当前位置:首页>文档>专题12锐角三角函数的相关计算重难点题型专训(11大题型)(解析版)_初中数学人教版_9下-初中数学人教版_07专项讲练_2023-2024学年九年级数学全册重难点专题提升精讲精练(人教版)

专题12锐角三角函数的相关计算重难点题型专训(11大题型)(解析版)_初中数学人教版_9下-初中数学人教版_07专项讲练_2023-2024学年九年级数学全册重难点专题提升精讲精练(人教版)

  • 2026-03-28 12:07:24 2026-03-27 09:20:56

文档预览

专题12锐角三角函数的相关计算重难点题型专训(11大题型)(解析版)_初中数学人教版_9下-初中数学人教版_07专项讲练_2023-2024学年九年级数学全册重难点专题提升精讲精练(人教版)
专题12锐角三角函数的相关计算重难点题型专训(11大题型)(解析版)_初中数学人教版_9下-初中数学人教版_07专项讲练_2023-2024学年九年级数学全册重难点专题提升精讲精练(人教版)
专题12锐角三角函数的相关计算重难点题型专训(11大题型)(解析版)_初中数学人教版_9下-初中数学人教版_07专项讲练_2023-2024学年九年级数学全册重难点专题提升精讲精练(人教版)
专题12锐角三角函数的相关计算重难点题型专训(11大题型)(解析版)_初中数学人教版_9下-初中数学人教版_07专项讲练_2023-2024学年九年级数学全册重难点专题提升精讲精练(人教版)
专题12锐角三角函数的相关计算重难点题型专训(11大题型)(解析版)_初中数学人教版_9下-初中数学人教版_07专项讲练_2023-2024学年九年级数学全册重难点专题提升精讲精练(人教版)
专题12锐角三角函数的相关计算重难点题型专训(11大题型)(解析版)_初中数学人教版_9下-初中数学人教版_07专项讲练_2023-2024学年九年级数学全册重难点专题提升精讲精练(人教版)
专题12锐角三角函数的相关计算重难点题型专训(11大题型)(解析版)_初中数学人教版_9下-初中数学人教版_07专项讲练_2023-2024学年九年级数学全册重难点专题提升精讲精练(人教版)
专题12锐角三角函数的相关计算重难点题型专训(11大题型)(解析版)_初中数学人教版_9下-初中数学人教版_07专项讲练_2023-2024学年九年级数学全册重难点专题提升精讲精练(人教版)
专题12锐角三角函数的相关计算重难点题型专训(11大题型)(解析版)_初中数学人教版_9下-初中数学人教版_07专项讲练_2023-2024学年九年级数学全册重难点专题提升精讲精练(人教版)
专题12锐角三角函数的相关计算重难点题型专训(11大题型)(解析版)_初中数学人教版_9下-初中数学人教版_07专项讲练_2023-2024学年九年级数学全册重难点专题提升精讲精练(人教版)
专题12锐角三角函数的相关计算重难点题型专训(11大题型)(解析版)_初中数学人教版_9下-初中数学人教版_07专项讲练_2023-2024学年九年级数学全册重难点专题提升精讲精练(人教版)
专题12锐角三角函数的相关计算重难点题型专训(11大题型)(解析版)_初中数学人教版_9下-初中数学人教版_07专项讲练_2023-2024学年九年级数学全册重难点专题提升精讲精练(人教版)
专题12锐角三角函数的相关计算重难点题型专训(11大题型)(解析版)_初中数学人教版_9下-初中数学人教版_07专项讲练_2023-2024学年九年级数学全册重难点专题提升精讲精练(人教版)
专题12锐角三角函数的相关计算重难点题型专训(11大题型)(解析版)_初中数学人教版_9下-初中数学人教版_07专项讲练_2023-2024学年九年级数学全册重难点专题提升精讲精练(人教版)
专题12锐角三角函数的相关计算重难点题型专训(11大题型)(解析版)_初中数学人教版_9下-初中数学人教版_07专项讲练_2023-2024学年九年级数学全册重难点专题提升精讲精练(人教版)
专题12锐角三角函数的相关计算重难点题型专训(11大题型)(解析版)_初中数学人教版_9下-初中数学人教版_07专项讲练_2023-2024学年九年级数学全册重难点专题提升精讲精练(人教版)
专题12锐角三角函数的相关计算重难点题型专训(11大题型)(解析版)_初中数学人教版_9下-初中数学人教版_07专项讲练_2023-2024学年九年级数学全册重难点专题提升精讲精练(人教版)
专题12锐角三角函数的相关计算重难点题型专训(11大题型)(解析版)_初中数学人教版_9下-初中数学人教版_07专项讲练_2023-2024学年九年级数学全册重难点专题提升精讲精练(人教版)
专题12锐角三角函数的相关计算重难点题型专训(11大题型)(解析版)_初中数学人教版_9下-初中数学人教版_07专项讲练_2023-2024学年九年级数学全册重难点专题提升精讲精练(人教版)
专题12锐角三角函数的相关计算重难点题型专训(11大题型)(解析版)_初中数学人教版_9下-初中数学人教版_07专项讲练_2023-2024学年九年级数学全册重难点专题提升精讲精练(人教版)
专题12锐角三角函数的相关计算重难点题型专训(11大题型)(解析版)_初中数学人教版_9下-初中数学人教版_07专项讲练_2023-2024学年九年级数学全册重难点专题提升精讲精练(人教版)
专题12锐角三角函数的相关计算重难点题型专训(11大题型)(解析版)_初中数学人教版_9下-初中数学人教版_07专项讲练_2023-2024学年九年级数学全册重难点专题提升精讲精练(人教版)
专题12锐角三角函数的相关计算重难点题型专训(11大题型)(解析版)_初中数学人教版_9下-初中数学人教版_07专项讲练_2023-2024学年九年级数学全册重难点专题提升精讲精练(人教版)
专题12锐角三角函数的相关计算重难点题型专训(11大题型)(解析版)_初中数学人教版_9下-初中数学人教版_07专项讲练_2023-2024学年九年级数学全册重难点专题提升精讲精练(人教版)
专题12锐角三角函数的相关计算重难点题型专训(11大题型)(解析版)_初中数学人教版_9下-初中数学人教版_07专项讲练_2023-2024学年九年级数学全册重难点专题提升精讲精练(人教版)
专题12锐角三角函数的相关计算重难点题型专训(11大题型)(解析版)_初中数学人教版_9下-初中数学人教版_07专项讲练_2023-2024学年九年级数学全册重难点专题提升精讲精练(人教版)
专题12锐角三角函数的相关计算重难点题型专训(11大题型)(解析版)_初中数学人教版_9下-初中数学人教版_07专项讲练_2023-2024学年九年级数学全册重难点专题提升精讲精练(人教版)
专题12锐角三角函数的相关计算重难点题型专训(11大题型)(解析版)_初中数学人教版_9下-初中数学人教版_07专项讲练_2023-2024学年九年级数学全册重难点专题提升精讲精练(人教版)
专题12锐角三角函数的相关计算重难点题型专训(11大题型)(解析版)_初中数学人教版_9下-初中数学人教版_07专项讲练_2023-2024学年九年级数学全册重难点专题提升精讲精练(人教版)
专题12锐角三角函数的相关计算重难点题型专训(11大题型)(解析版)_初中数学人教版_9下-初中数学人教版_07专项讲练_2023-2024学年九年级数学全册重难点专题提升精讲精练(人教版)
专题12锐角三角函数的相关计算重难点题型专训(11大题型)(解析版)_初中数学人教版_9下-初中数学人教版_07专项讲练_2023-2024学年九年级数学全册重难点专题提升精讲精练(人教版)
专题12锐角三角函数的相关计算重难点题型专训(11大题型)(解析版)_初中数学人教版_9下-初中数学人教版_07专项讲练_2023-2024学年九年级数学全册重难点专题提升精讲精练(人教版)
专题12锐角三角函数的相关计算重难点题型专训(11大题型)(解析版)_初中数学人教版_9下-初中数学人教版_07专项讲练_2023-2024学年九年级数学全册重难点专题提升精讲精练(人教版)
专题12锐角三角函数的相关计算重难点题型专训(11大题型)(解析版)_初中数学人教版_9下-初中数学人教版_07专项讲练_2023-2024学年九年级数学全册重难点专题提升精讲精练(人教版)
专题12锐角三角函数的相关计算重难点题型专训(11大题型)(解析版)_初中数学人教版_9下-初中数学人教版_07专项讲练_2023-2024学年九年级数学全册重难点专题提升精讲精练(人教版)
专题12锐角三角函数的相关计算重难点题型专训(11大题型)(解析版)_初中数学人教版_9下-初中数学人教版_07专项讲练_2023-2024学年九年级数学全册重难点专题提升精讲精练(人教版)
专题12锐角三角函数的相关计算重难点题型专训(11大题型)(解析版)_初中数学人教版_9下-初中数学人教版_07专项讲练_2023-2024学年九年级数学全册重难点专题提升精讲精练(人教版)
专题12锐角三角函数的相关计算重难点题型专训(11大题型)(解析版)_初中数学人教版_9下-初中数学人教版_07专项讲练_2023-2024学年九年级数学全册重难点专题提升精讲精练(人教版)
专题12锐角三角函数的相关计算重难点题型专训(11大题型)(解析版)_初中数学人教版_9下-初中数学人教版_07专项讲练_2023-2024学年九年级数学全册重难点专题提升精讲精练(人教版)
专题12锐角三角函数的相关计算重难点题型专训(11大题型)(解析版)_初中数学人教版_9下-初中数学人教版_07专项讲练_2023-2024学年九年级数学全册重难点专题提升精讲精练(人教版)
专题12锐角三角函数的相关计算重难点题型专训(11大题型)(解析版)_初中数学人教版_9下-初中数学人教版_07专项讲练_2023-2024学年九年级数学全册重难点专题提升精讲精练(人教版)
专题12锐角三角函数的相关计算重难点题型专训(11大题型)(解析版)_初中数学人教版_9下-初中数学人教版_07专项讲练_2023-2024学年九年级数学全册重难点专题提升精讲精练(人教版)
专题12锐角三角函数的相关计算重难点题型专训(11大题型)(解析版)_初中数学人教版_9下-初中数学人教版_07专项讲练_2023-2024学年九年级数学全册重难点专题提升精讲精练(人教版)
专题12锐角三角函数的相关计算重难点题型专训(11大题型)(解析版)_初中数学人教版_9下-初中数学人教版_07专项讲练_2023-2024学年九年级数学全册重难点专题提升精讲精练(人教版)
专题12锐角三角函数的相关计算重难点题型专训(11大题型)(解析版)_初中数学人教版_9下-初中数学人教版_07专项讲练_2023-2024学年九年级数学全册重难点专题提升精讲精练(人教版)
专题12锐角三角函数的相关计算重难点题型专训(11大题型)(解析版)_初中数学人教版_9下-初中数学人教版_07专项讲练_2023-2024学年九年级数学全册重难点专题提升精讲精练(人教版)
专题12锐角三角函数的相关计算重难点题型专训(11大题型)(解析版)_初中数学人教版_9下-初中数学人教版_07专项讲练_2023-2024学年九年级数学全册重难点专题提升精讲精练(人教版)
专题12锐角三角函数的相关计算重难点题型专训(11大题型)(解析版)_初中数学人教版_9下-初中数学人教版_07专项讲练_2023-2024学年九年级数学全册重难点专题提升精讲精练(人教版)
专题12锐角三角函数的相关计算重难点题型专训(11大题型)(解析版)_初中数学人教版_9下-初中数学人教版_07专项讲练_2023-2024学年九年级数学全册重难点专题提升精讲精练(人教版)
专题12锐角三角函数的相关计算重难点题型专训(11大题型)(解析版)_初中数学人教版_9下-初中数学人教版_07专项讲练_2023-2024学年九年级数学全册重难点专题提升精讲精练(人教版)
专题12锐角三角函数的相关计算重难点题型专训(11大题型)(解析版)_初中数学人教版_9下-初中数学人教版_07专项讲练_2023-2024学年九年级数学全册重难点专题提升精讲精练(人教版)
专题12锐角三角函数的相关计算重难点题型专训(11大题型)(解析版)_初中数学人教版_9下-初中数学人教版_07专项讲练_2023-2024学年九年级数学全册重难点专题提升精讲精练(人教版)
专题12锐角三角函数的相关计算重难点题型专训(11大题型)(解析版)_初中数学人教版_9下-初中数学人教版_07专项讲练_2023-2024学年九年级数学全册重难点专题提升精讲精练(人教版)
专题12锐角三角函数的相关计算重难点题型专训(11大题型)(解析版)_初中数学人教版_9下-初中数学人教版_07专项讲练_2023-2024学年九年级数学全册重难点专题提升精讲精练(人教版)
专题12锐角三角函数的相关计算重难点题型专训(11大题型)(解析版)_初中数学人教版_9下-初中数学人教版_07专项讲练_2023-2024学年九年级数学全册重难点专题提升精讲精练(人教版)
专题12锐角三角函数的相关计算重难点题型专训(11大题型)(解析版)_初中数学人教版_9下-初中数学人教版_07专项讲练_2023-2024学年九年级数学全册重难点专题提升精讲精练(人教版)
专题12锐角三角函数的相关计算重难点题型专训(11大题型)(解析版)_初中数学人教版_9下-初中数学人教版_07专项讲练_2023-2024学年九年级数学全册重难点专题提升精讲精练(人教版)

文档信息

文档格式
docx
文档大小
2.229 MB
文档页数
53 页
上传时间
2026-03-27 09:20:56

文档内容

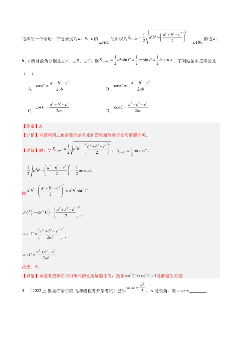
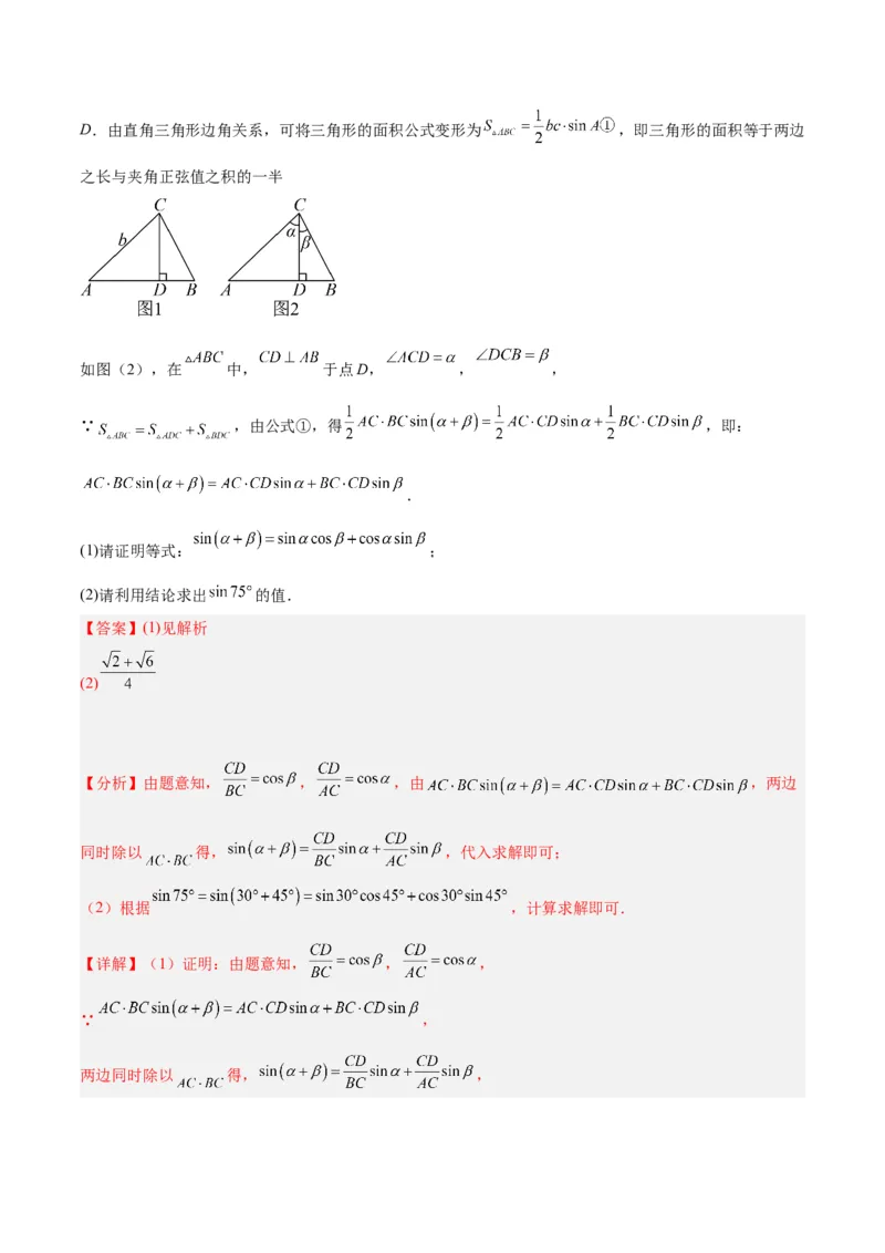
专题12 三角函数值的相关计算与应用(11大题型) 【题型目录】 题型一 求特殊角的三角函数值 题型二 特殊角三角函数值的混合运算 题型三 由特殊角的三角函数值判断三角形形状 题型四 由计算器求锐角三角函数值 题型五 根据特殊角三角函数值求角的度数 题型六 已知角度比较三角函数值的大小 题型七 根据三角函数值判断锐角的取值范围 题型八 利用同角三角函数关系求值 题型九 求证同角三角函数关系式 题型十 互余两角三角函数的关系 题型十一 三角函数综合 【知识梳理】 知识点1:特殊锐角三角比的值 1.特殊锐角的三角比的值 30° 45° 1 1 60° 3.通过观察上面的表格,可以总结出:当0    90 , 的正弦值随着角度的增大而增大, 的余弦值随着角度的增大而减小; 的 正切值随着角度的增大而增大, 的余切值随着角度的增大而减小. 【经典例题一 求特殊角的三角函数值】 1.(2023上·湖南娄底·九年级校考阶段练习)下列各式中不正确的是( ). A. B. C. D. 【答案】B 【分析】本题考查特殊角三角函数值及同角三角函数的关系,互余两角三角函数的关系.根据特殊角三角 函数值及同角三角函数的关系,互余两角三角函数的关系解答即可. 【详解】解: , , , , A、正确,符合同角三角函数的关系,不符合题意; B、错误, ,符合题意; C、正确,符合同角三角函数的关系,不符合题意; D、正确, , ,不符合题意. 故选:B. 2.(2023上·山东潍坊·九年级统考期中)若 是锐角, ,则 的值是( ) A. B. C. D.1 【答案】B 【分析】本题考查了特殊角三角函数的函数值,根据 是锐角, ,得到 ,即可求 的值. 【详解】解: 是锐角, , , , 故选:B.3.(2023上·山东菏泽·九年级统考期中) 的算术平方根等于 . 【答案】 【分析】本题考查了特殊角的三角函数值及求算术平方根,熟记特殊角的三角函数值是解题的关键. 【详解】解:根据特殊角的三角函数值可知, , 的算术平方根为 , 故答案为 . 4.(2023上·重庆万州·九年级重庆市万州第二高级中学校考期中) . 【答案】 【分析】本题考查了实数的混合运算,涉及负整数与零指数幂、特殊角三角函数.根据负整数指数幂、特 殊角三角函数及零指数幂进行计算即可. 【详解】解:原式 . 5.(2023秋·全国·九年级专题练习)先化简,再求代数式 的值,其中 ; . 【答案】 ; 【分析】分别化简代数式和字母的值,再代入计算. 【详解】原式, ∵ ; , ∴原式 . 【点睛】本题考查分式的化简求值,分母有理化,特殊角三角函数值,解题的关键是先化简,然后把给定 的值代入求解. 【经典例题二 特殊角三角函数值的混合运算】 1.(2023上·山东潍坊·九年级统考期中)计算 的值为( ) A. B. C. D. 【答案】A 【分析】本题考查特殊角三角函数值的计算,运用特殊角的三角函数值计算. 【详解】解: . 故选:A. 2.(2023下·黑龙江大庆·八年级校考期中)下列计算结果是有理数的是( ) A. B. C. D. 【答案】B 【分析】根据二次根式的运算法则和特殊角的三角函数值计算各选项,再判定即可得出答案. 【详解】解:A、 ,结果是无理数,故此选项不符合题意; B、 ,结果是有理数,故此选项符合题意;C、 ,结果是无理数,故此选项不符合题意; D、 ,结果是无理数,故此选项不符合题意; 故选:B. 【点睛】本题考查二次根式运算,特殊角三角函数,有理数.熟练掌握二次根式运算和特殊角三角函数值 是解题的关键. 3.(2023上·河北石家庄·九年级石家庄市第九中学校考期中) . 【答案】 【分析】此题主要考查了特殊角的三角函数值,直接利用特殊角的三角函数值代入,进而化简得出答案. 【详解】解:原式 . 故答案为: . 4.(2023下·九年级课时练习) . 【答案】 【详解】原式 . 【易错点分析】三角函数的定义、特殊角的三角函数值容易混淆.解决办法分别有画图、整体规律记忆、 各特殊角的三角函数值相互之间的联系记忆. 5.(上海市闵行区2023-2024学年九年级上学期期中数学试题)计算: 【答案】 【分析】直接利用特殊角的三角函数值,分别代入计算得出答案. 【详解】解:原式. 【点睛】此题主要考查了特殊角的三角函数值,正确记忆相关数据是解题关键. 【经典例题三 由特殊角的三角函数值判断三角形形状】 1.(2022下·全国·九年级专题练习)若 ,则 是( ) A.直角三角形 B.等边三角形 C.含有 的任意三角形 D.顶角为钝角的等腰三角形 【答案】B 【分析】根据 利用非负数的性质求得 ,再利用特殊角的三角 函数值求出 ,即可得到结论. 【详解】解:∵ , ∴ , ∴ , ∴ , ∴ 是等边三角形. 故选:B. 【点睛】此题考查了特殊角的三角函数值、等边三角形的判定等知识,熟练掌握特殊角的三角函数值是解 题的关键. 2.(2019上·广东梅州·九年级广东梅县东山中学校考期末)在 中, 、 都是锐角,且 , ,则 是( ). A.等腰三角形 B.等边三角形 C.直角三角形 D.钝角三角形 【答案】B 【分析】根据特殊角的三角函数值求出 ,然后利用三角形内角和定理求出 的度数,即可解答. 【详解】解:∵ , , ∴ , ∴ , ∴ 是等边三角形, 故选:B. 【点睛】本题考查了特殊角的三角函数值,熟练掌握特殊角的三角函数值是解题的关键. 3.(2022上·山东泰安·九年级校考阶段练习)在 中,若 ,则 是 三角形. 【答案】等边 【分析】直接绝对值的性质以及偶次方的性质得出 , ,再利用特殊角的三角函数值求 出答案. 【详解】解: , , , , , 是等边三角形. 故答案为:等边. 【点睛】此题主要考查了特殊角的三角函数值,正确记忆相关数据是解题关键. 4.(2023上·山东威海·九年级山东省文登第二中学校联考阶段练习)在 中,若 , , 都是锐角,则 的形状是 . 【答案】钝角三角形 【分析】由题意易得 ,则有 ,然后问题可求解. 【详解】解:∵ ,∴ , ∴ , ∴ , ∴ , ∴ 的形状是钝角三角形; 故答案为钝角三角形. 【点睛】本题主要考查特殊三角函数值,熟练掌握特殊三角函数值是解题的关键. 5.(2022春·全国·九年级专题练习)如图, 在平面坐标系内,点 , .点 为 轴 上动点,求 的最小值. 【答案】 【分析】取 ,连接 ,作 , 于 交 轴于 ,先利用坐标求出线段长,得到 ,进而得到 ,推出 , ,得到 ,再利用 垂线段最短,得到当 与 重合, 与 重合时, 最短,即为 的长,利用三角函数即可求出 答案. 【详解】解:如图,取 ,连接 ,作 , 于 交 轴于 ,, , , , , , , , , , , 当 与 重合, 与 重合时, 最短,最小值即为 的长, 在 中, , 的最小值为 . 【点睛】本题考查了垂线段最短,锐角三角函数,30度角所对的直角边等于斜边一半,学会转化线段是解 题关键. 【经典例题四 由计算器求锐角三角函数值】 1.(2022·山东东营·模拟预测)若用我们数学课本上采用的科学计算器进行计算,其按键顺序及结果如下: 2 yx 3 - 16 =,按键的结果为m; 2ndF 6 4 - 2 x2 =,按键的结果为n; 9 ab/c 2 - cos 60 =,按键的结果为k. 下列判断正确的是( )A.m=n B.n=k C.m=k D.m=n=k 【答案】C 【分析】分别计算出m,n,k的值即可得出答案. 【详解】解:m=23− =8−4=4; n= −22=4−4=0; k= −cos60°= − =4; ∴m=k, 故选:C. 【点睛】本题考查了计算器的使用,注意二次根式的副功能是立方根. 2.(2023秋·九年级课时练习)请从以下两个小题中任选一个作答,若多选,则按第一题计分. A.若正多边形的一个内角等于140°,则这个正多边形的边数是 . B.用科学计算器计算:13× ×sin14°≈ (结果精确到0.1) 【答案】 9 11.3 【分析】A、首先根据求出外角度数,再利用外角和定理求出边数; B、利用科学计算器计算可得. 【详解】解:A.∵正多边形的一个内角是140°, ∴它的外角是:180°-140°=40°, 则这个正多边形的边数为:360°÷40°=9. 故答案为:9. B.13× ×sin14°≈13×3.61×0.24≈11.3, 故答案为:11.3. 【点睛】此题主要考查了多边形的外角与内角和计算器的使用,做此类题目,首先求出正多边形的外角度 数,再利用外角和定理求出求边数. 3.(2023秋·九年级课时练习)用计算器求下列各式的值(精确到0.0001): (1) ; (2) ; (3) ; (4) .【答案】(1)0.7314 (2)0.2164 (3)0.9041 (4) 【分析】利用计算器求出结果,根据有效数字的概念用四舍五入法取近似数即可. 【详解】(1)解: ; (2)解: ; (3)解: ; (4)解: . 【点睛】本题考查计算锐角三角函数值,熟练使用计算器是解题的关键. 【经典例题五 根据特殊角三角函数值求角的度数】 1.(22·23上·西安·阶段练习)如图,点A为反比例函数 图像上一点,B、C分别在x、y轴上, 连接AB与y轴相交于点D,已知 ,且 的面积为2,则k的值为( ) A.2 B. C. D.4 【答案】C 【分析】先根据 ,得 ,根据同底等高可以得到 ,即可求 得k的值. 【详解】解:连结, 轴, 故选C. 【点睛】本题考查了反比例函数的比例系数k的几何意义:在反比例函数 图象中任取一点,过这一个 点向x轴和y轴分别作垂线,与坐标轴围成的矩形的面积是定值|k|. 2.(22·23下·九江·三模)如图,已知在抛物线 上有一点 , 轴于B点,连接 , 将 绕O点顺时针方向旋转一定的角度后,该三角形的A.B两点中必有一个顶点落在抛物线上,这 个角度是( ) A. B. C. D. 【答案】B 【分析】如图,设抛物线与y轴的交点为点C,则点C坐标为 ,再根据 可得当点A与抛物线顶点C重合时满足题意,再利用锐角三角函数求得 ,从而求得旋转角度. 【详解】解:如图,设抛物线与y轴的交点为点C,则点C坐标为 , ∵ , 轴于B点, ∴ , , , ∵ , ∴ , ∴ , ∴将 绕O点顺时针方向旋转 ,该三角形的A与抛物线的顶点C重合, 故选:B. 【点睛】本题考查抛物线与y轴的交点,旋转的性质、勾股定理及锐角三角函数,根据抛物线求得顶点坐 标,从而确定旋转角度是解题的关键. 3.(2023秋·全国·九年级专题练习)如图,在平面直角坐标系 中,顶点为 的抛物线 经过点 和 轴正半轴上的点 , . (1)求这条抛物线的表达式; (2)联结 ,求 的度数; (3)联结 、 、 ,若在坐标轴上存在一点 ,使 ,求点 的坐标.【答案】(1) (2) (3) 或 【分析】(1)根据已知条件求出点 的坐标,将 , 的坐标代入 ,即可求得 、 ,从而求 得抛物线的表达式. (2)应用二次函数的性质,求出点 的坐标,从而求得 ,进而求得 的大小. (3)根据(2)的结论得出 ,进而分类讨论,即可求解. 【详解】(1)解:∵ ∴ , ∵ ∴ ,则 将 , 代入 得: , 解得 , ∴这条抛物线的表达式为 ; (2)过点 作 轴于点 ,过点 作 轴于点 , ∵ ∴ ,∴ ,则 ∵ ∵ ∴ ,即 , ∴ , ∴ . ∴ . (3)解:∵ , ∴ ∵ ∴ , ∴ , ∵ ∴ 轴或 如图所示,当 轴时, , 当 时, ,则 是等边三角形, ∴ , ∴ , 综上所述, 或 . 【点睛】本题考查了待定系数法求二次函数解析式,已知特殊角的三角函数值求角度,等腰三角形的性质 与判定,等边三角形的性质与判定,熟练掌握二次函数的性质是解题的关键. 【经典例题六 已知角度比较三角函数值的大小】 1.(2019上·淮北·阶段练习)已知 ,那么锐角 的取值范围是( ) A. B. C. D. 【答案】D 【分析】根据当α=45°时sinα=cosα和正弦函数和余弦函数的增减性即可得出答案. 【详解】解:∵α=45°时sinα=cosα,当α是锐角时sinα随α的增大而增大,cosα随α的增大而减小, ∴45°<α<90°. 故选D. 【点睛】考查了锐角三角函数的增减性,当角度在0°~90°间变化时,正弦值随着角度的增大而增大,余 弦值随着角度的增大而减小. 2.(2022上·邵阳·期末)下列说法中正确的是( ) A. B.若 为锐角,则 C.对于锐角 ,必有 D.若 为锐角,则 【答案】B 【分析】根据锐角三角函数的定义及性质、特殊角三角函数逐项判断即可. 【详解】A、 ,故说法不正确;B、对于任一锐角,这个角的正弦等于它的余角的余弦,即若 为锐角,则 ,故说法正 确; C、当 =60°时, ,则 ,故说法不正确; β D、当 =45°时, ,故说法不正确; α 故选:B 【点睛】本题考查了锐角三角函数的定义及性质、特殊角的三角函数等知识,掌握它们是关键. 3.(2021春·全国·九年级专题练习)我们知道,锐角的三角函数值都是随着锐角的确定而确定、变化而变 化的,如图所示. (1)试探索随着锐角度数的增大,它的三角函数值的变化规律; (2)根据你探索到的规律,试分别比较 , , , 角的正弦,余弦,正切值的大小. 【答案】(1)锐角的正弦值随着角度的增大而增大,锐角的余弦值随着角度的增大而减小.锐角的正切值 随着角度的增大面增大;(2)见解析 【分析】(1)根据概念结合图中几个锐角角,就能发现随着一个锐角的增大,它的对边在减小,邻边在 增大,即可找到正余弦变化规律 (2)根据(1)中规律即可 【详解】解:(1)由题图可知, . ∵ , , ,又∵ ,且 , ∴ , ∴ ∵ , , , 又∵ , ∴ , ∴ . ∵ , , 又∵ , , ∴ . ∴ . 规律:锐角的正弦值随着角度的增大而增大,锐角的余弦值随着角度的增大而减小.锐角的正切值随着角度 的增大面增大. (2) ; ; . 【点睛】本题考查锐角三角函数的求法以及比较大小,熟练掌握锐角函数的定义是解题关键【经典例题七 根据三角函数值判断锐角的取值范围】 1.(2023秋·黑龙江大庆·九年级校联考开学考试)已知 ,则锐角 的取值范围是 ( ) A. B. C. D. 【答案】D 【分析】根据特殊角的三角函数值, , ,再由余弦函数值在锐角范围内,随角 度增大而减小即可得到答案 【详解】解: , , 由 可得 , 在锐角范围内,余弦函数值随着角度的增大而减小, , 故选:D. 【点睛】本题考查利用特殊角的三角函数值及余弦函数的性质比较角度大小,熟练掌握特殊角的三角函数 值性质是解决问题的关键. 2.(2022春·九年级课时练习)如图,在矩形ABCD 中,O是对角线AC的中点,E为AD上一点,若 ,则AB的最大值为 . 【答案】4 【分析】设 ,则 ,根据 , ,根据正弦的增减性可得,当 最大值, 取得最大值,进而即可求解.【详解】设 ,则 , 则 过点 ,则 ,当 点与 点重合时, 取得最大值,此时 最大,则 最大,即 取得最大值, 此时 , 的最大值为 故答案为:4 【点睛】本题考查了矩形的性质,正弦的增减性,掌握三角函数的关系,矩形的性质是解题的关键. 3.(2022春·九年级单元测试)(1)如图,锐角的正弦和余弦都随着锐角的确定而确定,也随着其变化 而变化,试探索随着锐角度数的增大,它的正弦值和余弦值的变化规律; (2)根据你探索到的规律,试比较 , , , , ,这些角的正弦值的大小和余弦值的大小; (3)比较大小:(在空格处填写“<”或“>”或“=”) 若 ,则 ___________ ;若 ,则 __________ ;若 ,则 __________ ; (4)利用互余的两个角的正弦和余弦的关系,比较下列正弦值和余弦值的大小: , , , .【答案】(1)见解析;(2) ; ;(3)=,<,>;(4) 【分析】(1)在图(1)中,令 , 于点 , 于点 , 于 点 ,有 , .利用正弦公式求得 ;依据余弦公式得到 ; (2)由(1)得,当角度越大时,正弦值越大;当角度越大时,余弦值越小,即可得到答案; (3)利用概念分别得到 、 、 的正弦值和余弦值,比较即可得到答案; (4)由 , ,利用(1)的结论解答即可. 【详解】(1)在图(1)中,令 , 于点 , 于点 , 于 点 , 显然有: , . ∵ , , , 而 . ∴ . 在图(2)中, 中, , , , , ∵ , ∴ . 即 . (2)由(1)得,当角度越大时,正弦值越大;当角度越大时,余弦值越小, ∴ ; .(3)∵ , , ∴若 ,则 ; ∵ , , ∴若 ,则 ; ∵ , , ∴若 ,则 . 故答案为:=,<,>; (4)∵ , ,且 , ∴ . 【点睛】此题考查了锐角三角函数的概念,掌握锐角三角函数值的变化规律以及正余弦的转换方法是解题 的关键. 【经典例题八 利用同角三角函数关系求值】 1.(2023上·湖南邵阳·九年级统考阶段练习)如果 是锐角,且 ,那么 的值( ) A. B. C. D. 【答案】C 【分析】本题考查了同角的三角函数的关系,熟练掌握同角的三角函数的关系是解答本题的关键. 根据题意得 ,利用 求出答案. 【详解】解: , . 故选: . 2.(2023·湖南娄底·统考中考真题)我国南宋著名数学家秦九韶在他的著作《数学九章》一书中,给出了这样的一个结论:三边分别为a、b、c的 的面积为 . 的边a、 b、c所对的角分别是∠A、∠B、∠C,则 .下列结论中正确的是 ( ) A. B. C. D. 【答案】A 【分析】本题利用三角函数间的关系和面积相等进行变形解题即可. 【详解】解:∵ , , ∴ 即 , , , 故选:A. 【点睛】本题考查等式利用等式的性质解题化简,熟悉 是解题的关键. 3.(2022上·黑龙江哈尔滨·九年级校考开学考试)已知 , 是锐角,则 .【答案】 【分析】根据 求得 的值,再根据 求出 即可. 【详解】解: , 是锐角, , . 故答案为: . 【点睛】本题考查三角函数,解题的关键是掌握正弦函数、余弦函数、正切函数之间的关系. 4.(2023上·福建莆田·九年级校考开学考试)在 中, ,若 ,则 的值为 . 【答案】 【分析】设 ,根据勾股定理求出 的长,再根据 即可 【详解】解:如图所示, , 设 , 则 ,. 故答案为: . 【点睛】此题考查了同角的三角函数,勾股定理,关键是熟练运用数形结合的数学方法. 5.(2022·湖南湘潭·校考一模)同学们,在我们进入高中以后,还将学到下面三角函数公式: , ; , . 例: . (1)试仿照例题,求出 的值; (2)若已知锐角α满足条件 ,求 的值. 【答案】(1) (2) 【分析】(1)把 化为 直接代入三角函数公式 计算即可; (2)把 化为 直接代入三角函数公式 计算即可. 【详解】(1)解:∵ , ∴; (2)解:∵ , ,α为锐角, 解得 , ∴ . 【点睛】本题考查了特殊角的三角函数值的应用,属于新题型,解答本题的关键是根据题目中所给信息结 合特殊角的三角函数值来求解. 【经典例题九 求证同角三角函数关系式】 1.(2023·福建泉州·南安市实验中学校考二模)常听到的“…正弦平方加余弦平方…”,上述话语中所含 有的数学语言应正确表达为( )(假设有任意角α) A. B. C. D. 【答案】B 【分析】根据题意即可写出式子. 【详解】解:“正弦平方加余弦平方”的数学语言为: , 故选:B. 【点睛】本题考查同角三角函数关系,明确题意,用数学语言正确表达是解题的关键. 2.(2020上·九年级校考课时练习)⊿ABC中,∠C=90°,CD⊥AB于D,下列比值中不等于 的是 ( ) A. B. C. D. 【答案】D【分析】根据题意,画出图形,根据正切的定义和同角的正切值相同即可得出结论. 【详解】解:如下图所示 在Rt 中, = ,故A不符合题意; 在Rt 中, = ,故B不符合题意; ∵∠A+∠ACD=90°,∠BCD+∠ACD=90° ∴∠A=∠BCD ∴ =tan∠BCD= ,故C不符合题意; ≠ ,故D符合题意. 故选D. 【点睛】此题考查的是正切,掌握正切的定义和同角的正切值相同是解决此题的关键. 3.(2018下·九年级单元测试)已知:实常数 同时满足下列两个等式:⑴ ; ⑵ (其中 为任意锐角),则 之间的关系式是: 【答案】a2+b2=c2+d2 【分析】把两个式子移项后,两边平方,再相加,利用sin2θ+cos2θ=1,即可找到这四个数的关系. 【详解】由①得asinθ+bcosθ=c, 两边平方,a2sin2θ+b2cos2θ+2absinθcosθ=c2③, 由②得acosθ-bsinθ=-d, 两边平方,a2cos2θ+b2sin2θ-2absinθcosθ=d2④, ③+④得a2(sin2θ+cos2θ)+b2(sin2θ+cos2θ)=c2+d2, ∴a2+b2=c2+d2. 【点睛】本题主要考查了同角三角函数基本关系式的应用,sin2θ+bcos2θ=1的应用是解题的关键,属于基础 题. 4.(2019下·九年级单元测试)已知: , ,,请你根据上式写出你发现的规律 . 【答案】 【分析】从角度的倍数关系方面考虑并总结写出结论. 【详解】根据题意发现:同一个角正弦与余弦的积等于这个角的2倍的正弦的一半, 规律为: . 故答案为 . 【点睛】本题考点:同角三角函数的关系. 5.(2022春·九年级单元测试)如图,在 中, 、 、 三边的长分别为 、 、 ,则 , , .我们不难发现: , 试探求 、 、 之 间存在的一般关系,并说明理由. 【答案】 ; ,理由见解析 【分析】利用勾股定理可得 ,用 , , 表示正弦,余弦的平方和,即可得出 ;根据题意得出 ,即可得出 . 【详解】存在的一般关系有: , , 证明: , ,, , , , . 【点睛】本题考查了同角三角函数的关系,勾股定理的知识,熟练应用锐角三角函数关系是解答本题的关 键. 【经典例题十 互余两角三角函数的关系】 1.(2023上·辽宁沈阳·九年级东北育才双语学校校考阶段练习)在 中, , ,则 下列式子成立的是( ) A. B. C. D. 【答案】B 【分析】根据各个三角函数的定义即可解答. 【详解】解:A、∵ ,∴ ,故A不成立,不符合题意; B、 ,∴ ,故B成立,符合题意; C、 ,∴ ,故C不成立,不符合题意; D、 ,∴ ,故D不成立,不符合题意; 故选:B. 【点睛】本题主要考查了三角函数的定义,解题的关键的数量掌握各个三角函数的求法.2.(2023上·黑龙江大庆·九年级校联考开学考试)已知 ,则锐角 的取值范围是 ( ) A. B. C. D. 【答案】D 【分析】根据特殊角的三角函数值, , ,再由余弦函数值在锐角范围内,随角 度增大而减小即可得到答案 【详解】解: , , 由 可得 , 在锐角范围内,余弦函数值随着角度的增大而减小, , 故选:D. 【点睛】本题考查利用特殊角的三角函数值及余弦函数的性质比较角度大小,熟练掌握特殊角的三角函数 值性质是解决问题的关键. 3.(2023上·山东青岛·九年级统考期中)在 中, , ,则 的值为 . 【答案】 【分析】本题考查了互余两角三角函数的关系,根据锐角三角函数的定义即可解答. 【详解】解:在 中, , , ∴ . 故答案为: . 4.(2019上·上海青浦·九年级校考期中)已知 , ,则 . 【答案】 / 【分析】应用互余两角三角函数的关系 进行计算即可得出答案.【详解】解:根据题意可得, , , , , 故答案为: 或 . 【点睛】本题主要考查了互余两角三角函数的关系,熟练掌握互余两角三角函数的关系进行求解是解决本 题的关键. 5.(2023春·全国·九年级专题练习)如图,根据图中数据完成填空,再按要求答题. (1) ; ; . (2)观察上述等式,猜想:在 中, ,都有 ; (3)如图④,在 中, , , , 的对边分别是 , , ,利用三角函数的定义 和勾股定理,证明你的猜想; (4)若 ,且 ,求 的值. 【答案】(1)1,1,1 (2)1 (3)证明见解析 (4) 【分析】(1)根据三角函数定义,数形结合,分别得到正弦函数值与余弦函数值,代入式子求解即可得到答案; (2)由(1)中运算结果即可得到答案; (3)根据题意,由勾股定理及三角函数定义,得到正弦函数值与余弦函数值,代入式子求解即可得证; (4)由上述归纳及证明的结论知 ,结合 ,根据完全平方和公式恒等变形, 由 确定 ,代值求解即可得到答案. 【详解】(1)解: , , , 故答案为:1,1,1; (2)解:由(1)中运算结果即可猜想在 中, ,都有 , 故答案为:1; (3)证明:在 中, , , , 的对边分别是 , , , 由勾股定理即可得到 , , ; (4)解: , , , , . 【点睛】本题考查三角函数计算综合,涉及三角函数定义、同角三角函数关系、勾股定理及三角函数恒等变形求值,数形结合,灵活运用三角函数定义是解决问题的关键. 【经典例题十一 三角函数综合】 1.(2023上·上海青浦·九年级校考阶段练习)在 中, , ,则下列各式中正确的 是( ) A. B. C. D. 【答案】B 【分析】根据勾股定理计算得 ,根据锐角三角函数分别进行计算即可得. 【详解】解:在 中, , , 则 , ∴ , , , , 故选:B. 【点睛】本题考查了勾股定理,锐角三角函数,解题的关键是理解题意,掌握这些知识点. 2.(2022上·安徽合肥·九年级合肥市第四十八中学校考期末)如图, 是半圆 的直径,弦 相交于点P,那么 ( )A. B. C. D.以上都不对 【答案】B 【分析】由图,可证 ,得 .连接 ,则 ,得 . 【详解】解:由图知, ∴ . ∴ . 连接 ,则 , ∴ . 故选:B 【点睛】本题考查圆周角定理,相似三角形的判定和性质,锐角三角函数;添加辅助线,构造直角三角形 是解题的关键. 3.(2023上·山东烟台·九年级统考期中)当 为锐角,且 时, 的取值范围是 . 【答案】 【分析】本题考查了锐角三角函数的增减性.根据 及 即可求解, 熟记特殊角的三角函数值,了解锐角三角函数的增减性是解题的关键,此题基础题,比较简单,也是一道 常考试题. 【详解】解: ,且 , , 为锐角, , 故答案为: 4.(2023上·陕西西安·九年级校考期中)如图,在平行四边形 中, ,E是 边上的点,, ,F是 边上的一点,且 ,若M、N分别是线段 、 上的动点,则 的最小值为 . 【答案】 【分析】过点F作 的对称点G,过点G作 于点Q,则 的最小值为 ,利用三角函 数,勾股定理,平行四边形的性质,计算即可,熟练掌握三角函数是解题的关键. 【详解】过点F作 的对称点G,过点G作 于点Q,交 于点H,则 的最小值为 , ∵平行四边形 中, , ∴ , , ∴ , 解得 , ∴ , , 过点A作 于点O, ∴ , 解得 , ∴ , , ∵ , ∴ , ,∴ , ∴ , ∴ , ∴ ∴ , ∴ , ∵ , , ∴ , ∴ , ∵ , ∴ , ∴ , 故答案为: . 5.(2022秋·江苏徐州·九年级校联考阶段练习)如图(1), 中, 于点D.由直角三角形边角关系,可将三角形的面积公式变形为 ,即三角形的面积等于两边 之长与夹角正弦值之积的一半 如图(2),在 中, 于点D, , , ∵ ,由公式①,得 ,即: . (1)请证明等式: ; (2)请利用结论求出 的值. 【答案】(1)见解析 (2) 【分析】由题意知, , ,由 ,两边 同时除以 得, ,代入求解即可; (2)根据 ,计算求解即可. 【详解】(1)证明:由题意知, , , ∵ , 两边同时除以 得, ,∴ ; (2)解:由题意知, ; 【点睛】本题考查了锐角三角函数的应用.解题的关键在于对知识的熟练掌握与灵活运用. 【重难点训练】 1.(2023上·浙江宁波·九年级校考期中)在 中, , 是 边上的高,如果 , ,那么 的长为( ) A. B. C. D. 【答案】C 【分析】本题考查了解直角三角形,根据条件可得 , ,再根据 即可求解. 【详解】解:∵在 中, , 是 边上的高, , , ∴ , ∴ , ∵ , , , ∴ , ∴ , 即 ,∴ . 故选:C. 2.(2023上·河北唐山·九年级统考期中) 的结果是( ) A.1 B.2 C.3 D.0 【答案】B 【分析】本题考查特殊角的三角函数值,熟练掌握 、 、 角的三角函数值是解题的关键,按照题 中所给式子进行运算即可. 【详解】解: , , , ∵ ∴ 故选:B. 3.(2023上·四川广元·九年级校考阶段练习)在 中, ,若 ,则 的值为 () A. B. C. D. 【答案】B 【分析】根据 ,设 ,根据正切的定义,即可得答案. 【详解】解:由题意,得 , 故设 则 ,故选:B. 【点睛】本题考查三角函数的定义以及勾股定理,设 是解题关键. 4.(2023上·山东聊城·九年级校考阶段练习)在 中,若 ,则 的度数是 ( ) A. B. C. D. 【答案】C 【分析】由题意知 , ,解得 , ,根据 ,计算求 解即可. 【详解】解:∵ , ∴ , , 解得 , , ∴ , 故选:C. 【点睛】本题考查了绝对值的非负性,根据特殊角三角函数值求角的度数,三角形内角和定理.解题的关 键在于对知识的熟练掌握与灵活运用. 5.(2023·湖南娄底·统考一模)定义一种运算: , 例如:当 , 时, ,则 的值为( ) A. B. C. D. 【答案】B 【分析】根据 ,可以计算出 的值. 【详解】解:由题意可得,, 故选:B. 【点睛】本题考查解直角三角形、二次根式的混合运算、新定义,解答本题的关键是明确题意,利用新定 义解答. 6.(2022下·浙江·九年级专题练习)已知 ,关于角 的三角函数的命题有:① , ② ,③ ,④ ,其中是真命题的个数是( ) A.1个 B.2个 C.3个 D.4个 【答案】B 【分析】根据三角函数的计算法则以及余弦函数、正弦函数和正切函数的增减性即可作答. 【详解】解:由 ,得 ,故①正确; ,故②错误; 由 可得 ,与 矛盾,故③错误; ,故④正确; 故选:B. 【点睛】本题主要考查了三角函数的计算,掌握相应的考点知识是解答本题的关键. 7.(2023上·山东淄博·九年级统考期中)在正方形网格中,A,B,C,D,E均为格点,则 .【答案】1 【分析】本题考查勾股定理、勾股定理的逆定理和特殊角三角函数值,解答本题的关键是利用数形结合的 思想解答.根据题意,连接 、 ,然后利用勾股定理的逆定理,可以判断 的形状,从而可以 求得 的度数,再求出正切值即可. 【详解】解:连接 、 , 则 , ∵ , ∴ , 设小正方形的边长为1, 则 , , , ∴ , ∴ 是等腰直角三角形, ∴ , 即 , ∴ , 故答案为:1. 8.(2023上·浙江·九年级校联考期中)若 的直径 为2,弦 ,弦 ,则 的度 数为 . 【答案】 或 【分析】分点C、D在直径 的同侧和异侧两种情况,分别连接 ,分别在 和 中,根据三角形函数求得 和 的度数,最后根据角的和差即可解答. 【详解】解:①如图①:当C、D在 同侧时,连接 ,则 .在 中, , , ∴ ,即 , ∴ , 在 中, , ∴ ,即 ; ∴ ; ②如图2:当C、D在 异侧时,同理可得: 故 的度数为 或 . 故答案为: 或 . 【点睛】本题主要考查的是圆周角定理、直角三角形的性质、特殊角的三角函数值等知识点,掌握分类讨 论思想是解答本题的关键. 9.(2023上·山东淄博·九年级校考阶段练习)已知 为锐角, ,则 . 【答案】 【分析】直接利用特殊角的三角函数值代入得出答案. 【详解】解:∵a为锐角,且 , ∴ , 解得: . 故答案为: . 【点睛】此题主要考查了根据特殊角的三角函数值求角度,正确记忆特殊角三角函数值是解题的关键. 10.(2023上·山东枣庄·九年级校考阶段练习)如图,正方形 中,点E、F分别在边 上,, ,则 °;若 的面积等于1,则 的值是 . 【答案】 60 【分析】利用“ ”先说明 与 全等,得结论 ,再利用角的和差关系及三角 形的内角和定理求出 ;先利用三角形的面积求出 ,再利用直角三角形的边角间关系求出 . 【详解】解:∵四边形 是正方形, ∴ . 在 和 中, , ∴ . ∴ . ∴ ∴ . 故答案为:60. 过点F作 ,垂足为G. ∵ , ∴ .∴ , ∵ , ∴ ∴ . 在 中, ∵ , ∴ . 故答案为: . 【点睛】本题主要考查了正方形的性质及解直角三角形,掌握正方形的性质及直角三角形的边角间关系是 解决本题的关键. 11.(2022·福建厦门·统考模拟预测)在等腰三角形 中, , ,点D是 边上一点, 若 ,则 的度数为 . 【答案】 / 度 【分析】先画出图形,根据 得出 ,然后等腰三角形的性质求出 ,再根据 证得 ,从而得出 的度数, 进而利用外角的性质得出 的 度数. 【详解】解:如下图: ∵ , ∴ , ∵ , ∴ ,∵ , ∴ , ∵ , ∴ , ∴ , ∴ 故答案为: . 【点睛】本题考查了解直角三角形以及相似三角形的判定和性质,解题的关键是利用两边夹角法证得三角 形相似,利用相似三角形的性质求出 的度数. 12.(2023·河北·统考二模)小明在计算 时,先对题目进行了分析,请你 根据他的思路填空: (1)原式中“ ”可以转化为 , 的值为 . (2)原式中“ ”的结果为 ; (3)原式中“ ”的结构特征满足某个乘法公式,该公式为 ; (4)原式的最终结果为1. 【答案】 2 2 【分析】(1)根据负整数指数幂的运算法则,即可求解; (2)根据求一个数的立方根,即可求解; (3)根据完全平方公式进行运算即可; (4)根据(1)(2)(3)及特殊角的三角函数值,进行运算,即可解答 【详解】解:(1) , 故 的值为2, 故答案为:2; (2) ,故答案为:2; (3) ; (4) 【点睛】本题考查了负整数指数幂的运算法则,求一个数的立方根,完全平方公式,特殊角的三角函数值, 二次根式的混合运算,熟练掌握和运用各法则是解决本题的关键. 13.(2023上·黑龙江哈尔滨·九年级校考期中)计算: (1) (2) 【答案】(1) (2) 【分析】本题考查特殊角的三角函数的混合运算. (1)把特殊角的三角函数值代入,再计算即可求解; (2)把特殊角的三角函数值代入,再计算即可求解. 熟记特殊角的三角函数值和实数的混合运算法则是解题的关键. 【详解】(1)解:原式 ; (2)解:原式. 14.(2023上·山西晋中·九年级统考阶段练习)计算: (1) ; (2) . 【答案】(1) (2) 【分析】本题主要考查的是特殊角的三角函数,熟记特殊角的三角函数值是解题的关键. (1)把特殊三角函数值代入原式计算即可; (2)根据有理数的乘方法则,特殊角的三角函数值计算. 【详解】(1)解:原式 ; (2)解:原式 . 15.(2023上·山西临汾·九年级校考阶段练习)(1) ; (2) ; (3)已知 , , 是锐角三角形 的三个内角,且满足 ,求 的度数; (4)已知 的值是方程 的一个根,求式子 的值. 【答案】(1) (2) (3) (4) 【分析】(1)先求出特殊角的三角函数值,然后进行运算即可; (2)先分别计算负整数指数幂,绝对值,特殊角的三角函数值,零指数幂,算术平方根,然后进行加减 运算即可; (3)由题意得, , ,计算求解,确定 ,然后根据三角形内角和定理求 解即可; (4)解方程得正切值,然后根据 ,计算求解即可. 【详解】(1)(1)解: ; (2)解: ; (3)解:∵ ,∴ , , 解得 , , ∴ , ∴ , ∴ 的度数为 ; (4)解:∵ , , 解得 , ∴ , ∴ , ∴式子 的值为 . 【点睛】本题考查了特殊的三角函数值,负整数指数幂,绝对值,零指数幂,算术平方根,三角形内角和 定理,同角三角函数的关系,解一元二次方程.熟练掌握特殊的三角函数值,一元二次方程的根等知识是 解题的关键. 16.(2023上·湖南永州·九年级校联考期中)计算: (1) (2) 【答案】(1) (2) 【分析】此题考查了实数的运算,零指数幂,以及特殊角的三角函数值, (1)原式利用特殊角的三角函数值计算即可求出值; (2)原式利用算术平方根的定义,特殊角的三角函数值,零指数幂法则,绝对值的代数意义计算即可求出值. 熟练掌握运算法则是解本题的关键. 【详解】(1)解:原式 ; (2)解:原式 . 17.(2023上·黑龙江哈尔滨·九年级校联考期中)阅读理解:通过学习三角函数,我们知道在直角三角形 中,一个锐角的大小,与两条边长的比值相互唯一确定,因此边长与角的大小之间可以相互转化.类似地, 可以在等腰三角形中,建立边角之间的联系.我们定义:等腰三角形中底边与腰的比叫做顶角正对 . 如图1,在 中, ,顶角 的正对记作 ,这时 底边 腰 .容易知道一个角的 大小,与这个角的正对值也是相互唯一确定的.根据上述角的正对定义,解下列问题: (1)计算: ______; (2)对于 , 的正对值 的取值范围是______; (3)如(3)图,已知 , ,其中 为锐角,试求 的值. 【答案】(1) (2)(3) 【分析】本题是三角形综合题,主要考查了新定义、三角函数、等腰三角形的性质、勾股定理等知识点, 理解新定义是解此题的关键. (1)先求出底角度数,判断出三角形为等边三角形,再根据正对定义解答即可; (2)求出0度和90度时等腰三角形底和腰的比即可; (3)由 ,令 ,则 , ,在 上取点 ,使 ,连接 ,作 , 为垂足,表示出 的长,再计算出 ,最后由 正对的定义即可求解. 【详解】(1)解:根据正对定义可得: 当顶角为 时,等腰三角形底角为 ,则三角形为等边三角形, 底边 腰长 , 故答案为:1; (2)解:当 接近 时,底边长接近0,由定义知 接近0, 当 接近 时,等腰三角形的底接近腰的 倍,由定义知 接近 , 的正对值 的取值范围是 , 故答案为: ; (3)解:如图: 在 中, , 令 ,则 , , 在 上取点 ,使 ,连接 ,作 , 为垂足,∴ , , , .