当前位置:首页>文档>素养拓展32椭圆、双曲线中的焦点三角形问题(精讲+精练)一轮复习讲义2024年高考数学高频考点题型归纳与方法总结(新高考通用)解析版_2.2025数学总复习_2024年新高考资料

素养拓展32椭圆、双曲线中的焦点三角形问题(精讲+精练)一轮复习讲义2024年高考数学高频考点题型归纳与方法总结(新高考通用)解析版_2.2025数学总复习_2024年新高考资料

  • 2026-04-03 07:48:41 2026-03-27 01:14:46

文档预览

素养拓展32椭圆、双曲线中的焦点三角形问题(精讲+精练)一轮复习讲义2024年高考数学高频考点题型归纳与方法总结(新高考通用)解析版_2.2025数学总复习_2024年新高考资料
素养拓展32椭圆、双曲线中的焦点三角形问题(精讲+精练)一轮复习讲义2024年高考数学高频考点题型归纳与方法总结(新高考通用)解析版_2.2025数学总复习_2024年新高考资料
素养拓展32椭圆、双曲线中的焦点三角形问题(精讲+精练)一轮复习讲义2024年高考数学高频考点题型归纳与方法总结(新高考通用)解析版_2.2025数学总复习_2024年新高考资料
素养拓展32椭圆、双曲线中的焦点三角形问题(精讲+精练)一轮复习讲义2024年高考数学高频考点题型归纳与方法总结(新高考通用)解析版_2.2025数学总复习_2024年新高考资料
素养拓展32椭圆、双曲线中的焦点三角形问题(精讲+精练)一轮复习讲义2024年高考数学高频考点题型归纳与方法总结(新高考通用)解析版_2.2025数学总复习_2024年新高考资料
素养拓展32椭圆、双曲线中的焦点三角形问题(精讲+精练)一轮复习讲义2024年高考数学高频考点题型归纳与方法总结(新高考通用)解析版_2.2025数学总复习_2024年新高考资料
素养拓展32椭圆、双曲线中的焦点三角形问题(精讲+精练)一轮复习讲义2024年高考数学高频考点题型归纳与方法总结(新高考通用)解析版_2.2025数学总复习_2024年新高考资料
素养拓展32椭圆、双曲线中的焦点三角形问题(精讲+精练)一轮复习讲义2024年高考数学高频考点题型归纳与方法总结(新高考通用)解析版_2.2025数学总复习_2024年新高考资料
素养拓展32椭圆、双曲线中的焦点三角形问题(精讲+精练)一轮复习讲义2024年高考数学高频考点题型归纳与方法总结(新高考通用)解析版_2.2025数学总复习_2024年新高考资料
素养拓展32椭圆、双曲线中的焦点三角形问题(精讲+精练)一轮复习讲义2024年高考数学高频考点题型归纳与方法总结(新高考通用)解析版_2.2025数学总复习_2024年新高考资料
素养拓展32椭圆、双曲线中的焦点三角形问题(精讲+精练)一轮复习讲义2024年高考数学高频考点题型归纳与方法总结(新高考通用)解析版_2.2025数学总复习_2024年新高考资料
素养拓展32椭圆、双曲线中的焦点三角形问题(精讲+精练)一轮复习讲义2024年高考数学高频考点题型归纳与方法总结(新高考通用)解析版_2.2025数学总复习_2024年新高考资料
素养拓展32椭圆、双曲线中的焦点三角形问题(精讲+精练)一轮复习讲义2024年高考数学高频考点题型归纳与方法总结(新高考通用)解析版_2.2025数学总复习_2024年新高考资料
素养拓展32椭圆、双曲线中的焦点三角形问题(精讲+精练)一轮复习讲义2024年高考数学高频考点题型归纳与方法总结(新高考通用)解析版_2.2025数学总复习_2024年新高考资料
素养拓展32椭圆、双曲线中的焦点三角形问题(精讲+精练)一轮复习讲义2024年高考数学高频考点题型归纳与方法总结(新高考通用)解析版_2.2025数学总复习_2024年新高考资料
素养拓展32椭圆、双曲线中的焦点三角形问题(精讲+精练)一轮复习讲义2024年高考数学高频考点题型归纳与方法总结(新高考通用)解析版_2.2025数学总复习_2024年新高考资料
素养拓展32椭圆、双曲线中的焦点三角形问题(精讲+精练)一轮复习讲义2024年高考数学高频考点题型归纳与方法总结(新高考通用)解析版_2.2025数学总复习_2024年新高考资料
素养拓展32椭圆、双曲线中的焦点三角形问题(精讲+精练)一轮复习讲义2024年高考数学高频考点题型归纳与方法总结(新高考通用)解析版_2.2025数学总复习_2024年新高考资料
素养拓展32椭圆、双曲线中的焦点三角形问题(精讲+精练)一轮复习讲义2024年高考数学高频考点题型归纳与方法总结(新高考通用)解析版_2.2025数学总复习_2024年新高考资料
素养拓展32椭圆、双曲线中的焦点三角形问题(精讲+精练)一轮复习讲义2024年高考数学高频考点题型归纳与方法总结(新高考通用)解析版_2.2025数学总复习_2024年新高考资料
素养拓展32椭圆、双曲线中的焦点三角形问题(精讲+精练)一轮复习讲义2024年高考数学高频考点题型归纳与方法总结(新高考通用)解析版_2.2025数学总复习_2024年新高考资料
素养拓展32椭圆、双曲线中的焦点三角形问题(精讲+精练)一轮复习讲义2024年高考数学高频考点题型归纳与方法总结(新高考通用)解析版_2.2025数学总复习_2024年新高考资料
素养拓展32椭圆、双曲线中的焦点三角形问题(精讲+精练)一轮复习讲义2024年高考数学高频考点题型归纳与方法总结(新高考通用)解析版_2.2025数学总复习_2024年新高考资料
素养拓展32椭圆、双曲线中的焦点三角形问题(精讲+精练)一轮复习讲义2024年高考数学高频考点题型归纳与方法总结(新高考通用)解析版_2.2025数学总复习_2024年新高考资料
素养拓展32椭圆、双曲线中的焦点三角形问题(精讲+精练)一轮复习讲义2024年高考数学高频考点题型归纳与方法总结(新高考通用)解析版_2.2025数学总复习_2024年新高考资料
素养拓展32椭圆、双曲线中的焦点三角形问题(精讲+精练)一轮复习讲义2024年高考数学高频考点题型归纳与方法总结(新高考通用)解析版_2.2025数学总复习_2024年新高考资料
素养拓展32椭圆、双曲线中的焦点三角形问题(精讲+精练)一轮复习讲义2024年高考数学高频考点题型归纳与方法总结(新高考通用)解析版_2.2025数学总复习_2024年新高考资料
素养拓展32椭圆、双曲线中的焦点三角形问题(精讲+精练)一轮复习讲义2024年高考数学高频考点题型归纳与方法总结(新高考通用)解析版_2.2025数学总复习_2024年新高考资料
素养拓展32椭圆、双曲线中的焦点三角形问题(精讲+精练)一轮复习讲义2024年高考数学高频考点题型归纳与方法总结(新高考通用)解析版_2.2025数学总复习_2024年新高考资料
素养拓展32椭圆、双曲线中的焦点三角形问题(精讲+精练)一轮复习讲义2024年高考数学高频考点题型归纳与方法总结(新高考通用)解析版_2.2025数学总复习_2024年新高考资料
素养拓展32椭圆、双曲线中的焦点三角形问题(精讲+精练)一轮复习讲义2024年高考数学高频考点题型归纳与方法总结(新高考通用)解析版_2.2025数学总复习_2024年新高考资料
素养拓展32椭圆、双曲线中的焦点三角形问题(精讲+精练)一轮复习讲义2024年高考数学高频考点题型归纳与方法总结(新高考通用)解析版_2.2025数学总复习_2024年新高考资料
素养拓展32椭圆、双曲线中的焦点三角形问题(精讲+精练)一轮复习讲义2024年高考数学高频考点题型归纳与方法总结(新高考通用)解析版_2.2025数学总复习_2024年新高考资料
素养拓展32椭圆、双曲线中的焦点三角形问题(精讲+精练)一轮复习讲义2024年高考数学高频考点题型归纳与方法总结(新高考通用)解析版_2.2025数学总复习_2024年新高考资料
素养拓展32椭圆、双曲线中的焦点三角形问题(精讲+精练)一轮复习讲义2024年高考数学高频考点题型归纳与方法总结(新高考通用)解析版_2.2025数学总复习_2024年新高考资料
素养拓展32椭圆、双曲线中的焦点三角形问题(精讲+精练)一轮复习讲义2024年高考数学高频考点题型归纳与方法总结(新高考通用)解析版_2.2025数学总复习_2024年新高考资料
素养拓展32椭圆、双曲线中的焦点三角形问题(精讲+精练)一轮复习讲义2024年高考数学高频考点题型归纳与方法总结(新高考通用)解析版_2.2025数学总复习_2024年新高考资料
素养拓展32椭圆、双曲线中的焦点三角形问题(精讲+精练)一轮复习讲义2024年高考数学高频考点题型归纳与方法总结(新高考通用)解析版_2.2025数学总复习_2024年新高考资料
素养拓展32椭圆、双曲线中的焦点三角形问题(精讲+精练)一轮复习讲义2024年高考数学高频考点题型归纳与方法总结(新高考通用)解析版_2.2025数学总复习_2024年新高考资料
素养拓展32椭圆、双曲线中的焦点三角形问题(精讲+精练)一轮复习讲义2024年高考数学高频考点题型归纳与方法总结(新高考通用)解析版_2.2025数学总复习_2024年新高考资料
素养拓展32椭圆、双曲线中的焦点三角形问题(精讲+精练)一轮复习讲义2024年高考数学高频考点题型归纳与方法总结(新高考通用)解析版_2.2025数学总复习_2024年新高考资料
素养拓展32椭圆、双曲线中的焦点三角形问题(精讲+精练)一轮复习讲义2024年高考数学高频考点题型归纳与方法总结(新高考通用)解析版_2.2025数学总复习_2024年新高考资料
素养拓展32椭圆、双曲线中的焦点三角形问题(精讲+精练)一轮复习讲义2024年高考数学高频考点题型归纳与方法总结(新高考通用)解析版_2.2025数学总复习_2024年新高考资料
素养拓展32椭圆、双曲线中的焦点三角形问题(精讲+精练)一轮复习讲义2024年高考数学高频考点题型归纳与方法总结(新高考通用)解析版_2.2025数学总复习_2024年新高考资料
素养拓展32椭圆、双曲线中的焦点三角形问题(精讲+精练)一轮复习讲义2024年高考数学高频考点题型归纳与方法总结(新高考通用)解析版_2.2025数学总复习_2024年新高考资料
素养拓展32椭圆、双曲线中的焦点三角形问题(精讲+精练)一轮复习讲义2024年高考数学高频考点题型归纳与方法总结(新高考通用)解析版_2.2025数学总复习_2024年新高考资料
素养拓展32椭圆、双曲线中的焦点三角形问题(精讲+精练)一轮复习讲义2024年高考数学高频考点题型归纳与方法总结(新高考通用)解析版_2.2025数学总复习_2024年新高考资料
素养拓展32椭圆、双曲线中的焦点三角形问题(精讲+精练)一轮复习讲义2024年高考数学高频考点题型归纳与方法总结(新高考通用)解析版_2.2025数学总复习_2024年新高考资料

文档信息

文档格式
docx
文档大小
2.503 MB
文档页数
44 页
上传时间
2026-03-27 01:14:46

文档内容

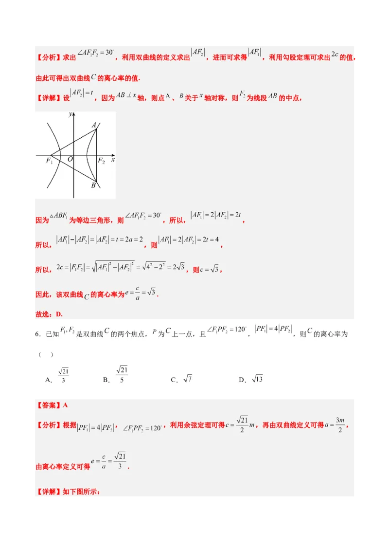
【一轮复习讲义】2024年高考数学高频考点题型归纳与方法总结(新高考通用) 素养拓展 32 椭圆、双曲线中的焦点三角形问题(精讲+精 练) 一、知识点梳理 一、椭圆、双曲线中的焦点三角形面积公式 1.如图1所示, 、 是椭圆的焦点,设P为椭圆上任意一点,记 ,则 的面积 . 证明:如图,由余弦定理知 . ① 由椭圆定义知: , ② 则②·2-①得 , . 当 时, . 2.如图2所示, 、 是双曲线的焦点,设P为双曲线上任意一点,记 ,则 的面积 . 证明:如图,由余弦定理知 ,, , , , ∴ . 当 时, . 二、椭圆、双曲线的焦点三角形中的离心率 1.如图1所示,在焦点三角形背景下求椭圆的离心率,一般结合椭圆的定义,关键是运用已知条件研究出 的三边长之比或内角正弦值之比. 公式: 2.如图2所示,在焦点三角形背景下求双曲线的离心率,一般结合双曲线的定义,关键是运用已知条件研 究出 的三边长之比或内角正弦值之比. 公式: . 二、题型精讲精练【典例1】设 、 是椭圆 的两个焦点,点P在椭圆上, ,则 的面积为 ________. 【解析】由焦点三角形面积公式, . 【典例 2】已知双曲线 的左、右焦点分别为 、 ,点P在C上,且 ,则 的面积为________. 【解析】由焦点三角形面积公式, . 【典例3】(2018·新课标Ⅱ卷)已知 、 是椭圆C的两个焦点,P是椭圆C上的一点,若 , 且 ,则C的离心率为( ) A. B. C. D. 【解析】解法1:如图, , ,故可设 ,则 , , 所以C的离心率 . 解法2:如图, . 【典例4】已知 、 是双曲线 的左、右焦点,点P在C上, ,且 , 则双曲线C的离心率为_______. 【解析】解法1:如图,由题意,不妨设 ,则 , , 所以 .解法2:如图,由题意, , ,所以 . 【题型训练-刷模拟】 1 . 椭圆中的焦点三角形 ①离心率公式的直接应用 一、填空题 1.设 、 是椭圆 的左、右焦点,P在C上且 轴,若 ,则椭 圆C的离心率为_______. 【答案】 【解析】如图, 且 ,故可设 ,则 , , 所以椭圆C的离心率 . 解法2:如图,2.在 中, , ,则以B、C为焦点,且经过点A的椭圆的离心率为_______. 【答案】 【解析】如图,不妨设 , , 则 ,所以 . 解法2:如图, . 3.过椭圆 的左焦点 作x轴的垂线交椭圆于A、B两点,椭圆的右焦点为 ,若 ,则椭圆的离心率为_______. 【答案】 【解析】解法1:如图, , 不妨设 , ,则 ,所以 . 解法2:如图,. 4.在 中, , ,且 ,若以B、C为焦点的椭圆经过点A,则该椭圆的离 心率的取值范围为_______. 【答案】 【解析】解析:如图,设 则 , , 而 ,所以 . 5.在 中, , ,则以A、B为焦点,且经过点P的椭圆的离心率为_______. 【答案】 【解析】如图,由题意,不妨设 ,则 , ,所以 . 6.设 、 是椭圆 的左、右焦点,点P在C上,且 , ,则椭圆C的离心率为_______. 【答案】 【解析】如图, , , 所以 , 故 . 7.在 中, , , ,若以B、C为焦点的椭圆经过点A,则该椭圆的离心率 为_______. 【答案】 【解析】 椭圆的离心率 .8.过椭圆 的左焦点F作x轴的垂线交椭圆C于A、B两点,若 是等腰直角三 角形,则椭圆C的离心率为_______. 【答案】 【解析】如图,设椭圆C的右焦点为 , 是等腰直角三角形 也是等腰直角三角形,不妨设 ,则 , , 所以椭圆C的离心率 . 解法2: 是等腰直角三角形 也是等腰直角三角形, . 9.设 、 是椭圆 的左、右焦点,过 且斜率为 的直线l与椭圆C交于A、B 两点, ,则椭圆C的离心率为_______. 【答案】【解析】解法l:如图,直线 的斜率为 , 又 ,所以 , , 不妨设 ,则 , , 所以椭圆C的离心率 . 解法2:如图,直线 的斜率为 , 又 ,所以 , , 故椭圆C的离心率 . 10.设 、 是椭圆 的左、右焦点,以 为直径的圆与椭圆的4个交点和 、 恰好构成一个正六边形,则椭圆E的离心率为_______. 【答案】 【解析】如图,由题意, 是正六边形,所以 , , ,故椭 圆E的离心率 .11.已知P、Q为椭圆 上关于原点对称的两点,点P在第一象限, 、 是椭圆C 的左、右焦点, ,若 ,则椭圆C的离心率的取值范围为_______. 【答案】 【解析】如图, 显然四边形 是矩形,所以 , 由题意, ,所以 , 设 ,则 ,所以 , 又点P在第一象限,所以 , 故 ,即 ,所以 , 椭圆C的离心率 , 由 可得 ,所以 ,故 . ②综合应用 一、单选题1.设 为椭圆 的两个焦点,点 在 上,若 ,则 ( ) A.1 B.2 C.4 D.5 【答案】B 【分析】方法一:根据焦点三角形面积公式求出 的面积,即可解出; 方法二:根据椭圆的定义以及勾股定理即可解出. 【详解】方法一:因为 ,所以 , 从而 ,所以 . 故选:B. 方法二: 因为 ,所以 ,由椭圆方程可知, , 所以 ,又 ,平方得: ,所以 . 故选:B. 2.已知 、 是椭圆 的两个焦点, 为椭圆 上一点,且 .若 的面积为9,则实数 的值为( ) A.3 B.4 C.5 D.6 【答案】A 【分析】根据椭圆的性质、三角形面积公式以及勾股定理,利用完全平方公式,可得答案. 【详解】由题意, , ,即 , , 整理可得 , ,则 ,解得 . 故选:A. 3.已知 , 分别为椭圆 的两个焦点, 为椭圆 上的一点,则 内切圆半径的最大 值为( )A. B. C. D. 【答案】C 【分析】由椭圆定义得到 ,从而利用面积列出方程,得到 ,求出 的内切圆半径的最大值. 【详解】设 内切圆的半径为 , 由题意得: , , ,故 , 因为 为椭圆 上的一点,故 , 所以 , 又 , 则 ,所以 . 故选:C 4.已知点 在椭圆 上,点 分别为椭圆 的左、右焦点,并满足 面积等于4,则 等于( ) A.2 B.4 C.8 D.16 【答案】C 【分析】根据 ,得到 三点共圆,且 ,再根据 面积等于4,结合椭圆的定 义求解. 【详解】如图所示:由条件可知 三点共圆. 且以 为直径.故 . 设 , 则 , 解得 . 因为点 在椭圆上, 所以 , 联立以上式子可解得: , 故选:C. 5.已知一个离心率为 ,长轴长为4的椭圆,其两个焦点为 , ,在椭圆上存在一个点P,使得 ,设 的内切圆半径为r,则r的值为( ) A. B. C. D. 【答案】D 【分析】在 中,利用余弦定理求得 ,再由 求解. 【详解】解:因为椭圆的离心率为 ,长轴长为4,所以 , 在 中,由余弦定理得: , , 解得 , 所以 , , 解得 , 故选:D 6.已知 是椭圆E的两个焦点,P是E上的一点,若 ,且 ,则E的 离心率为( ) A. B. C. D. 【答案】C 【分析】由 得焦点三角形为直角三角形,结合勾股定理与椭圆定义可得 , 再由面积公式 可得齐次方程,进而求出离心率 【详解】由 得 ,则 , 由椭圆定义可知: , 所以 ,即 , 所以 , 又 ,所以 ,即 ,故E的离心率为 . 故选:C. 7.设O为坐标原点, 为椭圆 的两个焦点,点 P在C上, ,则 ( ) A. B. C. D. 【答案】B 【分析】方法一:根据焦点三角形面积公式求出 的面积,即可得到点 的坐标,从而得出 的 值; 方法二:利用椭圆的定义以及余弦定理求出 ,再结合中线的向量公式以及数量积即 可求出; 方法三:利用椭圆的定义以及余弦定理求出 ,即可根据中线定理求出. 【详解】方法一:设 ,所以 , 由 ,解得: , 由椭圆方程可知, , 所以, ,解得: , 即 ,因此 . 故选:B. 方法二:因为 ①, , 即 ②,联立①②, 解得: ,而 ,所以 , 即 . 故选:B. 方法三:因为 ①, , 即 ②,联立①②,解得: , 由中线定理可知, ,易知 ,解得: . 故选:B. 8. , 是椭圆C的两个焦点,P是椭圆C上异于顶点的一点,I是 的内切圆圆心,若 的 面积等于 的面积的4倍,则椭圆C的离心率为( ) A. B. C. D. 【答案】A 【分析】设 , 的周长为l,由椭圆的定义可得 ,根据面积法求得 的内切 圆半径 ,又 的面积等于 的面积的4倍,列出方程可得 的关系,从而可得离心率. 【详解】设椭圆方程为: , , 是椭圆C的两个焦点,P是椭圆C上异于顶点的一点,设 , , , 的周长为l,由椭圆的定义可得 , 的内切圆半径 , , 所以 解得: ,即离心率 . 故选:A 9.设F,F 是椭圆C: =1(a>b>0)的左、右焦点,O为坐标原点,点P在椭圆C上,延长PF 交 1 2 2 椭圆C于点Q,且|PF| =|PQ|,若 PFF 的面积为 ,则 =( ) 1 1 2 A. B. C. D. 【答案】B 【分析】利用焦点三角形的面积公式及椭圆的定义可得 ,进一步得 F1PQ为等边三角形,且 轴,从而可得解. 【详解】由椭圆的定义, , 由余弦定理有:, 化简整理得: , 又 , 由以上两式可得: 由 ,得 ,∴ , 又 ,所以 F1PQ为等边三角形,由椭圆对称性可知 轴, 所以 . 故选:B. 10.已知 , 分别是椭圆 的左,右焦点,若在椭圆 上存在点 ,使得 的面积等于 ,则椭圆 的离心率 的取值范围为( ) A. B. C. D. 【答案】A 【分析】利用三角形的面积公式,结合椭圆的定义和基本不等式求解即可. 【详解】由题意得 , 而 ,则有 , 由椭圆定义可得 ,当且仅当 ,即 时取等号,于是有 ,则 ,又 ,即有 ,所以椭圆 的离心率 的取值范围为 . 故选:A. 11.已知 , 分别是椭圆E: ( )的左、右焦点,点M在椭圆E上, , 的面积为 ,则椭圆E的离心率e的取值范围为( ) A. B. C. D. 【答案】D 【分析】由椭圆的定义与三角形的面积公式即可列出关于 , 的方程,利用基本不等式即可列出 关于a,c的不等式,即可求出离心率e的取值范围; 【详解】由椭圆的定义知, , ∵ , ∴ , ∵ , 当且仅当 时取等号, ∴ ,故 ,即 , ∴ ,又 , ∴ , 故选:D.12.已知 是椭圆 的左、右焦点,点 是椭圆上的一个动点,若 的内切圆半 径的最大值是 ,则椭圆的离心率为( ) A. B. C. D. 【答案】B 【分析】依题意可得 , , ,设 内切圆的半径为 ,根据等面积法得到 ,即可得 到 的最大值,从而求出 ,即可求出椭圆的离心率; 【详解】解:由椭圆 ,可得 , , ,则 , 如图, 设 内切圆的半径为 , , ,则 , 要使 内切圆半径最大,则需 最大,, 又 内切圆半径的最大值为 ,即 ,解得 ,所以 . 则椭圆的离心率 故选:B. 二、填空题 13.已知椭圆 的两个焦点分别为 ,离心率为 ,点 在椭圆上,若 ,则 的面积为 . 【答案】3 【分析】根据已知可得 , , .根据椭圆的定义有 ,根据 有 .即可求出 ,进而求出三角形的面积. 【详解】 由已知可得, , ,所以 , . 因为点 在椭圆上,由椭圆的定义可得, , 所以 . 又 ,所以 为直角三角形,则 ,所以 ,所以 . 故答案为:3. 14. 为椭圆 上的一点, 和 是其左右焦点,若 ,则 的面积为 . 【答案】 【分析】先利用椭圆定义和余弦定理证明焦点三角形的面积公式,再代入数据计算即可. 【详解】设 ,由椭圆定义 在 中,由余弦定理得 . 即 所以, ,所以 故 . 由题知 故答案为: 15.设点 是椭圆 上的点, , 是该椭圆的两个焦点,若 的面积为 ,则 . 【答案】 【分析】在 中,利用余弦定理结合椭圆的定义建立含 的关系等式,再与三角形面积关系 联立即可求解. 【详解】在椭圆 中,长半轴 ,半焦距 ,由椭圆定义得 ,在 中,由余弦定理得: , 即: ,则 , 又 的面积为 ,则 ,即 , 于是得 ,两边平方得 , 解得 ,则 , 所以 . 故答案为: 16.已知点 是椭圆 上的点,点 是椭圆的两个焦点,若 中有一个角的大小为 , 则 的面积为 . 【答案】 或 / 或 【分析】由椭圆方程可求得 ;当 时,由焦点三角形面积公式可求得 ;当 时,利用余弦定理可构造方程求得 ,由三角形面积公式可得结果. 【详解】由椭圆方程知: , ,则 ; 若 ,则 ; 若 ,设 ,则 , 由余弦定理得: ,解得: ,; 同理可得:当 时, . 综上所述: 的面积为 或 . 故答案为: 或 . 17.已知椭圆 的两个焦点分别为 , , ,点 在椭圆上,若 , 且 的面积为4,则椭圆的标准方程为 . 【答案】 【分析】由题意得到 为直角三角形.设 , ,根据椭圆的离心率,定义,直角三角 形的面积公式,勾股定理建立方程 的方程组,消元后可求得 的值. 【详解】由题可知 ,∴ , 又 ,代入上式整理得 , 由 得 为直角三角形. 又 的面积为4,设 , , 则 解得 所以椭圆的标准方程为 . 18.已知椭圆C: 的焦点为 , ,第一象限点P在C上,且 ,则 的内切圆半径为 . 【答案】 【分析】由题意列方程组解出 点坐标,由面积与周长关系求内切圆半径 【详解】由已知条件得 , , ,则 (-1,0), (1,0). 设点P的坐标为( , ),则 , ,即 ①, ∵第一象限点P在C上, ∴则 ,即 ②, 联立解得 由椭圆的定义得 设 的内切圆半径为r,则 又∵ , ∴ ,即 . 故答案为: 19.已知椭圆 的两个焦点分别为 、 ,离心率为 ,点 在椭圆上,若 ,且 的面积为 ,则 的方程为 . 【答案】 【分析】利用椭圆的定义、余弦定理结合三角形的面积公式可求得 的值,结合椭圆的离心率可求得 的 值,即可得出椭圆 的方程.【详解】设 , ,由椭圆的定义可得 , 由余弦定理可得 , 所以, ,则 , 所以, ,又因为 ,可得 . 因此,椭圆 的方程为 . 故答案为: . 20. 是椭圆 的两个焦点, 是椭圆 上异于顶点的一点, 是 的内切圆圆心,若 的 面积等于 的面积的3倍,则椭圆 的离心率为 . 【答案】 【分析】先由 求得 ,再利用 求得 ,即可求出离 心率.【详解】 由于椭圆关于原点对称,不妨设点 在 轴上方.设点 纵坐标为 ,点 纵坐标为 ,内切圆半径为 , 椭圆长轴长为 ,焦距为 , 则 ,得 ,又 , 即 ,又 ,化简得 ,即 , 解得 ,可得离心率为 . 故答案为: . 21.已知椭圆 : 的左、右焦点分别为 , ,若椭圆 上存在点 使三角形 的面积为 ,则椭圆 的离心率 的取值范围是 . 【答案】 【解析】设 则 ,可得 ,再结合 即可求 得范围. 【详解】设 , , ,则 , 若存在点 使三角形 的面积为 , 则 ,可得 , 因为 ,所以 , 即 ,可得 , 整理可得: , 所以 ,解得: , 所以 , 所以椭圆 的离心率 的取值范围是: , 故答案为: 2 . 双曲线中的焦点三角形 ①离心率公式的直接应用 一、单选题 1.已知 、 是双曲线 的左、右焦点,点M在E上, 与x轴垂直, ,则 E的离心率为( ) A. B. C. D.2 【答案】A 【解析】解法1:如图,不妨设 , , 则 ,所以 .解法2: . 二、填空题 2.已知 、 是双曲线 的左、右焦点,过 且与x轴垂直的直线与双曲线C交于A、B两点, 若 是等腰直角三角形,则双曲线C的离心率为_______. 【答案】 【解析】解法1: 是等腰直角三角形 也是等腰直角三角形, 不妨设 ,则 ,双曲线C的离心率 . 解法2: 是等腰直角三角形 也是等腰直角三角形, 所以 .3.已知 、 是双曲线 的左、右焦点,点P在C上, , ,则双曲 线C的离心率为_______. 【答案】 【解析】如图,由题意, , , 所以 . 4.已知 、 是双曲线 的左、右焦点,过 且与x轴垂直的直线与双曲线C交于A、B两点, 若 是正三角形,则双曲线C的离心率为_______. 【答案】 【解析】解法1:如图, 是正三角形,不妨设 ,则 , , 离心率 . 解法2:如图, 是正三角形 , , , 所以双曲线C的离心率 .5.过双曲线 的左焦点F作x轴的垂线交C于A、B两点,若 是等腰直角三角形,则双 曲线C的离心率为_______. 【答案】 【解析】如图,设双曲线C的右焦点为 , 是等腰直角三角形 也是等腰直角三角形, 不妨设 ,则 , , 所以C的离心率 . ②综合应用 一、单选题 1.已知:双曲线 的左、右焦点分别为 , ,点 为其右支上一点,若 ,则 的面积是( ) A. B. C. D. 【答案】C 【解析】根据双曲线中,焦点三角形的面积公式求解即可. 【详解】由双曲线焦点三角形面积公式可得: 故选:C. 【点睛】本题考查双曲线焦点三角形面积的求解,属基础题.2.已知双曲线 : 的左、右焦点分别是 , , 是双曲线 上的一点,且 , , ,则双曲线 的离心率是( ) A. B. C. D. 【答案】D 【分析】根据且 , , ,利用余弦定理求得c,再利用双曲线的定义求得a即 可. 【详解】解:设双曲线 的半焦距为 . 由题意,点 在双曲线 的右支上, , , 由余弦定理得 , 解得 ,即 , , 根据双曲线定义得 , 解得 , 故双曲线 的离心率 . 故选:D 3.设 , 是双曲线 的左、右焦点,P为双曲线上一点,且 ,则 的面积 等于( ) A.6 B.12 C. D. 【答案】A 【分析】利用双曲线定义结合已知求出 及 ,再求出焦距 即可计算作答. 【详解】双曲线 的实半轴长 ,半焦距 ,因此, ,因 ,由双曲线定义得 ,解得 , , 显然有 ,即 是直角三角形, 所以 的面积 . 故选:A 4.设F,F 是双曲线C: 的两个焦点,P是双曲线C上一点,若 ,且 PFF 1 2 1 2 △ 的面积为9,则C的离心率等于( ) A. B.2 C. D. 【答案】C 【分析】由已知条件,结合双曲线的简单性质求出 ,由此可求出双曲线的离心率. 【详解】因为F1,F2是双曲线C: 的两个焦点,P是双曲线C上一点,若 , 且△PF1F2的面积为9, 所以 ,解得 , 所以 ,得 , 故双曲线的离心率为 . 故选:C. 5.设 、 分别是双曲线 的左、右焦点,过 作 轴的垂线与 相交于 、 两点,若 为正三角形,则 的离心率为( ) A. B. C. D. 【答案】D【分析】求出 ,利用双曲线的定义求出 ,进而可求得 ,利用勾股定理可求出 的值, 由此可得出双曲线 的离心率的值. 【详解】设 ,因为 轴,则点 、 关于 轴对称,则 为线段 的中点, 因为 为等边三角形,则 ,所以, , 所以, ,则 , 所以, ,则 , 因此,该双曲线 的离心率为 . 故选:D. 6.已知 是双曲线 的两个焦点, 为 上一点,且 , ,则 的离心率为 ( ) A. B. C. D. 【答案】A 【分析】根据 , ,利用余弦定理可得 ,再由双曲线定义可得 , 由离心率定义可得 . 【详解】如下图所示:根据题意可设 ,易知 ; 由余弦定理可知 ,可得 ; 即 , 由双曲线定义可知可知 ,即 ; 所以离心率 . 故选:A 7.已知双曲线 的左右焦点分别为 ,若双曲线上一点P使得 ,求 的面 积( ) A. B. C. D. 【答案】C 【解析】先根据双曲线方程得到 , , ,设 , ,可得, . 由 ,在 根据余弦定理可得: ,即可求得答案. 【详解】 ,所以 , , , 在双曲线上,设 , , ①由 ,在 根据余弦定理可得: 故 ② 由①②可得 , 直角 的面积 故选:C. 8.已知双曲线 的左、右焦点分别为 ,点 是 上的一点(不同于左,右顶点),且 ,则 的面积是( ) A.2 B.3 C. D. 【答案】D 【分析】由 结合正弦定理求得 ,又由双曲线的定义求出 , 再结合余弦定理和面积公式求出 的面积即可. 【详解】在 中,由正弦定理得, ,又 ,所以 , 又 ,所以 .由余弦定理可得, ,所以 ,所以 的面积 . 故选:D. 9.设 , 是双曲线 的左、右焦点,过 的直线 交双曲线的左支于 , 两点,若直 线 为双曲线的一条渐近线, ,则 的值为( ) A.11 B.12 C.14 D.16 【答案】C 【分析】根据双曲线的标准方程可得 ,再由双曲线的定义可得 , 得到 ,再根据 得到答案. 【详解】根据双曲线的标准方程 , 得 ,由直线 为双曲线的一条渐近线, 得 ,解得 ,得 . 由双曲线的定义可得 ①, ②, ① ②可得 , 因为过双曲线的左焦点 的直线 交双曲线的左支于 , 两点, 所以 ,得 . 故选:C.10.已知过双曲线 的左焦点 的直线分别交双曲线左、右两支于 两点, 为双曲 线的右焦点, ,则双曲线的离心率 ( ) A.2 B. C. D. 【答案】B 【分析】根据题意结合双曲线的定义可得 ,进而在 中,利用余弦定理运算求解. 【详解】因为 ,不妨设 , 由 ,可得 , 由双曲线的定义可得 , , 即 , ,则 ,可得 , 在 中,由余弦定理可得 , 即 ,则 ,所以 .故选:B.11.已知双曲线 的左、右焦点分别为 、 ,过 作一条直线与双曲线右支交于 、 两点,坐标原点为 ,若 , ,则该双曲线的离心率为( ) A. B. C. D. 【答案】B 【分析】作出图形,分析可知 为直角三角形,设 ,在 中,利用勾股定理求出 ,然 后在 中,利用勾股定理可求出该双曲线的离心率的值. 【详解】如下图所示: 因为 ,则 , , 所以, , 因为 ,则 , 设 ,则 ,则 , 由勾股定理可得 ,即 , 整理可得 ,因为 ,解得 ,所以, , , 由勾股定理可得 ,即 ,整理可得 ,因此,该双曲线的离心率为 . 故选:B. 二、填空题 12.若双曲线 的左、右焦点分别为 ,点M在双曲线上,若 的周长为20,则 的面积等于 . 【答案】 【分析】不妨设点M在双曲线的右支上,根据双曲线方程及三角形周长求出 , .再由余弦定理求 出 ,由同角三角函数的基本关系及三角形的面积公式计算可得; 【详解】解:不妨设点M在双曲线的右支上,由双曲线方程可知 ,所以 .因为 ,所以 .又因为 ,所以 , .在 中,由余弦定理可得 ,所以 ,故 的面积 . 故答案为: 【点睛】本题考查双曲线的性质的应用,余弦定理及三角形面积公式的应用,属于中档题. 13.双曲线 上一点 与两焦点 , 的连线互相垂直,则 的面积是 . 【答案】 【解析】首先根据题意得到 ,利用勾股定理得到 ,结合 得 到 ,再计算 的面积即可.【详解】双曲线 , , 因为 ,所以 ①, 又因为 , 所以 ②, ① ②得: ,即: . 所以 . 故答案为: 【点睛】本题主要考查双曲线中焦三角形的面积,同时考查了双曲线的定义,属于简单题. 14.双曲线 的左、右焦点分别为 、 ,过 的直线 交双曲线于A,B两点,A,B 分别位于第一、二象限, 为等边三角形,则双曲线的离心率e为 . 【答案】 【分析】利用等边三角形的性质,然后结合双曲线的定义求解; 【详解】 由双曲线的定义可得 , 所以取 的中点 ,连接 , 又因为 为等边三角形, 则 ,在直角三角形 中, , 即 , 解得: ,即 , 故答案为: . 15.已知双曲线 的焦点为F,O为坐标原点,P为C上一点,且 为正三角 形,则双曲线的离心率为 . 【答案】 【分析】依题意画出图形,根据余弦定理与双曲线的定义建立 等量关系求解离心率. 【详解】由对称性,不妨设F为右焦点,则 在右支上,设双曲线左焦点为 , 依题意,三角形 为正三角形, 则 ,连接 , 在 中, , 由余弦定理得, , 可得 ,又 ,即 , 所以 . 故答案为: .16.椭圆 与渐近线为 的双曲线有相同的焦点 ,P为它们的一个公共 点,且 ,则椭圆的离心率为 . 【答案】 【分析】根据椭圆与双曲线共用一对焦点,设双曲线方程,根据椭圆与双曲线的定义可得 , ,再根据 可得勾股定理,结合 化简求解即可. 【详解】设 ,在双曲线 中,渐近线为 , 即 ,故 , , , 不妨设P在第一象限,则由椭圆定义可得: ,由双曲线定义可得: , 因为 ,∴ , 而 , 代入可得: ,∴ .故答案为: 17.已知双曲线C: 的左右焦点分别为 , ,点A在C上,点B在y轴上, , ,则C的离心率为 . 【答案】 【详解】依题意,设 ,则 , 在 中, ,则 , 故 或 (舍去), 所以 , ,则 ,故 , 所以在 中, ,整理得 , 故 . 故答案为: .