当前位置:首页>文档>第19章一次函数章节测试卷(教师版)_初中数学_八年级数学下册(人教版)_常见题型通关讲解练-V3

第19章一次函数章节测试卷(教师版)_初中数学_八年级数学下册(人教版)_常见题型通关讲解练-V3

  • 2026-03-31 00:52:38 2026-03-28 03:47:44

文档预览

第19章一次函数章节测试卷(教师版)_初中数学_八年级数学下册(人教版)_常见题型通关讲解练-V3
第19章一次函数章节测试卷(教师版)_初中数学_八年级数学下册(人教版)_常见题型通关讲解练-V3
第19章一次函数章节测试卷(教师版)_初中数学_八年级数学下册(人教版)_常见题型通关讲解练-V3
第19章一次函数章节测试卷(教师版)_初中数学_八年级数学下册(人教版)_常见题型通关讲解练-V3
第19章一次函数章节测试卷(教师版)_初中数学_八年级数学下册(人教版)_常见题型通关讲解练-V3
第19章一次函数章节测试卷(教师版)_初中数学_八年级数学下册(人教版)_常见题型通关讲解练-V3
第19章一次函数章节测试卷(教师版)_初中数学_八年级数学下册(人教版)_常见题型通关讲解练-V3
第19章一次函数章节测试卷(教师版)_初中数学_八年级数学下册(人教版)_常见题型通关讲解练-V3
第19章一次函数章节测试卷(教师版)_初中数学_八年级数学下册(人教版)_常见题型通关讲解练-V3
第19章一次函数章节测试卷(教师版)_初中数学_八年级数学下册(人教版)_常见题型通关讲解练-V3
第19章一次函数章节测试卷(教师版)_初中数学_八年级数学下册(人教版)_常见题型通关讲解练-V3
第19章一次函数章节测试卷(教师版)_初中数学_八年级数学下册(人教版)_常见题型通关讲解练-V3
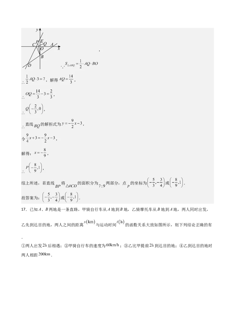
第19章一次函数章节测试卷(教师版)_初中数学_八年级数学下册(人教版)_常见题型通关讲解练-V3
第19章一次函数章节测试卷(教师版)_初中数学_八年级数学下册(人教版)_常见题型通关讲解练-V3
第19章一次函数章节测试卷(教师版)_初中数学_八年级数学下册(人教版)_常见题型通关讲解练-V3
第19章一次函数章节测试卷(教师版)_初中数学_八年级数学下册(人教版)_常见题型通关讲解练-V3
第19章一次函数章节测试卷(教师版)_初中数学_八年级数学下册(人教版)_常见题型通关讲解练-V3
第19章一次函数章节测试卷(教师版)_初中数学_八年级数学下册(人教版)_常见题型通关讲解练-V3
第19章一次函数章节测试卷(教师版)_初中数学_八年级数学下册(人教版)_常见题型通关讲解练-V3
第19章一次函数章节测试卷(教师版)_初中数学_八年级数学下册(人教版)_常见题型通关讲解练-V3
第19章一次函数章节测试卷(教师版)_初中数学_八年级数学下册(人教版)_常见题型通关讲解练-V3
第19章一次函数章节测试卷(教师版)_初中数学_八年级数学下册(人教版)_常见题型通关讲解练-V3
第19章一次函数章节测试卷(教师版)_初中数学_八年级数学下册(人教版)_常见题型通关讲解练-V3
第19章一次函数章节测试卷(教师版)_初中数学_八年级数学下册(人教版)_常见题型通关讲解练-V3
第19章一次函数章节测试卷(教师版)_初中数学_八年级数学下册(人教版)_常见题型通关讲解练-V3
第19章一次函数章节测试卷(教师版)_初中数学_八年级数学下册(人教版)_常见题型通关讲解练-V3
第19章一次函数章节测试卷(教师版)_初中数学_八年级数学下册(人教版)_常见题型通关讲解练-V3
第19章一次函数章节测试卷(教师版)_初中数学_八年级数学下册(人教版)_常见题型通关讲解练-V3
第19章一次函数章节测试卷(教师版)_初中数学_八年级数学下册(人教版)_常见题型通关讲解练-V3
第19章一次函数章节测试卷(教师版)_初中数学_八年级数学下册(人教版)_常见题型通关讲解练-V3

文档信息

文档格式
docx
文档大小
4.089 MB
文档页数
26 页
上传时间
2026-03-28 03:47:44

文档内容

第 19 章 一次函数 章节测试卷 (考试时间:90分钟 试卷满分:100分) 注意事项: 1.本试卷分第Ⅰ卷(选择题)和第Ⅱ卷(非选择题)两部分。答卷前,考生务必将自己的姓名、准 考证号填写在答题卡上。 2.回答第Ⅰ卷时,选出每小题答案后,用2B铅笔把答题卡上对应题目的答案标号涂黑。如需改动, 用橡皮擦干净后,再选涂其他答案标号。写在本试卷上无效。 3.回答第Ⅱ卷时,将答案写在答题卡上。写在本试卷上无效。 4.考试结束后,将本试卷和答题卡一并交回。 第Ⅰ卷 一.选择题:(本大题共10题,每题3分,满分30分) 1.一个圆形花坛,周长C与半径r的函数关系式为 ,其中关于常量和变量的表述正确的是( ) A.常量是2,变量是C,π,r B.常量是2,变量是r,π C.常量是2,变量是C,π D.常量是 ,变量是C,r 【答案】D 【分析】本题主要考查了常量和变量,解题的关键是熟练掌握常量和变量的定义,根据定义进行判断即可. 【详解】解:根据题意得:函数关系式 中常量是 ,变量是C、r. 故选:D. 2.已知直线 经过第一、三、四象限,那么直线 一定不经( ) A.第一象限 B.第二象限 C.第三象限 D.第四象限 【答案】C 【分析】本题主要考查一次函数图象在坐标平面内的位置与 的关系,根据图象在坐标平面内的位置 关系确定 的取值范围,从而求解即可. 【详解】直线 经过第一、三、四象限 则得到: 所以直线 经过第一、二、四象限,不经过第三象限; 故选: C. 3.若函数 的函数值为0,则自变量 的值是( ) A. B. C. D.【答案】C 【分析】此题考查了解分式方程,求函数自变量的值掌握分式方程的解法是解题的关键.根据函数 的函数值为0,得出 ,解方程即可. 【详解】解:由题意得 , ∴ 解得: , 检验:当 时, , ∴自变量 的值为 , 故选:C. 4. 函数 中白变量x的取值范围是( ) A. B. C. 且 D. 且 【答案】C 【分析】本题考查了自变量的取值范围,二次根式有意义的条件、分式有意义的条件,根据二次根式有意 义的条件是被开方数大于等于零,分式有意义的条件是分母不等于零,列式计算即可,熟练掌握二次根式 有意义的条件、分式有意义的条件,是解此题的关键. 【详解】由题意,得: , 解得: ,且 , 故选:C. 5.在平面直角坐标系中,将直线 平移后,得到直线 .则下列平移作法正确的 是( ) A.将 向右平移2个单位长度 B.将 向右平移6个单位长度 C.将 向上平移2个单位长度 D.将 向上平移6个单位长度 【答案】D 【分析】本题考查了一次函数图象的平移规律:根据 向上平移 个单位,得 ,进行作答即可. 【详解】解:∵一次函数图象的平移规律: 直线 向上平移6个单位长度,得到直线 . ∴将直线 平移后,得到直线 .则下列平移作法正确的是将 向上平移6个单位 长度 故选:D. 6.下列问题中,两个变量之间是正比例函数关系的是( ) A.矩形的周长一定,它的长y与宽x B.书的总页数一定,未读的页数与已读的页数 C.某场电影票价固定,该场电影售票收入为y元与售票数量为x张 D.圆的面积y(cm2)与它的半径x(cm)之间的关系 【答案】C 【分析】本题考查正比例函数的定义,根据正比例函数的定义逐一进行判断即可. 【详解】解:A、矩形的周长一定,它的长y与宽x是一次函数的关系,不是正比例函数的关系;不符合题 意; B、书的总页数一定,未读的页数与已读的页数是一次函数的关系,不是正比例函数的关系;不符合题意; C、某场电影票价固定,该场电影售票收入为y元与售票数量为x张是正比例函数,符合题意; D、圆的面积y(cm2)与它的半径x(cm)之间的关系不是正比例函数,不符合题意; 故选C. 7.七个边长为1的正方形如图摆放在平面直角坐标系中,直线 将这七个正方形分成面积相等的两部 分,则 的值为( ) A. B. C. D.1 【答案】A 【分析】本题考查求一次函数解析式,把图形补全得到一个边长为3的正方形,写出点A和点B的坐标,根据梯形面积是 列出关于k的方程.解方程即可得到k的值.数形结合是解题的关键. 【详解】解:如图,把图形补全得到一个边长为3的正方形,直线 将这个正方形分成面积相等的两 部分,每部分的面积为 ,则点A的坐标为 ,点B的坐标为 , 根据直线下方梯形的面积得到 , 解得 , 故选:A 8.一个温度计从一杯热茶中取出之后,立即被放入一杯凉水中,此时温度计所显示的温度随时间的变化 而变化,下列可以近似地表示温度计所显示的温度 与时间 之间的关系的图象是( ) A. B. C. D. 【答案】C 【分析】本题考查了函数的图象,温度计从一杯热茶中取出之后,温度较高,立即放入一杯凉水中,温度 快速下降,解题的关键是了解两个变量之间的关系. 【详解】解:温度计从一杯热茶中取出之后,温度较高,立即放入一杯凉水中,温度快速下降,所以符合 要求的是C选项, 故选:C. 9.如图,函数 与 的图象相交于点 ,则关于 的不等式组 的解集是 ( )A. B. C. D. 【答案】D 【分析】本题考查了一次函数与不等式,先求得交点 的坐标,进而结合函数图象,即可求解. 【详解】解:将 代入 , ∴ , 解得: , ∴ 将 代入 ∴ 解得: ∴ 当 时, ,即 与 轴的交点为 , 根据函数图象可得关于 的不等式组 的解集是 , 故选:D. 10.如图 ,在等腰 中, 于点D.动点 从点 出发,沿着 的 路径以每秒 个单位长度的速度运动到点 停止,过点 作 于点 ,作 于 .在此过程 中四边形 的面积 与运动时间 的函数关系图象如图 所示,则 的长是( )A. B. C. D. 【答案】B 【分析】本题考查了动点问题的函数图象,由图 中拐点的纵坐标 ,得到四边形 的面积 ,此 时点 运动到点 ,可证明四边形 是正方形,面积为 ,那么正方形的边长 为 ,易得 为等腰直角三角形,即得到 长为 ,进而求出 长度为 ,解题的关键理解拐点的纵坐标表示的 意义及动点此时所在的位置. 【详解】解:∵动点 从点 出发,沿着 的路径运动, ∴第一个拐点的位置在点 处,此时点 运动到点 , ∵图 中拐点的纵坐标 , ∴四边形 的面积为 , ∵ , , ∴ , ∵ , ∴ 四边形 是矩形, ∵ 是等腰直角三角形, , ∴ , , , ∴ , , ∴四边形 是正方形, , ∴ 是等腰直角三角形, ∵四边形 的面积为 , ∴ , ∴ , ∴ , 故选: . 第Ⅱ卷 二.填空题:(本大题共8题,每题2分,满分16分)11.已知一次函数 ,若 ,则y的取值范围是 . 【答案】 / 【分析】由 ,利用一次函数的性质,可得出 随 的增大而减小,由一次函数图象上点的坐标特征, 可求出当 及 时 的值,进而可得出结果; 本题考查了一次函数图象上点的坐标特征以及一次函数的性质,利用一次函数的性质及一次函数图象上点 的坐标特征得出取值范围是解题的关键. 【详解】 , 随 的增大而减小, 当 时, , 当 时, , 若 , 则 的取值范围是 故答案为: . 12.当 时,正比例函数 的最大值是 ,最小值是 . 【答案】 【分析】本题主要考查了正比例函数的性质,解题的关键是熟练掌握性质,根据 ,结合函数解 析式得出当 时,正比例函数 有最大值,当 时,正比例函数 有最小值,然 后求出结果即可. 【详解】解:∵正比例函数 中 , ∴y的值随x值的增大而减小, 又∵ , ∴当 时,正比例函数 有最大值,为 ,当 时,正比例函数 有最小值,为 . 故答案为: ; . 13.等腰三角形的周长是 ,底边长是 ,一腰长为 ,则 与 之间的函数解析式为 , 自变量 的取值范围是 . 【答案】 【分析】本题考查函数关系式、函数的自变量的取值范围、三角形三边的关系,等腰三角形的性质,根据 题意可以列出相应的函数解析式,根据三角形两边之和大于第三边和等腰三角形的性质可以确定 的取值 范围,从而本题得以解决. 【详解】解:由题意可得, , , 即 关于 的函数解析式是 ,自变量 的取值范围是 , 故答案为 , . 14.已知一次函数 与 的图象如图所示,且方程组 的解为 ,点B坐标为 ,y轴上的一个动点P,若 ,则点P的坐标为 .【答案】 或 【分析】本题考查了一次函数与二元一次方程组的关系,三角形的面积公式,坐标轴上点的坐标特点,明 确两直线交点的横纵坐标为二元一次方程组的解是解题关键.依题意,求出点A的坐标,用三角形的面积 公式表示出 的面积,求出 的长度,根据点B的坐标求出点P的坐标. 【详解】解:依题意,点A的坐标为 , , 点P在y轴上,点B坐标为 , 点P的坐标为 或 , 故答案为: 或 . 15.已知:如图所示,直线 交 轴于点 ,交 轴于点 .若点 从点 出发,沿射线 作匀速运动,点 从点 出发,沿射线 作匀速运动,两点同时出发,运动速度也相同,当 为直 角三角形时,则点 的坐标为 .【答案】 或 【分析】本题考查的是一次函数图象上点的坐标特征,根据题意表示出 的三边长, 分 , , 三种情况,根据勾股定理计算即可求出点 的坐标,灵活运用分情况讨论思想、 掌握两点间的距离公式是解题的关键. 【详解】由直线 得: 当 时,即 , 解得 , 当 时, , ∴ , , 由勾股定理得 , 设 , 运动的速度为 ,时间为 ,则 , , 则点 的坐标为: ,点 的坐标为: , ∴ 当 时,有 ,即 , 解得 , , 当 ,点 与 重合,舍去 ∴点 的坐标为 ,当 时, ,即 , 解得 (舍去), ,则点 的坐标为 , 当 时, ,即 解得 , ,点 与 重合,不符合题意, 综上所示,点 的坐标为 或 故答案为: 或 . 16.如图,一次函数 的图象分别与 轴、 轴相交于点 、 ,且与经过 轴负半轴上的点 的 一次函数 的图象相交于点 ,直线 与 轴相交于点 , 与 关于 轴对称, ,点 为线段 上的一个动点,连接 ,若直线 将 的面积分为 两部分,请直接写出点 的坐 标 . 【答案】 或 【分析】本题考查了待定系数法求函数解析式,一次函数的交点,三角形的面积,折叠的性质.根据题意, 利用已知条件得到点 ,点 坐标,用待定系数法可求出直线 的解析式,联立直线 和直线 的解 析式可求出点 的坐标.过点 作 轴于点 ,先求出 的面积,直线 将 的面积分为 两部分,需要分两种情况:当点 在线段 上时,则有 ,由此建立方程求解,得到答案;当点 在线段 上时,设直线 与 轴交于点 ,此时有 ,由此建立方程求解, 得到答案. 【详解】解:令 ,则 ;令 ,则 ; ∴点 、 , , 与 关于 轴对称, , , , , 把点 和点 的坐标代入一次函数 , , 解得 , 直线 的函数表达式为: , 令 , 解得: , , 点 的坐标为 . 如图,过点 作 轴于点 ,连接 ,, , , , , 、 、 , 点 是线段 的中点, , 当点 在线段 上时,则有 , , , 解得: , ; 当点 在线段 上时,设直线 与 轴交于点 ,如图,此时有 ,, ,解得 , , , 直线 的解析式为 , 令 , 解得: , , 综上所述,若直线 将 的面积分为 两部分,点 的坐标为 或 . 故答案为: 或 . 17.已知A、B两地是一条直路,甲骑自行车从A地到B地,乙骑摩托车从B地到A地,两人同时出发, 乙先到达目的地,两人之间的距离 与运动时间 的函数关系大致如图所示,则下列结论正确的有 . ①两人出发 后相遇;②甲骑自行车的速度为 ;③乙比甲提前 到达目的地;④乙到达目的地时 两人相距 .【答案】①②④ 【分析】本题主要考查了从函数图象获取信息,解题的关键在于能够正确读懂函数图象.先根据在一开始 时,两人的距离为 ,得到A、B两地的距离为 ,从而可以求出甲的速度,即可判断②;根据 在出发 后,两人相距为 ,即可判断①;求出两人的合速度,从而求出乙到达目的地的花费时间即可 判断③④. 【详解】解:∵在一开始时,两人的距离为 , ∴A、B两地的距离为 , ∵乙先到底目的地, ∴甲到目的地花费的时间为 , ∴甲的速度为 ,故②正确; ∵在出发 后,两人相距为 ,即此时两人相遇,故①正确; ∵两人出发2h相遇, ∴两人的合速度为 , ∴乙的速度为 , ∴乙到目的地花费的时间为 , ∴乙比甲提前 到达目的地,故③错误; ∵ , ∴乙到达目的地时两人相距 ,故④正确; ∴正确的有①②④, 故答案为:①②④. 18.一次函数 与 的图象如图所示,当 时, ,则满足条牛的k的 取值范围是 .【答案】 且 【分析】本题考查根据两条直线的交点求不等式的解集,联立 与 ,求出两条直线交点 的横坐标,根据当 时, ,结合图象列不等式,即可求解. 【详解】解:联立 与 , 得 , 解得 , 即一次函数 ( )与 的图像的交点的横坐标为 , 当 时, , , ∴ , 解得 ; 当 时, 与 两条直线平行,且 的图象在直线 的下方,所以,当 时, ,满足题意; 又 , 满足条件的 的取值范围是 且 , 故答案为: 且 . 三.解答题:(本大题共8题,19-23题每题6分,24-26题每题8分,满分54分)19.如图,根据图中信息,回答下列问题: (1)求m,n的值; (2)写出点P的坐标; (3)当x为何值时, ? 【答案】(1) , (2) (3) 【分析】本题主要考查一次函数图象的性质以及与一元一次不等式的关系,可以根据图象结合待定系数法 得到函数解析式,结合图象进行解答; (1)结合图象,可知 的坐标为 ,点 的坐标为 ,将两坐标代入函数解析式可以得到 的值; (2)可以联立方程组,解方程组,即可得到 的坐标; (3)根据交点 的横坐标,结合函数图象和 ,即可得到 的范围. 【详解】(1)解:把 代入 中,得 . 把 代入 中,得 , .(2)解:由(1)知 , , 联立,得 解这个方程组,得 ∴点P的坐标为 . (3)解:由图象知,当 时, . 20.已知 与 成正比例,且当 时, . (1)求 与 之间的函数关系式; (2)若点 在该函数的图象上,求 的值; (3)设点 在 轴负半轴上,(2)中的图象与 轴、 轴分别交于 , 两点,且 ,求点 的坐标. 【答案】(1) (2) (3) 点坐标为 【分析】本题考查一次函数的图象及性质,熟练掌握待定系数法求函数解析式的方法,能够结合图象求三 角形面积是解题的关键. (1)由已知,设 ,再将 , 代入表达式即可求 的值; (2)将点 代入解析式 即可求 ; (3)求出 、 点坐标,设点 , ,根据三角形面积公式可得, ,解出 即可.【详解】(1)解:由 与 成正比例,则设 , 当 时, , , , ; (2)解: 点 在该函数的图象上, , ; (3)解: 与 轴、 轴的交点为 , , 点 在 轴负半轴上, 设点 , , , 或 , , . 21.声音在空气中传播的速度y(m/s)与气温x(℃)有如下表所示的关系: 气温x/℃ 0 5 10 15 20 25 30 … 音速y/(m/s) 331 334 337 340 343 346 349 … (1)当气温是35 ℃时,音速是多少? (2)这一变化过程中,反映了哪两个变量之间的关系?写出关系式. 【答案】(1)352(m/s) (2)反映了气温和音速之间的关系.关系式为 【分析】本题考查了一次函数的应用,读懂题目信息,观察并发现气温每升高5℃,声速增加3 m/s是解题 关键. (1)观察图表数据,气温每升高5℃,声速增加3 m/s, (2)通过待定系数法求出声速与气温的函数关系式即可. 【详解】(1)解:∵气温每升高5℃,音速增加3m/s,∴当气温是35 ℃时,音速是 (m/s). (2)解:这一变化过程中,反映了气温和音速之间的关系.声速y与气温x之间是一次函数关系, 设声速与气温的函数关系式为 , 将 , 与 , 分别代入可得: , 解得 , ∴ , 22.小西外出爬山,他从山脚爬到山顶的过程中,中途休息了一段时间.从山脚出发后小西所走路程 (米) 和所用时间 (分钟)之间的函数关系如图所示. (1)小西中途休息用了_________分钟;小西休息后爬山的平均速度是_________米 分钟; (2)求直线 的函数表达式; (3)当小西出发 分钟时,求他所走的路程. 【答案】(1) ; ; (2) ; (3)当小西出发 分钟时,他所走的路程为 米. 【分析】( )从图象来看,小西在第 分钟时开始休息,第 分钟时结束休息,故休息用了 分钟,根 据“速度 路程 时间”即可; ( )根据图象可得 经过 , 利用待定系数法即可求解; ( )当 时,代入 求出 的值即可; 此题主要考查函数图象及一次函数的实际应用,熟练掌握一次函数的应用及从图象获取信息是解题的关键.【详解】(1)根据图象可知,中途休息用了 (分钟),小西休息后爬山的平均速度是 (米 分钟), 故答案为: ; ; (2)设直线 的函数表达式为 ,且过点 , , , 解得: , ∴直线 的函数表达式是 ; (3)当 时, ; ∴当小西出发 分钟时,他所走的路程为 米. 23.如图,等腰直角三角形 的直角边长与正方形 的边长均为 , 与 在同一直线上, 开始时 点与 点重合,让 向右运动,最后 点与 点重合.设重叠部分面积为 , 长度为 .请根据题意填空: 与 的函数关系式是________________,其中 的取值范围是 ________________,自变量是________________,因变量是________________,常量是________________. 【答案】 ; ; ; ; 【分析】本题考查了用关系式表示变量之间的关系、等腰直角三角形的性质.熟练掌握用关系式表示变量 之间的关系、等腰直角三角形的性质是解题的关键. 由题意得出重叠部分是等腰直角三角形,再根据三角形面积公式即可得出关系式,然后求解作答即可. 【详解】解: 等腰直角三角形 的直角边长与正方形 的边长均为 ,, , 重叠部分是等腰直角三角形, 长度为 , , ,其中自变量是 ,因变量是 ,常量是 , 故答案为: , , , , . 24.已知y是x的正比例函数,且当 时, . (1)求这个正比例函数的解析式,并在平面直角坐标系中画出该函数的图象; (2)若点 , 在该函数图象上,试比较 , 的大小. 【答案】(1) ,函数图象见解析 (2) 【分析】本题考查待定系数法及正比例函数的图象和性质,熟知待定系数法及正比例函数的图象和性质是 解题的关键. (1)利用待定系数法可求出正比例函数的解析式,再按要求画出函数图象即可. (2)将 和 分别代入函数关系式即可解决问题. 【详解】(1)设正比例函数的解析式为 , 则 , 解得 ,所以这个正比例函数的解析式为 . 函数图象如图所示, (2)将 带有 得, ; 将 代入 得, ; 因为 , 所以 . 25.利用初中阶段我们学习函数知识的方法探究一下形如 的函数: (1)由表达式 ,得出函数自变量x的取值范围是______;(2)由表达式 还可以分析出,当 时, ,y随x增大而增大;当 时,y______0,y随x增 大而______. (3)如图中画出了函数 的图象,请你画出 时的图象; (4)根据图象,再写出 的一条性质____________. 【答案】(1)任意实数; (2) ,增大; (3)见解析 (4)图象关于原点对称.(答案不唯一,合理即可). 【分析】本题综合考查了函数的定义以及图象与性质,掌握研究函数的基本方法并准确根据图象分析出性 质是解题关键. (1)由表达式 ,根据立方的定义得出函数自变量x的取值范围是任意实数; (2)由表达式 分析即可求解; (3)根据函数图象的画法描点,连线即可得 时的图象; (4)观察图象可得图象关于原点对称. 【详解】(1)解:由表达式 ,得出函数自变量x的取值范围是任意实数, 故答案为:任意实数; (2)解:由表达式 还可以分析出,当 时, ,y随x增大而增大;当 时, ,y随x 增大而增大, 故答案为:<,增大; (3)解:如图:(4)解:根据图象,再写出 的一条性质:图象关于原点对称.(答案不唯一,合理即可) 故答案为:图象关于原点对称. 26.如图直线: 经过点 , . (1)求直线 的表达式; (2)若直线 与直线 相交于点M,求点M的坐标; (3)根据图像,直接写出关于x的不等式 的解集; (4)在直线 上存在异于点M的另一点 ,使得 的面积是 的面积2倍,请直接写出点 的坐 标. 【答案】(1)直线 的表达式为 ; (2)点 的坐标为(3) (4) 的坐标为 或 【分析】(1)利用待定系数法求解即可; (2)两解析式联立成方程组,解方程组即可求解; (3)根据图象即可求解; (4) 与 底边都是 ,根据 的面积是 面积的2倍,可得点 的坐标. 【详解】(1)解:由题意得 , 解得 , 直线 的表达式为 ; (2)解: ,得 , 点 的坐标为 ; (3)把 代入 得, ,解得 , 观察图象,关于 的不等式 的解集为 ; (4) 与 底边都是 , 的面积是 面积的2倍, 高就是点 到直线 的距离的2倍,即 纵坐标的绝对值 , 点 纵坐标是 , 当 时,则 ,解得 ; 当 时,则 ,解得 ; 的坐标为 或 . 【点睛】本题考查的是一次函数与一元一次不等式,待定系数法求一次函数的解析式,两条直线的交点, 三角形面积的计算等有关知识,利用图象上点的坐标得出解析式、数形结合是解题关键.