当前位置:首页>文档>第一篇专题7第17讲 电学实验_4.2025物理总复习_2023年新高复习资料_二轮复习_2023年高考物理二轮复习讲义+课件(新高考版)_2023年高考物理二轮复习讲义(新高考版)_学生版

第一篇专题7第17讲 电学实验_4.2025物理总复习_2023年新高复习资料_二轮复习_2023年高考物理二轮复习讲义+课件(新高考版)_2023年高考物理二轮复习讲义(新高考版)_学生版

  • 2026-04-01 09:58:33 2026-03-25 17:40:39

文档预览

第一篇专题7第17讲 电学实验_4.2025物理总复习_2023年新高复习资料_二轮复习_2023年高考物理二轮复习讲义+课件(新高考版)_2023年高考物理二轮复习讲义(新高考版)_学生版
第一篇专题7第17讲 电学实验_4.2025物理总复习_2023年新高复习资料_二轮复习_2023年高考物理二轮复习讲义+课件(新高考版)_2023年高考物理二轮复习讲义(新高考版)_学生版
第一篇专题7第17讲 电学实验_4.2025物理总复习_2023年新高复习资料_二轮复习_2023年高考物理二轮复习讲义+课件(新高考版)_2023年高考物理二轮复习讲义(新高考版)_学生版
第一篇专题7第17讲 电学实验_4.2025物理总复习_2023年新高复习资料_二轮复习_2023年高考物理二轮复习讲义+课件(新高考版)_2023年高考物理二轮复习讲义(新高考版)_学生版
第一篇专题7第17讲 电学实验_4.2025物理总复习_2023年新高复习资料_二轮复习_2023年高考物理二轮复习讲义+课件(新高考版)_2023年高考物理二轮复习讲义(新高考版)_学生版

文档信息

文档格式
docx
文档大小
0.826 MB
文档页数
5 页
上传时间
2026-03-25 17:40:39

文档内容

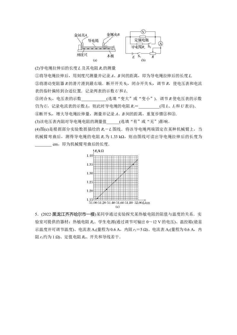
第 17 讲 电学实验 [保分基础练] 1.(2022·北京市东城区高三期末)(1)某实验小组想要测定某种金属的电阻率,他们选取了该 材料一段粗细均匀的金属丝进行粗测,选用多用电表“×1”欧姆挡测量其阻值,示数如图. 读出金属丝的电阻值为________Ω. (2)已知实验中所用的滑动变阻器阻值范围为0~10 Ω,电流表内阻约几欧,电压表内阻约 20 kΩ.电源为干电池组,则以下电路图中应当采用________(选填“甲”或“乙”)电路进行 实验.但用该电路测量电阻的结果仍然会有误差,会比真实值偏________. (3)实验正确操作获得金属丝的长度 L、直径D、电流表读数I、电压表读数U,则此材料电 阻率的表达式为ρ=__________(用题中字母表示). 2.(2022·辽宁营口市高三期末)某兴趣小组想测量电阻R 的阻值(约为1千欧) x (1)该小组设计了如图所示的电路图,其中电流表满偏电流为I ,内阻为R .在该实验中,认 0 A 为当变阻器的滑片P不动时,无论电阻箱的阻值如何增减,a、P两点间的电压保持不变; 请从下列滑动变阻器中选择最恰当的是______(填“A”“B”或“C”); A.变阻器A(0~2 000 Ω) B.变阻器B(0~200 Ω) C.变阻器C(0~5 Ω) (2)连接好线路后,先将变阻器滑片P调到最左端,并将电阻箱R的阻值调到________(填 “0”或“最大”),然后闭合开关S,调节P,使电流表满偏,此后滑片P保持不动; (3)在保证滑动变阻器滑片不动的前提下,调节电阻箱 R的阻值,记录多组电阻箱R的阻值和对应的电流值,以R为横坐标、为纵坐标进行描点、连线得到一条倾斜直线,已知该直 线的斜率为k,则待测电阻R=________(用题中给出的字母表示). x 3.(2022·江苏泰州市高三期末)图甲为某同学测量一节干电池的电动势和内电阻的电路图. (1)若电路中电阻箱R 的示数如图乙所示,其阻值为________ Ω. 1 (2)虚线框内为用毫安表改装成电流表的电路,已知:毫安表内阻为 10 Ω、满偏电流为100 mA,若R 阻值为2.5 Ω,则改装后电流表的量程为________ mA. 1 (3)实验步骤如下: ①将滑动变阻器R的滑片移到________端(选填“左”或“右”); ②闭合开关S,将电阻箱R 的阻值由图乙阻值调为2.5 Ω,操作正确的是________(选填选项 1 前字母); A.先将“×10挡”中3调至0,再将“×1挡”调至2,“×0.1挡”调至5 B.先将“×1挡”调至2,“×0.1挡”调至5,再将“×10挡”中3调至0 ③多次调节滑动变阻器的滑片,记下电压表的示数U和毫安表的示数I.某次测量时毫安表的 示数如图丙所示,其读数为________ mA; ④以U为纵坐标,I为横坐标,作出U-I图像如图丁所示,根据图像求得干电池的电动势E =________ V,内阻r=________ Ω. [争分提能练] 4.(2022·广东卷·12)弹性导电绳逐步成为智能控制系统中部分传感器的敏感元件,某同学测 量弹性导电绳的电阻与拉伸后绳长之间的关系,实验过程如下: (1)装置安装和电路连接 如图(a)所示,导电绳的一端固定,另一端作为拉伸端,两端分别用带有金属夹 A、B的导线 接入如图(b)所示的电路中.(2)导电绳拉伸后的长度L及其电阻R 的测量 x ①将导电绳拉伸后,用刻度尺测量并记录A、B间的距离,即为导电绳拉伸后的长度L. ②将滑动变阻器R的滑片滑到最右端.断开开关S,闭合开关S,调节R,使电压表和电流 2 1 表的指针偏转到合适位置.记录两表的示数U和I. 1 ③闭合S ,电压表的示数____________(选填“变大”或“变小”).调节R使电压表的示数 2 仍为U,记录电流表的示数I,则此时导电绳的电阻R=__________(用I、I 和U表示). 2 x 1 2 ④断开S,增大导电绳拉伸量,测量并记录A、B间的距离,重复步骤②和③. 1 (3)该电压表内阻对导电绳电阻的测量值______(选填“有”或“无”)影响. (4)图(c)是根据部分实验数据描绘的R-L图线.将该导电绳两端固定在某种机械臂上,当 x 机械臂弯曲后,测得导电绳的电阻R 为1.33 kΩ,则由图线可读出导电绳拉伸后的长度为 x ________ cm,即为机械臂弯曲后的长度. 5.(2022·黑龙江齐齐哈尔市一模)某同学通过实验探究某热敏电阻的阻值与温度的关系.实 验室可提供的器材:热敏电阻R、学生电源(通过调节可输出0~12 V的电压)、温控箱(能显 x 示温度并可调节温度)、电流表A(量程为0.6 A,内阻r=5 Ω)、电流表A(量程为0.6 A,内 1 1 2 阻r 约为1 Ω)、定值电阻R、开关和导线若干. 2 0(1)为了更准确地描述出热敏电阻R 随温度变化的关系,请将电流表A 和A 填在如图甲所 x 1 2 示的电路图圆圈中的合适位置. (2)闭合开关S,记下电流表A 的读数为I ,电流表A 的读数为I =________ A(如图乙所示), 1 1 2 2 则R=________________(用题中所给相关物理量的字母表示). x (3)实验中多次改变温控箱的温度,分别测出了热敏电阻在不同温度下的阻值,得到了如图 丙所示的R -t图像.根据所给的R -t图像可以看出,该热敏电阻的阻值与温度的关系式 x x 是R =______ Ω.由图像分析可知,当温控箱中的温度达到 525 ℃时(热敏电阻仍遵循此规 x 律),此时热敏电阻的阻值为R=______ Ω(保留3位有效数字). x 6.(2022·山东威海市高三期末)某同学采用如图甲所示的电路测定未知电阻R,其中R 、R x 1 2 为定值电阻,R 为电阻箱,G为灵敏电流计,实验步骤如下: 3 (1)实验前,先用多用电表粗测R 的阻值,用“×100”挡时发现指针偏转角过小,他应换用 x ________(选填“×10”或“×1 k”)挡; (2)按图甲将图乙中的实物连线补充完整; (3)闭合开关,调整电阻箱的阻值,当电阻箱读数为 R 时,灵敏电流计G的示数为零,此时 0 A、B两点电势______(填“相等”或“不相等”),测得R=______(用R、R、R 表示); x 1 2 0 (4)实验中有同学怀疑R 、R 所标读数不准确,于是他在(3)中读出电阻箱的阻值R 后,将电 1 2 0 路中的电阻箱和R 互换位置,再次调整电阻箱的阻值.当电阻箱的读数为R′时,灵敏电 x 0流计G的示数再次为零,则R=________(用R、R′表示). x 0 0 7.(2022·山西太原市高三期末)新买的橙子特别酸,晓亮同学感觉它适合用来做水果电池. 为验证这一猜想,晓亮将铜片和锌片分别插入橙子,制作了一个水果电池,设计了图甲的电 路测量该电池的电动势E和内阻r.已知电压表的量程为500 mV、内阻R =2 000 Ω,电阻箱 V R的调节范围为0~9 999 Ω,完成下列填空: (1)为保证电压表的安全,闭合开关前,电阻箱的阻值应调整为________(选填“最大值” “最小值”或“任意值”); (2)闭合开关,调节电阻箱的阻值,记下多组电压表的示数U和相应电阻箱的阻值R,算出 的值.以为纵坐标、R为横坐标,作出的-R图像如图乙所示,则U与E、r的关系式为 ____________(用R、R 等物理量的符号表示); V (3)根据图线可求得:E=__________ V,r=________ kΩ;(结果均保留2位有效数字) (4)将得到的数据与其他橙子做的水果电池比较,发现橙子越酸,其电动势越大,说明水果 的酸度越大,将化学能转化为电能的本领越强.