当前位置:首页>文档>第16章专题2章整式的乘法十大题型(解析版)_初中数学人教版_8上-初中数学人教版_2025秋季新人教版数学八上课件教案_07-章节专题讲义

第16章专题2章整式的乘法十大题型(解析版)_初中数学人教版_8上-初中数学人教版_2025秋季新人教版数学八上课件教案_07-章节专题讲义

  • 2026-04-02 18:59:07 2026-03-28 12:21:51

文档预览

第16章专题2章整式的乘法十大题型(解析版)_初中数学人教版_8上-初中数学人教版_2025秋季新人教版数学八上课件教案_07-章节专题讲义
第16章专题2章整式的乘法十大题型(解析版)_初中数学人教版_8上-初中数学人教版_2025秋季新人教版数学八上课件教案_07-章节专题讲义
第16章专题2章整式的乘法十大题型(解析版)_初中数学人教版_8上-初中数学人教版_2025秋季新人教版数学八上课件教案_07-章节专题讲义
第16章专题2章整式的乘法十大题型(解析版)_初中数学人教版_8上-初中数学人教版_2025秋季新人教版数学八上课件教案_07-章节专题讲义
第16章专题2章整式的乘法十大题型(解析版)_初中数学人教版_8上-初中数学人教版_2025秋季新人教版数学八上课件教案_07-章节专题讲义
第16章专题2章整式的乘法十大题型(解析版)_初中数学人教版_8上-初中数学人教版_2025秋季新人教版数学八上课件教案_07-章节专题讲义
第16章专题2章整式的乘法十大题型(解析版)_初中数学人教版_8上-初中数学人教版_2025秋季新人教版数学八上课件教案_07-章节专题讲义
第16章专题2章整式的乘法十大题型(解析版)_初中数学人教版_8上-初中数学人教版_2025秋季新人教版数学八上课件教案_07-章节专题讲义
第16章专题2章整式的乘法十大题型(解析版)_初中数学人教版_8上-初中数学人教版_2025秋季新人教版数学八上课件教案_07-章节专题讲义
第16章专题2章整式的乘法十大题型(解析版)_初中数学人教版_8上-初中数学人教版_2025秋季新人教版数学八上课件教案_07-章节专题讲义
第16章专题2章整式的乘法十大题型(解析版)_初中数学人教版_8上-初中数学人教版_2025秋季新人教版数学八上课件教案_07-章节专题讲义
第16章专题2章整式的乘法十大题型(解析版)_初中数学人教版_8上-初中数学人教版_2025秋季新人教版数学八上课件教案_07-章节专题讲义
第16章专题2章整式的乘法十大题型(解析版)_初中数学人教版_8上-初中数学人教版_2025秋季新人教版数学八上课件教案_07-章节专题讲义
第16章专题2章整式的乘法十大题型(解析版)_初中数学人教版_8上-初中数学人教版_2025秋季新人教版数学八上课件教案_07-章节专题讲义
第16章专题2章整式的乘法十大题型(解析版)_初中数学人教版_8上-初中数学人教版_2025秋季新人教版数学八上课件教案_07-章节专题讲义
第16章专题2章整式的乘法十大题型(解析版)_初中数学人教版_8上-初中数学人教版_2025秋季新人教版数学八上课件教案_07-章节专题讲义
第16章专题2章整式的乘法十大题型(解析版)_初中数学人教版_8上-初中数学人教版_2025秋季新人教版数学八上课件教案_07-章节专题讲义
第16章专题2章整式的乘法十大题型(解析版)_初中数学人教版_8上-初中数学人教版_2025秋季新人教版数学八上课件教案_07-章节专题讲义
第16章专题2章整式的乘法十大题型(解析版)_初中数学人教版_8上-初中数学人教版_2025秋季新人教版数学八上课件教案_07-章节专题讲义
第16章专题2章整式的乘法十大题型(解析版)_初中数学人教版_8上-初中数学人教版_2025秋季新人教版数学八上课件教案_07-章节专题讲义
第16章专题2章整式的乘法十大题型(解析版)_初中数学人教版_8上-初中数学人教版_2025秋季新人教版数学八上课件教案_07-章节专题讲义
第16章专题2章整式的乘法十大题型(解析版)_初中数学人教版_8上-初中数学人教版_2025秋季新人教版数学八上课件教案_07-章节专题讲义
第16章专题2章整式的乘法十大题型(解析版)_初中数学人教版_8上-初中数学人教版_2025秋季新人教版数学八上课件教案_07-章节专题讲义
第16章专题2章整式的乘法十大题型(解析版)_初中数学人教版_8上-初中数学人教版_2025秋季新人教版数学八上课件教案_07-章节专题讲义
第16章专题2章整式的乘法十大题型(解析版)_初中数学人教版_8上-初中数学人教版_2025秋季新人教版数学八上课件教案_07-章节专题讲义
第16章专题2章整式的乘法十大题型(解析版)_初中数学人教版_8上-初中数学人教版_2025秋季新人教版数学八上课件教案_07-章节专题讲义
第16章专题2章整式的乘法十大题型(解析版)_初中数学人教版_8上-初中数学人教版_2025秋季新人教版数学八上课件教案_07-章节专题讲义
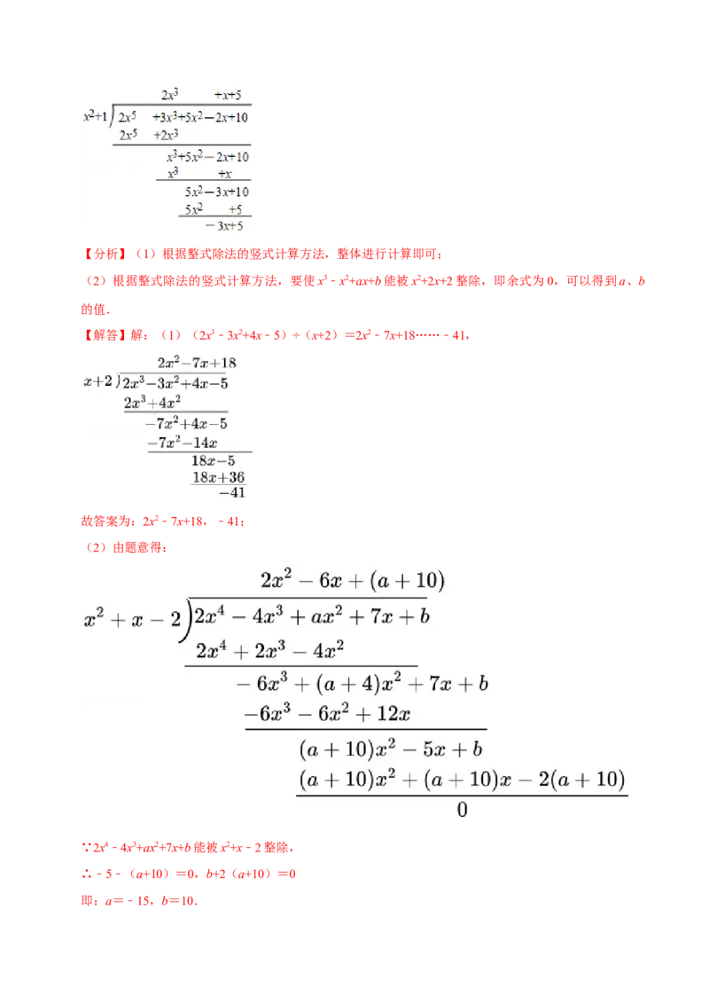
第16章专题2章整式的乘法十大题型(解析版)_初中数学人教版_8上-初中数学人教版_2025秋季新人教版数学八上课件教案_07-章节专题讲义

文档信息

文档格式
docx
文档大小
0.182 MB
文档页数
24 页
上传时间
2026-03-28 12:21:51

文档内容

专题 16.2 整式的乘法【十大题型】 【人教版】 【题型1 整式乘法中的求值问题】.......................................................................................................................1 【题型2 整式乘法中的不含某项问题】...............................................................................................................3 【题型3 整式乘法中的错看问题】.......................................................................................................................4 【题型4 整式乘法中的遮挡问题】.......................................................................................................................6 【题型5 整式乘法的计算】...................................................................................................................................7 【题型6 整式乘法的应用】...................................................................................................................................8 【题型7 整式除法的运算与求值】.....................................................................................................................11 【题型8 整式除法的应用】.................................................................................................................................13 【题型9 整式乘法中的新定义】.........................................................................................................................16 【题型10 整式乘法中的规律探究】.....................................................................................................................20 【知识点1 整式的乘法】 单项式×单项式:系数相乘,字母相乘. 单项式×多项式:乘法分配律. 多项式×多项式:乘法分配律. 【题型1 整式乘法中的求值问题】 【例1】(x+m)(x﹣n)=x2+ax+7(m,n为整数),则a的值可能是( ) A.7 B.﹣7 C.8 D.﹣9 【分析】根据多项式乘多项式的乘法法则(a+b)(c+d)=ac+ad+bc+bd解决此题. 【解答】解:(x+m)(x﹣n)=x2﹣nx+mx﹣mn=x2+(m﹣n)x﹣mn. ∵(x+m)(x﹣n)=x2+ax+7(m,n为整数), ∴m﹣n=a,﹣mn=7. ∴m=1,n=﹣7或m=﹣1,n=7或m=7,n=﹣1或m=﹣7,n=1. ∴a=m﹣n=8或﹣8. 故选:C. 【变式1-1】(2025春•汝州市校级月考)若(5x+2)(3﹣x)=﹣5x2+kx+p,则代数式(k﹣p)2的值为() A.98 B.49 C.14 D.7 【分析】根据多项式乘多项式的法则把等式的左边进行计算后,与等式的右边对比,即可求出 k和p的 值,进而即可得出答案. 【解答】解:∵(5x+2)(3﹣x)=﹣5x2+kx+p, ∴15x﹣5x2+6﹣2x=﹣5x2+kx+p, ∴﹣5x2+13x+6=﹣5x2+kx+p, ∴k=13,p=6, ∴(k﹣p)2=(13﹣6)2=72=49, 故选:B. 【变式1-2】(2025春•诸暨市期末)若A、B、C均为整式,如果A•B=C,则称A能整除C,例如由 (x+3)(x﹣2)=x2+x﹣6,可知x﹣2能整除x2+x﹣6.若已知x﹣3能整除x2+kx﹣7,则k的值为( ) 7 2 4 2 A.- B.- C. D. 3 3 3 3 【分析】利用给出的定义进行整式的相关运算,求出k的值. 【解答】解:由题意可令(x﹣3)(x+a)=x2+kx﹣7, ∴x2+(a﹣3)x﹣3a=x2+kx﹣7, 7 ∴﹣3a=﹣7,a= , 3 7 2 a﹣3=k,k= -3=- . 3 3 故选:B. 【变式1-3】(2025春•江都区期中)如果(x+a)(x+b)=x2+mx﹣12(其中a,b都是整数),那么m可 取的值共有( ) A.2个 B.4个 C.6个 D.8个 【分析】直接利用多项式乘以多项式分析得出答案. 【解答】解:∵(x+a)(x+b)=x2+mx﹣12, ∴当a=1,b=﹣12时,m=﹣11; 当a=﹣1,b=12时,m=11; 当a=2,b=﹣6时,m=﹣4; 当a=﹣2,b=6时,m=4;当a=3,b=﹣4时,m=﹣1; 当a=﹣3,b=4时,m=1; 故m的值共6个. 故选:C. 【题型2 整式乘法中的不含某项问题】 【例2】(2022秋•黔江区期末)要使(x2﹣x+5)(2x2﹣ax﹣4)展开式中不含 x2项,则a的值等于 ( ) A.﹣6 B.6 C.14 D.﹣14 【分析】根据多项式乘以多项式的法则进行展开,然后按照 x的降序排列,使x的二次项的系数为0即 可. 【解答】解:(x2﹣x+5)(2x2﹣ax﹣4) =2x4﹣ax3﹣4x2﹣2x3+ax2+4x+10x2﹣5ax﹣20 =2x4﹣(a+2)x3+(a+6)x2+(4﹣5a)x﹣20, ∵展开式中不含x2项, ∴a+6=0, ∴a=﹣6, 故选:A. 【变式2-1】(2025春•双流区校级期中)关于x的代数式(ax﹣3)(2x+1)﹣4x2+m化简后不含有x2项和 常数项,且an+mn=﹣5,求﹣4n2+3m的值. 【分析】先利用多项式乘多项式法则化简整式,再根据化简后不含有x2项和常数项求出a、m,代入方 程an+mn=﹣5求出n,最后求出﹣4n2+3m的值. 【解答】解:(ax﹣3)(2x+1)﹣4x2+m =2ax2﹣6x+ax﹣3﹣4x2+m =(2a﹣4)x2+(a﹣6)x+m﹣3. ∵化简后不含有x2项和常数项, ∴2a﹣4=0,m﹣3=0. ∴a=2,m=3. ∵an+mn=﹣5, ∴2n+3n=﹣5. ∴n=﹣1. ∴﹣4n2+3m=﹣4×(﹣1)2+3×3 =﹣4×1+9 =﹣4+9 =5. 【变式2-2】(2022秋•耒阳市校级月考)已知多项式M=x2+5x﹣a,N=﹣x+2,P=x3+3x2+5,且M•N+P 的值与x的取值无关,求字母a的值. 【分析】根据多项式与多项式相乘的法则计算,根据题意列出方程,解方程即可. 【解答】解:M•N+P=(x2+5x﹣a)(﹣x+2)+(x3+3x2+5) =﹣x3+2x2﹣5x2+10x+ax﹣2a+x3+3x2+5 =(10+a)x﹣2a+5, 由题意得,10+a=0, 解得,a=﹣10. 【变式2-3】(2025春•上城区期末)若多项式x2﹣(x﹣a)(x+2b)+4的值与x的取值大小无关,那么 a,b一定满足( ) b A.a=0且b=0 B.a=2b C.ab=0 D.a= 2 【分析】根据多项式与多项式相乘的法则进行计算,根据题意列出算式,计算即可. 【解答】解:x2﹣(x﹣a)(x+2b)+4 =x2﹣x2﹣2bx+ax+2ab+4 =(a﹣2b)x+2ab+4, ∵多项式x2﹣(x﹣a)(x+2b)+4的值与x的取值大小无关, ∴a﹣2b=0,即a=2b, 故选:B. 【题型3 整式乘法中的错看问题】 【例3】(2025春•潍坊期末)小明在进行两个多项式的乘法运算时,不小心把乘以(x﹣2y)错抄成除以 (x﹣2y),结果得到(3x﹣y),则正确的结果是( ) A.3x2﹣7xy+2y2 B.3x2+7xy+2y2 C.3x3﹣13x2y+16xy2﹣4y3 D.3x3﹣13x2y+16xy2+4y3 【分析】直接利用多项式乘多项式运算法则计算得出答案. 【解答】解:∵小明在进行两个多项式的乘法运算时,不小心把乘以(x﹣2y)错抄成除以(x﹣2y), 结果得到(3x﹣y),∴原式=(3x﹣y)(x﹣2y) =3x2﹣6xy﹣xy+2y2 =3x2﹣7xy+2y2, 则正确计算结果为:(3x2﹣7xy+2y2)(x﹣2y) =3x3﹣7x2y+2xy2﹣6x2y+14xy2﹣4y3 =3x3﹣13x2y+16xy2﹣4y3. 故选:C. 【变式3-1】(2025春•芦溪县期中)某同学在计算一个多项式乘以﹣2a时,因抄错运算符号,算成了加上 ﹣2a,得到的结果是a2+2a﹣1,那么正确的计算结果是多少? 【分析】根据题意首先求出多项式,进而利用单项式乘以多项式运算法则求出即可. 【解答】解:∵计算一个多项式乘以﹣2a时,因抄错运算符号,算成了加上﹣2a,得到的结果是a2+2a ﹣1, ∴这个多项式为:a2+2a﹣1+2a=a2+4a﹣1, ∴正确的计算结果是:﹣2a(a2+4a﹣1)=﹣2a3﹣8a2+2a. 【变式3-2】(2022秋•云县期末)在计算(x+a)(x+b)时,甲错把b看成了6,得到结果x2+8x+12;乙 错把a看成了﹣a,得到结果x2+x﹣6.你能正确计算(x+a)(x+b)吗?(a、b都是常数) 【分析】根据甲的做法求出a的值,根据乙的做法求出b的值,代入原式中计算即可. 【解答】解:∵(x+a)(a+6)=x2+(6+a)x+6a=x2+8x+12, ∴6+a=8, ∴a=2; ∵(x﹣a)(x+b)=x2+(b﹣a)x﹣ab=x2+x﹣6, ∴b﹣a=1, ∴b=3, ∴(x+a)(a+b) =(x+2)(x+3) =x2+5x+6. 【变式3-3】(2025春•河源期末)甲、乙两人共同计算一道整式:(x+a)(2x+b),由于甲抄错了a的 符号,得到的结果是2x2﹣7x+3,乙漏抄了第二个多项式中x的系数,得到的结果是x2+2x﹣3. (1)求(﹣2a+b)(a+b)的值; (2)若整式中的a的符号不抄错,且a=3,请计算这道题的正确结果. 【分析】(1)按甲乙错误的说法计算得出的系数的数值求出a,b的值;(2)将a,b的值代入原式求出整式乘法的正确结果. 【解答】解:(1)甲抄错了a的符号的计算结果为:(x﹣a)(2x+b)=2x2+(﹣2a+b)x﹣ab=2x2﹣ 7x+3, 故:对应的系数相等,﹣2a+b=﹣7,ab=﹣3; 乙漏抄了第二个多项式中x的系数,计算结果为:(x+a)(x+b)=x2+(a+b)x+ab=x2+2x﹣3. 故:对应的系数相等,a+b=2,ab=﹣3, {-2a+b=-7 ∴ , a+b=2 {a=3 解得: , b=-1 ∴(﹣2a+b)(a+b)=[(﹣2)×3﹣1](3﹣1)=﹣7×2=﹣14; (2)由(1)可知,b=﹣1正确的计算结果:(x+3)(2x﹣1)=2x2+5x﹣3. 【题型4 整式乘法中的遮挡问题】 【例4】(2022秋•天津期末)在一次数学课上,学习了单项式乘多项式,小明回家后,拿出课堂笔记本复 习,发现这样一道题:﹣3x(﹣2x2+3x﹣1)=6x3+□+3x,“□”的地方被墨水污染了,你认为“□” 内应填写( ) A.9x2 B.﹣9x2 C.9x D.﹣9x 【分析】根据单项式与多项式相乘的运算法则计算可得出答案. 【解答】解:﹣3x(﹣2x2+3x﹣1)=6x3﹣9x2+3x, 故选:B. 【变式4-1】(2022秋•河南月考)今天数学课上,老师讲了单项式乘多项式,放学回到家,小明拿出课堂 笔记复习,发现一道题:﹣7xy(2y﹣x﹣3)=﹣14xy2+7x2y□,□的地方被钢笔水弄污了,你认为□内 应填写( ) A.+21xy B.﹣21xy C.﹣3 D.﹣10xy 【分析】先把等式左边的式子根据单项式与多项式相乘,先用单项式乘多项式的每一项,再把所得的积 相加,所得结果与等式右边的式子相对照即可得出结论. 【解答】解:﹣7xy(2y﹣x﹣3)=﹣14xy2+7x2y+21xy. 故选:A. 【变式4-2】(2025春•江都区期中)今天数学课上,老师讲了单项式乘以多项式,放学后,小华回到家拿 出课堂笔记,认真复习老师课上讲的内容,他突然发现一道题3x2y(2xy2﹣xy﹣1)=6x3y3 ﹣ 3 x 3 y 2 ﹣ 3x2y,空格的地方被钢笔水弄污了,你认为横线上应填写 ﹣ 3 x 3 y 3 .【分析】直接利用单项式乘以多项式运算法则计算得出答案. 【解答】解:∵3x2y(2xy2﹣xy﹣1)=6x3y3﹣3x3y2﹣3x2y, ∴横线上应填写﹣3x3y2, 故答案为:﹣3x3y2,﹣3x3y2. 【变式4-3】(2022秋•岳麓区校级期中)已知x3﹣6x2+11x﹣6=(x﹣1)(x2+mx+n),其中m、n是被墨 水弄脏了看不清楚的两处,请求出m2+6mn+9n2的值. 【分析】将(x﹣1)(x2+mx+n)展开求得m和n的值后代入代数式即可求得其值. 【解答】解:∵x3﹣6x2+11x﹣6=(x﹣1)(x2+mx+n)=x3+(m﹣1)x2+(n﹣m)x﹣n, ∴m﹣1=﹣6,n=6, ∴m=﹣5, ∴m2+6mn+9n2=(﹣5)2+6×(﹣5)×6+9×62=25﹣180+324=169. 【题型5 整式乘法的计算】 【例5】(2025春•冠县期中)计算: (1)(x﹣2y)(x+2y﹣1)+4y2 (2)(a2b)[(ab2)2+(2ab)3+3a2]. 【分析】(1)原式利用多项式乘以多项式法则计算,去括号合并即可得到结果; (2)原式先利用幂的乘方与积的乘方运算法则计算,再利用单项式乘以多项式法则计算即可得到结果. 【解答】解:(1)原式=(x﹣2y)(x+2y)﹣x+2y+4y2=x2﹣4y2﹣x+2y+4y2=x2﹣x+2y; (2)原式=a2b(a2b4+8a3b3+3a2)=a4b5+8a5b4+3a4b. 【变式5-1】(2025春•西城区校级期中)求(x﹣1)(2x+1)﹣2(x﹣5)(x+2)的值,其中x=﹣2. 【分析】根据多项式乘多项式的运算法则把要求的式子进行整理,然后代值计算即可. 【解答】解:(x﹣1)(2x+1)﹣2(x﹣5)(x+2) =2x2﹣x﹣1﹣2(x2﹣3x﹣10) =2x2﹣x﹣1﹣2x2+6x+20 =5x+19, 把x=﹣2代入原式得: 原式=5×(﹣2)+19=﹣10+19=9. 1 【变式5-2】(2022秋•长宁区校级期中) x(4-2x)-2(3﹣2x)(4x+1). 2 【分析】利用单项式乘多项式、多项式乘多项式法则,先算乘方,再加减. 1 1 【解答】解:原式= x•4- x•2x﹣2(3•4x+3•1﹣2x•4x﹣2x•1) 2 2=2x﹣x2﹣2(12x+3﹣8x2﹣2x) =2x﹣x2﹣24x﹣6+16x2+4x =15x2﹣18x﹣6. 【变式5-3】(2025春•海陵区校级月考)计算: (1)﹣3x2(2x﹣4y)+2x(x2﹣xy). (2)(3x+2y)(2x﹣3y)﹣3x(3x﹣2y). 【分析】(1)根据多项式乘多项式,多项式乘单项式进行计算即可; (2)根据多项式乘多项式,多项式乘单项式进行计算即可. 【解答】解:(1)原式=﹣6x3+12x2y+2x3﹣2x2y =﹣4x3+10x2y; (2)原式=6x2﹣9xy+4xy﹣6y2﹣9x2+6xy =﹣3x2+xy﹣6y2. 【题型6 整式乘法的应用】 【例6】(2025春•杭州期中)如图,正方形卡片A类、B类和长方形卡片C类各若干张,如果要拼一个长 为(2a+3b),宽为(a+2b)的大长方形,则需要A类、B类和C类卡片的张数分别为( ) A.2,8,5 B.3,8,6 C.3,7,5 D.2,6,7 【分析】由(2a+3b)×(a+2b)=2a2+7ab+6b2,得A类卡片的面积为a2,B类卡片的面积为b2,C类卡 片的面积为ab,因此需要A类卡片2张,B类卡片6张,C类卡片7张. 【解答】解:长为(2a+3b),宽为(a+2b)的大长方形的面积为:(2a+3b)×(a+2b)= 2a2+7ab+6b2, ∵A类卡片的面积为a2,B类卡片的面积为b2,C类卡片的面积为ab, ∴需要A类卡片2张,B类卡片6张,C类卡片7张. 故选:D. 【变式6-1】(2025春•吴江区期末)从前,古希腊一位庄园主把一块长为a米,宽为b米(a>b>100) 的长方形土地租给租户张老汉,第二年,他对张老汉说:“我把这块地的长增加 10米,宽减少10米, 继续租给你,租金不变,你也没有吃亏,你看如何?”如果这样,你觉得张老汉的租地面积会( ) A.变小了 B.变大了 C.没有变化 D.无法确定 【分析】原面积可列式为ab,第二年按照庄园主的想法则面积变为(a+10)(b﹣10),又a>b,通过计算可知租地面积变小了. 【解答】解:由题意可知:原面积为ab(平方米), 第二年按照庄园主的想法则面积变为(a+10)(b﹣10)=ab﹣10a+10b﹣100=[ab﹣10(a﹣b)﹣100] 平方米, ∵a>b, ∴ab﹣10(a﹣b)﹣100<ab, ∴面积变小了, 故选:A. 【变式6-2】(2022秋•安溪县期中)如图1,在某住房小区的建设中,为了提高业主的宜居环境,小区准 备在一个长为(4a+3b)米,宽为(2a+3b)米的长方形草坪上修建一横一竖,宽度均为b米的通道. (1)通道的面积共有多少平方米? (2)若修两横一竖,宽度均为b米的通道(如图2),已知a=2b,剩余草坪的面积是162平方米,求 通道的宽度是多少米? 【分析】(1)根据通道的面积=两个长方形面积﹣中间重叠部分的正方形的面积计算即可; (2)根据剩余草坪的面积=大长方形面积﹣通道的面积,求得剩余草坪的面积,再根据 a=2b,剩余 草坪的面积是162平方米,列出方程求解即可. 【解答】解:(1)S =b(2a+3b)+b(4a+3b)﹣b2 通道 =2ab+3b2+4ab+3b2﹣b2 =(6ab+5b2)平方米, 答:通道的面积共有(6ab+5b2)平方米; (2)S =(4a+3b)(2a+3b)﹣[2b(2a+3b)+b(4a+3b)﹣2b2] 草坪 =8a2+18ab+9b2﹣(4ab+6b2+4ab+3b2﹣2b2) =8a2+18ab+9b2﹣8ab﹣7b2 =8a2+10ab+2b2, ∵a=2b,∴8a2+10ab+2b2 =8×(2b)2+10×2b•b+2b2 =32b2+20b2+2b2 =54b2 =162, ∴b2=3, ∴b=±√3(负值舍去)(米). 答:通道的宽度是√3米. 【变式6-3】(2025春•莲湖区期末)已知有甲、乙两个长方形,它们的边长如图所示,面积分别为S , 1 S. 2 (1)S 与S 的大小关系为:S < S. 1 2 1 2 (2)若一个正方形的周长与甲的周长相等. ①求该正方形的边长(用含m的代数式表示). ②若该正方形的面积为S ,试探究:S 与S 的差(即S﹣S )是否为常数?若为常数,求出这个常数, 3 3 2 3 2 如果不是,请说明理由. 【分析】(1)根据长方形的面积公式列式,然后根据整式的混合运算法则进行计算求解; (2)①根据正方形和长方形的周长公式计算求解; ②根据正方形和长方形的面积公式列式,然后利用整式的混合运算法则进行计算求解. 【解答】解:(1)由题意: S=(m+2)(m+6)=m2+6m+2m+12=m2+8m+12, 1 S=(m+5)(m+3)=m2+5m+3m+15=m2+8m+15, 2 ∵S﹣S=(m2+8m+12)﹣(m2+8m+15)=m2+8m+12﹣m2﹣8m﹣15=﹣3<0, 1 2 ∴S<S, 1 2 故答案为:<, (2)①甲的周长为2(m+2+m+6)=4m+16, ∵正方形的周长与甲的周长相等,4m+16 ∴正方形的边长为 =m+4, 4 ②由①可得,正方形的面积S=(m+4)2, 3 ∴S﹣S=(m+4)2﹣(m2+8m+15) 3 2 =m2+8m+16﹣m2﹣8m﹣15 =1, ∴S 与S 的差(即S﹣S)是常数,这个常数是1. 3 2 3 2 【知识点2 整式的除法】 单项式÷单项式:系数相除,字母相除. 多项式÷单项式:除法性质. 多项式÷多项式:大除法. 【题型7 整式除法的运算与求值】 【例7】(2024•襄都区校级开学)先化简,再求值:[(xy+2)(xy﹣2)﹣2x2y2+4]÷xy,其中x=﹣10, 1 y= . 25 【分析】先根据平方差公式进行计算,再合并同类项,算除法,最后代入求出答案即可. 【解答】解:[(xy+2)(xy﹣2)﹣2x2y2+4]÷xy =(x2y2﹣4﹣2x2y2+4)÷xy =﹣x2y2÷xy =﹣xy, 1 1 2 当x=﹣10,y= 时,原式=﹣(﹣10)× = . 25 25 5 【变式7-1】(2025春•秀洲区校级月考)若等式(6a3+3a2)÷(6a)=(a+1)(a+2)成立,则a的值为 4 - . 5 【分析】根据多项式除以单项式,多项式乘以多项式的法则计算,再解关于a的方程即可求解. 【解答】解:(6a3+3a2)÷(6a)=(a+1)(a+2) 1 a2+ a=a2+3a+2, 2 5 - a=2, 24 解得a=- . 5 4 故答案为:- . 5 1 1 【变式7-2】(2025春•萧山区月考)若A与- ab的积为-4a3b3+3a2b2- ab,则A为( ) 2 2 3 1 A.﹣8a2b2+6ab﹣1 B.-2a2b2+ ab+ 2 4 3 C.8a2b2﹣6ab+1 D.2a2b2- ab+1 2 1 1 【分析】由题意可得所求的式子为:(-4a3b3+3a2b2- ab)÷(- ab),利用整式的除法的法则 2 2 进行运算即可. 【解答】解:由题意得: 1 1 (-4a3b3+3a2b2- ab)÷(- ab) 2 2 1 1 1 1 =﹣4a3b3÷(- ab)+3a2b2÷(- ab)- ab÷(- ab) 2 2 2 2 =8a2b2﹣6ab+1. 故选:C. 【变式7-3】(2024·四川·石室佳兴外国语学校七年级阶段练习)已知多项式2x2﹣4x﹣1除以一个多项式 A,得商式为2x,余式为x﹣1,则这个多项式A=_____. 【分析】根据“除式=(被除式-余式)÷商”列式,再利用多项式除单项式,先把多项式的每一项除以 单项式,再把所得的商相加,计算即可. 【解答】解:由题意可得: A=[(2x2-4x-1)-(x-1)]÷2x =(2x2-5x)÷2x 5 =x- 2 5 故答案为:x- 2 【题型8 整式除法的应用】 【例8】(2022秋•渝中区校级期中)某玩具加工厂要制造如图所示的两种形状的玩具配件,其中,配件①5 3 是由大、小两个长方体构成的,大长方体的长、宽、高分别为: a、2a、 a,小长方体的长、宽、高 2 2 a 分别为:2a、a、 ;配件②是一个正方体,其棱长为a 2 (1)生产配件①与配件②分别需要多长体积的原材料(不计损耗)? (2)若两个配件①与一个配件②可以用于加工一个玩具,每个玩具在市场销售后可获利30元,则 1000a3体积的这种原材料可使该厂最多获利多少元? 【分析】(1)先算出两个长方体的体积,再相加,即可得出配件①的体积,求出棱长为 a的正方体体 积,即可得出配件②的体积; 17 (2)根据题意列出算式1000a3÷(2× a3+a3)×30,求出即可. 2 5 3 a 17 【解答】解:(1)生产配件①需要的原材料的体积是: a•2a• a+2a•a• = a3; 2 2 2 2 生产配件②需要的原材料的体积是:a•a•a=a3; 17 5000 (2)根据题意得:1000a3÷(2× a3+a3)×30= (元), 2 3 5000 答:1000a3体积的这种原材料可使该厂最多获利 元. 3 【变式8-1】(2025春•抚州期末)如图1,将一张长方形纸板四角各切去一个同样的正方形,制成如图 2 的无盖纸盒,若该纸盒的容积为4a2b,则图2中纸盒底部长方形的周长为( ) A.4ab B.8ab C.4a+b D.8a+2b【分析】根据长方体纸盒的容积等于底面积乘以高,底面积等于底面长方形的长与宽的乘积可以先求出 宽,再计算纸盒底部长方形的周长即可. 【解答】解:根据题意,得 4a2b 纸盒底部长方形的宽为 =4a, ab ∴纸盒底部长方形的周长为:2(4a+b)=8a+2b. 故选:D. 【变式8-2】(2025春•蜀山区期中)爱动脑筋的丽丽与娜娜在做数学小游戏,两人各报一个整式,丽丽报 的整式A作被除式,娜娜报的整式B作除式,要求商式必须为﹣3xy(即A÷B=﹣3xy) (1)若丽丽报的是x3y﹣6xy2,则娜娜应报什么整式? (2)若娜娜也报x3y﹣6xy2,则丽丽能报一个整式吗?若能,则是个什么整式?说说你的理由. 【分析】根据A÷B=﹣3xy,可知: 1 (1)B=(x3y﹣6xy2)÷(﹣3xy)=- x2+2y; 3 (2)A=(x3y﹣6xy2)(﹣3xy)=﹣3x4y2+18x2y3; 【解答】解:(1)A=x3y﹣6xy2, 1 ∴B=(x3y﹣6xy2)÷(﹣3xy)=- x2+2y; 3 (2)A=(x3y﹣6xy2)(﹣3xy)=﹣3x4y2+18x2y3; 【变式8-3】(2022秋•思明区校级期中)【阅读材料】多项式除以多项式,可用竖式进行演算,步骤如下: ①把被除式、除式按某个字母作降幂排列,并把所缺的项用零补齐(或留出空白); ②用被除式的第一项去除除式第一项,得到商式的第一项,写再被除式的同次幂上方; ③用商式的第一项去乘除式,把积写在被除式下面(同类项对齐),从被除式中减去这个积; ④把减得的差当作新的被除式,再按照上面的方法继续演算,直到余式为零或余式的次数低于除式的次 数时为止,被除式=除式×商式+余式,若余式为零,说明这个多项式能被另一个多项式整除. 例如:计算2x5+3x3+5x2﹣2x+10除以x2+1的商式和余式,可以用竖式演算如图. 所以2x5+3x3+5x2﹣2x+10除以x2+1的商式为2x3+x+5,余式为﹣3x+5. (1)计算(2x3﹣3x2+4x﹣5)÷(x+2)的商式为 2 x 2 ﹣ 7 x +1 8 ,余式为 ﹣ 4 1 ; (2)2x4﹣4x3+ax2+7x+b能被x2+x﹣2整除,求a、b的值.【分析】(1)根据整式除法的竖式计算方法,整体进行计算即可; (2)根据整式除法的竖式计算方法,要使x3﹣x2+ax+b能被x2+2x+2整除,即余式为0,可以得到a、b 的值. 【解答】解:(1)(2x3﹣3x2+4x﹣5)÷(x+2)=2x2﹣7x+18……﹣41, 故答案为:2x2﹣7x+18,﹣41; (2)由题意得: ∵2x4﹣4x3+ax2+7x+b能被x2+x﹣2整除, ∴﹣5﹣(a+10)=0,b+2(a+10)=0 即:a=﹣15,b=10.【题型9 整式乘法中的新定义】 【例9】(2022秋•夏津县期中)阅读并解决其后的问题: |a b 我们将四个有理数a,b,c,d写成 |的形式,称它为由有理数a,b,c,d组成的二阶矩阵,a, c d |a b b,c,d为构成这个矩阵的元素,我们定义矩阵的运算为: |= ad﹣bc,对于两个矩阵相加我们定 c d |a b |m n |a+m b+n 义 为 : |+ |= |, 下 面 是 两 个 二 阶 矩 阵 的 加 法 运 算 过 程 : c d x y c+x d+ y |2 -3 |-2 -4 |2+(-2) (-3)+(-4) |0 -7 |+ |= |= |= 0×4﹣4×(﹣7)=28. 3 5 1 -1 3+1 5+(-1) 4 4 |17 -5 |-15 12 |-15 12| (1)计算 |+ |+ 的值; 6 2 16 -8 16 -8 |2x-3 x+2 |-2x 4x+8 |-2x 4x+8| (2)计算 |+ |+ . 2 5x-7 6 2x+3 6 2x+3 【分析】(1)原式利用题中的新定义计算即可求出值; (2)原式利用题中的新定义化简,去括号合并即可得到结果. 【解答】解:(1)根据题中的新定义得: |17-15 -5+12| 原式= 6+16 2-8 |2 7 | = 22 -6 =2×(﹣6)﹣7×22 =﹣12﹣154 =﹣166; (2)根据题中的新定义得: |2x-3-2x x+2+4x+8| 原式= 2+6 5x-7+2x+3 |-3 5x+10| = 8 7x-4 =﹣3(7x﹣4)﹣8(5x+10) =﹣21x+12﹣40x﹣80 =﹣61x﹣68.【变式9-1】(2022秋•兰陵县期中)定义:若A﹣B=1,则称A与B是关于1的单位数. (1)3与 4 或 2 是关于1的单位数,x﹣3与 x ﹣ 4 是关于1的单位数.(填一个含x的式子) 3 (2)若A=3x(x+2)﹣1,B=2( x2+3x-1),判断A与B是否是关于1的单位数,并说明理由. 2 【分析】(1)根据关于1的单位数的定义,计算和确定3与x﹣3的单位数; (2)计算A﹣B,根据关于1的单位数的定义判断. 【解答】解:(1)因为4﹣3=1,3﹣2=1, 所以3与4、2是关于1的单位数. 设x﹣3与M是关于1的单位数, 即x﹣3﹣M=1,或M﹣(x﹣3)=1 所以M=x﹣4或M=x﹣2. 故答案为:4或2;x﹣4. (2)A与B是关于1的单位数. 3 ∵A﹣B=3x(x+2)﹣1﹣2( x2+3x﹣1) 2 =3x2+6x﹣1﹣3x2﹣6x+2 =1 ∴A与B是关于1的单位数. 【变式9-2】(2024•顺平县二模)如果一个两位数a的个位数字与十位数字都不是零,且互不相同,我们 称这个两位数为“跟斗数”,定义新运算:将一个“跟斗数”的个位数字与十位数字对调,把这个新两 位数与原两位数的和与11的商记ω(a),例如:a=13,对调个位数字与十位数字得到新两位数31, 新两位数与原两位数的和,31+13=44,和与11的商44÷11=4,所以ω(13)=4.根据以上定义,回 答下列问题: (1)计算:ω(23)= 5 . (2)若一个“跟斗数”b的十位数字是k,个位数字是2(k+1),且ω(b)=8,则“跟斗数”b= 26 . (3)若m,n都是“跟斗数”,且m+n=100,则ω(m)+ω(n)= 1 9 . 【分析】(1)根据题目中“跟斗数”的定义,可以计算出f(23)的值; (2)根据题意,可以得到关于k的方程,从而可以求得k的值,然后即可得到b的值; (3)根据题意,可以表示出m、n,然后即可计算出f(m)+f(n)的值. 23+32 【解答】解:(1)ω(23)= =5. 11故答案为:5; (2)∵一个“跟斗数”b的十位数字是k,个位数字是2(k+1),且ω(b)=8, [10k+2(k+1)]+[10×2(k+1)+k] ∴ =8, 11 解得k=2, ∴2(k+1)=6, ∴b=26. 故答案为:26; (3)∵m,n都是“跟斗数”,且m+n=100,设m=10x+y,则n=10(9﹣x)+(10﹣y), ∴ω(m)+ω(n) (10x+ y)+(10 y+x) [10(9-x)+(10- y)]+[10(10- y)+(9-x)] = + 11 11 10x+ y+10 y+x 90-10x+10- y+100-10 y+9-x = + 11 11 11x+11y 209-11x-11y = + 11 11 =x+y+19﹣x﹣y =19. 故答案为:19. 【变式9-3】(2024•渝中区校级模拟)阅读以下材料: 材料一:如果两个两位数ab,cd,将它们各自的十位数字和个位数字交换位置后得到两个完全不同的 新数ba,dc,这两个两位数的乘积与交换后的两个两位数的乘积相等,则称这样的两个两位数为一对 “有缘数对”. 例如:46×96=64×69=4416,所以,46和96是一对“有缘数对”, 材料二:在进行一些数学式计算时,我们可以把某一单项式或多项式看作一个整体,运用整体换元,使 得运算更简单. 例如:计算(x2+3x﹣1)(x2+3x﹣8),令:(x2+3x)=A, 原式=(A﹣1)(A﹣8)=A2﹣9A+8=(x2+3x)2﹣9(x2+3x)+8 =x4+6x3﹣27x+8 解决如下问题:(1)①请任写一对“有缘数对” 4 3 和 6 8 . ②并探究“有缘数对”ab和cd,a,b,c,d之间满足怎样的等量关系.并写出证明过程. (2)若两个两位数(x2+2x+3)(x2﹣2x+4)与(x2﹣2x+5)(x2+2x+5)是一对“有缘数对”,请求出 这两个两位数. 【分析】(1)①根据ac=bd写出一对“有缘数对”; ②根据定义得:(10a+b)(10c+d)=(10b+a)(10d+c),化简得ac=bd; (2)根据定义列等式,化简解方程可得x的值,可得这两个两位数. 【解答】解:(1)①∵43×68=2924,34×86=2924, ∴43和68是一对“有缘数对”, 故答案为:43,68; ②“有缘数对”ab和cd,a,b,c,d之间满足:ac=bd, 理由是:由题意得:(10a+b)(10c+d)=(10b+a)(10d+c), 100ac+10bc+10ad+bd=100bd+10bc+10ad+ac, 99ac=99bd, ac=bd; (2)∵两位数(x2+2x+3)(x2﹣2x+4)与(x2﹣2x+5)(x2+2x+5)是一对“有缘数对”, ∴(x2+2x+3)•(x2﹣2x+5)=(x2﹣2x+4)•(x2+2x+5), (x2+2x)(x2﹣2x)+5(x2+2x)+3(x2﹣2x)+15=(x2﹣2x)(x2+2x)+5(x2﹣2x)+4(x2+2x)+20, x2+2x﹣2x2+4x﹣5=0, x2﹣6x+5=0, x=1或5, 当x=1时,x2+2x+3=6,x2﹣2x+4=3,x2﹣2x+5=4,x2+2x+5=8, 当x=5时,x2+2x+3=38,不符合题意, ∴这两个两位数分别是63和48. 【题型10 整式乘法中的规律探究】 【例10】(2025春•江都区期中)探究规律,并回答问题: (1)运用多项式乘法,计算下列各题: ①(x+2)(x+3)= x 2 + 5 x + 6 ; ②(x+2)(x﹣3)= x 2 ﹣ x ﹣ 6 ; ③(x﹣3)(x﹣1)= x 2 ﹣ 4 x + 3 ;(2)若(x+a)(x+b)=x2+px+q,则p= a + b ,q= a b ; (3)根据此规律,直接写出以下结果: ①(x+5)(x+7)= x 2 +1 2 x +3 5 ; ②(t+2)(t﹣1)= t 2 + t ﹣ 2 . 【分析】根据多项式与多项式相乘的运算法则计算即可. 【解答】解:①(x+2)(x+3)=x2+5x+6; ②(x+2)(x﹣3)=x2﹣x﹣6; ③(x﹣3)(x﹣1)=x2﹣4x+3; 故答案为:x2+5x+6;x2﹣x﹣6;x2﹣4x+3; (2)若(x+a)(x+b)=x2+px+q,则p=a+b,q=ab; 故答案为:a+b,ab; (3)①(x+5)(x+7)=x2+12x+35; ②(t+2)(t﹣1)=t2+t﹣2. 故答案为:x2+12x+35;t2+t﹣2. 【变式10-1】(2025春•永丰县期末)探究发现:在数学中,有些大数值问题可以通过用字母代替数转化 成整式问题来解决. 阅读解答:比较20182019×20182016与20182017×20182018的大小. 解:设20182017=a,那么20182019×20182016=(a+2)(a﹣1)=a2+a﹣2;20182017×20182018= a2+a. 因为a2+a﹣2 < a2+a(填<>、或=), 所以20182019×20182016 < 20182017×20182018(填<、>、或=). 问题解决:化简求代数式的值. (m+22.2018)(m+14.2018)﹣(m+18.2018)(m+17.2018),其中m=2016. 【分析】解:( 1)根据 a2+a>0,可得 a2+a﹣2<a2+a,从而得到 20182019×20182016< 20182017×20182018即可; (2)设a=m+17.2018,可得(a+5)(a﹣3)﹣(a+3)(a+2),再化简计算即可. 【解答】解:由题知:a2+a>0; ∴a2+a﹣2<a2+a; ∴20182019×20182016<20182017×20182018; 故答案为:<;<. 设a=m+17.2018,∴原式=(a+5)(a﹣3)﹣a(a+1) =a2+2a﹣15﹣a2﹣a =a﹣15 =m+17.2018﹣15 =m+2.2018, ∵m=2016, ∴m+2.2018=2018.2018. 【变式10-2】(2025春•包河区期末)探究规律,解决问题: (1)化简:(m﹣1)(m+1)= m 2 ﹣ 1 ,(m﹣1)(m2+m+1)= m 3 ﹣ 1 . (2)化简:(m﹣1)(m3+m2+m+1),写出化简过程. (3)化简:(m﹣1)(mn+mn﹣1+mn﹣2+…+1)= m n + 1 ﹣ 1 .(n为正整数,mn+mn﹣1+mn﹣2+…+1为 n+1项多项式) (4)利用以上结果,计算1+3+32+33+…+3100的值. 【分析】(1)(2)根据多项式乘多项式的运算法则进行计算即可; (3)根据(1)(2)得出的规律可直接得出答案; (4)根据(3)的出的规律可直接代数进行计算即可. 【解答】解:(1)(m﹣1)(m+1)=m2﹣1; (m﹣1)(m2+m+1)=m3﹣1; 故答案为:m2﹣1;m3﹣1; (2)(m﹣1)(m3+m2+m+1) =m4+m3+m2+m﹣m3﹣m2﹣m﹣1 =m4﹣1; (3)(m﹣1)(mn﹣1+mn﹣2+…m2+m+1)=mn+1﹣1; 故答案为:mn+1﹣1; (4)根据(3)得出的规律可得: 1+3+32+33+…+3100 3101-1 = , 3-13101-1 = . 2 【变式10-3】(2025春•雅安期末)已知x≠1.观察下列等式: (1﹣x)(1+x)=1﹣x2; (1﹣x)(1+x+x2)=1﹣x3; (1﹣x)(1+x+x2+x3)=1﹣x4; … (1)猜想:(1﹣x)(1+x+x2+x3+…+xn﹣1)= 1 ﹣ x n ; (2)应用:根据你的猜想请你计算下列式子的值: ①(1﹣2)(1+2+22+23+24+25+26)= ﹣ 12 7 ; ②(x﹣1)(x2022+x2021+x2020+…+x2+x+1)= x 202 3 ﹣ 1 . (3)判断2100+299+298+…+22+2+1的值的个位数是几?并说明你的理由. 【分析】(1)根据所给的等式,不难得出结果; (2)①利用(1)中的结论进行求解即可; ②利用(1)中的结论进行求解即可; (3)先利用(1)的结论进行求解,再判断其个位数即可. 【解答】解:(1)∵(1﹣x)(1+x)=1﹣x2; (1﹣x)(1+x+x2)=1﹣x3; (1﹣x)(1+x+x2+x3)=1﹣x4 … ∴(1﹣x)(1+x+x2+x3+…+xn﹣1)=1﹣xn; 故答案为:1﹣xn; (2)①(1﹣2)(1+2+22+23+24+25+26) =1﹣27 =1﹣128 =﹣127; 故答案为:﹣127; (2)②(x﹣1)(x2022+x2021+x2020+…+x2+x+1) =﹣(1﹣x)(1+x+x2+…+x2022) =﹣(1﹣x2023) =x2023﹣1. 故答案为:x2023﹣1;(3)1,理由如下: 2100+299+298+…+22+2+1 =﹣(1﹣2)×(1+2+22+…+2100) =﹣(1﹣2101) =2101﹣1. ∵21的个位数是2, 22的个位数是4, 23的个位数是8, 24的个位数是6, 25的个位数是2, … ∴其个位数以2,4,8,6不断循环出现, ∵101÷4=25……1, ∴2101的个位数字是2, ∴2101﹣1的个位数是1.