当前位置:首页>文档>专题26.5反比例函数章末七大题型总结(培优篇)(人教版)(学生版)_初中数学_九年级数学下册(人教版)_母题专项-U66_2024版

专题26.5反比例函数章末七大题型总结(培优篇)(人教版)(学生版)_初中数学_九年级数学下册(人教版)_母题专项-U66_2024版

  • 2026-04-29 11:49:41 2026-03-25 07:37:28

文档预览

专题26.5反比例函数章末七大题型总结(培优篇)(人教版)(学生版)_初中数学_九年级数学下册(人教版)_母题专项-U66_2024版
专题26.5反比例函数章末七大题型总结(培优篇)(人教版)(学生版)_初中数学_九年级数学下册(人教版)_母题专项-U66_2024版
专题26.5反比例函数章末七大题型总结(培优篇)(人教版)(学生版)_初中数学_九年级数学下册(人教版)_母题专项-U66_2024版
专题26.5反比例函数章末七大题型总结(培优篇)(人教版)(学生版)_初中数学_九年级数学下册(人教版)_母题专项-U66_2024版
专题26.5反比例函数章末七大题型总结(培优篇)(人教版)(学生版)_初中数学_九年级数学下册(人教版)_母题专项-U66_2024版
专题26.5反比例函数章末七大题型总结(培优篇)(人教版)(学生版)_初中数学_九年级数学下册(人教版)_母题专项-U66_2024版
专题26.5反比例函数章末七大题型总结(培优篇)(人教版)(学生版)_初中数学_九年级数学下册(人教版)_母题专项-U66_2024版
专题26.5反比例函数章末七大题型总结(培优篇)(人教版)(学生版)_初中数学_九年级数学下册(人教版)_母题专项-U66_2024版
专题26.5反比例函数章末七大题型总结(培优篇)(人教版)(学生版)_初中数学_九年级数学下册(人教版)_母题专项-U66_2024版
专题26.5反比例函数章末七大题型总结(培优篇)(人教版)(学生版)_初中数学_九年级数学下册(人教版)_母题专项-U66_2024版
专题26.5反比例函数章末七大题型总结(培优篇)(人教版)(学生版)_初中数学_九年级数学下册(人教版)_母题专项-U66_2024版
专题26.5反比例函数章末七大题型总结(培优篇)(人教版)(学生版)_初中数学_九年级数学下册(人教版)_母题专项-U66_2024版

文档信息

文档格式
docx
文档大小
2.323 MB
文档页数
12 页
上传时间
2026-03-25 07:37:28

文档内容

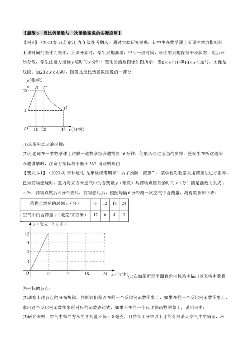
专题 26.5 反比例函数章末七大题型总结(培优篇) 【人教版】 【题型1 反比例函数k的几何意义】......................................................................................................................1 【题型2 反比例函数图象上点的坐标特征的运用】.............................................................................................2 【题型3 反比例函数的图像与性质的运用】.........................................................................................................3 【题型4 反比例函数与一次函数图象的综合判断】.............................................................................................4 【题型5 反比例函数与一次函数图象的交点问题】.............................................................................................6 【题型6 反比例函数与一次函数图象的实际应用】.............................................................................................7 【题型7 反比例函数与一次函数的其他综合运用】.............................................................................................9 【题型1 反比例函数k的几何意义】 2 【例1】(2023春·湖南衡阳·九年级校考期中)如下图,过反比例函数y= (x>0)图像上的一点A作y x k 轴的平行线交反比例函数y= (x>0)于点B,连接OA、OB.若S =3,则k的值为( ) x △AOB A.4 B.-2 C.-4 D.-1 【变式1-1】(2023春·江苏无锡·九年级统考期末)如图,在平面直角坐标系中有一个6×2的矩形ABCD 3 网格,每个小正方形的边长都是1 个单位长度,反比例函数y=- (x<0)的图像经过格点E(小正方形 2x5 的顶点),反比例函数y= (x>0)的图像经过格点F,同时还经过矩形ABCD的边CD上的G点,连接 2x EG,FG,则△EFG的面积为 . 【变式1-2】(2023秋·河南开封·九年级开封市第十三中学校考期末)如图,点A是反比例函数 m n y= (x<0)图象上一点,AC⊥x轴于点C,与反比例函数 y= (x<0)图象交于点B,AC=3BC,连 x x 接OA,OB,若△OAB的面积为2,则m+n=( ) A.-4 B.-8 C.-10 D.-12 6 【变式1-3】(2023春·黑龙江大庆·九年级校考期末)如图,A、B是函数y= 上两点,P为一动点,作 x PB∥y轴,PA∥x轴,下列说法正确的是( ) ①△AOP≌△BOP;②S =S ;③若OA=OB,则OP平分∠AOB;④若S =2,则S =8 △AOP △BOP △BOP △ABP A.①③ B.②③ C.②④ D.③④ 【题型2 反比例函数图象上点的坐标特征的运用】 【例2】(2023春·江苏常州·九年级统考期末)已知反比例函数的图象经过三个点(﹣3,﹣4)、(2m,y)、(6m,y),其中m>0,当y﹣y=4时,则m= . 1 2 1 2 k 【变式2-1】(2023秋·辽宁沈阳·九年级统考期中)已知反比例函数y= (k≠0),在每一个象限内,y随x x 的增大而增大,则下列点可能在这个函数图象上的为( ) A.(2,3) B.(-2,3) C.(0,3) D.(-2,0) 【变式2-2】(2023秋·广西北海·九年级统考期中)如图,点A是反比例函数图象上一点,则下列各点在该 函数图象上的是( ) ( 1) A.(-1,-1) B.(1,-1) C. 2, D.(-2,1) 2 【变式2-3】(2023秋·黑龙江哈尔滨·九年级校考期中)在平面直角坐标系中,点A(-2,3),B(3,2), k C(-6,m)分别在三个不同的象限,若反比例函数y= (k≠0)的图象经过其中两点则m的值为( ) x A.1 B.-1 C.-6 D.6 【题型3 反比例函数的图像与性质的运用】 k 【例3】(2023春·浙江温州·九年级统考期末)已知反比例函数y= (k≠0),当-2≤x≤-1时,y的最大 x 值是4,则当x≥2时,y有( ) A.最小值-4 B.最小值-2 C.最大值-4 D.最大值-2 3 【变式3-1】(2023秋·河南三门峡·九年级统考期末)已知反比例函数y= ,下列结论中不正确的是 x ( ) A.其图象经过点(-1,-3) B.其图象分别位于第一、第三象限 C.当x>1时,0 时,x的取值范围是:______ x-1 2 【题型4 反比例函数与一次函数图象的综合判断】 【例4】(2023春·广东中山·九年级广东省中山市中港英文学校校考期中)已知一次函数y=kx+m(k,m m 为常数,k≠0)的图像如图所示,则正比例函数y=-kx和反比例函数y= 在同一坐标系中的图像大致是 x ( )A. B. C. D. k 【变式4-1】(2023春·上海静安·九年级上海市回民中学校考期中)若反比例函数y= (x>0),y随x增大 x 而增大,则y=kx-2的图像大致是( ) A. B. C. D. m 【变式4-2】(2023秋·湖南怀化·九年级统考期中)函数y= 与y=m(x-1)(m≠0)在同一平面直角坐标 x 系中的图象可能是( ) A. B. C. D.k 【变式4-3】(2023春·江苏苏州·九年级校考期中)如图所示,满足函数y=kx-k和y= (k≠0)的大致图 x 像是( ) A.①② B.②③ C.②④ D.①④ 【题型5 反比例函数与一次函数图象的交点问题】 【例5】(2023春·吉林长春·九年级吉林大学附属中学校考期中)如图,在平面直角坐标系中,一次函数 k y=k x+b(k ≠0)的图象与反比例函数y= 2(k ≠0)的图象交于A(m,2)、B(-2,-1),与y轴交于点C. 1 1 x 2 (1)求k 、k 及b的值; 1 2 (2)△AOB的面积为______. m 【变式5-1】(2023春·河南南阳·九年级统考期中)如图,A、B两点在函数y = (x>0)的图象上. 1 x(1)求m的值及直线AB的解析式y =kx+b. 2 m (2)当kx+b≥ (x>0)时,自变量x的取值范围是______. x (3)如果一个点的横、纵坐标均为整数,那么我们称这个点为格点,请直接写出图中阴影部分(不包括边 界)所含格点的个数. 1 (4)请在右图中画出函数y =mx的图象并写出当x= 时y 、y 、y 的大小关系. 3 2 1 2 3 5 【变式5-2】(2023春·江苏淮安·九年级统考期中)如图,将反比例函数y= (x>0)的图象绕坐标原点 x 1 (0,0)顺时针旋转45°,旋转后的图象与x轴相交于A点,若直线y= x与旋转后的图象相交于B,则 2 △OAB的面积为 . 【变式5-3】(2023春·湖南株洲·九年级校考期末)如图,在平面直角坐标系中,一次函数 m y =kx+b(k≠0)的图象与反比例函数y = (m≠0)的图象相交于第一,三象限内的A(3,5), 1 2 x B(a,-3),与x轴交于点C. (1)求该反比例函数和一次函数的表达式; (2)在y轴上找一点P使PB-PC最大,求PB-PC的最大值.【题型6 反比例函数与一次函数图象的实际应用】 【例6】(2023春·江苏宿迁·九年级统考期末)通过实验研究发现:初中生在数学课上听课注意力指标随 上课时间的变化而变化,上课开始时,学生兴趣激增,中间一段时间,学生的兴趣保持平稳状态,随后开 始分散,学生注意力指标y随时间x分钟)变化的函数图像如图所示,当0≤x<10和10≤x<20时,图像是 线段;当20≤x≤45时,图像是反比例函数图像的一部分. (1)求图中点A的坐标; (2)王老师在一节数学课上讲解一道数学综合题需要16分钟,他能否经过适当的安排,使学生在听这道综 合题讲解时,注意力指标都不低于36?请说明理由. 【变式6-1】(2023秋·吉林通化·九年级统考期末)为了预防“流感”,某学校对教室采用药熏法进行消毒, 已知药物燃烧时,室内每立方米空气中的含药量y(毫克)与药物点燃后的时间x(分)满足函数关系式y =2x,药物点燃后6分钟燃尽,药物燃尽后,校医每隔6分钟测一次空气中含药量,测得数据如下表: 药物点燃后的时间x(分) 6 12 18 24 空气中的含药量y(毫克/立方米) 12 6 4 3 (1)在如图所示平面直角坐标系中描出以表格中数据 为坐标的各点; (2)观察上述各点的分布规律,判断它们是否在同一个反比例函数图象上,如果在同一个反比例函数图象上, 求出这个反比例函数图象所对应的函数表达式,如果不在同一个反比例函数图象上,说明理由; (3)研究表明:空气中每立方米的含药量不低于8毫克,且持续4分钟以上才能有效杀灭空气中的病菌,应用上述发现的规律估算此次消毒能否有效杀灭空气中的病菌? 【变式6-2】(2023秋·河北邢台·九年级校考期末)某品牌热水器中,原有水的温度为20°C,开机通电, 热水器启动开始加热(加热过程中水温y°C与开机时间x分钟满足一次函数关系),当加热到80°C时自 动停止加热,随后水温开始下降(水温下降过程中水温y°C与开机时间x分钟成反比例函数关系).当水 温降至30°C时,热水器又自动以相同的功率加热至80°C……重复上述过程,如图,根据图像提供的信息, 则 (1)当0≤x≤15时,水温y°C开机时间x分钟的函数表达式 ; (2)当水温为30°C时,t= ; (3)通电60分钟时,热水器中水的温度y约为 . 【变式6-3】(2023春·江苏南京·九年级南师附中新城初中校考期末)如图①,有一块边角料ABCDE,其 中AB,BC,DE,EA是线段,曲线CD可以看成反比例函数图象的一部分.测量发现:∠A=∠E=90°, AE=5,AB=DE=1,点C到AB,AE所在直线的距离分别为2,4. (1)小宁把A,B,C,D,E这5个点先描到平面直角坐标系上,记点A的坐标为(-1,0);点B的坐标为 (-1,1). 请你在图②中补全平面直角坐标系并画出图形ABCDE; (2)求直线BC,曲线CD的函数表达式; (3)小宁想利用这块边角料截取一个矩形MNQP,其中M,N在AE上(点M在点N左侧),点P在线段5 BC上,点Q在曲线CD上.若矩形MNQP的面积是 ,则PM=________________. 3 【题型7 反比例函数与一次函数的其他综合运用】 k 【例7】(2023春·山东济南·九年级统考期末)如图1,点A(m,6),B(6,1)在反比例函数y= 上,作直线 x AB,交坐标轴于点M、N,连接OA、OB. (1)求反比例函数的表达式和m的值; (2)求△AOB的面积; (3)如图2,E是线段AB上一点,作AD⊥x轴于点D,过点E作EF∥AD,交反比例函数图象于点F,若 1 EF= AD,求出点E的坐标. 3 1 【变式7-1】(2023春·黑龙江大庆·九年级统考期中)如图,点A ,A ,A …在反比例函数y= (x>0)的 1 2 3 x 图象上,点B ,B ,B ,…B 在y轴上,且∠B OA =∠B B A =∠B B A =⋅⋅⋅⋅⋅⋅,直线y=x 1 2 3 n 1 1 2 1 2 3 2 3 1 与双曲线y= 交于点A ,B A ⊥OA ,B A ⊥B A ,B A ⊥B A …,则B (n为正整数)的坐标 x 1 1 1 1 2 2 1 2 3 3 2 3 n 是 .【变式7-2】(2023春·江苏苏州·九年级星海实验中学校考期中)【阅读理解】把一个函数图象上每个点的 纵坐标变为原来的倒数(原函数图象上纵坐标为0的点除外)、横坐标不变,可以得到另一个函数的图象, 我们称这个过程为倒数变换. 1 【知识运用】如图1,将y=x的图象经过倒数变换后可得到y= 的图象(部分).特别地,因为y=x图 x 1 象上纵坐标为0的点是原点,所以该点不作变换,因此y= 的图象上也没有纵坐标为0的点.小明在求 x 1 y=x的图象与y= 的交点时速用了开平方的定义:¿,得x2=1,解得x=±1,则图象交点坐标为(1,1)或 x (-1,-1). 【拓展延伸】请根据上述阅读材料完成: (1)请在图2的平面直角坐标系中画出y=x+1的图象和它经过倒数变换后的图象. (2)设函数y=x+1的图象和它经过倒数变换后的图象的交点为A,B(点A在左边),直接写出其坐标. A______,B______; (3)设C(-1,m),且S =4,求m. △ABC 【变式7-3】(2023春·江苏泰州·九年级统考期末)在学习反比例函数后,小华在同一个平面直角坐标系中 9 画出了y= (x>0)和y=-x+10的图像,两个函数图像交于A(1,9),B(9,1)两点,在线段AB上选取 x 一点P,过点P作y轴的平行线交反比例函数图像于点Q(如图1),在点P移动的过程中,发现PQ的长 度随着点P的运动而变化.为了进一步研究PQ的长度与点P的横坐标之间的关系,小华提出了下列问题:(1)设点P的横坐标为x,PQ的长度为y,则y与x之间的函数关系式为______(1≤x≤9); (2)为了进一步研究(1)中的函数关系,决定运用列表,描点,连线的方法绘制函数的图像: ①列表: 3 9 x 1 2 3 4 6 9 2 2 5 15 7 y 0 m 4 n 0 2 4 2 表中m=______,n=______; ②描点:根据上表中的数据,在图2中描出各点; ③连线:请在图2中画出该函数的图像.观察函数图像,当x=______时,y的最大值为______. 18 (3)①已知某矩形的一组邻边长分别为m,n,且该矩形的周长W与n存在函数关系W =- +24,求m取 n 最大值时矩形的对角线长. 2 6 ②如图3,在平面直角坐标系中,直线y=- x-2与坐标轴分别交于点A、B,点M为反比例函数y= 3 x (x>0)上的任意一点,过点M作MC⊥x轴于点C,MD⊥y轴于点D.求四边形ABCD面积的最小值.