当前位置:首页>文档>重难点5-1数列通项公式的求法(8题型+满分技巧+限时检测)(解析版)_2.2025数学总复习_2024年新高考资料_3.2024专项复习_2024年高考数学热点·重点·难点专练(新高考专用)

重难点5-1数列通项公式的求法(8题型+满分技巧+限时检测)(解析版)_2.2025数学总复习_2024年新高考资料_3.2024专项复习_2024年高考数学热点·重点·难点专练(新高考专用)

  • 2026-04-25 00:28:11 2026-03-28 15:10:26

文档预览

重难点5-1数列通项公式的求法(8题型+满分技巧+限时检测)(解析版)_2.2025数学总复习_2024年新高考资料_3.2024专项复习_2024年高考数学热点·重点·难点专练(新高考专用)
重难点5-1数列通项公式的求法(8题型+满分技巧+限时检测)(解析版)_2.2025数学总复习_2024年新高考资料_3.2024专项复习_2024年高考数学热点·重点·难点专练(新高考专用)
重难点5-1数列通项公式的求法(8题型+满分技巧+限时检测)(解析版)_2.2025数学总复习_2024年新高考资料_3.2024专项复习_2024年高考数学热点·重点·难点专练(新高考专用)
重难点5-1数列通项公式的求法(8题型+满分技巧+限时检测)(解析版)_2.2025数学总复习_2024年新高考资料_3.2024专项复习_2024年高考数学热点·重点·难点专练(新高考专用)
重难点5-1数列通项公式的求法(8题型+满分技巧+限时检测)(解析版)_2.2025数学总复习_2024年新高考资料_3.2024专项复习_2024年高考数学热点·重点·难点专练(新高考专用)
重难点5-1数列通项公式的求法(8题型+满分技巧+限时检测)(解析版)_2.2025数学总复习_2024年新高考资料_3.2024专项复习_2024年高考数学热点·重点·难点专练(新高考专用)
重难点5-1数列通项公式的求法(8题型+满分技巧+限时检测)(解析版)_2.2025数学总复习_2024年新高考资料_3.2024专项复习_2024年高考数学热点·重点·难点专练(新高考专用)
重难点5-1数列通项公式的求法(8题型+满分技巧+限时检测)(解析版)_2.2025数学总复习_2024年新高考资料_3.2024专项复习_2024年高考数学热点·重点·难点专练(新高考专用)
重难点5-1数列通项公式的求法(8题型+满分技巧+限时检测)(解析版)_2.2025数学总复习_2024年新高考资料_3.2024专项复习_2024年高考数学热点·重点·难点专练(新高考专用)
重难点5-1数列通项公式的求法(8题型+满分技巧+限时检测)(解析版)_2.2025数学总复习_2024年新高考资料_3.2024专项复习_2024年高考数学热点·重点·难点专练(新高考专用)
重难点5-1数列通项公式的求法(8题型+满分技巧+限时检测)(解析版)_2.2025数学总复习_2024年新高考资料_3.2024专项复习_2024年高考数学热点·重点·难点专练(新高考专用)
重难点5-1数列通项公式的求法(8题型+满分技巧+限时检测)(解析版)_2.2025数学总复习_2024年新高考资料_3.2024专项复习_2024年高考数学热点·重点·难点专练(新高考专用)
重难点5-1数列通项公式的求法(8题型+满分技巧+限时检测)(解析版)_2.2025数学总复习_2024年新高考资料_3.2024专项复习_2024年高考数学热点·重点·难点专练(新高考专用)
重难点5-1数列通项公式的求法(8题型+满分技巧+限时检测)(解析版)_2.2025数学总复习_2024年新高考资料_3.2024专项复习_2024年高考数学热点·重点·难点专练(新高考专用)
重难点5-1数列通项公式的求法(8题型+满分技巧+限时检测)(解析版)_2.2025数学总复习_2024年新高考资料_3.2024专项复习_2024年高考数学热点·重点·难点专练(新高考专用)
重难点5-1数列通项公式的求法(8题型+满分技巧+限时检测)(解析版)_2.2025数学总复习_2024年新高考资料_3.2024专项复习_2024年高考数学热点·重点·难点专练(新高考专用)
重难点5-1数列通项公式的求法(8题型+满分技巧+限时检测)(解析版)_2.2025数学总复习_2024年新高考资料_3.2024专项复习_2024年高考数学热点·重点·难点专练(新高考专用)
重难点5-1数列通项公式的求法(8题型+满分技巧+限时检测)(解析版)_2.2025数学总复习_2024年新高考资料_3.2024专项复习_2024年高考数学热点·重点·难点专练(新高考专用)
重难点5-1数列通项公式的求法(8题型+满分技巧+限时检测)(解析版)_2.2025数学总复习_2024年新高考资料_3.2024专项复习_2024年高考数学热点·重点·难点专练(新高考专用)
重难点5-1数列通项公式的求法(8题型+满分技巧+限时检测)(解析版)_2.2025数学总复习_2024年新高考资料_3.2024专项复习_2024年高考数学热点·重点·难点专练(新高考专用)
重难点5-1数列通项公式的求法(8题型+满分技巧+限时检测)(解析版)_2.2025数学总复习_2024年新高考资料_3.2024专项复习_2024年高考数学热点·重点·难点专练(新高考专用)
重难点5-1数列通项公式的求法(8题型+满分技巧+限时检测)(解析版)_2.2025数学总复习_2024年新高考资料_3.2024专项复习_2024年高考数学热点·重点·难点专练(新高考专用)
重难点5-1数列通项公式的求法(8题型+满分技巧+限时检测)(解析版)_2.2025数学总复习_2024年新高考资料_3.2024专项复习_2024年高考数学热点·重点·难点专练(新高考专用)
重难点5-1数列通项公式的求法(8题型+满分技巧+限时检测)(解析版)_2.2025数学总复习_2024年新高考资料_3.2024专项复习_2024年高考数学热点·重点·难点专练(新高考专用)
重难点5-1数列通项公式的求法(8题型+满分技巧+限时检测)(解析版)_2.2025数学总复习_2024年新高考资料_3.2024专项复习_2024年高考数学热点·重点·难点专练(新高考专用)
重难点5-1数列通项公式的求法(8题型+满分技巧+限时检测)(解析版)_2.2025数学总复习_2024年新高考资料_3.2024专项复习_2024年高考数学热点·重点·难点专练(新高考专用)
重难点5-1数列通项公式的求法(8题型+满分技巧+限时检测)(解析版)_2.2025数学总复习_2024年新高考资料_3.2024专项复习_2024年高考数学热点·重点·难点专练(新高考专用)
重难点5-1数列通项公式的求法(8题型+满分技巧+限时检测)(解析版)_2.2025数学总复习_2024年新高考资料_3.2024专项复习_2024年高考数学热点·重点·难点专练(新高考专用)
重难点5-1数列通项公式的求法(8题型+满分技巧+限时检测)(解析版)_2.2025数学总复习_2024年新高考资料_3.2024专项复习_2024年高考数学热点·重点·难点专练(新高考专用)

文档信息

文档格式
docx
文档大小
1.666 MB
文档页数
25 页
上传时间
2026-03-28 15:10:26

文档内容

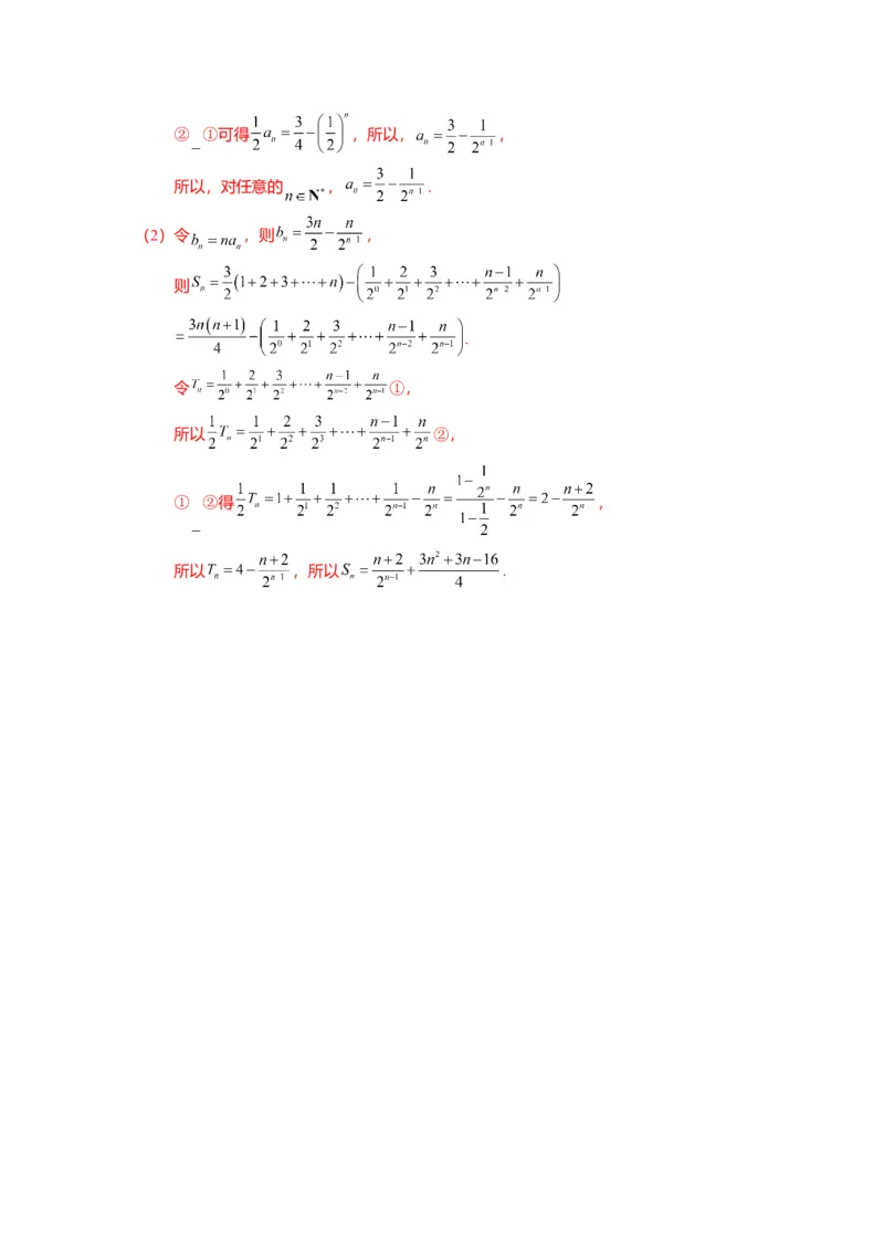
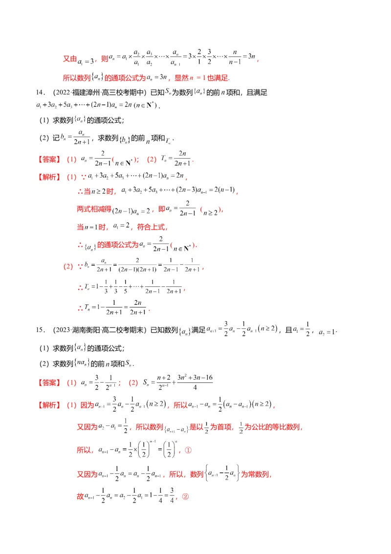
重难点 5-1 数列通项公式的求法 数列的通项公式求法是高考数学的必考考点,通常在选择题、填空题与解答题第一问中考查。难度中等, 但有时在同一个题目中会涉及到多种方法综合性较强。 【题型1 观察法求通项】 满分技巧 已知数列前若干项,求该数列的通项时,一般对所给的项观察分析,寻找规律,从而根据规律写出此数 列的一个通项. 【例1】(2023·河北张家口·高三尚义县第一中学校联考阶段练习)已知数列 ,则 是这个数列的( ) A.第21项 B.第22项 C.第23项 D.第24项 【答案】B 【解析】由题意可得数列的通项公式为 , 又 ,解得 , 所以 是这个数列的第22项.故选:B. 【变式1-1】(2023·内蒙古通辽·高三校考阶段练习)数列 , , , , 的一个通项公 式是a=( ) n A. B. C. D. 【答案】C 【解析】因为数列 , , , , 的通项公式为 , 则数列 , , , , 的通项公式为 ,而数列 , , , , 的每一项都是上面数列对应项的 , 所以数列 , , , , 的通项公式为 .故选:C. 【变式1-2】(2023·河南·高三校联考期中)数列 的一个通项公式为( ) A. B. C. D. 【答案】D 【解析】设该数列为 , . 选项A, ,不满足题意,故A错误; 选项B, ,不满足题意,故B错误; 选项C, ,不满足题意,故C错误; 选项D, ,均满足题意.故选:D. 【变式1-3】(2023·全国·高三专题练习)(多选)已知数列的前4项为2,0,2,0,则依此归纳该数列的 通项可能是( ) A. B. C. D. 【答案】ABD 【解析】对于A,当n为奇数时, ,当n为偶数时, ,故A中通项公式正确;对于B显然正确; 对于C,当 时, ,显然不符合; 对于D,当n为奇数时, ,当n为偶数时, ,故D中通项公式正确.故选:ABD. 【变式1-4】(2023·四川成都·石室中学校考模拟预测)南宋数学家杨辉所著的《解析九章算法》中有如下 俯视图所示的几何体,后人称之为“三角垛”.其最上层有1个球,第二层有3个球,第三层有6个球, 第四层10个…,则第三十六层球的个数为( ) A.561 B.595 C.630 D.666【答案】D 【解析】由题意,第一层 个球,第二层 个,第三层 个,第四层 个, 据此规律,第三十六层有小球 个.故选:D 【题型2 由Sn与an关系求通项】 满分技巧 若已知数列的前n项和 S n与 的关系, 求数列 的通项 可用公式 构造两式作差求解. 用此公式时要注意结论有两种可能,一种是“一分为二”,即分段式;另一种是“合二为一”,即 和 合为一个表达,(要先分 和 两种情况分别进行运算,然后验证能否统一). 【例2】(2023·山东潍坊·高三校考期中)数列前 项和 ,则该数列的第4项为( ) A.19 B.20 C.21 D.22 【答案】B 【解析】 , 该数列的第4项 .故选:B. 【变式2-1】(2023·陕西渭南·高三校考阶段练习)数列 的前 项和为 ,若 , 则 . 【答案】 【解析】 ①, ②, 两式相减得 ,故 , , 令 中 得, , 所以 ,而 不适合上式. 【变式2-2】(2023·黑龙江·校联考模拟预测)已知数列 的前 项和为 ,若 ,且 都有 ,则( ) A. 是等比数列 B. C. D.【答案】D 【解析】依题意,因为 , 即 , 又 ,所以 , 又 ,所以数列 是以3为首项,2为公比的等比数列,所以 , 时, , 时, , 所以 ,故选:D. 【变式2-3】(2023·四川·校联考三模)已知数列 满足 ,则 的通 项公式为( ) A. B. C. D. 【答案】B 【解析】当 时,有 ,所以 , 当 时,由 , , 两式相减得 , 此时, , 也满足, 所以 的通项公式为 .故选:B. 【变式2-4】(2023·全国·模拟预测)已知数列 满足 , ,且数列 的前 项和为 .若 的最大值为 ,则实数 的最大值是 . 【答案】 【解析】因为 ,即 , 当 时, , 两式相减得 ,所以 ,( ), 又 满足 ,所以 ,( ), 令 , , 显然数列 是等差数列,若 的最大值为 ,则 ,解得 , 所以实数 的最大值是 . 【题型3 累加法求通项】 满分技巧 适用于a =a+f(n),可变形为a -a=f(n) n+1 n n+1 n 利用恒等式a=a+(a-a)+(a-a)+…+(a-a )(n≥2,n∈N*)求解 n 1 2 1 3 2 n n-1 【例3】(2023·福建·高三校联考期中)已知数列 满足 ,且 ,若 ,则 正整数 为( ) A.13 B.12 C.11 D.10 【答案】B 【解析】 ,故 , ,故 , . 故 , ,即 ,故 ,解得 .故选:B 【变式3-1】(2023·广东佛山·高二佛山市荣山中学校考期中)已知 是数列 的前 项和, , ,则 的通项公式为( ) A. B. C. D. 【答案】B 【解析】由 得 , 两式相减得: , 即 ,即 ,即 , . 所以 , , ,…, . 相乘得: … … ,即 ,因为 ,所以 , . 当 时, ,所以 .故选:B 【变式3-2】(2023·山西·高三校联考阶段练习)在等比数列 中, ,则 . 【答案】 【解析】设等比数列 的公比为 , 因为 ,所以 ,所以 , 则当 时, , 则 .又 也满足 ,所以 . 【变式3-3】(2023·上海普陀·统考一模)若数列 满足 , ( , ),则 的最小值是 . 【答案】6 【解析】由已知 , ,…, , , 所以 , , 又 也满足上式,所以 , 设 ,由对勾函数性质知 在 上单调递减,在 递增, 因此 在 时递减,在 时递增, 又 , ,所以 的最小值是6. 【变式3-4】(2023·北京·高三汇文中学校考期中)已知数列 满足 , , , .则集合 中元素的个数为 . 【答案】24【解析】由题意得 , , 所以 , 又 ,所以 , , 当 为偶数时,令 ,解得 , 当 为奇数时,令 ,因为函数 的对称轴为 , 当 时, ,当 时, ,所以 , 综上可得集合 中元素的个数为 . 【题型4 累乘法求通项】 满分技巧 适用于a =f(n)a,可变形为=f(n) n+1 n 要点:利用恒等式a=a···…·(a≠0,n≥2,n∈N*)求解 n 1 n 【例4】(2023·全国·高三专题练习)已知 中, ,且 ,求数列通项公式. 【答案】 . 【解析】数列 中, , ,显然 ,当 时, , , 也满足上式, 所以数列 通项公式是 . 【变式4-1】(2023·山东青岛·高二青岛二中校考阶段练习)若数列 满足 , ,则满足不等式 的最大正整数 为( ) A.28 B.29 C.30 D.31 【答案】B【解析】依题意,数列 满足 , , ,所以 , 也符合,所以 , 是单调递增数列, 由 ,解得 , 所以 的最大值为 .故选:B 【变式4-2】(2023·河南·模拟预测)已知数列 满足 , ,则 ( ) A.2023 B.2024 C.4045 D.4047 【答案】C 【解析】 , ,即 ,可得 , .故选:C. 【变式4-3】(2023·重庆·高三重庆八中校考阶段练习)已知正项数列 的前n项积为 ,且 , 则使得 的最小正整数n的值为( ) A.4 B.5 C.6 D.7 【答案】C 【解析】由题, ,又 , , ,两式相除可得 , 上式两边取对数,可得 ,即 , , ,化简得 ,解得 , 又 ,即 ,所以 的通项公式为 , , 要使 ,即 ,解得 , 且 ,所以满足题意的最小正整数 的值为6.故选:C.【变式4-4】(2023·河南·高三校联考开学考试)数列 的首项为2,等比数列 满足 且 ,则 的值为 . 【答案】2 【解析】设等比数列 的首项为 ,公比为 , 利用等比数列定义可知 所以可得 , , , 由累乘可得 , 整理可得 所以 , 又 ,所以可得 ;即 . 【题型5 构造法求通项】 满分技巧 1、形如 (其中 均为常数 且 )型 设 ,展开移项整理得 ,与题设 比较系数(待定系数 法)得 ,即 构成以 为首项,以 为公比的等比数列. 2、形如 型 (1)当 为一次函数类型(即等差数列)时: 设 ,通过待定系数法确定 的值,转化成以 为首项,以 为公比的等比数列 ; (2)当 为指数函数类型(即等比数列)时: 法一:设 ,通过待定系数法确定 的值,转化成以 为首项,以 为公比的等比数列 ,再利用等比数列的通项公式求出 的通项整理 可得法二:当 的公比为 时,由递推式得: —①, ,两边同时乘以 得 —②,由①②两式相减得 ,即 ,构造等比 数列。 法三:递推公式为 (其中p,q均为常数)或 (其中p,q,r均为常数) 时,要先在原递推公式两边同时除以 ,得: ,引入辅助数列 (其中 ), 得: 。 【例5】(2023·江苏淮安·盱眙中学校考模拟预测)在数列 中, ,且 ,则 的通项 为( ) A. B. C. D. 【答案】A 【解析】∵ ,∴ , 由 ,得 ,∴数列 是以2为首项,2为公比的等比数列, ∴ ,即 .故选:A 【变式5-1】(2023·宁夏石嘴山·高三平罗中学校考阶段练习)已知数列 中, ,则 等于( ) A. B. C. D. 【答案】C 【解析】 所以 所以数列 是一个以2为首项,以4为公比的等比数列, 所以 .故选:C 【变式5-2】(2023·全国·模拟预测)(多选)已知数列 的前 项和为 ,满足 ,则 下列判断正确的是( ) A. B. C. D. 【答案】BCD 【解析】由 ,可得: 所以数列 是首项为 ,公比为2的等比数列,则 ,故 . 所以 , , , . 则 ,所以选项A错误,选项B、D正确. 因为 所以 正确. 故选:BCD. 【变式5-3】(2023·山西太原·高三统考期中)(多选)已知数列 中, , , 则下列结论正确的是( ) A. B. 是递增数列 C. D. 【答案】BD 【解析】由 ,可得 ,则 , 又由 ,可得 ,所以数列 表示首项为 ,公比为 的等比数列, 所以 ,所以 , 由 ,所以A不正确; 由 ,即 ,所以 是递增数列,所以B正确; 由 ,所以C错误; 由 , ,所以 ,所以D正确.故选:BD. 【变式5-4】(2023·浙江·模拟预测)已知数列 的前 项和为 (1)试求数列 的通项公式; (2)求 . 【答案】(1) ;(2) 【解析】(1)由题意 ,两边同时除以 ,将其变形为 ,即 , 由等差数列的定义可知 是以首项为 、公差为 的等差数列, 所以 ,即 . (2)由(1)可知 ,显然当 时,有 , 当 时,有 ,所以 , 两式相减得 . 而当 时,也有 , 综上所述: , . 【题型6 倒数法求通项】 满分技巧 形如a =(p,q,r是常数),可变形为=·+ n+1 要点:①若p=r,则是等差数列,且公差为,可用公式求通项; ②若p≠r,则转化为a =sa+t型,再利用待定系数法构造新数列求解 n+1 n 【例6】(2022·重庆·高三西南大学附中校考阶段练习)已知数列 满足: , , 则 ( ) A. B. C. D. 【答案】C 【解析】由题意, ,即 ,故 , 又因为 ,所以数列 是以首项为2,公比为2的等比数列, 从而 ,解得 .故选:C. 【变式6-1】(2023·全国·高三课时练习)已知数列 满足 ,则数列 的前 2017项和 ( ) A. B. C. D. 【答案】C【解析】根据题意,有 ,于是 ,进而 , 于是 ,进而 .故选:C 【变式6-2】(2023·河南郑州·统考模拟预测)已知数列 各项均为正数, ,且有 ,则 ( ) A. B. C. D. 【答案】D 【解析】 , , 显然若 ,则 ,则 , ,与题意矛盾, 所以 , ,两边同时取倒数,得: , 设 , , , , 因为 ,故 ,故 ,所以 为等比数列, 所以 ,故 ,所以 , 故 ,故选:D. 【变式6-3】(2023·湖南长沙·高三湖南师大附中校考阶段练习)已知数列 的首项 ,且满足 .若 ,则n的最大值为 . 【答案】15 【解析】因为 ,所以 ,即 ,且 , 所以数列 是首项为 ,公差为 的等差数列. 可求得 ,所以 , 即 且 单调递增, . 则n的最大值为15. 【题型7 三项递推法求通项】 满分技巧 适用于形如 型的递推式 用待定系数法,化为特殊数列 的形式求解.方法为:设 ,比较系数得 ,可解得 ,于是 是公比为 的等比数列,这样就化归为 型. 【例7】(2023·四川成都·高三成都七中校考期中)已知数列 满足 ,则 ( ) A. B. C. D. 【答案】A 【解析】因为 , 所以 ,即 , 所以数列 以首项为 ,公比为4的等比数列, 所以 , , , , , 累加得: , 所以 , 所以 ,故选:A. 【变式7-1】(2023·全国·模拟预测)在数列 中, ,若 , 则 ( )A.18 B.24 C.30 D.36 【答案】A 【解析】由 且数列不存在为0的项,得 , 所以数列 是等差数列,且首项为 ,公差为 , 所以 ,所以 . 由 ,得 ,故选:A. 【变式7-2】(2023·广东茂名·高三校考阶段练习)已知 , , ( , ), 为其前 项和,则 ( ) A. B. C. D. 【答案】B 【解析】由 ( , )可得 , 已知 , ,所以 , 即 是一个以3为首项,2为公比的等比数列, 所以 ,即 , , , , , , ,故选B. 【变式7-3】(2023·全国·高三专题练习)数列 满足 ,且 ,求通项 . 【答案】 【解析】因为 ,所以 , 又 ,所以 , 由等比数列定义知,数列 是以 为首项,3为公比的等比数列, 所以 , 累加法可得: , 所以 ,又 符合该式,故 .【变式7-4】(2023·全国·高三对口高考)数列 满足: , ,且 ,则数列 的通项公式为 . 【答案】 【解析】由 , 化简得 , 由 , ,得 , 所以 是以 为首项,以 为公差的等差数列, 所以 ,所以 . 【题型8 不动点法求通项】 满分技巧 f(x)=x f(x) (1)定义:方程 的根称为函数 的不动点. f(x) a =f(a ) 利用函数 的不动点,可将某些递推关系 n+1 n 所确定的数列化为等比数列或较易求通项的数 列,这种求数列通项的方法称为不动点法. (2)在数列 中, 已知,且 时, ( 是常数), ** 错误的表达式 **当 时,数列 为等差数列; ** 错误的表达式 **当 时,数列 为常数数列; ** 错误的表达式 **当 时,数列 为等比数列; ** 错误的表达式 **当 时,称 是数列 的一阶特征方程, 其根 叫做特征方程的特征根,这时数列 的通项公式为: ; (3)形如 a 1 =m 1, a 2 =m 2, a n+2 =p⋅a n+1 +q⋅a n( p、q 是常数)的二阶递推数列都可用特征根法求 a x2 =px+q 得通项 n,其特征方程为 (*). β c c (1)若方程(*)有二异根α、 ,则可令 ( 1、 2是待定常数); β a =(c +nc )⋅αn c c (2)若方程(*)有二重根α= ,则可令 n 1 2 ( 1、 2是待定常数). c c a =m a =m (其中 1、 2可利用 1 1, 2 2求得)【例8】(2023·全国·高三专题练习)若 ( ,且 )求数列 的通项公式. 【答案】 【解析】根据迭代数列 ,构造函数 ,易知 有唯一的不动点 , 根据定理3可知 , , , , 则 ,即数列 是以首项 ,公差为 的等差数列. 则对应的通项公式为 ,解得 , 又 也满足上式. ∴ 的通项公式为 . 【变式8-1】(2023·全国·高三专题练习)已知数列 满足性质:对于 且 求 的通项公式. 【答案】 【解析】依定理作特征方程 变形得 其根为 故特征方程有两个相异的根,使用定理2的第(2)部分,则有 , ∴ ∴ ,即 . 【变式8-2】(2022·全国·高三专题练习)已知数列的递推公式 ,且首项 ,求数列 的通项公式. 【答案】【解析】令 .先求出数列的不动点 ,解得 . 将不动点 代入递推公式,得 , 整理得 , , ∴ . 令 ,则 , . ∴数列 是以 为首项,以1为公差的等差数列. ∴ 的通项公式为 . 将 代入,得 ,∴ . 【变式8-3】(2023·全国·高三专题练习)数列 满足下列关系: , , ,求数 列 的通项公式. 【答案】 【解析】令函数 ,解方程 求出不动点 , 于是 , ∴ 是以 为首项,公差为 的等差数列, ∴ ,∴ . 【变式8-4】(2023·全国·高三专题练习)已知数列 满足 , .求数列 的通项公式. 【答案】 【解析】依题 ,记 ,令 ,求出不动点 或3 所以 , ,∴ , 又 ,所以 ,……, , , ∴ . 又 ,令 ,则数列 是首项为 ,公比为 的等比数列. ∴ .由 ,得 . ∴ . (建议用时:60分钟) 1.(2023·四川内江·校考模拟预测)已知数列1, , , ,3, ,…, ,…,则7是这 个数列的( ) A.第21项 B.第23项 C.第25项 D.第27项 【答案】C 【解析】因为数列的第 项为 ,而 , 所以7是题中数列的第25项.故选:C 2.(2023·天津·高三天津市咸水沽第一中学校考期中)设 是数列 的前 项和,已知 且 ,则 ( ) A.9 B.27 C.81 D.101 【答案】B 【解析】 时, , 时, , 作差得 ,即 , 所以数列 从第二项起成等比数列, 所以 .故选:B. 3.(2023·陕西安康·安康中学校考模拟预测)在数列 中, , ,则 ( )A. B. C. D. 【答案】B 【解析】因为 ,故可得 , ,…, ,及 累加可得 , 则 ,所以 , 则 .故选:B. 4.(2023·陕西汉中·高三统考阶段练习)设数列 满足 ,且 ,则数列 的前9 项和为( ) A. B. C. D. 【答案】C 【解析】由题设, , 所以 , 故 .故选:C 5.(2023·天津北辰·高三统考期中)已知数列 的前 项和为 ,且 ,则 ( ) A. B. C.16 D.32 【答案】B 【解析】∵ ①, ∴ ②, ②减去①得: ,即 , 又∵ ,即 , ∴数列 是以 为首项,公比为 的等比数列, ∴ .故选:B. 6.(2023·甘肃张掖·高台县第一中学校考模拟预测)已知数列 的前n项和为 ,若 , , ( ) A. B. C. D. 【答案】D 【解析】由 ,得 ,所以 ,所以 , 因为 , 所以 是以3为首项,3为公比的等比数列, 所以 ,所以 , 所以 .故选:D 7.(2023·全国·高三专题练习)数列 满足 ( ),则 等于( ) A. B. C. D. 【答案】A 【解析】由 , ,得 , 当 时, , 两式相减得 ,则 , 显然 满足上式,因此 , 所以 .故选:A 8.(2022·高二单元测试)已知数列 满足 = , ,则数列 的通项公式是( ) A. B. C. D. 【答案】A 【解析】因为 ,所以 , 设 ,可得 , 所以 ,即 , 所以 , 所以数列 是首项为 ,公比为3的等比数列, 所以 ,所以 .故选:A. 9.(2023·安徽亳州·高二亳州二中校考期中)(多选)已知数列 满足 ,,数列 的前n项和为 ,则( ) A. B. C. D. 【答案】ABD 【解析】由 , 可得: , , , , , 则 即 ,则 , 又 时也成立,所以 故选项B判断正确; 由 ,可知选项A判断正确; 令 则2 两式相减得 , 故选项D判断正确; 由 ,可得选项C判断错误.故选:ABD 10.(2023·福建福州·高三校考阶段练习)(多选)已知数列 的前 项的和为 , , , ,则下列说法正确的是( ) A. B. 是等比数列 C. D. 【答案】AD 【解析】由题意可知 ,所以 ,故A正确; 因为 , 所以 不能是等比数列,故B错误; 因为 ( ),即 ( ), 所以 , 所以 ,即 , 又因为 ,所以 是以2为首项,4为公比的等比数列,所以 , 所以 , 即 ,故D正确.故选:AD. 11.(2023·全国·模拟预测)已知数列 满足 , , 则该数列 的通项公式为 . 【答案】 【解析】当 时, , 又 ,所以数列 是以3为首项, 为公比的等比数列, 所以 ,等式两边同时除以 ,得 , 又 ,所以数列 是以 为首项,3为公差的等差数列, 所以 ,得到 . 12.(2023·贵州黔东南·凯里一中校考模拟预测)已知数列 满足: , , 若 ,则数列 的前50项和为 . 【答案】 【解析】由 , , 可得数列 中从奇数项起的连续三项成等比数列,从偶数项起的连续三项成等差数列, 又 , ,可得数列 的前10项为1,2,4,6,9,12,16,20,25,30, 由此可得 进而可得 , 则数列 的前50项和为 . 13.(2023·广东佛山·高三佛山市第四中学校考开学考试)已知 , ,则数列 的通项公式是 . 【答案】 【解析】由题意知 ,整理得 ,可得 ,又由 ,则 , 所以数列 的通项公式为 ,显然n = 1也满足. 14.(2022·福建漳州·高三校考期中)已知 为数列 的前 项和,且满足 . (1)求数列 的通项公式; (2)记 ,求数列 的前 项和 . 【答案】(1) ( );(2) . 【解析】(1)∵ , ∴当 时, , 两式相减得 ,即 ( ), 当 时, ,符合上式, ∴ 的通项公式为 ( ). (2)∵ , ∴ , ∴ . 15.(2023·湖南衡阳·高二校考期末)已知数列 满足 ,且 , . (1)求数列 的通项公式; (2)求数列 的前 项和 . 【答案】(1) ;(2) 【解析】(1)因为 ,所以 , 又因为 ,所以数列 是以 为首项, 为公比的等比数列, 所以, ,① 又因为 ,所以,数列 为常数列, 故 ,②② ①可得 ,所以, , 所以,对任意的 , . (2)令 ,则 , 则 . 令 ①, 所以 ②, ① ②得 , 所以 ,所以 .