当前位置:首页>文档>精品解析:2025年安徽省六安市清水河学校九年级中考一模数学试题(原卷版)_2025年安徽省中考模拟试卷数学_2025年安徽数学一模卷62份

精品解析:2025年安徽省六安市清水河学校九年级中考一模数学试题(原卷版)_2025年安徽省中考模拟试卷数学_2025年安徽数学一模卷62份

  • 2026-05-13 05:04:55 2026-04-05 19:55:03

文档预览

精品解析:2025年安徽省六安市清水河学校九年级中考一模数学试题(原卷版)_2025年安徽省中考模拟试卷数学_2025年安徽数学一模卷62份
精品解析:2025年安徽省六安市清水河学校九年级中考一模数学试题(原卷版)_2025年安徽省中考模拟试卷数学_2025年安徽数学一模卷62份
精品解析:2025年安徽省六安市清水河学校九年级中考一模数学试题(原卷版)_2025年安徽省中考模拟试卷数学_2025年安徽数学一模卷62份
精品解析:2025年安徽省六安市清水河学校九年级中考一模数学试题(原卷版)_2025年安徽省中考模拟试卷数学_2025年安徽数学一模卷62份
精品解析:2025年安徽省六安市清水河学校九年级中考一模数学试题(原卷版)_2025年安徽省中考模拟试卷数学_2025年安徽数学一模卷62份
精品解析:2025年安徽省六安市清水河学校九年级中考一模数学试题(原卷版)_2025年安徽省中考模拟试卷数学_2025年安徽数学一模卷62份
精品解析:2025年安徽省六安市清水河学校九年级中考一模数学试题(原卷版)_2025年安徽省中考模拟试卷数学_2025年安徽数学一模卷62份
精品解析:2025年安徽省六安市清水河学校九年级中考一模数学试题(原卷版)_2025年安徽省中考模拟试卷数学_2025年安徽数学一模卷62份
精品解析:2025年安徽省六安市清水河学校九年级中考一模数学试题(原卷版)_2025年安徽省中考模拟试卷数学_2025年安徽数学一模卷62份
精品解析:2025年安徽省六安市清水河学校九年级中考一模数学试题(原卷版)_2025年安徽省中考模拟试卷数学_2025年安徽数学一模卷62份
精品解析:2025年安徽省六安市清水河学校九年级中考一模数学试题(原卷版)_2025年安徽省中考模拟试卷数学_2025年安徽数学一模卷62份
精品解析:2025年安徽省六安市清水河学校九年级中考一模数学试题(原卷版)_2025年安徽省中考模拟试卷数学_2025年安徽数学一模卷62份

文档信息

文档格式
docx
文档大小
3.918 MB
文档页数
8 页
上传时间
2026-04-05 19:55:03

文档内容

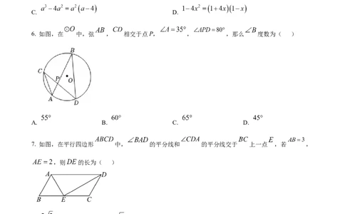
2024—2025 学年度第二学期九年级第一次质量检测 数学试题 注意事项: 1.你拿到的试卷满分150分,考试时间为120分钟. 2.本试卷包括“试题卷”和“答题卷”两部分.“试题卷”共4页,“答题卷”共6页. 3.请务必在“答题卷”上答题,在“试题卷”上答题是无效的. 4.考试结束后,请将“试题卷”和“答题卷”一并交回. 一、选择题(本大题共10小题,每小题4分,满分40分) 每小题都给出A、B、C、D四个选项,其中只有一个是正确的. 1. 的倒数是( ) A. B. C. D. 2. 人民日报评论,河南许昌商超胖东来坚持关注顾客需求、尊重员工价值,把事做到极致,春节假期仅营 业4天,市区各店客流量便达224万人次,真正赢得消费者信赖和市场认可.将数据224万用科学记数法 表示为( ) A. B. C. D. 3. 下面计算正确的是( ) A. B. C. D. 4. 中国四大白瓷系列之一的德州莹白瓷以瓷质细腻,釉面柔和,透亮晈洁,似象牙白又似羊脂玉而名闻遐 迩,被誉为瓷中珍品.下图是忂州莹白瓷的直口杯,它的主视图是( )A. B. C. D. 5. 下列因式分解正确的是( ) A. B. C. D. 6. 如图,在 中,弦 , 相交于点P, , ,那么 度数为( ) A. B. C. D. 7. 如图,在平行四边形 中, 的平分线和 的平分线交于 上一点 ,若 , ,则 的长为( ) A. B. C. 5 D. 6 8. 北京时间12月4日,我国申报的“春节——中国人庆祝传统新年的社会实践”通过评审,列入联合国 教科文组织人类非物质文化遗产代表作名录.现将四张大小相同的正方形卡片拼成如图所示的正方形靶盘 (其中两张卡片上是“春”字,另外两张上是“福”字).现向该靶盘随机掷两次飞镖,则两次射中的卡 片上的字不相同的概率为( )A. B. C. D. 9. 如图,直线 交反比例函数 ( ) 的图象于点 和点 ,交 轴于点 , ,过点 作 轴于点 ,连接 并延长,交 轴于点 ,连接 .若 的面积 为 ,则 的值为( ) A. B. C. D. 10. 如图,在四边形 中, ,连接 , , ,点 是边 上的 点,连接 , , ,那么下列结论中:① ;② ;③ ;④ ,正确的个数是( )A. 1 B. 2 C. 3 D. 4 二、填空题(本大题共4小题,每小题5分,满分20分 11. 若 在实数范围内有意义,则 的取值范围是____________. 12. 过 边形的一个顶点可以画出5条对角线,则 的值是______. 13. 如图①,在一张长方形纸 中, 点在 上,并且 ,分别以 , 为折痕进 行折叠并压平,如图②,若图②中 ,则 的度数为________. . 14 已知抛物线 ( ). (1)若抛物线经过点 ,则该抛物线的对称轴为_________; (2)若抛物线的对称轴为直线 ,点 , 在抛物线上,则 的最大值为_________. 三、(本大题共2小题,每小题8分,满分16分) 15. 计算: . 16. 小华从家里到学校的路是一段平路和一段下坡路,假设他始终保持平路每分钟走60m,下坡路每分钟 走80m,上坡路每分钟走40m,则他从家里到学校需10min,从学校到家里需15min.问:从小华家到学 校的平路和下坡路各有多远?四、(本大题共2小题,每小题8分,满分16分) 17. 在平面直角坐标系中, 的顶点坐标分别为 , , . (1)在图中作出 关于y轴对称的图形 ; (2)在y轴上找出一个点P,使得 的周长最小,在图中标出点P的位置,并直接写出点P的坐标. 18. 某数学兴趣小组为测量一座古塔的高度(假定该塔 与地面垂直),他们在与塔底B在同一水平线 上的C处测得塔顶A的仰角为 ,然后沿斜坡 前行 到达最佳测量点D处,在点D处测得塔顶A 的仰角为 ,已知斜坡 的斜面坡度 ,,且点A,B,C,D,E在同一平面内. (1)求点D到直线 的距离; (2)求古塔 的高度.五、(本大题共2小题,每小题10分,满分20分) 19. 为了减轻学生的作业负担,要求七年级学生每晚的作业总量不超过1.5小时,一个月后,(1)班学习 委员亮亮对本班每位同学晚上完成作业的时间进行了一次统计,并根据收集的数据绘制了下面两幅不完整 的统计图,请你根据图中提供的信息,解答下列问题: (1)该班共有学生_____人; (2)将图1的条形图补充完整; 的 (3)说明完成作业时间 中位数在哪个时间段内? 20. 如图, 是半圆 的直径, 是 上一点,点 是 的中点,连接 . (1)求证: ; (2)若 ,求 的长. 六、(本题满分12分) 21. 将一张等边三角形纸片剪成四个大小、形状一样的小等边三角形(如图所示),记为第一次操作,然 后将其中右下角的等边三角形又按同样的方法剪成四小片,记为第二次操作,若每次都把右下角的等边三 角形按此方法剪成四小片,如此循环进行下去.(1)如果剪n次共能得到______个等边三角形. (2)若原等边三角形的边长为1,设 表示第n次所剪出的小等边三角形的边长,如 . 的 ①试用含 式子表示 ______; ②计算 ______; (3)运用(2)的结论,计算 的值. 七、(本题满分12分) 22. 综合实践:投篮研究 活动背景:学校组织班级间篮球比赛,九年级(2)班小玫发现自己投篮命中率较低,特请本班数学兴趣 小组同学拍摄自己投篮图片(图1),并测量相应的数据进行研究. 模型建立:如图2所示,以点O为坐标原点,水平方向为x轴,竖直方向为y轴建立平面直角坐标系,篮 球运动轨迹可以看作是抛物线的一部分. 信息整理: 素材1:篮球(P)出手时离地面的高度为 米,篮筐中心离地面的高度 米,篮球出手位置与 篮筐中心的水平距离 米,篮球距地面的最大高度 米,此时离篮球出手位置的水平距离 米. 素材2:当篮球(P)恰好经过篮筐中心点A时,我们称此次进球为“空心球”;由于篮球的直径大约是篮 筐直径的一半,因此当篮球到达篮筐中心的水平位置时,篮球的高度(n米)满足 时,篮 球即可命中篮筐;篮球运动轨迹由投篮方向和出手速度决定,小玫在投篮过程中始终保持投篮方向和出手 速度不变. 解决问题:在初次投篮时,小玫在点O处起跳,数学兴趣小组同学测得相关数据为: 米, 米, 米, 米.(1)计算说明小玫初次投篮时能否命中篮筐; (2)该班数学兴趣小组同学对小玫的初次投篮数据进行研究后,让小玫同学在原来位置向前走了t米后再 次投篮,发现此次正好投进一个“空心球”,求t的值(保留根号). 八、(本题满分14分) 23. 如图1,在 中, , 分别为 , 的中点,连接 , ,且 . 是 (1)求证:四边形 菱形; (2)如图2,连接 交 于点 ,交 于点 ,且 ,连接 , . ①求证: ; ②若 ,求 的长.