当前位置:首页>文档>考向36圆锥曲线中的定点、定值问题(重点)-备战2023年高考数学一轮复习考点微专题(全国通用)(解析版)_2.2025数学总复习_赠品通用版(老高考)复习资料_一轮复习

考向36圆锥曲线中的定点、定值问题(重点)-备战2023年高考数学一轮复习考点微专题(全国通用)(解析版)_2.2025数学总复习_赠品通用版(老高考)复习资料_一轮复习

  • 2026-04-02 08:27:46 2026-03-27 06:41:17

文档预览

考向36圆锥曲线中的定点、定值问题(重点)-备战2023年高考数学一轮复习考点微专题(全国通用)(解析版)_2.2025数学总复习_赠品通用版(老高考)复习资料_一轮复习
考向36圆锥曲线中的定点、定值问题(重点)-备战2023年高考数学一轮复习考点微专题(全国通用)(解析版)_2.2025数学总复习_赠品通用版(老高考)复习资料_一轮复习
考向36圆锥曲线中的定点、定值问题(重点)-备战2023年高考数学一轮复习考点微专题(全国通用)(解析版)_2.2025数学总复习_赠品通用版(老高考)复习资料_一轮复习
考向36圆锥曲线中的定点、定值问题(重点)-备战2023年高考数学一轮复习考点微专题(全国通用)(解析版)_2.2025数学总复习_赠品通用版(老高考)复习资料_一轮复习
考向36圆锥曲线中的定点、定值问题(重点)-备战2023年高考数学一轮复习考点微专题(全国通用)(解析版)_2.2025数学总复习_赠品通用版(老高考)复习资料_一轮复习
考向36圆锥曲线中的定点、定值问题(重点)-备战2023年高考数学一轮复习考点微专题(全国通用)(解析版)_2.2025数学总复习_赠品通用版(老高考)复习资料_一轮复习
考向36圆锥曲线中的定点、定值问题(重点)-备战2023年高考数学一轮复习考点微专题(全国通用)(解析版)_2.2025数学总复习_赠品通用版(老高考)复习资料_一轮复习
考向36圆锥曲线中的定点、定值问题(重点)-备战2023年高考数学一轮复习考点微专题(全国通用)(解析版)_2.2025数学总复习_赠品通用版(老高考)复习资料_一轮复习
考向36圆锥曲线中的定点、定值问题(重点)-备战2023年高考数学一轮复习考点微专题(全国通用)(解析版)_2.2025数学总复习_赠品通用版(老高考)复习资料_一轮复习
考向36圆锥曲线中的定点、定值问题(重点)-备战2023年高考数学一轮复习考点微专题(全国通用)(解析版)_2.2025数学总复习_赠品通用版(老高考)复习资料_一轮复习
考向36圆锥曲线中的定点、定值问题(重点)-备战2023年高考数学一轮复习考点微专题(全国通用)(解析版)_2.2025数学总复习_赠品通用版(老高考)复习资料_一轮复习
考向36圆锥曲线中的定点、定值问题(重点)-备战2023年高考数学一轮复习考点微专题(全国通用)(解析版)_2.2025数学总复习_赠品通用版(老高考)复习资料_一轮复习
考向36圆锥曲线中的定点、定值问题(重点)-备战2023年高考数学一轮复习考点微专题(全国通用)(解析版)_2.2025数学总复习_赠品通用版(老高考)复习资料_一轮复习
考向36圆锥曲线中的定点、定值问题(重点)-备战2023年高考数学一轮复习考点微专题(全国通用)(解析版)_2.2025数学总复习_赠品通用版(老高考)复习资料_一轮复习
考向36圆锥曲线中的定点、定值问题(重点)-备战2023年高考数学一轮复习考点微专题(全国通用)(解析版)_2.2025数学总复习_赠品通用版(老高考)复习资料_一轮复习
考向36圆锥曲线中的定点、定值问题(重点)-备战2023年高考数学一轮复习考点微专题(全国通用)(解析版)_2.2025数学总复习_赠品通用版(老高考)复习资料_一轮复习
考向36圆锥曲线中的定点、定值问题(重点)-备战2023年高考数学一轮复习考点微专题(全国通用)(解析版)_2.2025数学总复习_赠品通用版(老高考)复习资料_一轮复习
考向36圆锥曲线中的定点、定值问题(重点)-备战2023年高考数学一轮复习考点微专题(全国通用)(解析版)_2.2025数学总复习_赠品通用版(老高考)复习资料_一轮复习
考向36圆锥曲线中的定点、定值问题(重点)-备战2023年高考数学一轮复习考点微专题(全国通用)(解析版)_2.2025数学总复习_赠品通用版(老高考)复习资料_一轮复习
考向36圆锥曲线中的定点、定值问题(重点)-备战2023年高考数学一轮复习考点微专题(全国通用)(解析版)_2.2025数学总复习_赠品通用版(老高考)复习资料_一轮复习
考向36圆锥曲线中的定点、定值问题(重点)-备战2023年高考数学一轮复习考点微专题(全国通用)(解析版)_2.2025数学总复习_赠品通用版(老高考)复习资料_一轮复习
考向36圆锥曲线中的定点、定值问题(重点)-备战2023年高考数学一轮复习考点微专题(全国通用)(解析版)_2.2025数学总复习_赠品通用版(老高考)复习资料_一轮复习
考向36圆锥曲线中的定点、定值问题(重点)-备战2023年高考数学一轮复习考点微专题(全国通用)(解析版)_2.2025数学总复习_赠品通用版(老高考)复习资料_一轮复习
考向36圆锥曲线中的定点、定值问题(重点)-备战2023年高考数学一轮复习考点微专题(全国通用)(解析版)_2.2025数学总复习_赠品通用版(老高考)复习资料_一轮复习
考向36圆锥曲线中的定点、定值问题(重点)-备战2023年高考数学一轮复习考点微专题(全国通用)(解析版)_2.2025数学总复习_赠品通用版(老高考)复习资料_一轮复习
考向36圆锥曲线中的定点、定值问题(重点)-备战2023年高考数学一轮复习考点微专题(全国通用)(解析版)_2.2025数学总复习_赠品通用版(老高考)复习资料_一轮复习
考向36圆锥曲线中的定点、定值问题(重点)-备战2023年高考数学一轮复习考点微专题(全国通用)(解析版)_2.2025数学总复习_赠品通用版(老高考)复习资料_一轮复习
考向36圆锥曲线中的定点、定值问题(重点)-备战2023年高考数学一轮复习考点微专题(全国通用)(解析版)_2.2025数学总复习_赠品通用版(老高考)复习资料_一轮复习
考向36圆锥曲线中的定点、定值问题(重点)-备战2023年高考数学一轮复习考点微专题(全国通用)(解析版)_2.2025数学总复习_赠品通用版(老高考)复习资料_一轮复习
考向36圆锥曲线中的定点、定值问题(重点)-备战2023年高考数学一轮复习考点微专题(全国通用)(解析版)_2.2025数学总复习_赠品通用版(老高考)复习资料_一轮复习
考向36圆锥曲线中的定点、定值问题(重点)-备战2023年高考数学一轮复习考点微专题(全国通用)(解析版)_2.2025数学总复习_赠品通用版(老高考)复习资料_一轮复习
考向36圆锥曲线中的定点、定值问题(重点)-备战2023年高考数学一轮复习考点微专题(全国通用)(解析版)_2.2025数学总复习_赠品通用版(老高考)复习资料_一轮复习
考向36圆锥曲线中的定点、定值问题(重点)-备战2023年高考数学一轮复习考点微专题(全国通用)(解析版)_2.2025数学总复习_赠品通用版(老高考)复习资料_一轮复习
考向36圆锥曲线中的定点、定值问题(重点)-备战2023年高考数学一轮复习考点微专题(全国通用)(解析版)_2.2025数学总复习_赠品通用版(老高考)复习资料_一轮复习
考向36圆锥曲线中的定点、定值问题(重点)-备战2023年高考数学一轮复习考点微专题(全国通用)(解析版)_2.2025数学总复习_赠品通用版(老高考)复习资料_一轮复习
考向36圆锥曲线中的定点、定值问题(重点)-备战2023年高考数学一轮复习考点微专题(全国通用)(解析版)_2.2025数学总复习_赠品通用版(老高考)复习资料_一轮复习
考向36圆锥曲线中的定点、定值问题(重点)-备战2023年高考数学一轮复习考点微专题(全国通用)(解析版)_2.2025数学总复习_赠品通用版(老高考)复习资料_一轮复习
考向36圆锥曲线中的定点、定值问题(重点)-备战2023年高考数学一轮复习考点微专题(全国通用)(解析版)_2.2025数学总复习_赠品通用版(老高考)复习资料_一轮复习
考向36圆锥曲线中的定点、定值问题(重点)-备战2023年高考数学一轮复习考点微专题(全国通用)(解析版)_2.2025数学总复习_赠品通用版(老高考)复习资料_一轮复习
考向36圆锥曲线中的定点、定值问题(重点)-备战2023年高考数学一轮复习考点微专题(全国通用)(解析版)_2.2025数学总复习_赠品通用版(老高考)复习资料_一轮复习
考向36圆锥曲线中的定点、定值问题(重点)-备战2023年高考数学一轮复习考点微专题(全国通用)(解析版)_2.2025数学总复习_赠品通用版(老高考)复习资料_一轮复习
考向36圆锥曲线中的定点、定值问题(重点)-备战2023年高考数学一轮复习考点微专题(全国通用)(解析版)_2.2025数学总复习_赠品通用版(老高考)复习资料_一轮复习
考向36圆锥曲线中的定点、定值问题(重点)-备战2023年高考数学一轮复习考点微专题(全国通用)(解析版)_2.2025数学总复习_赠品通用版(老高考)复习资料_一轮复习

文档信息

文档格式
docx
文档大小
1.792 MB
文档页数
39 页
上传时间
2026-03-27 06:41:17

文档内容

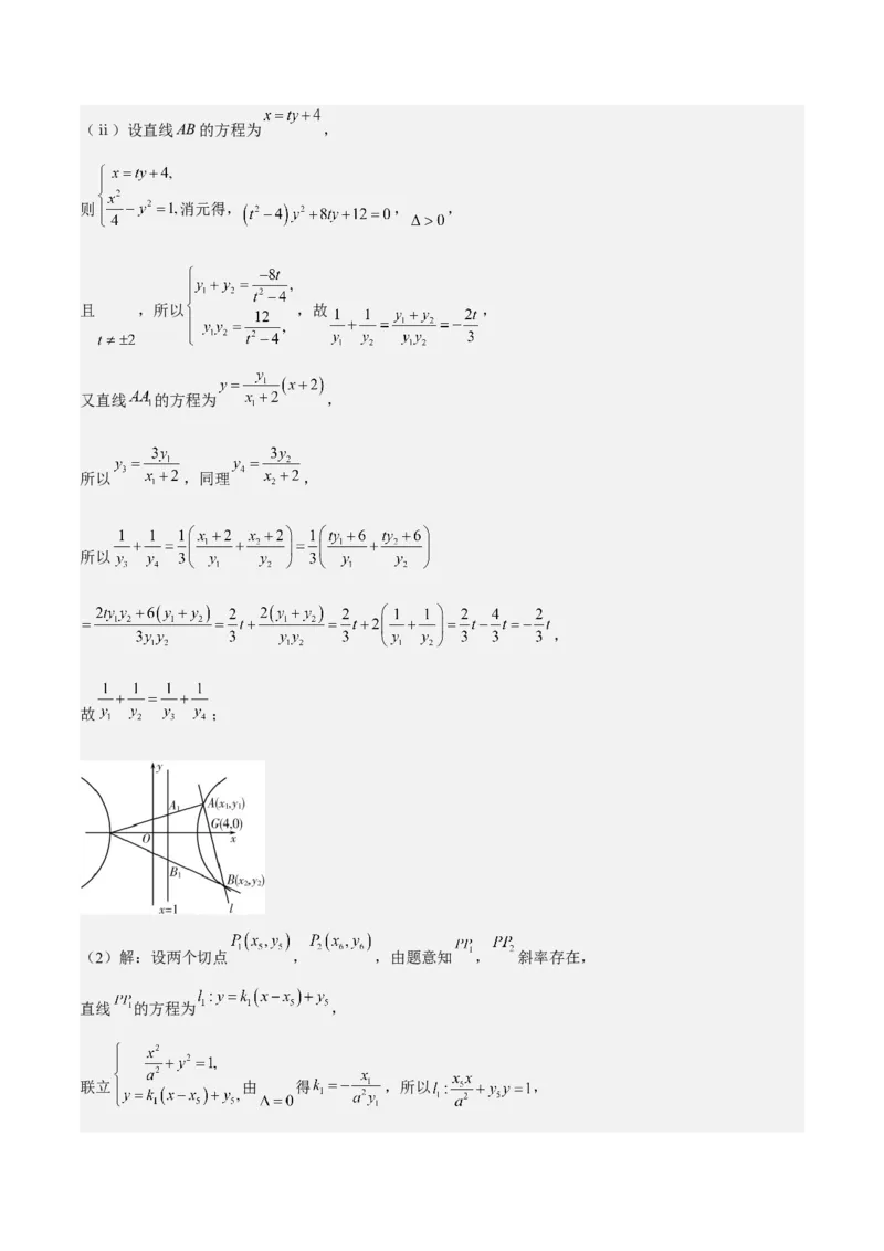
考向 36 圆锥曲线中的定点、定值问题 (2022·全国乙理T20文T21)已知椭圆E的中心为坐标原点,对称轴为x轴、y轴,且过 两点. (1)求E的方程; (2)设过点 的直线交E于M,N两点,过M且平行于x轴的直线与线段AB交于点T,点H满足 .证明:直线HN过定点. 【答案】(1) ;(2) 【解析】(1)设椭圆E的方程为 ,过 , 则 ,解得 , ,所以椭圆E的方程为: . (2) ,所以 , ①若过点 的直线斜率不存在,直线 .代入 , 可得 , ,代入AB方程 ,可得 ,由 得到 .求得HN方程:,过点 . ②若过点 的直线斜率存在,设 . 联立 得 , 可得 , , 且 联立 可得 可求得此时 , 将 ,代入整理得 , 将 代入,得 显然成立, 综上,可得直线HN过定点 【点睛】求定点、定值问题常见的方法有两种: ①从特殊入手,求出定值,再证明这个值与变量无关; ②直接推理、计算,并在计算推理的过程中消去变量,从而得到定值. 1.求解定点问题常用的方法(1)特殊推理法:先从特殊情况入手,求出定点,再证明定点与变量无关. (2)直接推理法:①选择一个参数建立直线系方程,一般将题目中给出的曲线方程(包含直线方程)中的常量 当成变量,将变量x,y当成常量,将原方程转化为kf(x,y)+g(x,y)=0的形式(k是原方程中的常量);② 根据直线过定点时与参数没有关系(即直线系方程对任意参数都成立),得到方程组③以②中方程组的解为 坐标的点就是直线所过的定点,若定点具备一定的限制条件,可以特殊解决. 圆锥曲线中的定值问题的常见类型及解题策略 (1)求代数式为定值:依题意设条件,得出与代数式参数有关的等式,代入代数式,化简即可得出定值; (2)求点到直线的距离为定值:利用点到直线的距离公式得出距离的解析式,再利用题设条件化简、变形求 得; (3)求某线段长度为定值:利用长度公式求得解析式,再依据条件对解析式进行化简、变形即可求得. 1.已知椭圆+y2=1,直线l过点M(1,0)且与椭圆C相交于A,B两点.过点A作直线x=3的垂线,垂足 为D.则直线BD过x轴上的定点坐标为________. 【答案】(2,0) 【解析】(1)当直线l斜率不存在时,直线l的方程为x=1, 不妨设A,B,D, 此时直线BD的方程为y=(x-2),所以直线BD过点(2,0). (2)当直线l的斜率存在时,设A(x,y),B(x,y),直线AB为y=k(x-1),D(3,y), 1 1 2 2 1 由得(1+3k2)x2-6k2x+3k2-3=0, 所以x+x=,xx=. 1 2 1 2 直线BD:y-y=(x-3),只需证明直线BD过点(2,0)即可, 1 令y=0,得x-3=-, 所以x===, 即证=2,即证2(x+x)-xx=3, 2 1 1 2 可得2(x+x)-xx=-==3,所以直线BD过点(2,0), 2 1 1 2 综上所述,直线BD恒过x轴上的定点(2,0). 2.已知抛物线C:y2=4x的焦点为F,准线l与x轴交于点M,点P在抛物线上,直线PF与抛物线交于另 一点A,设直线MP,MA的斜率分别为k,k,则k+k 的值为________. 1 2 1 2 【答案】 0 【解析】设过F的直线x=my+1交抛物线于P(x,y),A(x,y),M(-1,0), 1 1 2 2联立方程组得y2-4my-4=0, 于是有 ∴k+k=+=, 1 2 又yx+yx+y+y=·yy(y+y)+(y+y)=·(-4)·4m+4m=0,∴k+k=0. 1 2 2 1 1 2 1 2 1 2 1 2 1 2 3.已知A,B分别为椭圆E:+y2=1(a>1)的左、右顶点,G为E的上顶点,AG·GB=8.P为直线x=6上的 动点,PA与E的另一交点为C,PB与E的另一交点为D. (1)求E的方程; (2)证明:直线CD过定点. 【答案】(1)+y2=1;(2)见解析 【解析】(1)由题设得A(-a,0),B(a,0),G(0,1).则AG=(a,1),GB=(a,-1). 由AG·GB=8得a2-1=8,即a=3.所以E的方程为+y2=1. (2)证明:设C(x,y),D(x,y),P(6,t). 1 1 2 2 若t≠0,设直线CD的方程为x=my+n,由题意可知-30,即b2<1+4k2. ∴x+x=,xx=. 1 2 1 2 ∵+yy=0, 1 2 ∴+(kx+b)(kx+b)=0,得2b2-4k2=1(满足Δ>0). 1 2 ∴S =··|PQ|=|b|=2|b|=1. △POQ综合①②知△POQ的面积S为定值1. 6.已知抛物线C:y2=2px(p>0),其焦点为F,O为坐标原点,直线l与抛物线C相交于不同的两点A,B, M为AB的中点. (1)若p=2,M的坐标为(1,1),求直线l的方程. (2)若直线l过焦点F,AB的垂直平分线交x轴于点N,求证:为定值. 【答案】(1)2x-y-1=0;(2)定值为2p 【解析】(1)由题意知直线l的斜率存在且不为0, 故设直线l的方程为x-1=t(y-1) 即x=ty+1-t,设A(x,y),B(x,y). 1 1 2 2 由得y2-4ty-4+4t=0, ∴Δ=16t2+16-16t=16(t2-t+1)>0,y+y=4t, 1 2 ∴4t=2,即t=. ∴直线l的方程为2x-y-1=0. (2)证明 ∵抛物线C:y2=2px(p>0),∴焦点F的坐标为. 由题意知直线l的斜率存在且不为0, ∵直线l过焦点F,故设直线l的方程为x=ty+(t≠0),设A(x,y),B(x,y). 1 1 2 2 由,得y2-2pty-p2=0, ∴y+y=2pt,Δ=4p2t2+4p2>0. 1 2 ∴x+x=t(y+y)+p=2pt2+p,∴M. 1 2 1 2 ∴MN的方程为y-pt=-t. 令y=0,解得x=pt2+,N, ∴|MN|2=p2+p2t2,|FN|=pt2+-=pt2+p, ∴==2p,为定值. 1.(2022·江苏泰州·模拟预测)已知 , 是过点 的两条互相垂直的直线,且 与椭圆 相交于A,B两点, 与椭圆 相交于C,D两点. (1)求直线 的斜率k的取值范围; (2)若线段 , 的中点分别为M,N,证明直线 经过一个定点,并求出此定点的坐标.【答案】(1) ;(2)证明见解析;定点 . 【解析】(1)根据题意直线 , 的斜率均存在且不为0 直线 , 分别为 , , 联立 得 , 由 得 ,则 或 , 同理 ,则 , 所以k的取值范围为 . (2) 设 , ,由(1)得 , 所以 ,则 , 所以 ,则 , 同理 , 则直线 的方程为 , 化简整理得 ,因此直线 经过一个定点 .2.(2022·陕西·西北工业大学附属中学模拟预测(理))已知抛物线C: 的焦点为 ,准线与 坐标轴的交点为 , 、 是离心率为 的椭圆S的焦点. (1)求椭圆S的标准方程; (2)设过原点O的两条直线 和 , , 与椭圆S交于A、B两点, 与椭圆S交于M、N两点.求证: 原点O到直线AM和到直线BN的距离相等且为定值. 【答案】(1) (2)证明见解析 【解析】(1)化抛物线C: 的方程为标准方程,即C: .得抛物线C的焦点 , 设椭圆S的长半轴长为a,短半轴长为b,半焦距为c.则由题意得 , ,得 . ∴ ,又椭圆S的焦点在y轴上. ∴椭圆S的标准方程为 . (2)证明:由题意知A、O、B共线,M、O、N共线,且 ,又由椭圆的对称性,知 , . ∴四边形AMBN为菱形,且原点O为其中心,AM、BN为一组对边. ∴原点O到直线AM和到直线BN的距离相等 下面求原点O到直线AM的距离. 根据椭圆的对称性,不妨设A在第一象限. 当直线AM的斜率为零或不存在时,四边形AMBN为正方形,直线AB和直线MN的方程分别为 和 ,且 轴或 轴. 设 ,则 或 .于是,有 ,得 . 原点O到直线AM的距离为 . 当直线AM的斜率存在且不等于零时,设AM: . 由 ,消去 并整理得 , 且 . 设 , ,则 , , ∴ . 由 ,得 ,即 , 得 ,满足 . ∴原点O到直线AM的距离为 . ∴原点O到直线BN的距离也为 . 综上所述,原点O到直线AM和到直线BN的距离相等且为定值 . 3.(2022·全国·模拟预测)设椭圆 的右焦点为F,左顶点为A.M是C上异于A的 动点,过F且与直线AM平行的直线与C交于P,Q两点(Q在x轴下方),且当M为椭圆的下顶点时,. (1)求椭圆C的标准方程; (2)设点S,T满足 , ,证明:平面上存在两个定点,使得T到这两定点距离之和为定值. 【答案】(1) (2)证明见解析 【解析】(1)当M为椭圆的下顶点时, ,则 . 设C的焦距为2c,则 ,即 . 因为Q在C上,故 ,解得 . 则椭圆C的标准方程为 . (2)设 ,直线PQ的斜率不为0,设其方程为 ,设 . 联立直线PQ和C的方程,消x得 . , , 由 得S为弦PQ的中点,故 . 由 得S是线段FT的中点,故 . 设T的坐标为 ,则 , ,故 ,即 ,这表明T在中心为原点, 为长轴端点, 为短轴端点的椭圆上运动,故T到两焦点 的距离之和为定值.代入得两焦点坐标为 . 综上所述,平面上存在两定点 , ,使得T到这两定点距离之和为定值. 4.(2022·山东潍坊·二模)已知M,N为椭圆 和双曲线 的公共顶点, , 分别为 和 的离心率. (1)若 . (ⅰ)求 的渐近线方程; (ⅱ)过点 的直线l交 的右支于A,B两点,直线MA,MB与直线 相交于 , 两点,记 A,B, , 的坐标分别为 , , , ,求证: ; (2)从 上的动点 引 的两条切线,经过两个切点的直线与 的两条渐近线围成三角形 的面积为S,试判断S是否为定值?若是,请求出该定值;若不是,请说明理由. 【答案】(1)(ⅰ) ;(ⅱ)证明见解析(2)是定值, 【解析】(1)由题意得 , , 所以 ,又 ,解得 , (ⅰ)故双曲线 的渐近线方程为 ,(ⅱ)设直线AB的方程为 , 则 消元得, , , 且 ,所以 ,故 , 又直线 的方程为 , 所以 ,同理 , 所以 , 故 ; (2)解:设两个切点 , ,由题意知 , 斜率存在, 直线 的方程为 , 联立 由 得 ,所以 ,同理直线 方程为 , 由 , 过P点可得 可得直线 的方程为 , 不妨设,直线 与双曲线两渐近线 交于两点 , , 则围成三角形的面积 , 因P在双曲线 上, , 则 为定值. 5.(2022·河北保定·二模)已知抛物线 . (1)直线 与 交于 、 两点, 为坐标原点. 从下面的①②两个问题中任选一个作答,如果两个都作答,则按所做的第一个计分. ①证明: . ②若 ,求 的值; (2)已知点 ,直线 与 交于 、 两点(均异于点 ),且 .过 作直线 的垂线,垂 足为 ,试问是否存在定点 ,使得 为定值?若存在,求出定值;若不存在,说明理由. 【答案】(1)①证明见解析;② (2)存在,定值为 . 【解析】(1)解:选①:设点 、 , 联立 可得 ,(*) 当 时,方程(*)即为 ,此时直线 与抛物线 只有一个公共点,不合乎题意,所以, , , 则 , , 所以 . 因为 经过抛物线 的焦点, 所以 , 故 . 选②:设点 、 , 联立 可得 ,(*) 当 时,方程(*)即为 ,此时直线 与抛物线 只有一个公共点,不合乎题意, 所以, , , 则 , , . 因为 ,所以 ,解得 . (2) 解:若直线 的斜率为零,则直线 与抛物线 只有一个公共点,不合乎题意, 设直线 的方程为 ,设点 、 , 联立 得 , , 由韦达定理可得 , . 因为 ,所以 , 所以 ,即 . 所以直线 的方程为 ,则直线 过定点 . 因为 ,所以当点 为 的中点时, 为定值, 故存在定点 ,使得 为定值. 6.(2022·安徽·合肥市第八中学模拟预测(文))生活中,椭圆有很多光学性质,如从椭圆的一个焦点出 发的光线射到椭圆镜面后反射,反射光线经过另一个焦点.现椭圆C的焦点在y轴上,中心在坐标原点,从 下焦点 射出的光线经过椭圆镜面反射到上焦点 ,这束光线的总长度为4,且反射点与焦点构成的三角 形面积最大值为 ,已知椭圆的离心率e . (1)求椭圆C的标准方程; (2)若从椭圆C中心O出发的两束光线OM、ON,分别穿过椭圆上的A、B点后射到直线 上的M、N两点,若AB连线过椭圆的上焦点 ,试问,直线BM与直线AN能交于一定点吗?若能,求出此定点:若不 能,请说明理由. 【答案】(1) (2)能,定点为(0, ) (1)由已知可设椭圆方程为 , 则 , , 又 所以 , 故椭圆C的标准方程为 (2)设AB方程为 ,由 ,得 , 设 ,则 .. 由对称性知,若定点存在,则直线BM与直线AN交于y轴上的定点, 由 得 ,则直线BM方程为 , 令 ,则 又 , 则 ,所以,直线BM过定点(0, ),同理直线AN也过定点 . 则点(0, )即为所求点. 7.(2022·福建省福州格致中学模拟预测)圆 : 与 轴的两个交点分别为 , , 点 为圆 上一动点,过 作 轴的垂线,垂足为 ,点 满足 (1)求点 的轨迹方程; (2)设点 的轨迹为曲线 ,直线 交 于 , 两点,直线 与 交于点 ,试问:是否存在 一个定点 ,当 变化时, 为等腰三角形 【答案】(1) (2)存在,证明见解析 【解析】(1)设点 在圆 上, 故有 ,设 ,又 ,可得 , , 即 , 代入 可得 , 化简得: ,故点 的轨迹方程为: . (2)根据题意,可设直线 的方程为 , 取 ,可得 , , 可得直线 的方程为 ,直线 的方程为 联立方程组,可得交点为 ;若 , ,由对称性可知交点 , 若点 在同一直线上,则直线只能为 : 上, 以下证明:对任意的 ,直线 与直线 的交点 均在直线 : 上. 由 ,整理得 设 , ,则 , 设 与 交于点 ,由 ,可得 设 与 交于点 ,由 ,可得 , 因为 , 因为 ,即 与 重合, 所以当 变化时,点 均在直线 : 上, 因为 , ,所以要使 恒为等腰三角形,只需要 为线段 的垂直平分线即可,根据 对称性知,点 . 故存在定点 满足条件. 8.(2022·江苏南通·模拟预测)已知F(- ,0),F( ,0)为双曲线C的焦点,点P(2,-1) 1 2 在C上. (1)求C的方程;(2)点A,B在C上,直线PA,PB与y轴分别相交于M,N两点,点Q在直线AB上,若 + , =0,证明:存在定点T,使得|QT|为定值. 【答案】(1) (2)证明见解析 【解析】(1)设双曲线C的方程为 , 由题意知 , ∴双曲线C的方程为 (2)设直线AB的方程为 ,A( 、 ),B( , ),P(2,-1) , 则 , , ∴直线PA方程为 , 令 ,则 ,同理N(0, ), 由 ,可得 ∴∴ ∴ ∴ ∴ ∴ , 当 时, , 此时直线AB方程为 恒过定点P(2,-1),显然不可能 ∴ ,直线AB方程为 恒过定点E(0,-3) ∵ ,∴ ,取PE中点T,∴T(1,-2) ∴ 为定值,∴存在T(1,-2)使|QT|为定值 . 【点睛】求定值问题常见的方法有两种: (1)从特殊入手,求出定值,再证明这个值与变量无关. (2)直接推理、计算,并在计算推理的过程中消去变量,从而得到定值. 1.(2020·山东·高考真题)已知椭圆C: 的离心率为 ,且过点 . (1)求 的方程: (2)点 , 在 上,且 , , 为垂足.证明:存在定点 ,使得 为定值. 【答案】(1) ;(2)详见解析.【解析】(1)由题意可得: ,解得: ,故椭圆方程为: . (2)[方法一]:通性通法 设点 , 若直线 斜率存在时,设直线 的方程为: , 代入椭圆方程消去 并整理得: , 可得 , , 因为 ,所以 ,即 , 根据 ,代入整理可得: , 所以 , 整理化简得 , 因为 不在直线 上,所以 , 故 ,于是 的方程为 , 所以直线过定点直线过定点 . 当直线 的斜率不存在时,可得 , 由 得: , 得 ,结合 可得: ,解得: 或 (舍). 此时直线 过点 . 令 为 的中点,即 , 若 与 不重合,则由题设知 是 的斜边,故 , 若 与 重合,则 ,故存在点 ,使得 为定值. [方法二]【最优解】:平移坐标系 将原坐标系平移,原来的O点平移至点A处,则在新的坐标系下椭圆的方程为 ,设直 线 的方程为 .将直线 方程与椭圆方程联立得 ,即 ,化简得 ,即 . 设 ,因为 则 ,即 . 代入直线 方程中得 .则在新坐标系下直线 过定点 ,则在原坐标系下 直线 过定点 . 又 ,D在以 为直径的圆上. 的中点 即为圆心Q.经检验,直线 垂直于x轴时也 成立.故存在 ,使得 . [方法三]:建立曲线系 A点处的切线方程为 ,即 .设直线 的方程为 ,直线 的 方程为 ,直线 的方程为 .由题意得 . 则过A,M,N三点的二次曲线系方程用椭圆及直线 可表示为 (其中 为系数). 用直线 及点A处的切线可表示为 (其中 为系数). 即 . 对比 项、x项及y项系数得 将①代入②③,消去 并化简得 ,即 . 故直线 的方程为 ,直线 过定点 .又 ,D在以 为直径的圆上. 中点 即为圆心Q. 经检验,直线 垂直于x轴时也成立.故存在 ,使得 . [方法四]:设 . 若直线 的斜率不存在,则 . 因为 ,则 ,即 . 由 ,解得 或 (舍). 所以直线 的方程为 . 若直线 的斜率存在,设直线 的方程为 ,则 . 令 ,则 . 又 ,令 ,则 . 因为 ,所以 , 即 或 . 当 时,直线 的方程为 .所以直线 恒过 ,不合题意; 当 时,直线 的方程为 ,所以直线 恒过 . 综上,直线 恒过 ,所以 . 又因为 ,即 ,所以点D在以线段 为直径的圆上运动. 取线段 的中点为 ,则 . 所以存在定点Q,使得 为定值. 【整体点评】(2)方法一:设出直线 方程,然后与椭圆方程联立,通过题目条件可知直线过定点 , 再根据平面几何知识可知定点 即为 的中点,该法也是本题的通性通法; 方法二:通过坐标系平移,将原来的O点平移至点A处,设直线 的方程为 ,再通过与椭圆方 程联立,构建齐次式,由韦达定理求出 的关系,从而可知直线过定点 ,从而可知定点 即为 的中点,该法是本题的最优解; 方法三:设直线 ,再利用过点 的曲线系,根据比较对应项系数可求出 的关系, 从而求出直线过定点 ,故可知定点 即为 的中点; 方法四:同方法一,只不过中间运算时采用了一元二次方程的零点式赋值,简化了求解 以及 的计算. 2.(2019·全国·高考真题(文))已知点A,B关于坐标原点O对称,│AB│ =4,⊙M过点A,B且与直线 x+2=0相切. (1)若A在直线x+y=0上,求⊙M的半径. (2)是否存在定点P,使得当A运动时,│MA│-│MP│为定值?并说明理由. 【答案】(1) 或 ;(2)见解析. 【解析】(1) 在直线 上 设 ,则 又 ,解得: 过点 , 圆心 必在直线 上 设 ,圆的半径为 与 相切 又 ,即 ,解得: 或 当 时, ;当 时, 的半径为: 或 (2)存在定点 ,使得 说明如下: , 关于原点对称且 直线 必为过原点 的直线,且①当直线 斜率存在时,设 方程为: 则 的圆心 必在直线 上 设 , 的半径为 与 相切 又 ,整理可得: 即 点轨迹方程为: ,准线方程为: ,焦点 ,即抛物线上点到 的距离 当 与 重合,即 点坐标为 时, ②当直线 斜率不存在时,则直线 方程为: 在 轴上,设 ,解得: ,即 若 ,则 综上所述,存在定点 ,使得 为定值. 3.(2022·全国·高考真题(文))已知椭圆E的中心为坐标原点,对称轴为x轴、y轴,且过 两点. (1)求E的方程; (2)设过点 的直线交E于M,N两点,过M且平行于x轴的直线与线段AB交于点T,点H满足.证明:直线HN过定点. 【答案】(1) ;(2) 【解析】(1)设椭圆E的方程为 ,过 , 则 ,解得 , ,所以椭圆E的方程为: . (2) ,所以 , ①若过点 的直线斜率不存在,直线 .代入 , 可得 , ,代入AB方程 ,可得 ,由 得到 .求得HN方程: ,过点 . ②若过点 的直线斜率存在,设 . 联立 得 , 可得 , , 且联立 可得 可求得此时 , 将 ,代入整理得 , 将 代入,得 显然成立, 综上,可得直线HN过定点 4.(2020·全国·高考真题(理))已知A、B分别为椭圆E: (a>1)的左、右顶点,G为E的 上顶点, ,P为直线x=6上的动点,PA与E的另一交点为C,PB与E的另一交点为D. (1)求E的方程; (2)证明:直线CD过定点. 【答案】(1) ;(2)证明详见解析. 【解析】(1)依据题意作出如下图象: 由椭圆方程 可得: , , , , 椭圆方程为: (2)[方法一]:设而求点法 证明:设 ,则直线 的方程为: ,即: 联立直线 的方程与椭圆方程可得: ,整理得: ,解得: 或 将 代入直线 可得: 所以点 的坐标为 . 同理可得:点 的坐标为 当 时, 直线 的方程为: , 整理可得: 整理得: 所以直线 过定点 . 当 时,直线 : ,直线过点 . 故直线CD过定点 .[方法二]【最优解】:数形结合 设 ,则直线 的方程为 ,即 . 同理,可求直线 的方程为 . 则经过直线 和直线 的方程可写为 . 可化为 .④ 易知A,B,C,D四个点满足上述方程,同时A,B,C,D又在椭圆上,则有 ,代入④式可 得 . 故 ,可得 或 . 其中 表示直线 ,则 表示直线 . 令 ,得 ,即直线 恒过点 . 5.(2019·北京·高考真题(文))已知椭圆 的右焦点为 ,且经过点 . (Ⅰ)求椭圆C的方程; (Ⅱ)设O为原点,直线 与椭圆C交于两个不同点P,Q,直线AP与x轴交于点M,直 线AQ与x轴交于点N,若|OM|·|ON|=2,求证:直线l经过定点. 【答案】(Ⅰ) ;(Ⅱ)见解析. 【解析】(Ⅰ)因为椭圆的右焦点为 ,所以 ; 因为椭圆经过点 ,所以 ,所以 ,故椭圆的方程为 . (Ⅱ)设 联立 得 ,, , . 直线 ,令 得 ,即 ; 同理可得 . 因为 ,所以 ; ,解之得 ,所以直线方程为 ,所以直线 恒过定点 . 【点睛】解决直线与椭圆的综合问题时,要注意: (1)注意观察应用题设中的每一个条件,明确确定直线、椭圆的条件; (2)强化有关直线与椭圆联立得出一元二次方程后的运算能力,重视根与系数之间的关系、弦长、斜率、三 角形的面积等问题. 6.(2019·全国·高考真题(理))已知曲线C:y= ,D为直线y= 上的动点,过D作C的两条切线, 切点分别为A,B. (1)证明:直线AB过定点: (2)若以E(0, )为圆心的圆与直线AB相切,且切点为线段AB的中点,求四边形ADBE的面积. 【答案】(1)见详解;(2) 3或 . 【解析】(1)证明:设 , ,则 . 又因为 ,所以 .则切线DA的斜率为 , 故 ,整理得 .设 ,同理得 . , 都满足直线方程 . 于是直线 过点 ,而两个不同的点确定一条直线,所以直线 方程为 .即 , 当 时等式恒成立.所以直线 恒过定点 . (2)由(1)得直线 的方程为 . 由 ,可得 , 于是 . 设 分别为点 到直线 的距离,则 . 因此,四边形ADBE的面积 . 设M为线段AB的中点,则 , 由于 ,而 , 与向量 平行,所以 ,解得 或 . 当 时, ;当 时 因此,四边形 的面积为3或 . 7.(2017·全国·高考真题(理))已知椭圆C: (a>b>0),四点P(1,1),P(0,1),P(– 1 2 31, ),P(1, )中恰有三点在椭圆C上. 4 (Ⅰ)求C的方程; (Ⅱ)设直线l不经过P 点且与C相交于A,B两点.若直线PA与直线PB的斜率的和为–1,证明:l过 2 2 2 定点. 【答案】(1) .(2)证明见解析. 【解析】(1)由于 , 两点关于y轴对称,故由题设知C经过 , 两点. 又由 知,C不经过点P1,所以点P2在C上. 因此 ,解得 . 故C的方程为 . (2)设直线P2A与直线P2B的斜率分别为k1,k2, 如果l与x轴垂直,设l:x=t,由题设知 ,且 ,可得A,B的坐标分别为(t, ),(t, ). 则 ,得 ,不符合题设. 从而可设l: ( ).将 代入 得 由题设可知 .设A(x1,y1),B(x2,y2),则x1+x2= ,x1x2= . 而 . 由题设 ,故 . 即 . 解得 . 当且仅当 时, ,欲使l: ,即 , 所以l过定点(2, ) 8.(2018·北京·高考真题(理))已知抛物线C: =2px经过点 (1,2).过点Q(0,1)的直线l与 抛物线C有两个不同的交点A,B,且直线PA交y轴于M,直线PB交y轴于N. (Ⅰ)求直线l的斜率的取值范围; (Ⅱ)设O为原点, , ,求证: 为定值. 【答案】(1) 取值范围是(-∞,-3)∪(-3,0)∪(0,1)(2)证明过程见解析 【解析】(Ⅰ)因为抛物线y2=2px经过点P(1,2), 所以4=2p,解得p=2,所以抛物线的方程为y2=4x. 由题意可知直线l的斜率存在且不为0, 设直线l的方程为y=kx+1(k≠0). 由 得 . 依题意 ,解得k<0或00, 所以 ,等号当且仅当 时取得. 此时 ,即 ,符号题意. 所以直线AB 的斜率的最小值为 . 10.(2016·北京·高考真题(文))已知椭圆 过点 两点. (Ⅰ)求椭圆 的方程及离心率; (Ⅱ)设 为第三象限内一点且在椭圆 上,直线 与 轴交于点 ,直线 与 轴交于点 ,求证: 四边形 的面积为定值. 【答案】(Ⅰ) ; (Ⅱ)见解析. 【解析】(Ⅰ)由题意得, . 所以椭圆 的方程 . 又 ,所以离心率 . (Ⅱ)设 ,则 .又 , ,所以,直线 的方程为 . 令 ,得 ,从而 . 直线 的方程为 . 令 ,得 ,从而 所以四边形 的面积 . 从而四边形 的面积为定值.