何
第1讲素养提升之立体几何选填专项冲刺(解析版)_2.2025数学总复习_2023年新高考资料_二轮复习_备战2023年高考数学二轮复习专题讲练(新高考版)_专题四立体几何
第1讲素养提升之立体几何选填专项冲刺(解析版)_2.2025数学总复习_2023年新高考资料_二轮复习_备战2023年高考数学二轮复习专题讲练(新高考版)_专题四立体几何
第1讲素养提升之立体几何选填专项冲刺(解析版)_2.2025数学总复习_2023年新高考资料_二轮复习_备战2023年高考数学二轮复习专题讲练(新高考版)_专题四立体几何
第1讲素养提升之立体几何选填专项冲刺(解析版)_2.2025数学总复习_2023年新高考资料_二轮复习_备战2023年高考数学二轮复习专题讲练(新高考版)_专题四立体几何
第1讲素养提升之立体几何选填专项冲刺(解析版)_2.2025数学总复习_2023年新高考资料_二轮复习_备战2023年高考数学二轮复习专题讲练(新高考版)_专题四立体几何
第1讲素养提升之立体几何选填专项冲刺(解析版)_2.2025数学总复习_2023年新高考资料_二轮复习_备战2023年高考数学二轮复习专题讲练(新高考版)_专题四立体几何
第1讲素养提升之立体几何选填专项冲刺(解析版)_2.2025数学总复习_2023年新高考资料_二轮复习_备战2023年高考数学二轮复习专题讲练(新高考版)_专题四立体几何

文档信息

文档格式
docx
文档大小
8.290 MB
文档页数
88 页
上传时间
2026-03-25 07:37:20

文档内容

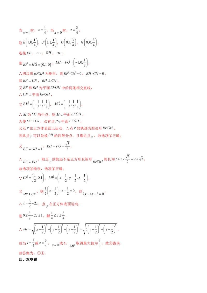
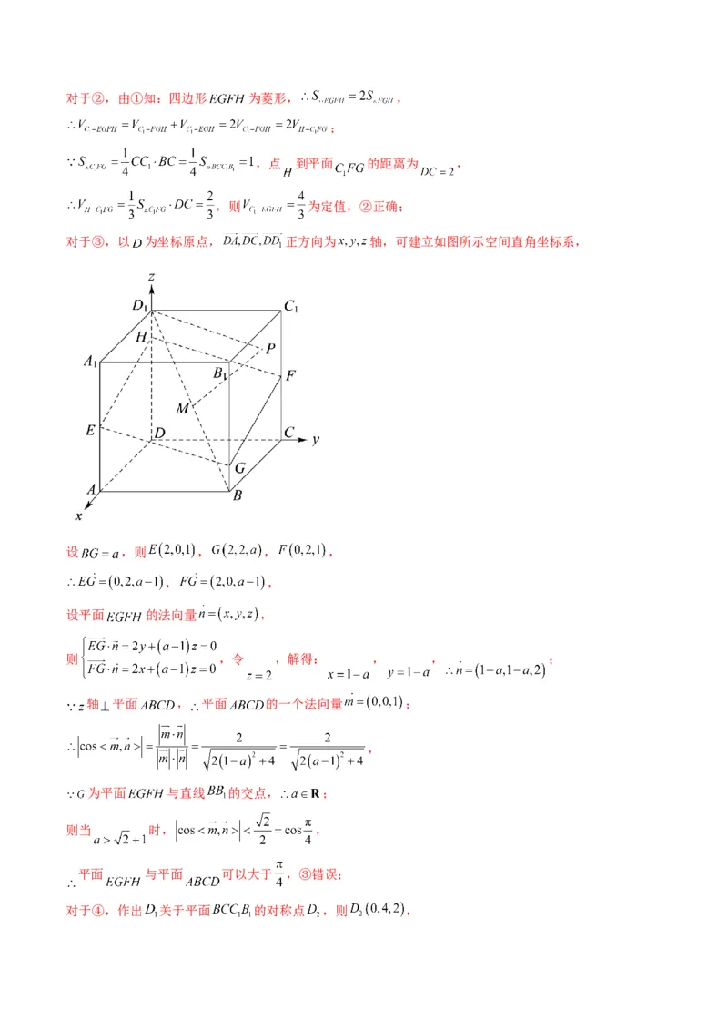
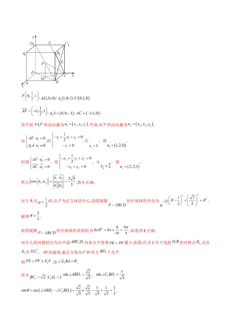
第 1 讲 素养提升之立体几何选填专项冲刺 目录 第一部分:知识强化 第二部分:重难点题型突破 突破一:空间几何体外接球 突破二:空间几何体内切球 突破三:用基底表示向量 突破四:向量模及最值 突破五:向量数量积最值 突破六:空间向量的平行与垂直 突破七:异面直线所成角 突破八:直线与平面所成角 突破九:二面角 突破十:空间距离 突破十一:立体几何综合问题 第三部分:冲刺重难点特训 第一部分:知识强化 1、空间向量的数量积 1.1、定义:已知两个非零向量 , ,则 叫做 , 的数量积,记作 ;即 .规定:零向量与任何向量的数量积都为0. 特别提醒:两个空间向量的数量积是数量,而不是向量,它可以是正数、负数或零; 1.2、空间向量数量积的应用 (1)利用公式 可以解决空间中有关距离或长度的问题; (2)利用公式 可以解决两向量夹角,特别是两异面直线夹角的问题; 1.3、向量 的投影 3.1.如图(1),在空间,向量 向向量 投影,由于它们是自由向量,因此可以先将它们平移到同一个平 面 内,进而利用平面上向量的投影,得到与向量 共线的向量 , 向量 称为向量 在向量 上的投影向量.类似地,可以将向量 向直线 投影(如图(2)). 3.2.如图(3),向量 向平面 投影,就是分别由向量 的起点 和终点 作平面 的垂线,垂足分别 为 , ,得到 ,向量 称为向量 在平面 上的投影向量.这时,向量 , 的夹角就是 向量 所在直线与平面 所成的角. 1.4、空间向量数量积的几何意义:向量 , 的数量积等于 的长度 与 在 方向上的投影 的乘积或等于 的长度 与 在 方向上的投影 的乘积. 2、空间向量运算的坐标表示 设 ,空间向量的坐标运算法则如下表所示: 运算 坐标表示 加法 减法 数乘 数量积 3、空间向量平行与垂直的条件,几何计算的坐标表示 3.1、两个向量的平行与垂直 平行( ) 垂直( ) ( 均 为非零向量) 特别提醒:在 中,应特别注意,只有在 与三个坐标平面都不平行时,才能写成 .例如,若 与坐标平面 平行,则 ,这样 就没有意义了. 3.2、向量长度的坐标计算公式 若 ,则 ,即 空间向量长度公式表示的是向量的长度,其形式与平面向量长度公式一致,它的几何意义是表示长方体的 体对角线的长度 3.3、两个向量夹角的坐标计算公式 设 ,则 3.4、两点间的距离公式 已知 ,则 4、用向量法求空间距离 4.1、点到直线的距离 已知直线 的单位方向向量为 , 是直线 上的定点, 是直线 外一点.设 ,则向量 在直线 上的投影向量 ,在 中,由勾股定理得: 4.2、点到平面的距离 如图,已知平面 的法向量为 , 是平面 内的定点, 是平面 外一点.过点 作平面 的垂线 , 交平面 于点 ,则 是直线 的方向向量,且点 到平面 的距离就是 在直线 上的投影向量 的长度.5、用向量法求空间角 5.1、用向量运算求两条直线所成角 已知a,b为两异面直线,A,C与B,D分别是a,b上的任意两点,a,b所成的角为 ,则 ① ② . 5.2、用向量运算求直线与平面所成角 设直线 的方向向量为 ,平面 的法向量为 ,直线与平面所成的角为 , 与 的角为 ,则有 ① ② .(注意此公式中最后的形式是: ) 5.3、用向量运算求平面与平面的夹角 如图,若 于A, 于B,平面PAB交 于E,则∠AEB为二面角 的平面角, ∠AEB+∠APB=180°.若 分别为面 , 的法向量 ① ② 根据图形判断二面角为锐二面角还是顿二面角; 若二面角为锐二面角(取正),则 ; 若二面角为顿二面角(取负),则 ; 第二部分:重难点题型突破 突破一:空间几何体外接球 1.(2022·四川成都·一模(理))已知边长为 的菱形 中, ,沿对角线 把 折 起,使二面角 为直二面角,则三棱锥 的外接球的表面积为( ) A. B. C. D. 【答案】A 【详解】如图,三棱锥 中, ,平面 平面 , 取BD中点E,连接CE,AE,则 ,而平面 平面 , 平面 , 则 平面 , 平面 ,因此平面 平面 ,同理平面 平面 , 令点 分别为正 ,正 的中心,在平面 内分别过点 作 的垂线,它们交于 点O,连OC, 因此 平面 , 平面 ,而 分别为三棱锥 的外接球被平面 ,平面 所截得的小圆圆心, 则 是三棱锥 的外接球的球心,而 , ,显然四边形 为正方形, ,则球半径 , 所以三棱锥 的外接球的表面积 . 故选:A 2.(2022·对外经济贸易大学附属中学(北京市第九十四中学)高三阶段练习)已知正三棱锥 , 若 平面 ,则三棱锥 的外接球的表面积为( ) A. B. C. D. 【答案】B 【详解】解:如图一所示: 因为 平面 , 平面 , 所以 , , 又因为几何体为正三棱锥, 所以 , , 又因为 , 所以 , 所以 , 所以 , 所以 , 即 两两垂直, 将三棱锥补成以 为邻边的正方体,如图二所示:则三棱锥的外接球即为补形后的正方体的外接球, 所以 , 即 , 所以 = . 球 故选:B. 3.(2022·天津市滨海新区塘沽第一中学高三阶段练习)三棱锥 中, 平面 ,其外接球表面积为 ,则三棱锥 的体积为( ) A. B. C. D. 【答案】D 【详解】依题意,三角形ABC的平面图如图1: 图1 其中 是等腰 的外接圆的圆心, 是AC的垂直平分线, 是BC的垂直平分线, 在 的外部, 依题意有 , ; 三棱锥的直观图如图2: 图2 外接圆的圆心为PB的中点D, 过 作垂直于平面ABC的垂线,过D作垂直于平面PAB的垂线,两垂线必相交于外接球的球心O,外接球的半径 ,三棱锥P-ABC的高为PA, 则有 ,在 中, , 三棱锥的体积为 ; 故选:D. 4.(2022·江苏·南京师大附中高三阶段练习)四棱锥 中,底面 是边长为 的正方形, 侧面 为正三角形,则其外接球体积最小值为( ) A. B. C. D. 【答案】C 【详解】设二面角 的大小为 , 中点为 ,正方形 的中心为 , 则 , , ,则 , 到底面的距离为 , 设球心 到底面的距离为 ,而正方形的外接圆半径为 , 则 ,而 由 得 , , 恒成立,故 最小值为 , , 即外接球体积最小值为 , 故选:C 5.(2022·安徽·阜阳师范大学附属中学高三阶段练习)已知点 是长方体 的外接球球 心, 为球面上一点, ,若 与 所成的角为 ,则四棱锥 的体积的最大值 为__________. 【答案】 【详解】连接 ,根据长方体的性质可知 ,所以 是 与 所成角,所以 , 由于 ,所以四边形 是正方形, 所以 ,所以三角形 是等边三角形, 所以 ,所以 , 所以长方体 是正方体, 设外接球的半径为 ,则 , 球心 到平面 的距离为 , 所以四棱锥 的体积的最大值为 . 故答案为: 6.(2022·湖南师大附中高二阶段练习)三棱锥 中, ,则三棱锥的外接球表面积为___________. 【答案】 【详解】解:由题意, 如图, 在△ 中, , ∴ , ∵ , 面 , ,∴ ⊥面 ,又 面 , ∴ 在△ 中, 同理可得, ,∵ 面 , , ∴ 面 , 又 面 , ∴ ∴棱 中点为外接球球心, 外接球半径为 , ∴外接球表面积为 . 故答案为: . 7.(2022·江苏常州·高三阶段练习)在正四面体 中, 为 边的中点,过点 作该正四面体外 接球的截面,记最大的截面面积 ,最小的截面面积为 ,则 __________;若记该正四面体内切球和 外接球的体积分别为 和 ,则 __________. 【答案】 【详解】将正四面体 放置于正方体中,如图所示,可得正方体的外接球就是正四面体的外接球, 外接球的球心O为正方体的体对角线DF的中点, 设正四面体 的棱长为 ,则正方体的棱长为 , 因为外接球的直径等于正方体的对角线长, 所以外接球的半径为 , E为BC边的中点,过E作该正四面体外接球的截面, 当截面过球心O时,截面面积最大,最大值为 , 当截面到球心O的距离最大时,截面圆的面积取最小值,此时球心O到截面的距离为 ,可得截面圆的半径为 , 从而截面面积的最小值为 .所以 ; 设正四面体内切球的球心为G,半径为 , 取底面BCD的中心H,连接AH,则AH为正四面体的高,G在AH上,H在DE上, 正四面体的每个面的面积为 , ,正四面体的高 , 故正四面体的体积为 , 连接G与正四面体的4个顶点可以得到4个的正三棱锥,每个正三棱锥体积为 ,则 , 所以 ,求得 , 故正四面体内切球的体积 , 正四面体外接球的半径为 ,外接球的体积为 , . 故答案为: ;27. 突破二:空间几何体内切球 1.(2022·福建·浦城县第三中学高三期中)《九章算术·商功》:“斜解立方,得两堑堵,其一为阳马,一 为鳖臑,阳马居二,鳖臑居一.”下图解释了这段话中由一个长方体得到堑堵、阳马、鳖臑的过程.在一个长 方体截得的堑堵和鳖臑中,若堑堵的内切球(与各面均相切)半径为1,则鳖臑体积的最小值为( )A. B. C. D. 【答案】C 【详解】依题意,堑堵的内切球(与各面均相切)半径为 , 所以直角三角形 的内切圆半径为 , , 设 ,则 , 所以 , , 当且仅当 时等号成立, 则 , 所以鳖臑体积 . 故选:C 2.(2022·全国·高三专题练习)如图,在四面体 中,截面 经过四面体的内切球(与四个面都相 切的球)球心 ,且与 、 分别截于 、 .如果截面将四面体分为体积相等的两部分,设四棱锥 与三棱锥 的表面积分别为 , ,则必有( ) A. B. C. D. 的大小不能确定 【答案】C【详解】解:连接 、 、 、 , , , 则 , , 又 , 而以上等式右边的每个三(四)棱锥的高都是原四面体的内切球的半径,又面 公共, 故 ,即 . 故选:C. 3.(2022·福建·高三阶段练习)已知正三棱锥 中,侧面与底面所成角的正切值为 , , 这个三棱锥的内切球和外接球的半径之比为( ) A. B. C. D. 【答案】B 【详解】因为三棱锥 为正三棱锥,底面边长为6, 且侧面与底面所成角的正切值为 ,所以可得正三棱锥的高 ,侧面的高 ; 设正三棱锥底面中心为 ,其外接球的半径为 ,内切球半径为 , 则有 ,也即 ,解得: , 正三棱锥的体积 , 也即 ,解得: , 所以 ,故选:B. 4.(2022·河北张家口·高二期中)球O为正四面体 的内切球, , 是球O的直径,点M在 正四面体 的表面运动,则 的最大值为__________. 【答案】 ## 【详解】 如图, 为 中点, 为 中心, 平面 , 设球O的半径为r, , 正四面体 中,易求得 所以正四面体 的高为 , 所以根据体积公式 得: ,解得 , 因为点M在正四面体 的表面运动, 所以 , 所以 . 故答案为: . 5.(2022·湖南·雅礼中学高二阶段练习)如图,已知球 是棱长为 的正方体 的内切球, 则球 的体积为________,平面 截球 的截面面积为________.【答案】 【详解】 正方体内切球半径是该正方体棱长的一半, 球 的半径 , 球 的体积 ; 是边长为 的等边三角形,球 与平面 、 、 分别相切于 的中点, 平面 截球 所得的截面为 的内切圆, 的内切圆半径 , 所求截面面积 . 故答案为: ; . 突破三:用基底表示向量 1.(2022·甘肃·测试·编辑教研五高二期末(理))如图,空间四边形 中, , , ,且 , ,则 等于( ) A. B. C. D. 【答案】C【详解】由题意知, 故选:C. 2.(2022·内蒙古·包头一中高二期中(理))已知空间四边形ABCO中, , , ,M 为OA中点,点N在BC上,且 ,则 等于( ) A. B. C. D. 【答案】D 【详解】如图所示: 点N在BC上,且 ,∴ , 由 , , , 为 中点, , , . 故选:D. 3.(2022·河南·宜阳县第一高级中学高二阶段练习)如图,在三棱柱 中,G是 与 的交 点,若 , , ,则 ( )A. B. C. D. 【答案】A 【详解】因为 为三棱柱,所以 , . 故选: . 4.(2022·四川·射洪中学高二期中(理))如图,在三棱锥 中,设 , , ,若 , ,则 ( ) A. B. C. D. 【答案】A 【详解】 , ,, , 故选:A. 突破四:向量模及最值 1.(2022·四川南充·高三期中(文))如图所示,正方体 的棱长为 , 、 分别是棱 、 的中点,动点 在正方形 (包括边界)内运动,若 面 ,则线段 长度的最小 值是( ) A. B.3 C. D. 【答案】C 【详解】以点 为坐标原点, 、 、 所在直线分别为 、 、 轴建立如下图所示的空间直角坐 标系, 则 、 、 , ,设点 ,其中 、 , 设平面 的法向量为 , , ,则 ,取 ,可得 , ,因为 平面 ,则 , 所以, , 所以, , 当且仅当 时, 的长度取最小值 . 故选:C. 2.(2022·全国·高二课时练习)已知正方体 的棱长为4,点E是棱 的中点,动点P在 正方形 内(包括边界)运动,且 平面 ,则 长度的取值范围为( ) A. B. C. D. 【答案】C 【详解】以D为原点,以 , , 的方向为x,y,z轴的正方向,建立如图所示的空间直角坐标系 .则 , , , , , , , , . 取 的中点为H,连接 , . 在正方体 中, 且 ,所以四边形 为平行四边形,所以 . 又 面 , 面 , 所以 面 . 同理可证: 面 .又 ,所以平面 平面 . 因为 平面 ,所以点P只能在线段 上运动.易知 ,设 ( ), ,则 , , , . 当 时, 取得最小值 ;当 时, 取得最大值36. 故PC长度的取值范围为 . 故选:C 3.(2022·江苏·高二课时练习)如图,正方体 的棱长为2,点 在 上,点 在 上,且 , 面 ,则 的长为( ). A. B. C.2 D. 【答案】A 【详解】因为该几何体 为正方体,所以以 为坐标原点, 为 轴, 为 轴, 为 轴,建立空间直角坐标系.因为正方体 的棱长为2,所以 , , 平面 的一个法向量为 . 因为点 在 上,且 ,所以点 . 因为点 在 上,所以设 ,则 , 因为 平面 ,所以 , 有 , ,故 , . 故选:A. 4.(2022·全国·高三专题练习(理))如图,在棱长为2的正方体 中, 为 的中点, 点 在底面 上(包括边界)移动,且满足 ,则线段 的长度的最大值为( ) A. B. C. D.3 【答案】D 【详解】解:以D为原点,DA为x轴,DC为y轴, 为z轴,建立空间直角坐标系,设P(a,b,0),则 (0,0,2),E(1,2,0), (2,2,2), =(a−2,b−2,−2), =(1,2,−2), ∵ P⊥ E, , ∴a+2b−2=0, ∴点P的轨迹是一条线段, , 由二次函数的性质可得当 时, 可取到最大值9, ∴线段 P的长度的最大值为3. 故选:D. 5.(2022·辽宁·沈阳市第十中学高二阶段练习)向量 ,若 ,则 __________. 【答案】 【详解】由题意知向量 , , ,且 , 所以 且 ,解得 , 故 , ,则 , 所以 , 故答案为: . 6.(2022·河南·高二阶段练习)设 ,向量 ,且 ,则 ___________.【答案】 【详解】因为 ,所以 ,解得 ,则 . 因为 ,所以 ,解得 ,则 . . 故答案为: 7.(2022·湖北·武汉市第十九中学高二期末)已知 、 是空间内两个单位向量,且 ,如果空 间向量 满足 ,且 , ,则对于任意的实数 、 , 的最小值为 ______. 【答案】 【详解】因为 、 是空间内两个单位向量,且 , 所以, ,因为 ,则 , 不妨设 , , 设 ,则 , ,解得 ,则 , 因为 ,可得 , 则 , 所以, , 当且仅当 时,即当 时,等号成立, 因此,对于任意的实数 、 , 的最小值为 . 故答案为: . 突破五:向量数量积最值 1.(2022·江西·赣州市第三中学高二期中)在棱长为2的正四面体 中,点 满足,点 满足 ,当 、 最短时, ( ) A. B. C. D. 【答案】C 【详解】解:因为 , 可得 平面 , , 当 , 最短时, 面 ,且 , 则正四面体 中, 为 的中心, 为 的中点,如图所示, 又因为正四面体的棱长为2,在正三角形 中,由正弦定理得 ,所以 , 所以 , 因为 平面 ,所以 , 因为 , 所以 , 故选:C. 2.(2022·浙江台州·高二期中)已知点P是棱长为1的正方体 的底面 上一点(包 括边界),则 的最大值为( ) A. B. C.1 D. 【答案】C【详解】 如图,以 , , 分别为x,y,z轴建立空间直角坐标系, 设点 , , , 则 , , , 当 或 , 或 时, 最大,为1. 故选:C. 3.(2022·贵州·高二期中)《九章算术》中,将四个面都为直角三角形的四面体称为鳖臑.在如图所示的鳖 臑 中, 平面 , , ,E是BC的中点,H是 内的 动点(含边界),且 平面ACD,则 的取值范围是( ) A. B. C. D. 【答案】B 【详解】设F,G分别为AB,BD的中点,连接FG,EF,EG. 易得 , , 因为 平面 , 平面 , , ,所以平面 平面 . 因为 平面 ,所以H为线段FG上的点. 由 平面 , 平面 ,得 , 又 ,则 , 由 平面 ,得 平面 ,因为 ,所以 平面 , , . 因为 , 所以 , . . 因为 ,所以 . 故选:B. 4.(2022·广东·江门市广雅中学高二期中)如图所示,在棱长为1的正方形 中,点P是 的中点,点M,N是矩形 内(包括边界)的任意两点,则 的取值范围是( ) A. B. C. D. 【答案】B 【详解】设正方体 的中心为O,连接OP,OM,ON.由正方体的性质可知, , ,那么 ,又 , 所以 .当 与 反向,且 时, 有最小值,此时 ; 当 与 同向,且 时, 有最大值,此时 ,即 的取值范围为 . 故选:B 5.(2022·上海·高二专题练习)已知MN是正方体内切球的一条直径,点Р在正方体表面上运动,正方体 的棱长是2,则 的取值范围为( ) A. B. C. D. 【答案】B 【详解】设正方体内切球的球心为 ,则 , , 因为MN是正方体内切球的一条直径, 所以 , , 所以 , 又点Р在正方体表面上运动, 所以当 为正方体顶点时, 最大,且最大值为 ; 当 为内切球与正方体的切点时, 最小 ,且最小为 ; 所以 , 所以 的取值范围为 , 故选:B 6.(2022·重庆市永川北山中学校高二期中)在棱长为1的正方体 中,点E为底面 内一动点,则 的取值范围是( ) A. B.C. D. 【答案】A 【详解】解:如图建立空间直角坐标系,则 , ,设 则 , ,所以 , ,所以 ,因为 , ,所以 , ,所以 , 故选:A 突破六:空间向量的平行与垂直 1.(2022·安徽·亳州二中高二期中)设 ,向量 , , ,且 , ,则 ( ) A. B. C.4 D.3 【答案】D 【详解】因为 ,故 ,故 , 因为 ,故 ,故 ,故 , , 故 ,故 , 故选:D. 2.(2022·山东·聊城市茌平区第二中学高二阶段练习)已知 , , , , ,则 与 夹角的余弦值为( )A. B. C. D. 【答案】A 【详解】解:因为 , 所以 , 解得 , , 故 , , , 又因为 ,所以 ,即 ,解得 . 所以 ,4, , , , , 所以 ,2, , , , , 所以 , , , 设 与 的夹角为 , 则 . 故选:A. 3.(2022·黑龙江·大庆二中高二阶段练习)已知两个向量 , ,且 ,则 的 值为( ) A.1 B.2 C.4 D.8 【答案】C 【详解】∵ ,∴ ,使 ,得 ,解得: ,所以 故选:C 4.(2022·河南·北大公学禹州国际学校高二开学考试)如图,平面 平面 是等边三角 形,四边形 是矩形,且 ,E是 的中点,F是 上一点,当 时, ( )A.3 B. C. D.2 【答案】C 【详解】分别取 的中点O,G,连接 , 以O为坐标原点, 的方向别为x,y,z轴的正方向,建立如图所示的空间直角坐标系 . 设 ,则 .设 , 则 .因为 , 所以 ,解得 ,所以 . 故选: C 5.(2022·山东·莱州市第一中学高二阶段练习)已知向量 ,点 .在直线 上,存在一点E,使得 ,则点E的坐标为___________. 【答案】 【详解】设 ,因为 , ,所以 , , , , 因为 ,所以 ,解得 ,又 , ,所以点 的坐标为 . 故答案为: . 6.(2022·山东省实验中学高二期中)已知 , ,且 与 垂直,则 的值为 ___________. 【答案】 【详解】因为 , , 所以 , , 因为 与 垂直,所以 , 解得: ,所以 的值为 , 故答案为: . 突破七:异面直线所成角 1.(2022·广东·肇庆市第一中学高三阶段练习)如图, 分别是正方形 的边 的中点,将 沿着 折起到 的位置,使平面 平面 ,连接 , ,则 所成角的余弦 值是( ) A. B. C. D. 【答案】C 【详解】设 的中点为 ,连接 ,因为 ,所以 ,又 平面 ,平面 平面 ,平面 平面 ,所以 平面 ,又 分别是正方形 的 边 的中点,所以 ,因为 ,所以 ,以 为原点, 的方向分别 为 轴的正方向,建立空间直角坐标系.设 ,则 ,所以 .设 所成的角为 ,则 . 故选:C. 2.(2022·河北张家口·高二期中)如图,在三棱锥 中, 平面 , 是正三角形, , ,F是棱 上一点,且满足 ,则异面直线 与 所成角的余弦值是 ( ). A. B. C. D. 【答案】B 【详解】以D为坐标原点, , 所在直线分别为y,z轴建立空间直角坐标系如图所示, 易知 , , , , , , 设 ,则 ,已知 , 因为 , , 所以 , 可得 ,即 , 所以 ,所以 , 则 , ∴异面直线 与 所成角的余弦值为 . 故选:B. 3.(2022·河南·高二阶段练习(文))如图,在四棱锥 中, 底面 ,底面 为矩 形, 是线段 的中点, 是线段 上一点(不与 两点重合),且 .若直线 与 所成角的余弦值是 ,则 ( ) A. B. C. D. 【答案】B 【详解】因为 平面 , 平面 , 平面 , 所以 , . 因为底面 为矩形,所以 . 所以DP,DC,DA两两互相垂直. 以 为原点,DA、DC、DP所在直线分别为x、y、z轴,建立空间直角坐标系 ,则 , , , , , . 所以 , . 因为 , 所以 ,则 . 设直线MN与BD所成角为 ,则 . 因为 ,则 , 化简得 ,即 ,解得 或 (舍去). 故选:B 4.(2022·黑龙江·哈尔滨三中高二阶段练习)已知四棱锥 的底面 是边长为2的正方形, 平面 ,线段AB,SC的中点分别为E,F,若异面直线EC与BF所成角的余弦值为 ,则 ( ) A. B.4 C.2 D.3 【答案】B 【详解】如图示,以D为原点, 分别为x、y、z轴正方向联立空间直角坐标系.不妨设 .则 , , , , , , . 所以 , . 因为异面直线 与 所成角的余弦值为 ,所以 , 解得:t=4. 即 4. 故选:B 5.(2022·辽宁沈阳·高二期中)已知四棱锥S-ABCD的底面ABCD是边长为2的正方形,SD⊥平面 ABCD,边AB、SC的中点分别为E,F.若直线EC与BF所成角的余弦值为 ,则SD=( ) A.2 B. C.4 D.1 【答案】C 【详解】以D为原点,建立如图所示的空间直角坐标系D-xyz.设 ,则 , , , ,所以 ,所以 , .因为直线EC与BF所成角的 余弦值为 ,所以 ,解得 ,也即 .故选:C. 突破八:直线与平面所成角 1.(2022·江苏·南京田家炳高级中学高二期中)已知四棱柱ABCD-ABC D 的侧棱AA 垂直于底面,底面 1 1 1 1 1 ABCD为直角梯形,AD∥BC,AB⊥BC,AD=AB=AA=2BC,E为DD 的中点,F为AD的中点,则直线EF 1 1 1 与平面ACD所成角的正弦值为( ) 1 A. B. C. D. 【答案】C 【详解】侧棱AA 垂直于底面,则 ,则以点 为坐标原点,建立如下图所示的坐标 1 系,不妨设 ,则 , ,设平面ACD的法向量 1 为 , ,则 ,取 ,则 ,即直线EF与平面ACD所成角的正弦值为 . 1 故选:C2.(2022·福建省德化第一中学高二阶段练习)在四棱雉 中, 平面 , ,底 面是边长为4的菱形,且 , 是 的中点,则 与平面 所成的角的正切值为( ) A. B. C. D. 【答案】B 【详解】连接 交于点 , 以分别为 轴,过点 平行于 的直线为 轴,建立如图所示的空间直角坐标系, 则 , , 设平面 的一个法向量为 ,则 ,令 ,则 , 设 与平面 所成的角为 ,则 , 所以 , , 所以 与平面 所成的角的正切值为 , 故选:B3.(2022·全国·高三专题练习(理))已知圆锥的底面圆心为 ,顶点为 ,侧面展开图对应扇形的圆心 角为 , , 是底面圆周上的两点, 与平面 所成角的正弦值为 ,则 与 所成角的余弦 值为( ) A. B. C. D. 【答案】A 【详解】设 , , , 因为侧面展开图对应扇形的圆心角为 , 所以 ,于是 ,所以 , 所以 , , 建立如图所示的空间直角坐标系, 设 ,则各点坐标如下: ,0, , , , , , , , , , , , , , , , ,平面 的法向量为 ,0, ,与平面 所成角的正弦值为 , , 所以 与 所成角的余弦值为 . 故选:A 4.(2022·浙江·余姚中学高二阶段练习)已知圆柱 中,点 在圆 上, , ,点 、 在圆 上,且满足 ,则直线 与平面 所成角的正弦值的最大值为__________. 【答案】 【详解】取 中点 ,则 , 以点 为坐标原点, 为 轴, 为 轴建立如下图所示的 空间直角坐标系, 则 、 、 , , , 设平面 的法向量为 , 则 ,取 ,则 , ,则 , 设 ,直线 的方向向量为 , 所以直线 与平面 所成角的正弦值为 , 即直线 与平面 所成角的正弦值的最大值为 .故答案为: . 5.(2022·内蒙古·赤峰二中高二期末(理))已知几何体 如图所示,其中四边形ABCD, CDGF,ADGE均为正方形,且边长为1,点M在DG上,若直线MB与平面BEF所成的角为45°,则 ___________. 【答案】 ## 【详解】把该几何体补成一个正方体,如图 , ,连接 , 由 平面 , 平面 ,得 ,同理 , . 又正方形 中, , , 平面 , 所以 平面 ,而 平面 ,所以平面 平面 , 所以平面 内的直线 在平面 上的射影是 ,即 是直线MB与平面BEF所成的角, , , . , . 故答案为: .6.(2022·全国·高三专题练习)正四棱柱ABCD﹣ABC D 中,AB=2,AA=4,E为AB的中点,点F满 1 1 1 1 1 足 ,动点M在侧面AADD内运动,且MB∥平面DEF,则|MD|的取值范围是 1 1 1 __________________. 【答案】 【详解】因为ABCD﹣ABC D 是正四棱柱, 1 1 1 1 以点D为坐标原点,建立空间直角坐标系如图所示, 设M(x,0,z),B(2,2,0),D(0,0,4),E(2,1,0), 1 因为 ,所以F是CC 四等分点(靠近C), 1 所以F(0,2,1),所以 , 设平面DEF的一个法向量为 , 1 则 ,即 , 令c=2,则 ,故 , 又 , 平面DEF, 1 所以 ,即 , 所以 ,所以 , 故 ,因为0≤x≤2,0≤z≤4,所以 ,故 , 因为 ,所以|MD|在 上单调递减, 所以当x= 时,|MD|取最大值, 所以|MD|的最大值为 , 当x=2时,|MD|取最小值,所以|MD|的最小值为 , 所以|MD|的取值范围是 . 故答案为: . 突破九:二面角 1.(2022·湖南·武冈市教育科学研究所高二期中)已知菱形 中, ,沿对角线AC折叠之 后,使得平面 平面 ,则二面角 的余弦值为( ) A.2 B. C. D. 【答案】D 【详解】因为平面 平面 ,设 中点为 , ,则 平面 , ,故以 方向为 轴, 方向为 轴, 方向为 轴,建立空间直角坐标系,设菱形边长为2,则 , , ,显然 是平面 的一个法向量,设平面 的 法向量为 ,则满足 ,即 , 令 ,可得 ,故 ,则 ,即二面角 的余弦值为 .故选:D 2.(2022·全国·高三专题练习)在正方体 中, 中点为 ,则二面角 的余弦 值为( ) A. B. C. D. 【答案】A 【详解】以 为原点, 为 轴, 为 轴, 为 轴,建立空间直角坐标系,如图所示, 设正方体 的棱长为2, 则 ,0, , ,2, , ,0, , ,2, , ,2, , ,2, , ,2, , 设平面 的法向量为 , , , 则 ,取 ,得 ,0, , 设平面 的法向量为 , 则 ,取 ,得 , , , 设二面角 的平面角为 ,由图知 为钝角, 二面角 的余弦值 . 故选: .3.(2022·山东·日照一中高二阶段练习)已知菱形 中, ,沿对角线 折叠之后,使得 平面 平面 ,则平面 与平面 的夹角的余弦值为( ) A.2 B. C. D. 【答案】D 【详解】设菱形 的边长为 ,取 的中点 ,连接 ,因为 ,所以 , 又平面 平面 ,平面 平面 ,所以 平面 , 如下图建立空间直角坐标系,则 , ,所以 . 设平面 的法向量为 ,则 ,即 令 ,得 ,则 , 又取平面 的一个法向量为 ,所以 , 故选:D. 4.(2022·河南·安阳县实验中学高二开学考试(理))在矩形 中, , ,沿对角线 把矩形折成二面角 的平面角为 时,则 __________. 【答案】 【详解】分别过 两点作 , ,垂足为 ,如下图所示:根据勾股定理可求出: , 沿对角线 把矩形折成二面角 的平面角为 时, 则 , . 5.(2022·黑龙江·哈尔滨市剑桥第三高级中学有限公司高二阶段练习)如图所示,在四棱锥P-ABCD中, ,且 ,若 , ,则平面APB与平面PBC夹角 的余弦值为______. 【答案】 ## 【详解】在平面 内作 ,垂足为 , 因为 ,得AB⊥AP,CD⊥PD,由于AB//CD ,故AB⊥PD , 又 , 平面PAD, 平面PAD 从而AB⊥平面PAD,又 平面PAD,故 , 又 , , 平面 , 平面 . 可得 平面 . 以 为坐标原点, 的方向为 轴正方向, 为单位长, 建立如图所示的空间直角坐标系 .所以 , , , . 所以 , , , . 设 是平面 的法向量,则 即 令 ,则 ,故 . 设 是平面 的法向量,则 即 令 ,则 ,故 . 则平面APB与平面PBC夹角的余弦值为 故答案为: 6.(2022·福建·泉州七中高二阶段练习)如图所示,在四棱锥 中, // ,且 ,若 , ,则二面角 的余弦值为______. 【答案】【详解】 取 中点 , 中点 ,连接 , ,由已知可得 // , // ∵ ,∴ , , ∴ , , ∴ 平面 ,∴ , 又∵ ,∴ ∴以 为坐标原点,建立如图所示的空间直角坐标系 ,不妨设 ,则 , ∵ ,∴ , ∴ , , , . 所以 , , , 设 是平面 的一个法向量,则 即 , 令 ,则 , ,∴ . 设 是平面 的一个法向量,则 即 , 令 ,则 , ,∴ . 则 , 由图可知二面角 的平面角为钝角, 所以二面角 的余弦值为 . 故答案为: . 突破十:空间距离1.(2022·浙江·高二阶段练习)在棱长为2的正方体 中, 在线段 上,且 ,则点 到平面 的距离为( ) A. B. C. D.3 【答案】B 【详解】 如图,以 为原点, 所在直线分别为 轴, 轴, 轴建立空间直角坐标系, 则 , . 设 为平面 的法向量,且 , 则 即 取 , 故点 到平面 的距离 . 故选:B. 2.(2022·安徽·合肥市第七中学高二期中)如图,ABCD-EFGH是棱长为1的正方体,若P在正方体内部 且满足 ,则P到AB的距离为( )A. B. C. D. 【答案】D 【详解】如图,以 为坐标原点,AB,AD,AE所在直线分别为x,y,z轴建立空间直角坐标系, 则 , , , 因为 , 所以 , , , 所以点P到AB的距离 . 故选:D. 3.(2022·山西省运城中学校高二期中)如图,在三棱柱 中,底面 是边长为 的正三 角形, ,顶点 在底面的射影为底面正三角形的中心,P,Q分别是异面直线 上的动 点,则P,Q两点间距离的最小值是( )A. B.2 C. D. 【答案】D 【详解】如图, 是底面正 的中心, 平面 , 平面 ,则 , ,则 ,又 , , ,直线 交 于点 , , 以直线 为 轴, 为 轴,过 平行于 的直线为 轴建立空间直角坐标系,如图, 则 , , , , , , , , 设 与 和 都垂直, 则 ,取 ,则 , , P,Q两点间距离的最小值即为异面直线 与 间的距离等于 . 故选:D. 4.(2022·浙江·高二期中)在棱长为3的正方体 中,平面 与平面 之间的距离 为( )A.1 B. C. D.2 【答案】C 【详解】因为 , 平面 , 平面 ,所以 平面 , 因为 , 平面 , 平面 ,所以 平面 , 又 , 平面 , 平面 ,所以平面 平面 , 所以平面 与平面 之间的距离可以转化为点 到平面 之间的距离, 以 为原点,分别以 所在直线为 轴建立空间直角坐标系,则 , , , , , , , 设平面 的法向量为 , 所以 ,即 ,令 ,则 , ,, 所以点 到平面 之间的距离为 , 即平面 与平面 之间的距离为 . 故选:C. 5.(2022·重庆·高二阶段练习)如图,在四棱锥 中, ,底面 为菱形,边长 为4, , 平面 ,异面直线 与 所成的角为60°,若 为线段 的中点,则点 到直线 的距离为______ .【答案】3 【详解】连接 .以 为坐标原点,向量 , , 的方向分别为 , , 轴的正方向,建立如图 所示的空间直角坐标系, , 是等边三角形,点 在直线 上的射影 在边 上(靠近 的四等分点), 由 平面 , 平面 ,得 , 又 , , 平面 , 所以 平面 ,而 平面 ,所以 ,∴ 为锐角, , 为异面直线 与 所成角,即 . 在菱形 中, , , , .设 ,则 , , , , , , , 点 到直线 的距离为 . 故答案为:3. 6.(2022·全国·高三专题练习)古希腊数学家阿波罗尼奥斯发现:平面上到两定点A,B距离之比为常数 ( 且 )的点的轨迹是一个圆心在直线AB上的圆,该圆简称为阿氏圆.根据以上信息,解决下面 的问题:如图,在长方体 中, ,点E在棱AB上, ,动点 P满足 .若点P在平面ABCD内运动,则点P所形成的阿氏圆的半径为___________;若点P在长方体 内部运动,F为棱 的中点,M为CP的中点,则点M到平面 的距离的最 小值为___________. 【答案】 【详解】①以AB为 轴,AD为 轴, 为 轴,建立如图所示的空间坐标系, 则 设 , 由 得 , 所以 , 所以若点 在平面 内运动,则点 所形成的阿氏圆的半径为 . ②设点 ,由 得 , 所以 , 由题得 所以 设平面 的法向量为 , 所以 ,令 ,则 由题得 , 所以点P到平面 的距离为 , 因为 ,所以 ,所以点M到平面 的最小距离为 . 故答案为: ; . 突破十一:立体几何综合问题 1.(2022·陕西·汉阴县第二高级中学一模(理))如图,在多面体 中,底面 为菱形, 平面 , , ,点M在棱 上,且 ,平面 与平面 的夹角为 ,则下列说法错误的是( ) A.平面 平面 B. C.点M到平面 的距离为 D.多面体 的体积为 【答案】D 【详解】对于A选项,取 的中点G,连接 交 于N,连接 , 因为四边形 是菱形,所以 ⊥ ,且N是 的中点, 所以 且 ,又 , 所以 且 , 所以四边形 是平行四边形, 所以 , 又 平面 平面 , 所以 , 又因为 平面 , 所以 ⊥平面 , 所以 平面 , 又 平面 , 所以平面 平面 ,故A正确; 对于B,取 的中点H,由四边形 是菱形, ,则 ,所以 是正三角形, 所以 ,所以 , 又 平面 , 以A为原点, 为坐标轴建立空间直角坐标系, 则 , , 所以 , 所以 , , 当 时, 重合,此时平面 与平面 的夹角为 ,不合题意,舍去; 当 时,设平面 的一个法向量 , 则 , 两式相减得: , 令 ,得 ,故 , 平面 的法向量可取 , 所以 ,解得 ,故B正确; 对于C,结合B,所以 ,则 , 设平面 的一个法向量 ,则 ,解得: ,取 ,得 ,故 , 所以点M到平面 的距离 ,故C正确; 对于D, , 故 , 梯形 的面积为 , , 故 ,故D错误. 故选:D. 2.(2022·全国·模拟预测)在三棱锥 中, 为等边三角形, 平面 , , ,点G是P在平面 内的射影,则异面直线 与 所成角的余弦值为( ) A. B. C. D. 【答案】C 【详解】如图,取 的中点D,连接 , 为等边三角形,∴ , 由题意知 平面 , 平面 , 故 ,又 , ,则 , 所以 ,而 平面 ,所以 平面 , 又 平面 , 所以平面 平面 ,平面 平面 , ∴点P在平面 内的射影在直线 上,连接PG,则 , 在 中, , ,则 , ,故 ,则 ,∴点G是 的重心. 以P为坐标原点,过点P作 的垂线为x轴,以 所在直线分别为 轴建立空间直角坐标系 , 则 , , , , ∴ , , ,则 , ∴ , ∴异面直线 与 所成角的余弦值为 , 故选:C. 另解:同解法一得出点G是 的重心. 如图,取 的中心E,连接EG,则 ,故 , 则异面直线 与 所成的角为 , 因为 平面 ,故 平面 , 连接CE,在 中, , , , ∴ ,故异面直线 与 所成角的余弦值为 , 故选:C. 3.(2022·江西宜春·高二阶段练习(理))在四棱锥 中,底面 是边长为2的正方形, 平面 ,且 .若点 分别为棱 的中点,则下列说法错误的是( ) A. 平面B.直线 和直线 所成的角为 C.过点 的平面与四棱锥 表面交线的周长为 D.当点 在平面 内,且 时,点 的轨迹为一个椭圆 【答案】D 【详解】由题意可知因为 平面 , 平面 , 所以 , 又底面 是边长为2的正方形,所以 ,即 两两垂直, 以 为原点, 为 轴, 轴, 轴建立如图所示坐标系, 所以由题意 , 所以 , 设平面 的法向量 ,所以 ,解得 , 因为 ,所以 平面 ,A正确; 因为 , 所以 , 又因为 ,所以直线 和直线 所成的角为 ,B正确; 延长 与 交于点 ,延长 与 交于点 ,连接 与 交于点 ,连接 与 交于点 ,连 接 ,则过点 的平面与四棱锥 的截面为 , 取 的中点为 ,则 , 又 ,所以 ,所以 , 所以 为 中点,即 为 靠近 的四等分点,同理 为 靠近 的四等分点, 所以 , 则 , 则截面周长为 ,C正确; 因为 ,所以点 到平面 的距离 , 又因为 ,所以点 到平面 的距离 , 设 与平面 交于 ,由A得因为 平面 ,所以 , 所以 , 即 为定值,所以 的轨迹为圆,D错误; 故选:D 4.(多选)(2022·广东·高三阶段练习)在正方体 中,点P在线段 上运动,则下列结 论正确的有( ) A.直线 ⊥平面 B.直线 平面 C.异面直线AP与 所成角的取值范围是 D.三棱锥 体积为定值 【答案】ABD【详解】分别以DA、DC、 为x,y,z轴正方向,建立空间直角坐标系,如图所示, 对于A:设边长为1,则 , , 所以 , 因为 , 所以 ,即 , 又 平面 , 所以直线 平面 ,故A正确; 对于B:因为点M在线段 上运动, 所以设点 ,则 , 由上可知:平面 的法向量为 , ,因为 平面 , 所以直线 平面 ,故B正确; 对于C: ,设异面直线AM与 所成角为 , 所以 , 因为 ,所以当 时, , 当 时, , 因为 ,所以 , 综上 ,所以 ,故C错误; 对于D: 因为 ,点M在线段 上运动, 所以点P到直线 的距离不变,即 的面积不变, 又因为点 到平面 的距离恒为 , 所以点 到平面 的距离不变,即三棱锥的高不变, 所以三棱锥 的体积为定值,而 ,故D正确, 故选:ABD 5.(多选)(2022·湖南省桃源县第一中学高三期中)如图,正方体 棱长为1,点 是线 段 上的一个动点,下列结论中正确的是( ) A.存在点 ,使得 B.三棱锥 的体积为定值 C.若动点 在以点 为球心, 为半径的球面上,则 的最小值为 D.过点 , , 作正方体的截面,则截面多边形的周长的取值范围是 【答案】BCD 【详解】对A选项,在正方体 中,以 为直径的球面,半径 ,则直线 与 该球面没有公共点,故不存在点 ,使得 ,故A选项错误; 对B选项, 因为 ,因为 , 平面 , 平面 ,所以 平面 ,所以点 到平面 的距离即为直线 到平面 的距离,故,故B选项正确; 对C选项, , ,因为 , 所以 ,故C选项正确; 对D选项,当 在 上移动时,截面多边形如图(1)所示,其侧面展开图如图(2)所示, 图(1) 图(2) 当点 位于 点时,即 与 点重合,截面多边形为正三角形 ,此时的周长最小,周长 , 当点 从 点向 点移动时,根据对称性可知,截面多边形的周长先增大后减小,即 点随着点 的移 动至 点时,此时点 为 的中点,截面为平行四边形 ,截面多边形的周长最大,此时周长 为 ,所以截面多边形的周长的取值范围是 ,故D选项正确. 故选:BCD 6.(多选)(2022·广东惠州·高二阶段练习)在棱长为1的正方体 中,已知E为线段 的中点,点F和点P分别满足 , ,其中 ,则下列说法正确的是( ) A.当 时,平面 与平面FAC的夹角余弦值为 B.当 时,四棱锥 的外接球的表面积是 C. 的最小值为 D.存在唯一的实数对 ,使得 平面PDF 【答案】ABD 【详解】对于A,当 时,F为线段 的中点, 以D为坐标原点,DA所在的直线为 轴,DC所在的直线为 轴, 所在的直线为 轴,建立空间直角坐标 系,, , , . , , , 设平面 的法向量为 ,平面ACF的法向量为 , 由 ,即 ,令 ,得 , 同理 ,即 ,令 ,得 , 所以 ,故A正确; 对于B,当 时,点P为正方体的中心,设四棱锥 的外接球的半径为 ,由 , 解得 , 故四棱锥 的外接球的表面积为 ,故选项B正确; 对于C,把问题转化为在平面 内求点P使得 最小,如图,作点E关于线段 的对称点 ,过点 作 、AB的垂线,垂足分别为F和H,交 于点P. 则 ,设 , 结合 , , , ,故 ,故 ,故选项C错误; 对于D,如图建立空间直角坐标系, , , , , , 故 , , , 若 平面PDF, 则 即 , 解得 (舍)或 , 故存在唯一的实数对 ,使得 平面PDF,故选项D正确, 故选:ABD. 7.(2022·对外经济贸易大学附属中学(北京市第九十四中学)高三阶段练习)如图,正方体 的棱长为 , 分别是棱 的中点,过点 的平面分别与直线 交 于点 , 为侧面 (含边界)上的一个动点.给出以下命题:①四边形 一定为菱形; ②四棱锥 的体积为定值; ③平面 与平面 所成的角不大于 ; ④ 的最小值为 . 其中正确命题的序号是______. 【答案】①②④ 【详解】对于①,连接 , 平面 平面 ,平面 平面 ,平面 平面 , ,同理可得: , 四边形 为平行四边形; 分别为 中点, ; 四边形 为正方形, , 又 平面 , 平面 , , , 平面 , 平面 , 平面 ,又 平面 , , 四边形 为菱形,①正确;对于②,由①知:四边形 为菱形, , ; ,点 到平面 的距离为 , ,则 为定值,②正确; 对于③,以 为坐标原点, 正方向为 轴,可建立如图所示空间直角坐标系, 设 ,则 , , , , , 设平面 的法向量 , 则 ,令 ,解得: , , ; 轴 平面 , 平面 的一个法向量 ; , 为平面 与直线 的交点, ; 则当 时, , 平面 与平面 可以大于 ,③错误; 对于④,作出 关于平面 的对称点 ,则 ,平面 平面 ,平面 平面 ,平面 平面 , ,同理可得: , 四边形 为平行四边形, 平面 ,又 平面 , 又平面 平面 , ,又 , , 为 中点,即 , , (当且仅当 三点共线,即 为如图所示 点时 取等号), ,④正确. 故答案为:①②④. 8.(2022·北京·海淀教师进修学校附属实验学校高三阶段练习)如图,在正方体 中, 为棱 的中点.动点 沿着棱 从点 向点 移动,对于下列三个结论: ①存在点 ,使得 ,且这样的点 有两个; ② 的面积越来越小; ③四面体 的体积不变. 所有正确的结论的序号是__________. 【答案】②③ 【详解】以D为坐标原点,DA,DC, 所在直线为x轴,y轴,z轴建立空间直角坐标系,设正方体棱 长为2,则 , ,设 ( ),则 , , 令 ,解得: ,存在唯一一个点P,使得 ,①错误; , , , , 设点P到直线 距离为 ,则 所以 , 因为 ,动点 沿着棱DC从点D向点C移动,即 从0逐渐变到2,随着 的变大, 变小, 的面积越来越小,②正确; 以 为底,高为点P到上底面的距离 ,因为 ∥底面 ,所以h不变,所以四面体 的体积不变,③正确. 故答案为:②③. 9.(2022·北京师大附中高三阶段练习)如图,在正方体 中, 为棱 的中点, 是棱 上的动点(不与端点 , 重合).给出下列说法: ①当 变化时,三棱锥 的体积不变; ②当 变化时,平面 内总存在与平面 平行的直线; ③当 为 中点时,异面直线 与 所成角的余弦值为 ; ④存在点 ,使得直线 .其中所有正确的说法是______. 【答案】①② 【详解】解:由题意 对于① ∵ , ∴N到面 的距离相等,设为d, , ∴三棱锥 的体积为定值,①正确. 对于②, ∵面 与面 有公共点M, ∴面 与面 有一条经过M点的交线, ∴在面 中,作该交线的平行线, 则该直线平行于面 ,②正确. 对于③,设正方体棱长为2, 建立空间直角坐标系如下图所示, , , , , , , , , , , ∴ , ,∴ , ∴当 为 中点时,异面直线 与 所成角的余弦值为 ,③错误. 对于④, 设 ,则 , , 若直线 ⊥面 , , 无解, ∴存在点 ,使得直线 ,④错误. 故答案为:①②. 第三部分:冲刺重难点特训 一、单选题 1.(2022·河北·涉县第一中学高三期中)在棱长为2的正方体中挖掉一个体积最大的圆锥(圆锥的底面在 正方体的底面上),再将该圆锥重新熔成一个圆柱,则该圆柱表面积的最小值为( ) A. B. C. D. 【答案】D 【详解】由题可知体积最大的圆锥的体积为 , 设圆柱的高为 ,底面圆的半径为 ,所以 ,即 . 圆柱的表面积 , 设 则 , 在 上是单调递增的, 易知当 ,即 时, 取得最小值 ,即 最小值为 . 故选: 2.(2022·湖北·高二阶段练习)已知棱长为12的正四面体内有一个正方体玩具,若正方体玩具可以在该 正四面体内任意转动,则这个正方体玩具的棱长最长为( ) A. B. C. D.【答案】D 【详解】如图所示,正四面体 的边长为 , 则正方体 的边长为 , 正四面体 的体积为 , 设其内切球的半径为 ,则 , 解得 . 已知正四面体的棱长为12,若正方体玩具可以在该正四面体内任意转动, 则正方体玩具的外接球为正四面体的内切球,所以内切球的半径 , 内切球的直径 ,内切球的直径也即正方体玩具的体对角线长的最大值, 设此时正方体玩具的边长为 ,则体对角线长为 . 即正方体玩具的棱长最长为 . 故选:D 3.(2022·广东·肇庆市第一中学高三阶段练习)已知正三棱锥 的侧棱长为 ,底面边长为 , 则它的内切球的半径为( ) A. B. C. D. 【答案】B 【详解】如图, 为 的中点, 底面 ,则 为 的中心,底面 的面积 .又 ,所以 ,所以 . 设三棱锥 的内切球的半径为 ,则 ,所以 . 故选:B 4.(2022·湖南·慈利县第一中学高三阶段练习)如下图是一个正八面体,其每一个面都是正三角形,六个 顶点都在球O的球面上,则球O与正八面体的体积之比是( ) A. B. C. D. 【答案】A 【详解】由题意得正方形 的中心 即为外接球球心,设 ,则 , 球 的体积为 , 而 ,故正八面体的体积 , 得 ,故选:A 5.(2022·江西·高二阶段练习)如图,在长方体 中, ,当 时,有 平面 ,则实数 的值为( ) A.1 B.2 C.3 D. 【答案】C 【详解】如下图所示: 以 点为坐标原点, 所在直线分别为 轴, 轴, 轴建立空间直角坐标系;设 , 则 ,设 即 , , 由 得 即 ,所以 则 设平面 的一个法向量为 , ,所以 令 ,则 ;所以 由 平面 可知, ,即 . 所以 . 故选:C6.(2022·湖南岳阳·高二期中)平行六面体 中, 则它的对角线 的长度为( ) A.4 B. C. D. 【答案】D 【详解】由于 ,而 所以 ,将等式两边同时平方得: , , 所以 , 即对角线 的长度为 . 故选:D. 7.(2022·全国·模拟预测)如图,直三棱柱 的底面为正三角形,M,N分别为AC, 的中 点,若 ,则异面直线 与MN所成角的大小为( ) A.30° B.45° C.60° D.90° 【答案】C 【详解】解法一:如图,设直三棱柱 的底面边长为2, ,连接 , 则 , , , 因为 ,所以在 中,由勾股定理可得 ,得 . 连接 , 交于点P,取 的中点Q,连接PQ,AQ,则 , , 所以 为异面直线 与MN所成的角或其补角. 易知 ,故 为等边三角形, , 所以异面直线 与MN所成角的大小为60°. 解法二: 设直三棱柱 的底面边长为2, ,连接 , 则 , , , 因为 ,所以在 中,由勾股定理可得 ,得 . 如图,把三棱柱 补成一个四棱柱 ,连接 , , 则 , ,故 为异面直线 与 所成的角或其补角. 连接AD,易知 ,故 为等边三角形, ,所以异面直线 与 所成角的大小为60°. 解法三 由题可以A为坐标原点,分别以AB, 所在直线为y,z轴, 在平面ABC上过点A作与AB垂直的直线为x轴,建立如图所示的空间直角坐标系, 设直三棱柱 的底面边长为2,高为h,则 , , , , 所以 , , ,由 可得 , 所以 ,得 ,所以 , ,则 , 因为异面直线所成角的取值范围为 ,所以异面直线 与MN所成角的大小为60°. 故选:C 8.(2022·上海·模拟预测)如图,正方体 中,M是 的中点,则( ) A.直线 与直线 相交,直线 平面 B.直线 与直线 平行,直线 平面C.直线 与直线AC异面,直线 平面 D.直线 与直线 垂直,直线 ∥平面 【答案】D 【详解】解:因为 是正方体,不妨设棱长为2,以D为坐标原点,建立如图所示空间直角 坐标系: 则 , , , , , , , , 又M为 的中点,故可得 , , , 设平面 的法向量为 , 则 ,即 ,不妨取 ,故可得 . 设平面 的法向量为 则 ,即 ,不妨取 ,故可得 . 对A:因为 , ,故BM, 不相交,故错误; 对B: , ,不存在非零实数 ,使得 , 故MB, 不平行,故错误; 对C: ,平面 的法向量为 , 不存在非零实数 ,使得 ,故MB与平面 不垂直,故错误; 对D: , ,则 ,故直线MB与 垂直; 又 ,故MB与平面 平行,故正确; 故选:D. 二、多选题9.(2022·辽宁沈阳·高二期中)如图所示,平行六面体 ,其中 , , , ,下列说法中正确的是( ) A. B. C.直线AC与直线 是相交直线 D. 与AC所成角的余弦值为 【答案】AB 【详解】由空间向量运算法则得到: , 所以 , 故 ,A正确; 因为 , 所以 , 故 , ,B正确; 连接 ,因为 ,且 ,所以四边形 为平行四边形, 点 平面 ,而点 平面 , 故直线AC与直线 是异面直线,C错误; , , , 又 , , 故 , 设 与AC所成角为 , 所以 故 与AC所成角的余弦值为 ,D错误. 故选:AB 10.(2022·山东·巨野县第一中学高二期末)已知在直三棱柱 中,底面是一个等腰直角三角 形,且 ,E、F、G、M分别为 的中点.则( ) A. 与平面 夹角余弦值为 B. 与 所成角为 C. 平面EFB D.平面 ⊥平面 【答案】BCD 【详解】如图1,建立空间之间坐标系,设 ,则有: ,∴ , , , , , 设平面ACC A 的法向量为 1 1 则有 ,令x=1,则 , 则 , ∴ 与平面 夹角的正弦值为 ,则余弦值为 ,A错误; ∵ , ∴AB 与BC 所成角的余弦值为 ,则夹角为 ,B正确; 1 1 如图2:连接 ,设 ,连接OF, E、M分别为 的中点,则 且 , ∴ 为平行四边形,则O为 的中点, 又∵F为 的中点,则 ,平面EFB, 平面EFB, ∴ 平面EFB,C正确; 由题可知平面 即为平面 , 由题意可得: , 又 , 平面 , ∴ 平面 , 平面 ,则 , 又∵ 为正方形,则 , 又 , 平面 , 所以 平面 , 平面 , ∴平面 ⊥平面 ,即平面 ⊥平面 ,D正确. 故选:BCD. 11.(2022·山东·泰安市基础教育教学研究室高二期中)如图,四棱柱 的底面ABCD是正 方形,O为底面中心, 平面ABCD, .以O为坐标原点,建立如图所示的空间直角坐标 系,则( ) A. B. 平面 C.平面 的一个法向量为 D.点B到直线 的距离为 【答案】BCD 【详解】依题意, 是正方形, , 与 的交点 为原点, , 在给定的空间直角坐标系中, , 而 ,则点 , ,故 错误; , , 设平面 的法向量 , 则 , 令 ,得 ,故 正确; ,即 平面 ,故 正确; , , , 到 的距离 ,故 正确 故选: 三、填空题 12.(2022·河北南宫中学高三阶段练习)在平行六面体 中,以顶点 为端点的三条棱 、 、 两两夹角都为 ,且 , , , 、 分别为 、 的中点,则 与 所成角的余弦值为__________. 【答案】 【详解】如下图所示: 由题意可得 , , 所以, , ,, 所以, . 因此, 与 所成角的余弦值为 . 故答案为: . 13.(2022·江苏南通·高三阶段练习)如图为某公园供游人休息的石凳,它可以看做是一个正方体截去八 个一样的四面体得到的,它的表面是由正三角形和正方形组成,设被截正方体的棱长为2a,若球О以该几 何体的中心为球心,且与正三角形表面相切,则该球被其中一个正方形表面截得的截面面积为__________. 【答案】 【详解】如图建系, , , , , , 四面体OABM为正四面体,O到平面ABM距离 , 易知球心 到正方形 所在平面的距离为 , 球被正方体ABCD截得的圆为圆 , , .故答案为: . 14.(2022·北京·杨镇第一中学高二期中)在棱长为1的正方体 中, , 分别为 , 的中点,点 在正方体的表面上运动,且满足 ,给出下面四个结论: ①点 可以是棱 的四等分点,且靠近点 ; ②线段 的最大值为 ; ③点 的轨迹是正方形; ④点 轨迹的长度为 . 则其中所有正确结论的序号是________. (注:本题给出的结论中,有多个符合题目要求.全部选对得5分,不选或有错选得0分,其他得3分) 【答案】①④ 【详解】解:在正方体 中,以 为坐标原点建立空间直角坐标系, ∵该正方体的棱长为1, , 分别为 , 的中点, ∴ , , , ,∴ , 设 ,则 , ∵ ,∴ ,即当 时, ,当 时, , 取 , , , , 连接 , , , , 则 , , ∴四边形 为矩形,则 , , 即 , , 又 和 为平面 中的两条相交直线, ∴ 平面 , 又 , , ∴ 为 的中点,则 平面 , 为使 ,必有点 平面 , 又点 在正方体表面上运动,∴点 的轨迹为四边形 , 因此点 可以是棱 的四等分点,且靠近点 ,故选项①正确; 又 , , ∴ ,则点 的轨迹不是正方形且矩形 周长为 , 故选项③错误,选项④正确; ∵ , , 又 ,则 ,即 , ∴ ,点 在正方体表面运动, 则 ,解 , ∴ , 故当 或 , 或1, 取得最大值为 ,故②错误. 故答案为:①④. 四、双空题15.(2022·湖北·武汉市第十七中学高二期中)如图1, 是平行四边形, ,如图2,把平行四边形沿对角线 折起,则三棱锥 体积的最大值为______________.若 与 成 角,则 的长为______________. 【答案】 或 【详解】由已知得,对于三棱锥 ,当 平面 时,三棱锥 体积的最大,由 , 是平行四边形,可得, ,故 ; ,又因为 与 成 角,故 或 ,且 , , , 故 或 , 则 或 故答案为:① ;② 或 ; 16.(2022·天津河北·高二期中)在棱长为2的正方体 中,E为 的中点,以D为原 点, 所在直线分别为x轴,y轴,z轴,建立如图所示的空间直角坐标系,则点 到直线 的 距离为______________;点D到平面 的距离为______________.【答案】 【详解】由题意知: , 所以 , , 所以 , 所以点 到直线 的距离为 ; 由题意知: , 所以 , 记平面 的法向量为 , 则 ,取 ,则 , , 此时 , 又 , 所以点D到平面 的距离 . 故答案为: , .