当前位置:首页>文档>考点30平面向量的概念及线性运算(3种核心题型+基础保分练+综合提升练+拓展冲刺练)解析版_2.2025数学总复习_2025年新高考资料_一轮复习_2025年高考数学一轮复习核心题型讲与练(完结)

考点30平面向量的概念及线性运算(3种核心题型+基础保分练+综合提升练+拓展冲刺练)解析版_2.2025数学总复习_2025年新高考资料_一轮复习_2025年高考数学一轮复习核心题型讲与练(完结)

  • 2026-04-02 12:29:43 2026-03-27 12:15:07

文档预览

考点30平面向量的概念及线性运算(3种核心题型+基础保分练+综合提升练+拓展冲刺练)解析版_2.2025数学总复习_2025年新高考资料_一轮复习_2025年高考数学一轮复习核心题型讲与练(完结)
考点30平面向量的概念及线性运算(3种核心题型+基础保分练+综合提升练+拓展冲刺练)解析版_2.2025数学总复习_2025年新高考资料_一轮复习_2025年高考数学一轮复习核心题型讲与练(完结)
考点30平面向量的概念及线性运算(3种核心题型+基础保分练+综合提升练+拓展冲刺练)解析版_2.2025数学总复习_2025年新高考资料_一轮复习_2025年高考数学一轮复习核心题型讲与练(完结)
考点30平面向量的概念及线性运算(3种核心题型+基础保分练+综合提升练+拓展冲刺练)解析版_2.2025数学总复习_2025年新高考资料_一轮复习_2025年高考数学一轮复习核心题型讲与练(完结)
考点30平面向量的概念及线性运算(3种核心题型+基础保分练+综合提升练+拓展冲刺练)解析版_2.2025数学总复习_2025年新高考资料_一轮复习_2025年高考数学一轮复习核心题型讲与练(完结)
考点30平面向量的概念及线性运算(3种核心题型+基础保分练+综合提升练+拓展冲刺练)解析版_2.2025数学总复习_2025年新高考资料_一轮复习_2025年高考数学一轮复习核心题型讲与练(完结)
考点30平面向量的概念及线性运算(3种核心题型+基础保分练+综合提升练+拓展冲刺练)解析版_2.2025数学总复习_2025年新高考资料_一轮复习_2025年高考数学一轮复习核心题型讲与练(完结)
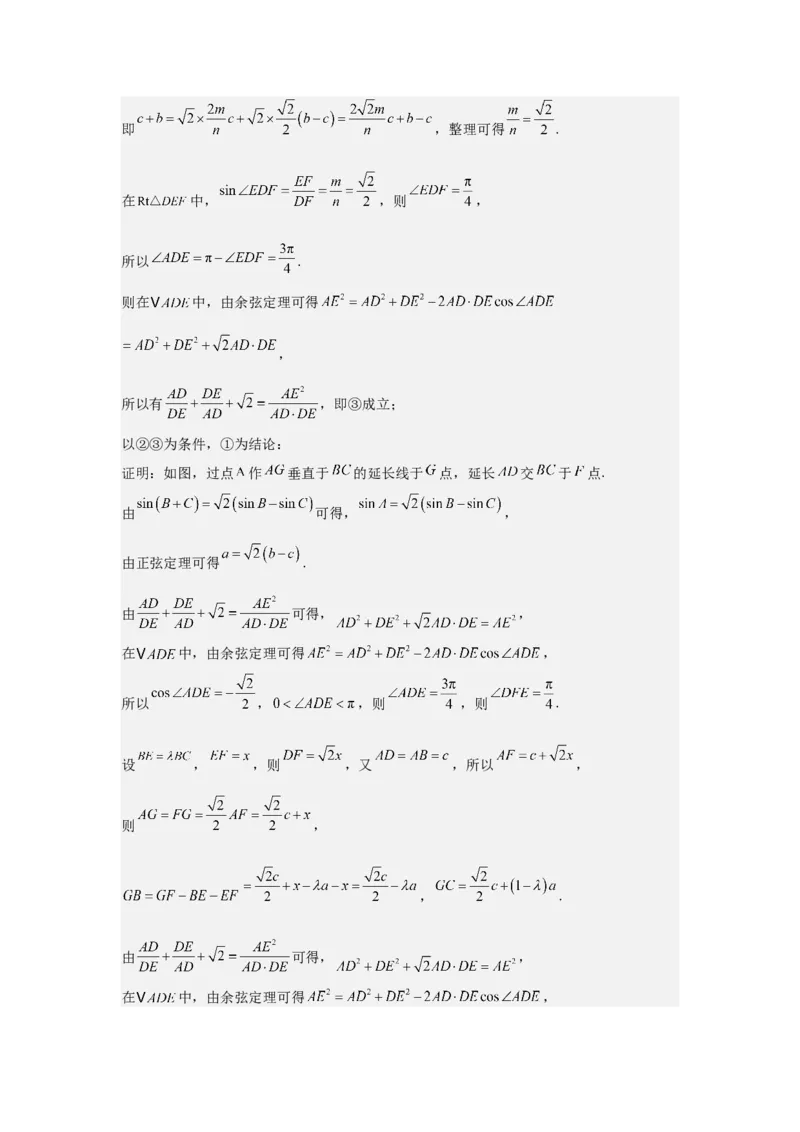
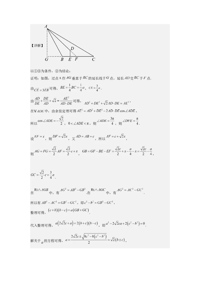
考点30平面向量的概念及线性运算(3种核心题型+基础保分练+综合提升练+拓展冲刺练)解析版_2.2025数学总复习_2025年新高考资料_一轮复习_2025年高考数学一轮复习核心题型讲与练(完结)
考点30平面向量的概念及线性运算(3种核心题型+基础保分练+综合提升练+拓展冲刺练)解析版_2.2025数学总复习_2025年新高考资料_一轮复习_2025年高考数学一轮复习核心题型讲与练(完结)
考点30平面向量的概念及线性运算(3种核心题型+基础保分练+综合提升练+拓展冲刺练)解析版_2.2025数学总复习_2025年新高考资料_一轮复习_2025年高考数学一轮复习核心题型讲与练(完结)
考点30平面向量的概念及线性运算(3种核心题型+基础保分练+综合提升练+拓展冲刺练)解析版_2.2025数学总复习_2025年新高考资料_一轮复习_2025年高考数学一轮复习核心题型讲与练(完结)
考点30平面向量的概念及线性运算(3种核心题型+基础保分练+综合提升练+拓展冲刺练)解析版_2.2025数学总复习_2025年新高考资料_一轮复习_2025年高考数学一轮复习核心题型讲与练(完结)
考点30平面向量的概念及线性运算(3种核心题型+基础保分练+综合提升练+拓展冲刺练)解析版_2.2025数学总复习_2025年新高考资料_一轮复习_2025年高考数学一轮复习核心题型讲与练(完结)
考点30平面向量的概念及线性运算(3种核心题型+基础保分练+综合提升练+拓展冲刺练)解析版_2.2025数学总复习_2025年新高考资料_一轮复习_2025年高考数学一轮复习核心题型讲与练(完结)
考点30平面向量的概念及线性运算(3种核心题型+基础保分练+综合提升练+拓展冲刺练)解析版_2.2025数学总复习_2025年新高考资料_一轮复习_2025年高考数学一轮复习核心题型讲与练(完结)
考点30平面向量的概念及线性运算(3种核心题型+基础保分练+综合提升练+拓展冲刺练)解析版_2.2025数学总复习_2025年新高考资料_一轮复习_2025年高考数学一轮复习核心题型讲与练(完结)
考点30平面向量的概念及线性运算(3种核心题型+基础保分练+综合提升练+拓展冲刺练)解析版_2.2025数学总复习_2025年新高考资料_一轮复习_2025年高考数学一轮复习核心题型讲与练(完结)
考点30平面向量的概念及线性运算(3种核心题型+基础保分练+综合提升练+拓展冲刺练)解析版_2.2025数学总复习_2025年新高考资料_一轮复习_2025年高考数学一轮复习核心题型讲与练(完结)
考点30平面向量的概念及线性运算(3种核心题型+基础保分练+综合提升练+拓展冲刺练)解析版_2.2025数学总复习_2025年新高考资料_一轮复习_2025年高考数学一轮复习核心题型讲与练(完结)
考点30平面向量的概念及线性运算(3种核心题型+基础保分练+综合提升练+拓展冲刺练)解析版_2.2025数学总复习_2025年新高考资料_一轮复习_2025年高考数学一轮复习核心题型讲与练(完结)
考点30平面向量的概念及线性运算(3种核心题型+基础保分练+综合提升练+拓展冲刺练)解析版_2.2025数学总复习_2025年新高考资料_一轮复习_2025年高考数学一轮复习核心题型讲与练(完结)
考点30平面向量的概念及线性运算(3种核心题型+基础保分练+综合提升练+拓展冲刺练)解析版_2.2025数学总复习_2025年新高考资料_一轮复习_2025年高考数学一轮复习核心题型讲与练(完结)
考点30平面向量的概念及线性运算(3种核心题型+基础保分练+综合提升练+拓展冲刺练)解析版_2.2025数学总复习_2025年新高考资料_一轮复习_2025年高考数学一轮复习核心题型讲与练(完结)
考点30平面向量的概念及线性运算(3种核心题型+基础保分练+综合提升练+拓展冲刺练)解析版_2.2025数学总复习_2025年新高考资料_一轮复习_2025年高考数学一轮复习核心题型讲与练(完结)
考点30平面向量的概念及线性运算(3种核心题型+基础保分练+综合提升练+拓展冲刺练)解析版_2.2025数学总复习_2025年新高考资料_一轮复习_2025年高考数学一轮复习核心题型讲与练(完结)
考点30平面向量的概念及线性运算(3种核心题型+基础保分练+综合提升练+拓展冲刺练)解析版_2.2025数学总复习_2025年新高考资料_一轮复习_2025年高考数学一轮复习核心题型讲与练(完结)
考点30平面向量的概念及线性运算(3种核心题型+基础保分练+综合提升练+拓展冲刺练)解析版_2.2025数学总复习_2025年新高考资料_一轮复习_2025年高考数学一轮复习核心题型讲与练(完结)
考点30平面向量的概念及线性运算(3种核心题型+基础保分练+综合提升练+拓展冲刺练)解析版_2.2025数学总复习_2025年新高考资料_一轮复习_2025年高考数学一轮复习核心题型讲与练(完结)
考点30平面向量的概念及线性运算(3种核心题型+基础保分练+综合提升练+拓展冲刺练)解析版_2.2025数学总复习_2025年新高考资料_一轮复习_2025年高考数学一轮复习核心题型讲与练(完结)
考点30平面向量的概念及线性运算(3种核心题型+基础保分练+综合提升练+拓展冲刺练)解析版_2.2025数学总复习_2025年新高考资料_一轮复习_2025年高考数学一轮复习核心题型讲与练(完结)
考点30平面向量的概念及线性运算(3种核心题型+基础保分练+综合提升练+拓展冲刺练)解析版_2.2025数学总复习_2025年新高考资料_一轮复习_2025年高考数学一轮复习核心题型讲与练(完结)
考点30平面向量的概念及线性运算(3种核心题型+基础保分练+综合提升练+拓展冲刺练)解析版_2.2025数学总复习_2025年新高考资料_一轮复习_2025年高考数学一轮复习核心题型讲与练(完结)
考点30平面向量的概念及线性运算(3种核心题型+基础保分练+综合提升练+拓展冲刺练)解析版_2.2025数学总复习_2025年新高考资料_一轮复习_2025年高考数学一轮复习核心题型讲与练(完结)
考点30平面向量的概念及线性运算(3种核心题型+基础保分练+综合提升练+拓展冲刺练)解析版_2.2025数学总复习_2025年新高考资料_一轮复习_2025年高考数学一轮复习核心题型讲与练(完结)
考点30平面向量的概念及线性运算(3种核心题型+基础保分练+综合提升练+拓展冲刺练)解析版_2.2025数学总复习_2025年新高考资料_一轮复习_2025年高考数学一轮复习核心题型讲与练(完结)
考点30平面向量的概念及线性运算(3种核心题型+基础保分练+综合提升练+拓展冲刺练)解析版_2.2025数学总复习_2025年新高考资料_一轮复习_2025年高考数学一轮复习核心题型讲与练(完结)
考点30平面向量的概念及线性运算(3种核心题型+基础保分练+综合提升练+拓展冲刺练)解析版_2.2025数学总复习_2025年新高考资料_一轮复习_2025年高考数学一轮复习核心题型讲与练(完结)
考点30平面向量的概念及线性运算(3种核心题型+基础保分练+综合提升练+拓展冲刺练)解析版_2.2025数学总复习_2025年新高考资料_一轮复习_2025年高考数学一轮复习核心题型讲与练(完结)
考点30平面向量的概念及线性运算(3种核心题型+基础保分练+综合提升练+拓展冲刺练)解析版_2.2025数学总复习_2025年新高考资料_一轮复习_2025年高考数学一轮复习核心题型讲与练(完结)
考点30平面向量的概念及线性运算(3种核心题型+基础保分练+综合提升练+拓展冲刺练)解析版_2.2025数学总复习_2025年新高考资料_一轮复习_2025年高考数学一轮复习核心题型讲与练(完结)
考点30平面向量的概念及线性运算(3种核心题型+基础保分练+综合提升练+拓展冲刺练)解析版_2.2025数学总复习_2025年新高考资料_一轮复习_2025年高考数学一轮复习核心题型讲与练(完结)
考点30平面向量的概念及线性运算(3种核心题型+基础保分练+综合提升练+拓展冲刺练)解析版_2.2025数学总复习_2025年新高考资料_一轮复习_2025年高考数学一轮复习核心题型讲与练(完结)
考点30平面向量的概念及线性运算(3种核心题型+基础保分练+综合提升练+拓展冲刺练)解析版_2.2025数学总复习_2025年新高考资料_一轮复习_2025年高考数学一轮复习核心题型讲与练(完结)
考点30平面向量的概念及线性运算(3种核心题型+基础保分练+综合提升练+拓展冲刺练)解析版_2.2025数学总复习_2025年新高考资料_一轮复习_2025年高考数学一轮复习核心题型讲与练(完结)
考点30平面向量的概念及线性运算(3种核心题型+基础保分练+综合提升练+拓展冲刺练)解析版_2.2025数学总复习_2025年新高考资料_一轮复习_2025年高考数学一轮复习核心题型讲与练(完结)
考点30平面向量的概念及线性运算(3种核心题型+基础保分练+综合提升练+拓展冲刺练)解析版_2.2025数学总复习_2025年新高考资料_一轮复习_2025年高考数学一轮复习核心题型讲与练(完结)
考点30平面向量的概念及线性运算(3种核心题型+基础保分练+综合提升练+拓展冲刺练)解析版_2.2025数学总复习_2025年新高考资料_一轮复习_2025年高考数学一轮复习核心题型讲与练(完结)
考点30平面向量的概念及线性运算(3种核心题型+基础保分练+综合提升练+拓展冲刺练)解析版_2.2025数学总复习_2025年新高考资料_一轮复习_2025年高考数学一轮复习核心题型讲与练(完结)
考点30平面向量的概念及线性运算(3种核心题型+基础保分练+综合提升练+拓展冲刺练)解析版_2.2025数学总复习_2025年新高考资料_一轮复习_2025年高考数学一轮复习核心题型讲与练(完结)
考点30平面向量的概念及线性运算(3种核心题型+基础保分练+综合提升练+拓展冲刺练)解析版_2.2025数学总复习_2025年新高考资料_一轮复习_2025年高考数学一轮复习核心题型讲与练(完结)
考点30平面向量的概念及线性运算(3种核心题型+基础保分练+综合提升练+拓展冲刺练)解析版_2.2025数学总复习_2025年新高考资料_一轮复习_2025年高考数学一轮复习核心题型讲与练(完结)
考点30平面向量的概念及线性运算(3种核心题型+基础保分练+综合提升练+拓展冲刺练)解析版_2.2025数学总复习_2025年新高考资料_一轮复习_2025年高考数学一轮复习核心题型讲与练(完结)
考点30平面向量的概念及线性运算(3种核心题型+基础保分练+综合提升练+拓展冲刺练)解析版_2.2025数学总复习_2025年新高考资料_一轮复习_2025年高考数学一轮复习核心题型讲与练(完结)
考点30平面向量的概念及线性运算(3种核心题型+基础保分练+综合提升练+拓展冲刺练)解析版_2.2025数学总复习_2025年新高考资料_一轮复习_2025年高考数学一轮复习核心题型讲与练(完结)
考点30平面向量的概念及线性运算(3种核心题型+基础保分练+综合提升练+拓展冲刺练)解析版_2.2025数学总复习_2025年新高考资料_一轮复习_2025年高考数学一轮复习核心题型讲与练(完结)
考点30平面向量的概念及线性运算(3种核心题型+基础保分练+综合提升练+拓展冲刺练)解析版_2.2025数学总复习_2025年新高考资料_一轮复习_2025年高考数学一轮复习核心题型讲与练(完结)
考点30平面向量的概念及线性运算(3种核心题型+基础保分练+综合提升练+拓展冲刺练)解析版_2.2025数学总复习_2025年新高考资料_一轮复习_2025年高考数学一轮复习核心题型讲与练(完结)
考点30平面向量的概念及线性运算(3种核心题型+基础保分练+综合提升练+拓展冲刺练)解析版_2.2025数学总复习_2025年新高考资料_一轮复习_2025年高考数学一轮复习核心题型讲与练(完结)
考点30平面向量的概念及线性运算(3种核心题型+基础保分练+综合提升练+拓展冲刺练)解析版_2.2025数学总复习_2025年新高考资料_一轮复习_2025年高考数学一轮复习核心题型讲与练(完结)
考点30平面向量的概念及线性运算(3种核心题型+基础保分练+综合提升练+拓展冲刺练)解析版_2.2025数学总复习_2025年新高考资料_一轮复习_2025年高考数学一轮复习核心题型讲与练(完结)
考点30平面向量的概念及线性运算(3种核心题型+基础保分练+综合提升练+拓展冲刺练)解析版_2.2025数学总复习_2025年新高考资料_一轮复习_2025年高考数学一轮复习核心题型讲与练(完结)

文档信息

文档格式
docx
文档大小
2.951 MB
文档页数
57 页
上传时间
2026-03-27 12:15:07

文档内容

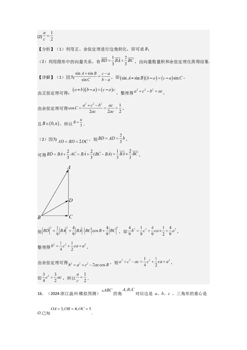
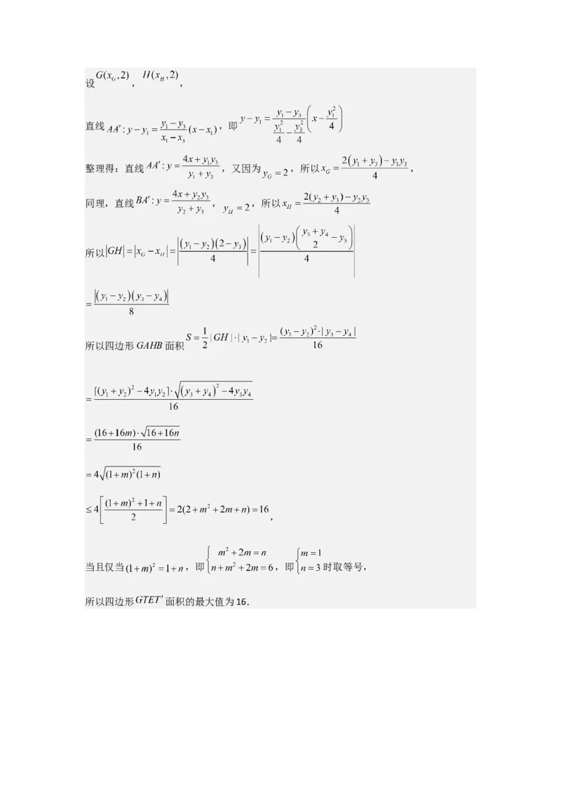
考点 30 平面向量的概念及线性运算(3 种核心题型+基础保 分练+综合提升练+拓展冲刺练) 【考试提醒】 1.理解平面向量的意义、几何表示及向量相等的含义. 2.掌握向量的加法、减法运算,并理解其几何意义及向量共线的含义. 3.了解向量线性运算的性质及其几何意义. 【知识点】 1.向量的有关概念 (1)向量:既有大小又有方向的量叫做向量,向量的大小称为向量的 长度 ( 或模 ). (2)零向量:长度为0 的向量,记作0. (3)单位向量:长度等于 1 个单位 长度的向量. (4)平行向量:方向相同或相反的非零向量,也叫做共线向量,规定:零向量与任意向量平 行. (5)相等向量:长度相等且方向相同的向量. (6)相反向量:长度相等且方向相反的向量. 2.向量的线性运算 向量运算 法则(或几何意义) 运算律 交换律:a+b= b + a ; 加法 结合律:(a+b)+c= a + ( b + c ) 减法 a-b=a+(-b) |λa|= | λ | | a |,当λ>0时,λa的方向与a λ(μa)= ( λμ ) a ; 的方向相同; 数乘 (λ+μ)a= λ a + μ a ; 当λ<0时,λa的方向与 a的方向相 λ(a+b)= λ a + λ b 反;当λ=0时,λa=0 3.向量共线定理 向量a(a≠0)与b共线的充要条件是:存在唯一一个实数λ,使 b = λ a . 常用结论 1.一般地,首尾顺次相接的多个向量的和等于从第一个向量起点指向最后一个向量终点的 向量,即A1A2+A2A3+A3A4+…+An-1An=A1An,特别地,一个封闭图形,首尾连接 而成的向量和为零向量. 2.若F为线段AB的中点,O为平面内任意一点,则OF=(OA+OB). 3.若A,B,C是平面内不共线的三点,则PA+PB+PC=0⇔P为△ABC的重心,AP=(AB +AC). 4.对于任意两个向量a,b,都有||a|-|b||≤|a±b|≤|a|+|b|. 【核心题型】 题型一 平面向量的基本概念 平行向量有关概念的四个关注点 (1)非零向量的平行具有传递性. (2)共线向量即为平行向量,它们均与起点无关. (3)向量可以平移,平移后的向量与原向量是相等向量. (4)是与a同方向的单位向量. 【例题1】(2024·湖南永州·三模)在 中, , , , ,则 的最小值为( ) A. B. C. D. 【答案】A 【分析】以 为坐标原点, 所在直线为x轴,过 垂直BC的直线为 轴建立如图所示 的平面直角坐标系,求得点 的轨迹方程,取 的中点为 ,求得 的轨迹方程,数形 结合可求 . 【详解】由题意,以 为坐标原点, 所在直线为x轴,过 垂直 的直线为 轴建立 如图所示的平面直角坐标系,则 , ,由 ,可得 是以 为直径的圆, 所以 的轨迹方程为 , 取 的中点为 ,设 , 可得 ,所以 ,所以 , 所以点 的轨迹方程为 ,圆心为 ,半径为 , 由 ,所以 ,所以 , 所以 , 所以 . 故选:A. 【变式1】(2023·北京大兴·三模)设 , 是非零向量,“ ”是“ ”的 ( ) A.充分而不必要条件 B.必要而不充分条件 C.充分必要条件 D.既不充分也不必要条件 【答案】B 【分析】根据向量相等、单位向量判断条件间的推出关系,结合充分、必要性定义即知答 案.【详解】由 表示单位向量相等,则 同向,但不能确定它们模是否相等,即不能 推出 , 由 表示 同向且模相等,则 , 所以“ ”是“ ”的必要而不充分条件. 故选:B 【变式2】(2022·江苏·三模)已知向量 ,与 共线且方向相反的单位向量 . 【答案】 【分析】利用与 共线且方向相反的单位向量为 ,即可得出答案. 【详解】 , ,所以与 共线且方向相反的单位向量是: . 故答案为: 【变式3】(2022·上海虹口·二模)已知向量 , 满足 , , ,则 . 【答案】 【分析】根据模长公式及向量的数量积公式求解即可.【详解】由 可得, ,即 ,解得: , 所以 . 故答案为: . 题型二 平面向量的线性运算 平面向量线性运算的常见类型及解题策略 (1)向量求和用平行四边形法则或三角形法则;求差用向量减法的几何意义. (2)求参数问题可以通过向量的运算将向量表示出来,进行比较,求参数的值. 命题点1 向量加、减法的几何意义 【例题2】(2024·福建福州·三模)已知线段 是圆 的一条长为2的弦,则 ( ) A.1 B.2 C.3 D.4 【答案】B 【分析】取 中点 ,连接 ,根据向量的相关计算性质计算即可. 【详解】取 中点 ,连接 , 易知 ,所以 . 故选:B. 【变式1】(2024·河南三门峡·模拟预测)在 中, ,则 ( ) A. B. C. D. 【答案】D【分析】运用平面向量加法、减法、数乘运算即可. 【详解】如图, 因为 ,所以 , 又 ,所以 , 所以 . 故选:D. 【变式2】(2023·四川乐山·一模)已知正六边形 边长为2, 是正六边形 的外接圆的一条动弦, ,P为正六边形 边上的动点,则 的最小值为 . 【答案】 【分析】若 是外接圆圆心, 是 中点,连接 ,根据 ,数形 结合有 、 即可求最小值. 【详解】若 是外接圆圆心, 是 中点,连接 ,如下图, 所以 ,则 ,故 ,而 ,且 , 所以 ,当且仅当 共线且 重合为正六边形一边的中点时等号成立, 所以 . 故答案为: 【变式3】(2023·上海金山·二模)已知 、 、 、 都是平面向量,且 ,若 ,则 的最小值为 . 【答案】 【分析】本题用向量减法的模的几何意义解决. 【详解】 作图, ,则 , , 因为 ,所以 起点在原点,终点在以B为圆心,1为半径的圆上; 同理, ,所以 起点在原点,终点在以C为圆心,1为半径的圆上, 所以 的最小值则为 , 因为 , ,当 , , 三点共线时, ,所以 . 故答案为: . 命题点2 向量的线性运算【例题3】(2023·河北·模拟预测)在平行四边形 中,已知 ,且 ,则向量 与 的夹角的余弦值为( ) A. B.0 C. D. 【答案】B 【分析】根据平面向量的线性运算及数量积求解即可. 【详解】由题意知,在平行四边形 中, , , 因为 ,所以 . 因为 ,所以 ,又 , 所以 , 故 ,则 , 所以向量 与 的夹角的余弦值为 0 . 故选:B. 【变式1】(2024·安徽·模拟预测)已知 为等边 的中心,若 ,则 .(用 表示) 【答案】 【分析】等边三角形的中心即三边中线的交点,由重心的结论: ,结合向量的 线性运算即可求解. 【详解】解:由题可得如图:是 的重心, ,O是 各边中线的交点, , , 又D为 的中点, ,故: , 所以: , 故答案为: . 【变式2】(2024·黑龙江哈尔滨·二模)已知不共线的三个单位向量 满足 与 的夹角为 ,则实数 . 【答案】-1 【分析】由已知等式可得 ,两边平方后,结合数量积运算,即可求得答案. 【详解】由题意知 ,故 , 则 ,即 , 即 ,解得 或 , 时, ,不合题意,故 , 故答案为: 【变式3】(2024·江苏扬州·模拟预测)记 的内角 的对边分别为 ,若,且 的面积为 . (1)求角 ; (2)若 ,求 的最小值. 【答案】(1) (2) 【分析】(1)借助余弦定理与面积公式可得 ,结合二倍角公式可得 ,即可得解; (2)结合题意借助向量,可得 ,结合模长与数量积的关系计算即可得 ,利用基本不等式即可得其最值. 【详解】(1) , 结合余弦定理得 , , , , 即 ,又 , ,故 ;(2)由(1)知: , , , , 又 , 当且仅当 时, 长取最小值,此时 , 长的最小值为 . 命题点3 根据向量线性运算求参数 【例题4】(2024·江苏·二模)已知非零向量 , ,若 ,则 ( ) A. B. C. D. 【答案】D 【分析】利用两个向量平行的性质可得 ,化简可得 ,利用齐次 式即可得到答案. 【详解】因为 , 为非零向量,所以 ,即 因为 ,所以 ,则 , 即 ,即 ,由于 ,所以两边同除 , 1 可得: ,解得:tanα= 或 (舍去), 3 所以 . 故选:D 【变式1】(2024·浙江杭州·三模)已知不共线的平面向量 , 满足 , 则正数 ( ) A.1 B. C. D.2 【答案】B 【分析】思路一:根据向量共线的判定条件即可解出 .思路二:由共线向量基本定理即可 得解. 【详解】方法一:由已知有 , ,解得 . 方法二:设 ,由题意 ,解得 . 故选:B. 【变式2】(2024·上海·三模)设平面向量 , ,若 , 不能组成 平面上的一个基底,则 . 【答案】 / 【分析】利用基底的定义可得 ,再利用共线向量的坐标表示求解即得. 【详解】由 , 不能组成平面上的一个基底,得 ,而 , , 因此 ,所以 .故答案为: 【变式3】(2023·四川南充·一模)在 中,设角A,B,C的对边分别为a,b,c.已 知向量 , ,且 . (1)求角A的大小; (2)若 , ,求 的面积. 【答案】(1) (2) 【分析】(1)首先根据平面向量平行的判定条件得 ,即可求出 的值, 进而求出角 ; (2)首先利用正弦定理进行角换边的转化,得 ,然后利用余弦定理求出 , 的值, 然后利用面积公式进行求解即可. 【详解】(1)已知 , , , ,得 , , . (2)已知 ,根据正弦定理得 ,即 . 根据余弦定理得 , 将 代入得 ,解得 ,即得 . . 题型三 共线定理及其应用 利用共线向量定理解题的策略 (1)a∥b⇔a=λb(b≠0)是判断两个向量共线的主要依据. (2)若a与b不共线且λa=μb,则λ=μ=0. (3)若OA=λOB+μOC(λ,μ为常数),则A,B,C三点共线的充要条件是λ+μ=1. 【例题5】(2024·全国·模拟预测)已知平面上点 , , 满足 ,且,点 满足 ,动点 满足 ,则 的 最小值为( ) A. B. C.1 D.1或 【答案】A 【分析】由题设三个条件依次得到 ,推得点 的轨迹是以点 为圆心, 为半径的圆,再得点 , , 三点共线,通过建系将问题转化成由点 向圆做切 线,求原点到该切线的最短距离问题. 【详解】由题意,得 ,所以 . 因为 ,所以 . 又 ,即 ,所以点 的轨迹是以点 为圆心, 为半径的圆. 如图,以 为坐标原点,以 的方向为 轴正方向,建立平面直角坐标系. 易知 , ,则点 的轨迹方程为 . 由 ,得点 , , 三点共线. 过点 作圆 的切线,设其方程为 ,即 .由点 到该切线的距离为 ,可得 ,解得 或 . 由图知,当 时, 最小,切线的方程为 , 此时 的最小值即为点 到切线的距离,即 . 故选:A. 【变式1】(2024·浙江·模拟预测)已知向量 , 是平面上两个不共线的单位向量,且 , , ,则( ) A. 三点共线 B. 三点共线 C. 三点共线 D. 三点共线 【答案】C 【分析】由平面向量共线定理求解即可. 【详解】因为向量 , 是平面上两个不共线的单位向量,所以 , 可以作为一组基底, 对于A,因为 , ,若 三点共线, 设 , ,则 ,无解,所以 三点不共线,故A错误; 对于B,若 三点共线, 设 , ,则 ,无解,所以 三点不共线,故B错误; 对于C,因为 , 因为 有公共点 ,所以 三点共线,故C正确. 对于D,因为 ,,设 , , 则 ,无解,所以 三点不共线,故D错误; 故选:C. 【变式2】(2024·上海松江·二模)已知正三角形 的边长为2,点 满足 ,且 , , ,则 的取值范围是 . 【答案】 【分析】取 的中点 ,由题意可得 ,从而推得 三点共线,进 而得出 ,即可得出答案. 【详解】取 的中点 ,则 , 又 ,又因为 , 故 三点共线,即点 在中线 上运动, 在正三角形 中, , 又 , ,则 , 故 . 故答案为: 【变式3】(2022·江苏盐城·模拟预测)如图,已知正方形ABCD的边长为2,过中心O的 直线l与两边AB,CD分别交于点M,N.(1)若Q是BC的中点,求 的取值范围; (2)若P是平面上一点,且满足 ,求 的最小值. 【答案】(1) ; (2) . 【分析】(1)由向量的加法和数量积运算将 转化为 ,再由 的值 和 的范围可求得结果. (2)令 可得点T 在BC上,再将 转化为 , 由 、 的范围可求得结果. 【详解】(1)因为直线l过中心O且与两边AB、CD分别交于点M、N. 所以O为MN的中点,所以 , 所以 . 因为Q是BC的中点,所以 , , 所以 , 即的 取值范围为 ; (2)令 ,则 ,∴ ,即: ∴ ∴点T 在BC上, 又因为O为MN的中点, 所以 ,从而 , , 因为 , 所以 , 即 的最小值为 . 【课后强化】 【基础保分练】 一、单选题 1.(2024·全国·模拟预测)已知平面向量 , ,则“ ”是“存在 ,使得 ”的( ) A.必要不充分条件 B.充分不必要条件 C.充要条件 D.既不充分也不必要条件 【答案】A 【分析】利用向量共线的意义,结合充分条件、必要条件的定义判断即得. 【详解】当 , 时,满足 ,但不存在 ,使得 ; 当 时,可得 ; 所以“ ”是“存在 ,使得 ”的必要不充分条件. 故选:A 2.(2023·贵州黔东南·三模)在△ABC中,已知 ,M为线段AB的中点, ,若 ,则 ( ) A. B. C. D. 【答案】B 【分析】由题意可得求得 ,而 , ,然后计算化简 可求得结果. 【详解】如图,∵ , , ∵ , , ∴ , 故选:B. 3.(2024·广东深圳·模拟预测)已知点 , , , ,则与向 量 同方向的单位向量为( ) A. B.C. D. 【答案】A 【分析】由单位向量的定义、向量坐标的线性运算以及向量模的坐标公式即可求解. 【详解】由题意 ,所以 , 从而与向量 同方向的单位向量为 . 故选:A. 4.(2024·山西朔州·一模)已知 ,且 ,则 ( ) A. B. C.4 D. 【答案】C 【分析】利用向量的数量积可求 . 【详解】因为 , ,则 , , 则 ,故 , 故选:C. 二、多选题 5.(2024·辽宁·二模) 的重心为点 ,点O,P是 所在平面内两个不同的点, 满足 ,则( ) A. 三点共线 B. C. D.点 在 的内部 【答案】AC 【分析】根据三角形重心的性质,向量共线的判定及向量的线性运算即可判断. 【详解】, 因为点 为 的重心, 所以 ,所以 , 所以 三点共线,故A正确,B错误; , 因为 , 所以 ,即 ,故C正确; 因为 , 所以点 的位置随着点 位置的变化而变化,故点 不一定在 的内部,故D错误; 故选:AC. 6.(2024·浙江宁波·二模)若平面向量 满足 且 ,则 ( ) A. 的最小值为2 B. 的最大值为5 C. 的最小值为2 D. 的最大值为 【答案】BD 【分析】由向量 方向间的关系,判断 的最大值和最小值;由 ,通 过 的最值,计算 的最值. 【详解】当向量 方向相同,与 方向相反时,满足 ,此时 有最小值 ,A选项错误; 当向量 方向相同时,满足 , 此时 有最大值 ,B选项正确; ,有 ,即 ,则 , 向量 方向相同时, 的最小值为0, 的最小值为3,C选项错误; 向量 方向相反时, 的最大值为2, 的最大值为 ,D选项正确. 故选:BD 三、填空题 7.(2023·重庆·一模)在 中, ,点Q满足 ,则 的最大值为 . 【答案】 / 【分析】设 中点为M,则 ,根据平面向量的线性运算可得 ,得当 时, 最大,此时 是等边三角形, 求出 即可求解. 【详解】设 中点为M, 则 , , 由 ,知P点轨迹是以 为弦,圆周角为 的优弧, ∴当 时, 最大,此时 是等边三角形,则 . 故答案为: . 8.(2023·云南大理·模拟预测)若 , , ,则 在 上投影向量的 模为 . 【答案】 / 【分析】根据平面向量的线性运算,数量积的运算,投影的定义与公式,即可求解. 【详解】解:已知 , ,则 , ,得 , 又 ,则 所以 在 上投影向量的模为 , 故答案为: . 9.(2023·陕西西安·模拟预测)若平面四边形 满足 , ,则该四边形一定是 . 【答案】菱形 【分析】根据向量相等可证明四边形为平行四边形,再由向量数量积为0知对角线互相垂 直可知为菱形. 【详解】 , , 所以四边形ABCD为平行四边形, , ,所以DB垂直AC,所以四边形ABCD为菱形. 故答案为:菱形. 四、解答题 10.(2024·山西朔州·一模)已知 的内角 的对边分别为 ,向量 ,且 . (1)求 ; (2)求 的最小值. 【答案】(1) (2) 【分析】(1)利用向量共线的坐标形式可得 ,结合余弦定理可求 ; (2)利用基本不等式可求最小值. 【详解】(1)因为 ,所以 , 由正弦定理可得 即 , 故 ,所以 , 而 为三角形内角,故 . (2)结合(1)可得: , ,当且仅当 时等号成立, 故 的最小值为 . 11.(2024·四川·模拟预测)已知 的内角 的对边分别为 ,且. (1)求角 ; (2)若 ,求 面积的最大值. 【答案】(1) (2) . 【分析】(1)正弦定理边化角结合三角变换求解即可; (2)设 中点为 ,得 ,由余弦定理结合基本不等式求出 的最大值为 4,即可求解面积的最大值. 【详解】(1)由 ,得 , 由正弦定理得 , 整理得 ,即 , 因为 ,所以 , 所以 , 又 ,所以 . (2)设 中点为 ,因为 ,所以 , 在 中, , 即 , 当且仅当 时等号成立, 故 的最大值为4. 所以 , 因为 ,所以 , 所以 面积的最大值为 .【综合提升练】 一、单选题 1.(2023·四川南充·一模)已知正方形 的边长为1,则 ( ) A.0 B. C. D.4 【答案】C 【分析】利用向量运算法则得到 . 【详解】 , 因为正方形 的边长为1,所以 , 故 . 故选:C 2.(2024·全国·模拟预测)已知向量 , ,则“ ”是“ 与 共 线”的( ) A.充分不必要条件 B.必要不充分条件 C.充要条件 D.既不充分也不必要条件 【答案】A 【分析】由 ,可得 与 共线,充分性成立;由 ,可得 或 ,必要性 不成立,可得结论. 【详解】由 ,得 , ,所以 与 共线, 所以“ ”是“是 与 共线”的充分条件; 由 ,可得 ,解得 或 ,“ ”是“ 与 共线”成立的不必要条件, 故“ ”是“ 与 共线”的充分不必要条件. 故选:A. 3.(2024·安徽马鞍山·三模)已知平面向量 , 不共线, , , 且 ,则 ( ) A. B.0 C.1 D. 【答案】A 【分析】依题意可得 ,根据平面向量基本定理得到方程组,解得即可. 【详解】因为 , 且 , 所以 ,即 , 又 , 不共线, 所以 ,解得 . 故选:A 4.(2024·四川遂宁·模拟预测)在 中,点F为线段BC上任一点(不含端点),若 ,则 的最小值为( ) A.3 B.4 C.8 D.9 【答案】D 【分析】先根据共线向量基本定理得到 ,利用基本不等式“1”的妙用求出最小值. 【详解】因为点F为线段BC上任一点(不含端点), 所以设 ,故 ,即 , 又 , 故 , 故 , 当且仅当 ,即 时,等号成立, 故 的最小值为9. 故选:D 5.(2023·四川南充·一模)已知正方形 的边长为1,则 ( ) A.0 B. C.2 D. 【答案】D 【分析】根据向量的运算法则及向量的模计算即可. 【详解】因为 , , 所以 . 故选: . 6.(23-24高三下·山东菏泽·阶段练习)已知向量 , ,满足 ,则 ( ) A. B. C. D. 【答案】C 【分析】根据已知条件可得向量 的夹角为 , ,再利用数量积运算可得解.【详解】由 ,可得向量 的夹角为 , , . 故选:C. 7.(23-24高三上·全国·阶段练习)设平面向量 , ,且 ,则 =( ) A.1 B.14 C. D. 【答案】B 【分析】根据 ,求出 把 两边平方,可求得 ,把所求展开即 可求解. 【详解】因为 ,所以 又 , 则 所以 , 则 , 故选: 8.(2024·上海杨浦·二模)平面上的向量 、 满足: , , .定义该平面 上的向量集合 .给出如下两个结论: ①对任意 ,存在该平面的向量 ,满足 ②对任意 ,存在该平面向量 ,满足则下面判断正确的为( ) A.①正确,②错误 B.①错误,②正确 C.①正确,②正确 D.①错误,②错误 【答案】C 【分析】根据给定条件,令 , ,设 ,利用向量模及数量积的坐 标表示探求 的关系,再借助平行线间距离分析判断得解. 【详解】由 , , ,不妨令 , ,设 , ,得 ,而 , , 则 ,整理得 ,由 ,得 , 平行直线 和 间的距离为 , 到直线 和直线 距离相等的点到这两条直线的距离为 , 如图,阴影部分表示的区域为集合 ,因此无论 是否属于 ,都有 , 所以命题①②都正确. 故选:C 【点睛】思路点睛:已知几个向量的模,探求向量问题,可以在平面直角坐标系中,借助 向量的坐标表示,利用代数方法解决. 二、多选题 9.(2023·海南海口·模拟预测)下列命题为真命题的是( ) A.一组数据22 ,20 ,17 ,15,13,11,9,8,8,7 的第90百分位数是21 B.若等差数列 满足 、 、 、 ,则C.非零平面向量 、 、 满足 , ,则 D.在 中,“ ”与“ ”互为充要条件 【答案】ACD 【分析】根据百分位数计算规则判断A,利用反例说明B,根据共线向量的定义判断C,根 据余弦函数的性质判断D. 【详解】对于A,将数据按从小到大排列为: 、 、 、 、 、 、 、 、 、 , 又 ,所以第 百分位数为第 、 位两数的平均数, 即第 百分位数是 ,选项A正确; 对于B,若等差数列是常数列,由 ,不能得出 ,选项B错误; 对于C,非零平面向量 、 、 满足 , ,即 , ,显然 且 , 所以 ,即 ,选项C正确; 对于D, 中,由“ ”即 , 根据余弦函数在 上单调递减知, , 即在 中,“ ”与“ ”互为充要条件,选项D正确. 故选:ACD. 10.(2024·全国·模拟预测)设 是两个非零向量,下列命题正确的是( ) A.若 ,则 B.若 ,则 C.若 ,则 D.若 ,则 【答案】BCD 【分析】由 ,可知两向量垂直,可排除A;由 ,可求得 ,进而 证明出两个非零向量共线,即B正确;由两个向量垂直,可得出它们数量积为 ,即C正 确;由 ,两边平方可得出 ,即两个向量垂直,即D正确. 【详解】对于选项A,因为 , 是两个非零向量,所以 ,故A错误;对于选项B, ,所以 , 所以 ,所以 ,故B正确; 对于选项C,因为 ,所以 ,所以 ,故C正确; 对于选项D,因为 ,所以 ,从而 , 所以 ,故D正确. 故选:BCD. 11.(2022·辽宁·模拟预测)“圆幂定理”是平面几何中关于圆的一个重要定理,它包含三 个结论,其中一个是相交弦定理:圆内的两条相交弦,被交点分成的两条线段长的积相等. 如图,已知圆O的半径为2,点P是圆O内的定点,且 ,弦AC、BD均过点P, 则下列说法正确的是( ) A. 为定值 B. 的取值范围是 C.当 时, 为定值 D. 的最大值为12 【答案】AC 【分析】根据题设中的圆幂定理可判断AC的正误,取 的中点为 ,连接 ,利用向 量的线性运算可判断B的正误,根据直径的大小可判断D的正误.【详解】 如图,设直线 与圆 于 , . 则 , 故A正确. 取 的中点为 ,连接 ,则 , 而 ,故 的取值范围是 ,故B错误. 当 时, ,故C正确. 因为 ,故 ,故D错误. 故选:AC 三、填空题 12.(2024·天津·一模)已知平行四边形 的面积为 , ,且 . 若F为线段 上的动点,且 ,则实数 的值为 ; 的最 小值为 .【答案】 /0.5 5 【分析】根据题意,利用平面向量的线性运算即可求出第一空,建立平面直角坐标系,依 据条件建立方程,结合基本不等式求解第二空即可. 【详解】 因为 所以 即 又 所以 , 由 共线,则 ,解得 作 ,以 为原点建立平面直角坐标系, 设 且 ,则 ,而 的面积为 , 则 ,故 , 则 , 则 , 当且仅当 时取“=”, 故答案为: ;5. 13.(2023·河南·模拟预测)已知向量 , , ,若 ,则 .【答案】 / 【分析】根据向量的坐标运算以及向量相等可得 ,两式平 方相加结合数量积的坐标表示,即可得答案. 【详解】由题意 可知 , 即 , 将两式平方相加可得 , 故 , 故答案为: 14.(2024·青海西宁·二模)若向量 不共线,且 ,则 的值为 . 【答案】1 【分析】根据题意,可设 为一组基向量,利用向量共线定理和向量基本定理运算求解. 【详解】因为 不共线,所以可设 为一组基向量, 因为 ,所以 ,使得 , 所以 ,所以 ,消去 ,得 . 故答案为:1. 四、解答题 15.(2024·吉林延边·一模)已知 的内角A,B,C所对的边分别为a,b,c, . (1)求B; (2)若点D在AC上,且 ,求 . 【答案】(1)(2) 【分析】(1)利用正、余弦定理进行边角转化,即可求B; (2)利用图形中的向量关系,有 ,由向量数量积和余弦定理化简得结果. 【详解】(1)因为 ,即 , 由正弦定理可得: ,整理得 , 由余弦定理可得 , 且 ,所以 . (2)因为 ,则 , 可得 , 则 ,即 , 整理得 , 由余弦定理可得 ,则 , 即 ,所以 . 16.(2024·浙江温州·模拟预测) 的角 对应边是 a,b,c ,三角形的重心是 O.已知 .(1)求 a 的长. (2)求 的面积. 【答案】(1) ; (2)18. 【分析】(1)根据给定条件,利用三角形重心的向量表示,结合数量积的运算律求出a 的长. (2)由(1)的信息,利用三角形面积公式,结合三角形重心的性质计算即得. 【详解】(1)在 中,由O是重心,得 ,即有 , 于是 ,解得 , 而 ,所以 . (2)由(1)得 ,又O是重心, 所以 的面积 . 17.(2023·湖南·模拟预测)在 中,角 所对的边分别为 的面积为 . (1)求 的大小. (2)点 满足 .若 ,求 . 【答案】(1) (2) . 【分析】(1)由三角形的面积公式、正弦定理得边化角和两角和与差的正弦公式化简已知 式,即可得出答案;(2)由余弦定理可得 ,由平面向量的减法公式可得 ,对其两 边同时平方有 ,解方程即可求出答案. 【详解】(1)因为 的面积为 ,所以 , 因为 ,所以 , 则 , 由正弦定理得 , 所以 , 展开得 , 即 , 因为 ,所以 ,即 . 又因为 ,所以 . (2)由余弦定理知, ,则 .① 由题可知, , 所以 ,即 ,又 ,所以 ,故 , 又 ,所以 ,则 ,② 由①②得 , 化简得 ,解得 .③ 将③代入①,解得 . 18.(2023·四川成都·三模)在锐角 中,内角A,B,C的对边分别为a,b,c,且 , . (1)求角 的大小; (2)若 , ,求c的值. 【答案】(1) (2) 【分析】(1)由 , ,代入 得 ,再由正弦定理得出 ,即可求出 ,结合 是锐角三角形即可得出角 的大小; (2)由 得 ,设 , ,则 , ,由余弦 定理得出 , 和 ,整理得出关于 的方程,求解即可得出c的 值. 【详解】(1)在 中,因为 , , 所以 , 由正弦定理,知 ,且 ,则 ,所以 ,解得 , 又因为 为锐角三角形,故 . (2)因为 ,所以点D在线段AC上,且 , 设 , ,则 , , 在 中,由余弦定理,知 ①, 在 中,由余弦定理,知 ②, 由①+②,整理得 ,即 ③, 在 中, ,即 ④, 将③代入④,整理得 ,解得 或 (舍去), 故 . 19.(2024·山东青岛·一模)已知O为坐标原点,点W为 : 和 的公共点, , 与直线 相切,记动点M的轨迹为C. (1)求C的方程; (2)若 ,直线 与C交于点A,B,直线 与C交于点 , ,点A, 在第一象限,记直线 与 的交点为G,直线 与 的交点为H,线 段AB的中点为E. ①证明:G,E,H三点共线; ②若 ,过点H作 的平行线,分别交线段 , 于点 , ,求四边形 面积的最大值. 【答案】(1)(2)①证明见解析 ;②16 【分析】(1)设 ,根据题目条件列式化简可得轨迹; (2)①设线段 的中点为 ,利用向量证明G,E,F三点共线,同理H,E,F三点共 线,进而可得结论;②将四边形 面积转化为四边形GAHB面积,将直线和抛物线联 立,利用韦达定理,求出直线 和直线 的方程,则可求出 坐标,然后利用面积 公式 求解最值即可. 【详解】(1)设 , 与直线 的切点为N,则 , 所以 化简得 ,所以C的方程为: ; (2)①设线段 的中点为 , 因为 ,所以可设 , , 又因为 , 所以G,E,F三点共线,同理,H,E,F三点共线, 所以G,E,H三点共线. ②设 , , , ,AB中点为E, 中点为F, 将 代入 得: ,所以 , , 所以 , 同理 , , ( 均在定直线 上) 因为 ,所以△EAT与△EAH面积相等, 与△EBH面积相等; 所以四边形 的面积等于四边形GAHB的面积,设 , , 直线 ,即 整理得:直线 ,又因为 ,所以 , 同理,直线 , ,所以 所以 所以四边形GAHB面积 , 当且仅当 ,即 ,即 时取等号, 所以四边形 面积的最大值为16.【点睛】关键点点睛:本题的关键是将四边形 的面积转化为四边形GAHB的面积, 还有充分利用第一问中的点共线求出 的横坐标,可以给求面积带来便利. 【拓展冲刺练】 一、单选题 1.(2024·黑龙江·模拟预测)已知在梯形 中, 且满足 ,E为 中 点,F为线段 上靠近点B的三等分点,设 , ,则 ( ). A. B. C. D. 【答案】C 【分析】根据平面向量线性运算法则计算可得. 【详解】如图所示, 由题意可得 , 而 . 故选:C. 2.(2024·北京西城·二模)已知向量 , 满足 , ,则( ) A. B. C. D.【答案】B 【分析】根据向量坐标运算,先求出 ,再逐一验证即可. 【详解】因为 , , 所以 , 所以 ,故A错; ,故B正确; ,故C错; 因为 ,所以 不平行,故D错. 故选:B 3.(2024·全国·二模)点 是 所在平面内两个不同的点,满足 , 则直线 经过 的( ) A.重心 B.外心 C.内心 D.垂心 【答案】A 【分析】根据向量的运算,并结合数形结合分析,即可判断. 【详解】设 的中点为点 ,所以 , 则 , 若 四点共线时,即点 都在中线 上,所以 经过三角形的重心, 若 四点不共线时, ,且 ,连结 ,交于点 , 如图, ,即点 是三角形的重心,即 经过 的 重心,综上可知, 经过 的重心. 故选:A 4.(2024·浙江宁波·模拟预测)已知 是边长为1的正三角形, 是 上一点且 ,则 ( ) A. B. C. D.1 【答案】A 【分析】根据题意得 ,由 三点共线求得 ,利用向量数量积运 算求解. 【详解】 , ,且 , 而 三点共线, ,即 , , 所以 . 故选:A. 二、多选题 5.(2024·福建厦门·三模)已知等边 的边长为4,点D,E满足 , , 与CD交于点 ,则( ) A. B.C. D. 【答案】ABD 【分析】根据向量的线性运算,向量共享定理的推论,得出 为 中点, 为 上靠近 点 的四等分点,对选项进行判断,得出答案. 【详解】 对于A选项, ,故A正确; 对于B选项,因为 为等边三角形, , 为中点,所以 , 所以 ,即 ,所以 ,故B正确; 对于C选项,设 , 由(1)得 ,所以 , 又 三点共线,所以 ,解得 ,所以 为 上靠近点 的四等分点, 故C错误; 对于D, ,设 ,则 , 所以 ,又 三点共线,所以 ,解得 , 所以 为 中点,所以 ,故D正 确, 故选:ABD. 6.(2024·安徽淮北·一模)如图,边长为2的正六边形 ,点 是 内部(包括边界)的动点, , , .( ) A. B.存在点 ,使 C.若 ,则点 的轨迹长度为2 D. 的最小值为 【答案】AD 【分析】根据正六边形的性质,结合向量的线性运算即可求解A,根据共线即可得矛盾求 解B,根据共线即可求解C,根据数量积的运算律,结合图形关系即可求解D. 【详解】设 为正六边形的中心, 根据正六边形的性质可得 且四边形 均为菱 形, ,故A正确, 假设存在存在点 ,使 ,则 ,其中点 为以 为邻边作平行四边形的顶点, 所以 在直线 上,这与点 是 内部(包括边界)的动点矛盾,故B错误, 当 时, , 取 ,则 ,所以点 的轨迹为线段 , 其中 分别为过点 作 与 的交点, 由于 为 的中点,所以 ,故点 的轨迹长度为1,C错误,由于 , , 过 作 于 ,则 ,所以此时 , 由于 分别为 上的分量,且点点 是 内部(包括边界)的动点,所以 当 位于 时,此时 同时最小,故 的最小值为 故选:AD 三、填空题 7.(2024·山西太原·三模)赵爽是我国古代数学家、天文学家,大约在公元222年,赵爽 为《周髀算经》一书作序时,介绍了 “勾股圆方图”,亦称“赵爽弦图” (以直角三角形 的斜边为边得到的正方形). 类比 “赵爽弦图”,构造如图所示的图形,它是由三个全等的 三角形与中间的一个小等边三角形拼成的一个大等边三角形,且 ,点 在 上, ,点 在 内 (含边界)一点,若 ,则 的最大值为 . 【答案】 【分析】先利用向量线性运算得到 ,作出辅助线,得到 ,且 ,从而得到答案. 【详解】 , 取 的中点 ,连接 , 因为 ,故 , 又 ,所以 ,故 ,且 , 所以 的最大值为 ,此时点 与点 重合. 故答案为: 8.(2022·辽宁鞍山·模拟预测)点 在椭圆 上, 不在坐标轴上, , , , ,直线 与 交于点 ,直线 与 轴交于点 ,设 , ,则 的值为 . 【答案】1 【分析】设直线 的直线方程为 ,联立椭圆方程求出 的坐标,即得解. 【详解】解:设直线 的直线方程为 ,联立椭圆方程化简得 , 所以 或 ,当 时, , 所以 .当 时, ,所以 ,所以 ,所以直线 的方程为 当 时,所以 . 所以 , 因为 , , 所以 , 所以 . 故答案为:1 9.(2023·四川乐山·一模)已知正方形 边长为 , 是正方形 的外接圆 的一条动弦, , 为正方形 边上的动点,则 的最大值为 . 【答案】 【分析】根据题意,正方形 外接圆的半径 ,取弦 的中点 ,求得 ,再由 ,得到 ,进 而求得 的最大值. 【详解】如图所示,因为正方形 边长为 ,可得圆 的半径为 ,又因为 是正方形 的外接圆的一条动弦,且 , 取弦 的中点 ,可得 , 则 , 所以 , 因为 ,即 在以 为圆心,半径为 的圆 上, 当点 在正方形 边与圆 的交点上时,此时 , 所以 ,即 的最大值为 . 故答案为: . 【点睛】关键点睛:本题解决的关键是利用圆上弦中点的特点将问题转化为求 的最 值,从而得解. 四、解答题 10.(2023·江西·模拟预测)在 中,内角 , , 的对边分别为 , , ,已知 为 边的中点, . (1)求角 的大小; (2)若 的面积为 ,求 周长的最小值. 【答案】(1) (2)12【分析】(1)由平面向量的线性运算可得 ,由题意可得 ,结合余弦定理计算即可求解; (2)根据三角形的面积公式可得 ,由(1),结合基本不等式计算即可求解. 【详解】(1)因为 , , 所以 . 由 ,得 , 整理,得 ,由余弦定理,得 . 又 ,故 . (2)由 的面积为 ,得 ,即 . 由(1)得 , 所以 . 所以当且仅当 时,等号成立, 此时 的周长最小,且最小值为12. 11.(2023·河北·模拟预测)如图,D为 内部一点, 于E, .请从 下面①②③中选取两个作为条件,证明另一个成立.① ;② ;③ .【答案】答案见解析. 【分析】以①③为条件,②为结论:由已知可得 , , .设 ,则 ,表示出各边长,由勾股定理,可推出 .代入 , 整理可得关于 的方程,得 ,由正弦定理可推得②成立; 以①②为条件,③为结论:由已知可得 的长, .由勾股定理,可推出 .根据三角形相似,求出 , ,代入可得 , ,进而得到 ,由余弦定理即可推得③成立; 以②③为条件,①为结论:由已知可推出 , .设 , , 则 ,得到 .由勾股定理得 .然后得到 .由 ,可得 ,即 ,结合图象得到 ,所以 有 ,即①成立.【详解】 以①③为条件,②为结论: 证明:如图,过点 作 垂直于 的延长线于 点,延长 交 于 点. 由 可得, , . 由 可得, , 在 中,由余弦定理可得 , 所以 , ,则 ,则 . 设 ,则 ,又 ,所以 , 则 , , . 在 中,有 .在 中,有 . 所以有 ,即 , 整理可得, . 代入整理可得, ,即 . 解关于 的方程可得, ,因为 ,所以 不成立,舍去. 所以, . 由正弦定理可得, , 又 ,所以 , 所以 ,即②成立. 以①②为条件,③为结论: 证明:如图,过点 作 垂直于 的延长线于 点,延长 交 于 点. 设 , ,则 , 由 可得, , . 由 可得, , 由正弦定理可得 . 在 中,有 .在 中,有 . 所以有 ,即 , 整理可得, . 因为 ,所以 . 由已知可得, ,所以 ∽ ,所以有 ,即 , 所以 ,所以 , , 所以 ,即 ,整理可得 . 在 中, ,则 , 所以 . 则在 中,由余弦定理可得 , 所以有 ,即③成立; 以②③为条件,①为结论: 证明:如图,过点 作 垂直于 的延长线于 点,延长 交 于 点. 由 可得, , 由正弦定理可得 . 由 可得, , 在 中,由余弦定理可得 , 所以 , ,则 ,则 . 设 , ,则 ,又 ,所以 , 则 , , . 由 可得, , 在 中,由余弦定理可得 ,所以 , ,则 ,则 . 由 可得, , 由正弦定理可得 . 在 中,有 .在 中,有 . 所以有 ,即 , 整理可得, . 因为 ,所以 . , 所以有 , 整理可得 . 因为 ,所以 ,所以 ,所以 . 即 ,由图知 ,所以有 ,即①成立.