当前位置:首页>文档>2024年高考生物一轮复习(新人教版)第9单元 第3课时 群落的结构_09高考生物_2024年新高考资料_1.2024一轮复习_2024年高考生物一轮复习讲义(新人教版)

2024年高考生物一轮复习(新人教版)第9单元 第3课时 群落的结构_09高考生物_2024年新高考资料_1.2024一轮复习_2024年高考生物一轮复习讲义(新人教版)

  • 2026-04-06 08:35:53 2026-04-06 08:17:44

文档预览

2024年高考生物一轮复习(新人教版)第9单元 第3课时 群落的结构_09高考生物_2024年新高考资料_1.2024一轮复习_2024年高考生物一轮复习讲义(新人教版)
2024年高考生物一轮复习(新人教版)第9单元 第3课时 群落的结构_09高考生物_2024年新高考资料_1.2024一轮复习_2024年高考生物一轮复习讲义(新人教版)
2024年高考生物一轮复习(新人教版)第9单元 第3课时 群落的结构_09高考生物_2024年新高考资料_1.2024一轮复习_2024年高考生物一轮复习讲义(新人教版)
2024年高考生物一轮复习(新人教版)第9单元 第3课时 群落的结构_09高考生物_2024年新高考资料_1.2024一轮复习_2024年高考生物一轮复习讲义(新人教版)
2024年高考生物一轮复习(新人教版)第9单元 第3课时 群落的结构_09高考生物_2024年新高考资料_1.2024一轮复习_2024年高考生物一轮复习讲义(新人教版)
2024年高考生物一轮复习(新人教版)第9单元 第3课时 群落的结构_09高考生物_2024年新高考资料_1.2024一轮复习_2024年高考生物一轮复习讲义(新人教版)
2024年高考生物一轮复习(新人教版)第9单元 第3课时 群落的结构_09高考生物_2024年新高考资料_1.2024一轮复习_2024年高考生物一轮复习讲义(新人教版)
2024年高考生物一轮复习(新人教版)第9单元 第3课时 群落的结构_09高考生物_2024年新高考资料_1.2024一轮复习_2024年高考生物一轮复习讲义(新人教版)
2024年高考生物一轮复习(新人教版)第9单元 第3课时 群落的结构_09高考生物_2024年新高考资料_1.2024一轮复习_2024年高考生物一轮复习讲义(新人教版)
2024年高考生物一轮复习(新人教版)第9单元 第3课时 群落的结构_09高考生物_2024年新高考资料_1.2024一轮复习_2024年高考生物一轮复习讲义(新人教版)
2024年高考生物一轮复习(新人教版)第9单元 第3课时 群落的结构_09高考生物_2024年新高考资料_1.2024一轮复习_2024年高考生物一轮复习讲义(新人教版)
2024年高考生物一轮复习(新人教版)第9单元 第3课时 群落的结构_09高考生物_2024年新高考资料_1.2024一轮复习_2024年高考生物一轮复习讲义(新人教版)
2024年高考生物一轮复习(新人教版)第9单元 第3课时 群落的结构_09高考生物_2024年新高考资料_1.2024一轮复习_2024年高考生物一轮复习讲义(新人教版)
2024年高考生物一轮复习(新人教版)第9单元 第3课时 群落的结构_09高考生物_2024年新高考资料_1.2024一轮复习_2024年高考生物一轮复习讲义(新人教版)
2024年高考生物一轮复习(新人教版)第9单元 第3课时 群落的结构_09高考生物_2024年新高考资料_1.2024一轮复习_2024年高考生物一轮复习讲义(新人教版)
2024年高考生物一轮复习(新人教版)第9单元 第3课时 群落的结构_09高考生物_2024年新高考资料_1.2024一轮复习_2024年高考生物一轮复习讲义(新人教版)
2024年高考生物一轮复习(新人教版)第9单元 第3课时 群落的结构_09高考生物_2024年新高考资料_1.2024一轮复习_2024年高考生物一轮复习讲义(新人教版)
2024年高考生物一轮复习(新人教版)第9单元 第3课时 群落的结构_09高考生物_2024年新高考资料_1.2024一轮复习_2024年高考生物一轮复习讲义(新人教版)
2024年高考生物一轮复习(新人教版)第9单元 第3课时 群落的结构_09高考生物_2024年新高考资料_1.2024一轮复习_2024年高考生物一轮复习讲义(新人教版)
2024年高考生物一轮复习(新人教版)第9单元 第3课时 群落的结构_09高考生物_2024年新高考资料_1.2024一轮复习_2024年高考生物一轮复习讲义(新人教版)
2024年高考生物一轮复习(新人教版)第9单元 第3课时 群落的结构_09高考生物_2024年新高考资料_1.2024一轮复习_2024年高考生物一轮复习讲义(新人教版)

文档信息

文档格式
docx
文档大小
1.540 MB
文档页数
17 页
上传时间
2026-04-06 08:17:44

文档内容

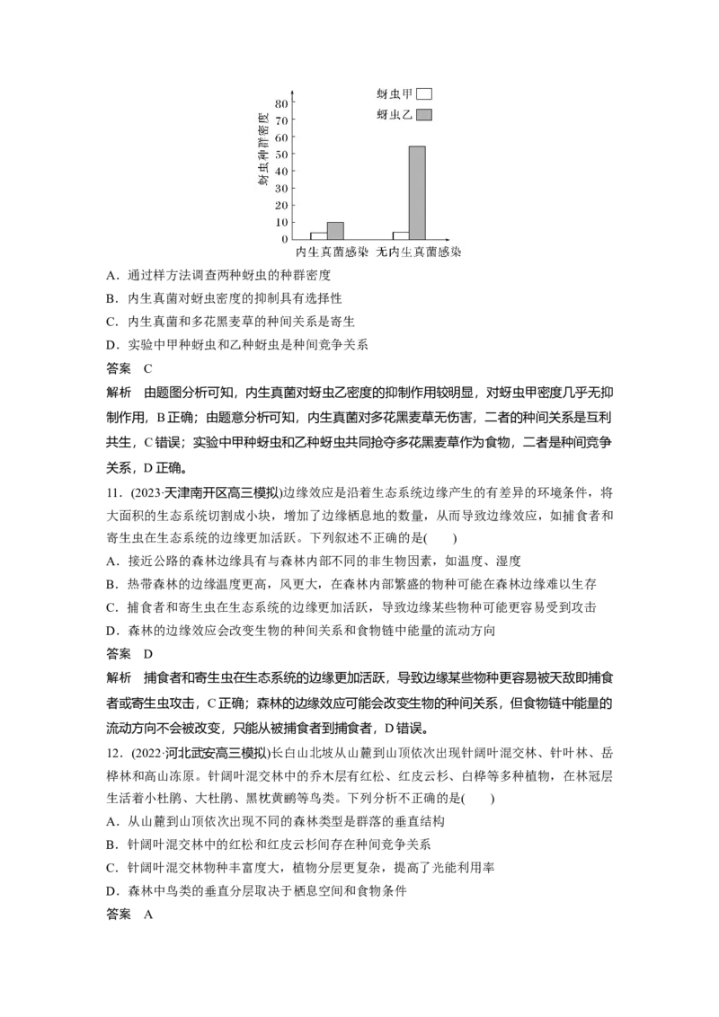
第 3 课时 群落的结构 课标要求 1.概述群落中的种间关系及群落的空间结构。2.简述生态位的概念、内容、形成 原因及其意义。 考点一 群落的结构 1.群落的概念与特征 (1)群落的概念 群落是指在相同时间聚集在一定地域中各种生物种群的集合。 (2)群落水平上研究的问题 提醒 ①种群与群落的关系:种群与群落都是强调一定自然区域中的生物成分,一定区域 内同种生物之和=种群,一定区域内各种生物种群之和=群落。 ②群落并非是各种生物的简单集合,而是通过相互之间的各种联系建立起来的有机整体。 2.群落的物种组成 (1)意义:群落的物种组成是区别不同群落的重要特征。 (2)衡量指标:物种丰富度,即一个群落中的物种数目。 (3)规律 ①不同群落丰富度不同,一般越靠近热带地区,单位面积内的物种越丰富。 ②不同物种在群落中的地位不同。数量多,且对群落中其他物种的影响很大的物种称为优势 种。 ③群落中的物种组成不是固定不变的,而是会随时间和环境的变化而变化。 3.群落的种间关系 各种种间关系的特点与实例(连线)4.群落的空间结构 (1)概念:在群落中,各个生物种群分别占据了不同的空间,使群落形成了一定的空间结构。 (2)类型 (3)群落结构的形成原因与意义 ①形成原因:在长期自然选择的基础上形成的对环境的适应。 ②意义:有利于群落整体对自然资源的充分利用。 5.群落的季节性 (1)原因:阳光、温度和水分等随季节而变化。 (2)结果:群落的外貌和结构也会随之发生有规律的变化。 6.生态位 (1)概念:一个物种在群落中的地位或作用,包括所处的空间位置、占用资源的情况以及与 其他物种的关系等。 (2)研究内容 ①动物:栖息地、食物、天敌以及与其他物种的关系等。 ②植物:在研究区域内的出现频率、种群密度、植株高度以及与其他物种的关系等。 (3)特点:群落中每种生物都占据着相对稳定的生态位。(4)原因:群落中物种之间以及生物与环境间协同进化的结果。 (5)意义:有利于不同生物充分利用环境资源。 1.区分不同群落的主要依据是什么?群落的物种组成是否就是物种丰富度?它们之间有什 么关系? 提示 物种组成是区分不同群落的主要依据。群落的物种组成主要强调群落中物种的种类, 具体是由哪些物种组成的,包括物种的性质和数量;物种丰富度主要强调物种的数量。 2.“蝉吮吸树的汁液,羊咀嚼树的枝叶”体现的种间关系有哪些?试说明原因。 提示 寄生和捕食。蝉吮吸的是树的汁液,体现的是寄生关系;羊咀嚼树的枝叶是以树为食, 体现的是捕食关系。 3.如图a、b、c分别代表的是在-200~3 800 m的海拔内,山坡a、森林b、海洋c三个不 同的自然区域内植物的分布状况。 (1)a处不同高度的山坡上分布着不同的植物类群,影响它们分布的主要生态因素是什么?这 是群落的垂直结构吗? 提示 温度。不是群落的垂直结构。 (2)b、c处的植物在垂直方向上都具有明显的分层现象,影响它们分布的主要生态因素是什 么?这是群落的垂直结构吗? 提示 b处森林中植物的垂直分层现象主要是受光照强度影响形成的,c处藻类植物的垂直 分层现象是受光质(波长)影响形成的。这是群落的垂直结构。 (3)有人说:“b处桦树高低错落有致,只存在垂直结构,而野草丛比较矮小,只存在水平结 构”。这种说法对吗?为什么? 提示 不对。垂直结构和水平结构都是指群落中不同种生物的分层或分布关系。同种生物如 桦树的高低不同属于种群层次,不能构成群落的垂直结构。而矮小的野草丛有垂直结构和水 平结构。1.下列有关种群和群落的叙述,正确的是( ) A.调查池塘中单细胞生物的种群密度可采用抽样检测法 B.重捕方法不当导致部分标记个体死亡,会使估算数值偏大 C.种群内常因争夺食物而形成竞争关系,对种群的生存不利 D.校园内蒲公英的随机分布,体现了群落的空间结构 答案 A 解析 池塘中单细胞生物数量较多,且体积较小,调查池塘中单细胞生物的种群密度可采用 抽样检测法,A正确;重捕方法不当导致部分标记个体死亡,但不会影响对重捕个体中带有 标记个体的计数,因此不会使估算数值偏大,B错误;种群内常因争夺食物而形成竞争关系, 在竞争中选择下来的优势个体容易生存并将其有利基因遗传给子代,因此对种群的生存有利, C错误;校园内蒲公英的随机分布,体现的是种群的空间分布,不属于群落的空间结构,D 错误。 2.(2023·天津宝坻高三模拟)生态学家发现,具有同种食物来源的两种捕食者之间,存在相 互捕食对方的现象,称之为集团内双向捕食(如图所示)。这种现象广泛存在于多种类型的群 落之中,并对群落中相关物种的种群动态和害虫的生物防治效果有着很大影响。下列说法正 确的是( ) A.图示中天敌1和天敌2的种间关系为捕食和种间竞争 B.集团内捕食情况不受外界环境的影响 C.农业生产中增加捕食者种类能有效抑制害虫数量 D.通过调查植食性昆虫的种群密度,可以预测其种群数量的变化趋势 答案 A 解析 图示中天敌1和天敌2有共同的食物来源(植食性昆虫)且二者之间相互捕食,其种间 关系为捕食和种间竞争,A正确;集团内捕食情况受外界环境的影响,B错误;农业生产中 增加捕食者种类不一定能有效抑制害虫数量,C错误;通过调查植食性昆虫的年龄结构,可 以预测其种群数量的变化趋势,D错误。 3.(2023·江苏泰州高三模拟)生态位是指一个物种在群落中的地位或作用。生态位宽度是指 被一个生物所利用的各种不同资源的总和。下列叙述错误的是( ) A.群落中的种群生态位差异越大,群落的结构一般越复杂 B.同一生态系统的同一营养级的不同种群的生态位完全相同 C.生态位相似但存在地理隔离的种群常会进化出相似的生理结构D.生态位宽度大的种群遇到外来物种入侵时,一般不易被淘汰 答案 B 解析 同一生态系统的处于同一营养级的不同生物之中,有的仅仅处于一个营养级,有的处 于多个营养级,那么处于营养级多的个体生态位会更大,因此同一营养级的生物生态位可能 不同,B错误。 考点二 研究土壤中小动物类群的丰富度 1.实验原理 (1)土壤条件:不仅为植物提供水分和矿质元素,也是一些小动物的良好栖息场所。 (2)取样方法:许多土壤动物身体微小且有较强的活动能力,常用取样器取样的方法进行采 集、调查。 (3)统计方法:记名计算法和目测估计法。 ①记名计算法:指在一定面积(体积)的样地中,直接数出各个种群的个体数目。一般用于个 体较大,种群数量有限的物种。 ②目测估计法:按预先确定的多度等级来估计单位面积(体积)中的种群数量。等级的划分和 表示方法有:非常多、多、较多、较少、少、很少,等等。 2.实验流程 提出问题:如土壤中有哪些小动物,它们的种群密度是多少? ↓ 制订计划:包括三个主要操作环节——取样、观察和分类、统计和分析 ↓ 实施计划 3.采集土壤小动物的方法 (1)简易采集法:用解剖针拨找小动物,同时用放大镜观察,发现小动物后进行采集。 (2)诱虫器采集:诱虫器中的电灯是发挥作用的主要装置,诱虫器利用土壤小动物具有 趋暗 、 趋湿、避高温、避光的习性,使土壤小动物远离光源、热源。 (3)吸虫器采集:吸虫器中纱布的作用是防止将土壤小动物吸走,将其收集在试管中。 1.以下为两种采集土壤中小动物的装置图,请回答问题:(1)甲装置的花盆壁和放在其中的土壤之间留一定空隙的目的是什么? 提示 留有一定空隙的目的是便于空气流通。 (2)乙装置采集的小动物的主要保存方法是什么? 提示 用乙装置采集的土壤小动物可放入体积分数为70%的酒精溶液中,既可以杀死动物, 也利于保存。 2.通过取样、采集、调查,你能得出什么样的结论? 提示 (1)组成不同群落的优势物种是不同的,不同群落的物种丰富度是不同的。 (2)一般来说,环境条件越优越,群落发育的时间越长,物种越多,群落结构也越复杂。 4.土壤是无数小动物的家园,常见的有蜘蛛、鼠妇、蜈蚣、马陆、蚯蚓,以及多种昆虫, 等等。若要对某未知土壤的小动物类群丰富度进行研究,采用较多的是( ) A.样方法,用目测估计法统计各种群的个体数 B.标记重捕法,用记名计算法统计各种群的个体数 C.取样器取样法,用记名计算法或目测估计法统计各个种群的个体数 D.样方法,用记名计算法或目测估计法统计各种群的个体数 答案 C 5.某生物兴趣小组对校园花坛土壤中小动物类群的丰富度进行了调查。下列有关叙述错误 的是( ) A.可用样方法调查土壤小动物类群丰富度 B.可采用目测估计法或记名计算法统计物种相对数量 C.可根据土壤小动物的避光性特点用诱虫器进行采集 D.吸虫器通常用于对体型较小的土壤动物进行采集 答案 A 解析 由于土壤小动物活动能力较强,不适用样方法调查丰富度,应用取样器取样法,A错 误。1.(2021·山东,10)某种螺可以捕食多种藻类,但捕食喜好不同。L、M两玻璃缸中均加入 相等数量的甲、乙、丙三种藻,L中不放螺,M中放入100只螺。一段时间后,将M中的 螺全部移入L中,并开始统计L、M中的藻类数量,结果如图所示。实验期间螺数量不变, 下列说法正确的是( ) A.螺捕食藻类的喜好为甲藻>乙藻>丙藻 B.三种藻的竞争能力为乙藻>甲藻>丙藻 C.图示L中使乙藻数量在峰值后下降的主要种间关系是种间竞争 D.甲、乙、丙藻和螺构成一个微型的生态系统 答案 A 解析 结合两图可知,在放入螺之前,甲藻数量多,乙藻数量其次,丙藻数量较少,放入螺 之后,甲藻的数量减少明显,乙藻其次,丙藻数量增加,说明螺捕食藻类的喜好为甲藻>乙 藻>丙藻,且三种藻的竞争能力为甲藻>乙藻>丙藻,A正确,B错误;图示L中使乙藻数量 在峰值后下降的主要原因是引入了螺的捕食使数量下降,C错误;生态系统是由该区域所有 生物和生物所处的非生物环境构成,甲、乙、丙藻只是该区域的部分生物,D错误。 2.(2021·河北,13)烟粉虱为害会造成番茄减产。研究者对番茄单作、番茄玫瑰邻作(番茄田 与玫瑰田间隔1 m)模式下番茄田中不同发育阶段的烟粉虱及其天敌进行了调查,结果见下 表。下列叙述错误的是( ) 番茄植株不同部位成虫数量(头/叶) 天敌昆虫多 种植模式 若虫(头/叶) 上部叶 中部叶 下部叶 样性指数 番茄单作 22.7 3.2 0.8 16.5 1.2 番茄玫瑰邻作 1.4 0.2 0.1 1.8 2.2 A.由单作转为邻作,烟粉虱种群的年龄结构改变 B.由单作转为邻作,烟粉虱种群中成虫的空间分布类型改变 C.由单作转为邻作,群落的水平结构改变 D.玫瑰吸引天敌防治害虫,体现了生态系统信息调节生物种间关系的功能 答案 B 解析 由单作转为邻作,烟粉虱的若虫与成虫的比值由16.5∶26.7变为1.8∶1.7,年龄结构 发生改变,A正确;由单作转为邻作,烟粉虱种群中成虫在番茄植株不同部位的分布比例并 无变化,仍然是上部叶最多,中部叶次之,下部叶最少,所以空间分布类型没有改变,B错 误;由单作转为邻作,增加了玫瑰,群落的水平结构发生改变,C正确;生态系统的信息传递可发生在同种生物的不同个体之间或发生在不同物种之间,玫瑰吸引天敌防治害虫,体现 了生态系统信息调节生物种间关系的功能,D正确。 3.(2020·山东,11)为研究甲、乙两种藻的竞争关系,在相同条件下对二者进行混合培养和 单独培养,结果如下图所示。下列说法错误的是( ) A.单独培养条件下,甲藻数量约为1.0×106个时种群增长最快 B.混合培养时,种间竞争是导致甲藻种群数量在10~12天增长缓慢的主要原因 C.单独培养时乙藻种群数量呈“S”形增长 D.混合培养对乙藻的影响较大 答案 B 解析 据图可知,单独培养时,甲藻的K值为2.0×106个,在K/2(即1.0×106个)时,甲藻 的种群数量增长最快,A正确;混合培养时,10~12天,甲藻种群数量增长缓慢,此时乙 藻的数量几乎为零,因此造成甲藻种群数量增长缓慢的主要原因是种内竞争,而不是与乙藻 的种间竞争,B错误;混合培养时,甲藻种群数量变化不大,而乙藻种群数量下降并逐渐被 淘汰,D正确。 4.(2022·全国乙,5)分层现象是群落研究的重要内容。下列关于森林群落分层现象的叙述, 正确的是( ) ①森林群落的分层现象提高了生物对环境资源的利用能力 ②森林植物从上到下可分为不同 层次,最上层为灌木层 ③垂直方向上森林中植物分层现象与对光的利用有关 ④森林群落 中动物的分层现象与食物有关 ⑤森林群落中植物的分层现象是自然选择的结果 ⑥群落中 植物垂直分层现象的形成是由动物种类决定的 A.①③④⑤ B.②④⑤⑥ C.①②③⑥ D.③④⑤⑥ 答案 A 解析 森林植物从上到下可分为不同层次,最上层为乔木层,其下依次是灌木层、草本层, ②错误;森林群落中动物的分层现象与食物和栖息地有关,④正确;群落中植物因受光照的 影响具有垂直分层现象,所以植物的垂直分层现象与植物对光的利用有关,⑥错误。 5.(2022·广东,20)荔枝是广东特色农产品,其产量和品质一直是果农关注的问题。荔枝园 A采用常规管理,果农使用化肥、杀虫剂和除草剂等进行管理,林下几乎没有植被,荔枝产 量高;荔枝园B与荔枝园A面积相近,但不进行人工管理,林下植被丰富,荔枝产量低。 研究者调查了这两个荔枝园中的节肢动物种类、个体数量及其中害虫、天敌的比例,结果见 下表。荔枝园 种类(种) 个体数量(头) 害虫比例(%) 天敌比例(%) A 523 103 278 36.67 14.10 B 568 104 118 40.86 20.40 回答下列问题: (1)除了样方法,研究者还利用一些昆虫有____性,采用了灯光诱捕法进行取样。 (2)与荔枝园A相比,荔枝园B的节肢动物物种丰富度______,可能的原因是林下丰富的植 被为节肢动物提供了__________________,有利于其生存。 (3)与荔枝园B相比,荔枝园A的害虫和天敌的数量____,根据其管理方式分析,主要原因 可能是_________________________________________________________________________ _______________________________________________________________________________ 。 (4)使用除草剂清除荔枝园A的杂草是为了避免杂草竞争土壤养分,但形成了单层群落结构, 使节肢动物物种多样性降低。试根据群落结构及种间关系原理,设计一个生态荔枝园简单种 植方案(要求:不用氮肥和除草剂、少用杀虫剂,具有复层群落结构),并简要说明设计依据: _______________________________________________________________________________ _______________________________________________________________________________ _______________________________________________________________________________ _______________________________________________________________________________ 。 答案 (1)趋光 (2)高 食物和栖息空间 (3)少 荔枝园A使用杀虫剂,降低了害虫数量, 同时因食物来源少,导致害虫天敌数量也少 (4)林下种植大豆等固氮作物,通过竞争关系 可减少杂草的数量,同时为果树提供氮肥;通过种植良性杂草或牧草,繁育天敌来治虫,可 减少杀虫剂的使用 解析 (3)由题表可知,荔枝园A的害虫和天敌的数量均低于荔枝园B,原因可能是荔枝园 A使用杀虫剂,降低了害虫的数量,同时因食物来源少,导致害虫天敌数量也少。(4)根据 群落结构和种间关系原理,在荔枝林下种植大豆等固氮作物,可以为果树提供氮肥,并通过 竞争关系减少杂草的数量,避免使用除草剂;同时通过种植良性杂草或牧草,繁育天敌来治 虫,可减少杀虫剂的使用。 1.判断关于群落的物种组成及丰富度的叙述 (1)不同群落的物种数目有差别( √ ) (2)物种丰富度相同群落就相同( × ) (3)群落中的物种组成是固定不变的( × ) 2.判断关于种间关系的叙述 (1)森林群落中可以出现互利共生、捕食和种间竞争等种间关系( √ )(2)种间竞争指两种或两种以上生物相互争夺资源、空间和配偶等( × ) (3)一般情况下,捕食者不会将被捕食者全部捕获( √ ) (4)种间竞争的激烈程度取决于空间、食物的重叠范围,重叠范围越大,竞争越激烈( √ ) 3.判断关于群落结构的叙述 (1)竹林中箭竹高低错落有致,其在垂直结构上有分层现象( × ) (2)动物在群落中的垂直分布与植物的分层现象密切相关( √ ) (3)光的穿透性影响水生群落垂直分层( √ ) (4)一棵树上不同高度的喜鹊巢,不能反映动物群落的垂直结构( √ ) 4.判断关于研究土壤中小动物类群的丰富度的叙述 (1)同一地块不同时间或不同深度土层的调查结果应一致( × ) (2)吸虫器主要用于采集体型较大的小动物( × ) (3)统计时,若无法知道小动物的名称,则应忽略不计( × ) (4)调查土壤小动物类群丰富度时,应将表层土上的落叶轻轻拨开,将取样器来回旋转按入 土中进行取样( √ ) 5.填空默写 (1)(选择性必修2 P )生物群落:在相同时间聚集在一定地域中各种生物种群的集合。 22 (2)(选择性必修2 P )物种丰富度:一个群落中的物种数目。 23 (3)(选择性必修2 P )原始合作:两种生物共同生活在一起时,双方都受益,但分开后,各自 24 也能独立生活。 (4)(选择性必修2 P )互利共生:两种生物长期共同生活在一起,相互依存,彼此有利。 24 (5)(选择性必修2 P )捕食:一种生物以另一种生物为食的现象。 24 (6)(选择性必修2 P )寄生: 一种生物从另一种生物 ( 宿主 ) 的体液、组织或已消化的物质中获 24 取营养并通常对宿主产生危害的现象。 (7)(选择性必修2 P )种间竞争:两种或更多种生物共同利用同样的有限资源和空间而产生的 24 相互排斥的现象。 (8)(选择性必修2 P )生态位:一个物种在群落中的地位或作用,包括所处的空间位置,占用 27 资源的情况,以及与其他物种的关系等。 (9)(选择性必修2 P )在垂直方向上,大多数群落都具有明显的分层现象,决定植物地上 25~26 分层的环境因素为光照、温度等,决定植物地下分层的环境因素为水分、无机盐等;动物的 分层现象则与栖息空间和食物条件有关。 (10)(选择性必修2 P )群落中每种生物都占据着相对稳定的生态位,这有利于不同生物充分 28 利用环境资源,是群落中物种之间及生物与环境间协同进化的结果。课时精练 一、选择题 1.(2023·北京大兴区高三模拟)下列关于种群和群落的叙述,错误的是( ) A.年龄结构、随机分布、种群密度均属于种群的数量特征 B.建立自然保护区来改善珍稀动物的栖息环境,能提高环境容纳量 C.群落的垂直结构和水平结构等特征,可随时间而改变 D.利用标记重捕法调查时,标记物不能太醒目,不能影响动物正常生命活动 答案 A 解析 种群的数量特征包括:种群密度、年龄结构(增长型、稳定型和衰退型)、性别比例、 出生率和死亡率、迁入率和迁出率,随机分布是种群的空间特征,A错误。 2.科学家研究了日照近海域、岚山港垃圾倾倒区和养殖区的大型底栖动物群落结构,其研 究结果如表。下列相关叙述错误的是( ) 调查海域 优势种 平均丰度/(ind·m-2) 平均生物量/ (g·m-2) 拟特须虫、寡鳃齿吻 日照近海 942 19.91 沙蚕、深沟毛虫 岚山港垃圾倾倒区 / 525 3.62 寡鳃齿吻沙蚕、不倒 日照养殖区 313 18.78 翁虫、脆壳理蛤 注:丰度为物种丰富度;生物量为所容纳的有机物的总干重。 A.表中数据说明人类活动降低了物种丰富度 B.日照近海的优势种之间的竞争可能会更大一些 C.在水平方向上,生物群落呈镶嵌分布 D.区别不同群落的重要特征是群落中各生物之间的关系 答案 D 解析 区别不同群落的重要特征是群落的物种组成,D错误。 3.如图表示甲、乙两种群先后迁入某生态系统后的种群数量变化曲线。下列说法错误的是( ) A.甲种群迁入的某生态系统可能存在甲种群的天敌 B.乙种群和甲种群的种间关系是捕食,其中甲种群是被捕食者C.乙种群迁入该生态系统后,使甲种群的环境容纳量变小 D.甲种群的出生率随着种群数量的增加而降低,在K值时降为0 答案 D 解析 甲种群迁入该生态系统后数量增长呈“S”形,可知可能存在甲种群的天敌,A正确; 根据甲、乙种群数量变化曲线呈现先增加者先减少的变化趋势,可知乙种群和甲种群的种间 关系是捕食,其中甲种群是被捕食者,B正确;乙种群迁入该生态系统后,作为甲的天敌, 使甲种群的环境容纳量变小,C正确;甲种群的种群数量在K值上下波动,故出生率不会降 为0,D错误。 4.(2023·江苏徐州高三期末)在一个基岩质海岸的潮间带栖息着藤壶、贻贝和石鳖等动物, 这些动物被海星所捕食。藤壶和贻贝固着于岩石表面,且都以浮游植物为食。科学家将海星 从实验区中移除一段时间后,调查发现实验区中被捕食物种的数量由 15种迅速下降到8种, 同时发现藤壶和贻贝种群数量明显增加。下列叙述正确的是( ) A.生活在这个区域的全部动物和浮游植物构成生物群落 B.海星移除后,由于种间竞争导致被捕食物种的数量下降 C.实验结果说明捕食者的存在不利于维持被捕食者各种群数量的相对稳定 D.五点取样法适合调查生活在该海岸的藤壶的种群密度 答案 B 解析 生物群落是在相同时间聚集在一定地域中各种生物种群的集合,包括动物、植物和微 生物,A错误;海星移除后,“实验区中被捕食物种的数量由15种迅速下降到8种,同时 发现藤壶和贻贝种群数量明显增加”,说明被捕食者之间竞争加剧,而藤壶和贻贝在竞争中 “获胜”,被捕食物种的数量下降,B正确;海岸地形狭长,适宜用等距取样法调查藤壶的 种群密度,D错误。 5.(2023·河南安阳高三模拟)研究者调查了管理方式相同的“茶树与马尾松间作茶园”和 “常规茶园”中的叶蝉及其天敌蜘蛛,结果如下表所示。下列叙述不正确的是( ) 游猎型蜘 结网型蜘 茶园类型 叶蝉总数(只) 蜘蛛总数(只) 蛛丰富度 蛛丰富度 间作 692 1 542 14 12 常规 1 410 995 14 8 A.游猎型蜘蛛和结网型蜘蛛属于种间竞争关系 B.马尾松遮阴有利于结网型蜘蛛的生存和繁殖 C.与常规茶园相比,间作茶园显著改变了群落的水平结构 D.天敌增加是间作茶园中叶蝉环境容纳量降低的主要原因 答案 C 解析 游猎型蜘蛛和结网型蜘蛛都捕食叶蝉,存在种间竞争关系,A正确;由表中数据可知,间作茶园中结网型蜘蛛丰富度比常规茶园中大,游猎型蜘蛛丰富度相同,则马尾松遮阴有利 于结网型蜘蛛的生存和繁殖,B正确;间作茶园与常规茶园在垂直方向上的群落分布差异较 大,C错误;间作茶园中蜘蛛总数较大,捕食更多叶蝉,降低了叶蝉的环境容纳量,D正确。 6.生态位是指物种在生物群落或生态系统中的地位和作用,表征了物种对各种资源(食物、 空间等)的利用以及不同物种之间的关系。生态位的重叠和分离状况与种间竞争、种内竞争 具有密切的关系(如图所示)。下列说法错误的是( ) A.种间竞争会促使不同物种的生态位分化 B.种内竞争的加剧会使不同物种的生态位重叠增加 C.各物种生态位的分化不利于群落稳定性与多样性的维持 D.如果两个物种的生态位是完全分开的,则会有未被利用的资源 答案 C 解析 种间竞争使不同物种对资源的利用出现差异,所以会促使不同物种的生态位分化,A 正确;种内竞争的加剧会使种群内的个体占据更多的资源,从而使不同物种的生态位重叠增 加,B正确;各物种生态位的分化有利于生物对资源的利用,有利于群落稳定性与多样性的 维持,C错误。 7.(2023·江苏扬州高三模拟)群落结构总体上是对环境条件的生态适应,在其形成过程中, 生物因素起着重要作用。生物群落各物种之间的关系主要有3类:①营养关系,一个物种以 另一个物种的活体、残体或产物为食;②成境关系,一个物种的生命活动使另一个物种的居 住条件发生改变;③助布关系,一个物种参与另一个物种的分布。下列说法错误的是( ) A.植物在群落的成境关系方面起主要作用 B.动物在群落的助布关系方面起主要作用 C.同一群落中同营养级生物在生态位上往往高度重叠 D.营养关系和成境关系把不同物种的生物聚集在一起,是生物群落存在的基础 答案 C 解析 生态位是指一个物种在群落中的地位或作用,包括所处的空间位置,占用资源的情况,以及与其他物种的关系等,同一群落中同营养级生物为了自身的生存和发展,往往不会使生 态位重叠,C错误。 8.群落的结构广义上包括群落的物种组成、物种多样性、种间关系、群落的空间结构和时 间结构。群落的时间结构是指群落结构在时间上的分化或配置。下列说法正确的是( ) A.春季乔木、灌木开始萌动;秋末植物干枯,草本层消失,这不属于群落结构的范畴 B.种间竞争、捕食等种间关系,以及人为干扰,在生物群落结构的形成中起着重要作用 C.当生物群落演替到顶级群落时,群落的空间结构和种间关系等仍然不会达到相对稳定 D.群落演替过程中,生物群落中物种的组成、群落的结构都不会发生显著改变 答案 B 解析 春季乔木、灌木开始萌动;秋末植物干枯,草本层消失,属于群落的时间结构,这属 于群落结构的范畴,A错误;当生物群落演替到顶级群落时,群落的物种组成、空间结构相 对稳定,C错误;群落演替的本质是优势种群的取代,在群落演替过程中,生物群落中物种 的组成、群落的结构会发生相应变化,D错误。 9.科学家通过研究种间捕食关系,构建了捕食者——猎物模型,如下图所示(图中箭头所指 方向代表曲线变化趋势)。请据图判断,下列说法错误的是( ) A.该模型属于数学模型 B.捕食者与猎物的相互关系是经过长期的协同进化逐步形成的 C.曲线变化趋势反映了生态系统中普遍存在的负反馈调节 D.利用模型不能解释猎物的种群数量能维持相对稳定的原因 答案 D 解析 该模型对种群的数量进行统计,描绘曲线反映种群数量的变化趋势,属于数学模型, A正确;捕食者与猎物的相互关系是两个物种之间经过长期的协同进化形成的,B正确;捕 食者和猎物之间的数量变化关系反映了负反馈调节过程,C正确;利用模型可以解释捕食者 和猎物两者数量维持相对稳定的原因,D错误。 10.内生真菌生长在植物叶和茎的细胞间,感染植物并无症状,从植物中获得营养和保护, 同时帮助植物提高抵御食草动物的能力。研究多花黑麦草感染内生真菌后对两种蚜虫种群密 度的影响,结果如图。下列分析不正确的是( )A.通过样方法调查两种蚜虫的种群密度 B.内生真菌对蚜虫密度的抑制具有选择性 C.内生真菌和多花黑麦草的种间关系是寄生 D.实验中甲种蚜虫和乙种蚜虫是种间竞争关系 答案 C 解析 由题图分析可知,内生真菌对蚜虫乙密度的抑制作用较明显,对蚜虫甲密度几乎无抑 制作用,B正确;由题意分析可知,内生真菌对多花黑麦草无伤害,二者的种间关系是互利 共生,C错误;实验中甲种蚜虫和乙种蚜虫共同抢夺多花黑麦草作为食物,二者是种间竞争 关系,D正确。 11.(2023·天津南开区高三模拟)边缘效应是沿着生态系统边缘产生的有差异的环境条件,将 大面积的生态系统切割成小块,增加了边缘栖息地的数量,从而导致边缘效应,如捕食者和 寄生虫在生态系统的边缘更加活跃。下列叙述不正确的是( ) A.接近公路的森林边缘具有与森林内部不同的非生物因素,如温度、湿度 B.热带森林的边缘温度更高,风更大,在森林内部繁盛的物种可能在森林边缘难以生存 C.捕食者和寄生虫在生态系统的边缘更加活跃,导致边缘某些物种可能更容易受到攻击 D.森林的边缘效应会改变生物的种间关系和食物链中能量的流动方向 答案 D 解析 捕食者和寄生虫在生态系统的边缘更加活跃,导致边缘某些物种更容易被天敌即捕食 者或寄生虫攻击,C正确;森林的边缘效应可能会改变生物的种间关系,但食物链中能量的 流动方向不会被改变,只能从被捕食者到捕食者,D错误。 12.(2022·河北武安高三模拟)长白山北坡从山麓到山顶依次出现针阔叶混交林、针叶林、岳 桦林和高山冻原。针阔叶混交林中的乔木层有红松、红皮云杉、白桦等多种植物,在林冠层 生活着小杜鹃、大杜鹃、黑枕黄鹂等鸟类。下列分析不正确的是( ) A.从山麓到山顶依次出现不同的森林类型是群落的垂直结构 B.针阔叶混交林中的红松和红皮云杉间存在种间竞争关系 C.针阔叶混交林物种丰富度大,植物分层更复杂,提高了光能利用率 D.森林中鸟类的垂直分层取决于栖息空间和食物条件 答案 A二、非选择题 13.(2023·广东佛山高三模拟)根据所学知识,回答下列问题: Ⅰ.在某栎林中,植物和动物的分布如下表;①②③④为种间关系示意图(纵轴表示个体数, 横轴表示时间),请回答下列问题: 项目 上层 中层 下层 植物 乔木 灌木 草本 动物 林鸽 长尾山雀 鹪鹩、昆虫 (1)上表体现了生物群落的________________________,植物出现这种分布的差异主要原因 是________________________________________________________________________。 植物的分布决定了动物的分布,其原因是___________________________________________ _______________________________________________________________________________ ,而且动物的这种分布有利于减轻物种之间的______________(用图中序号作答)。 (2)现有4组生物:A根瘤菌与豆科植物;B大小两种草履虫;C狐与兔;D麻风杆菌和宿主 细胞,A、D生物对应的曲线分别是______________。 (3)若4种种间关系中的b死亡,对a有利的是______________(用图中序号作答)。若狐死亡, 则兔的发展趋势是_______________________________________________________________。 Ⅱ.在某山区坡地生态环境受破坏后,当地采取了相关措施进行治理。陡坡在封山育林后的 若干年内,经历了一年生草本植物、多年生草本植物和灌木三个阶段,如图表示其典型物种 ①②③的种群密度变化。回答下列问题: (4)欲统计山脚下土壤中小动物类群的丰富度,通常可采用的方法有____________________, 对于活动能力较强、身体微小的土壤动物,常用______________法进行采集。 (5)b时期时,物种①②③呈垂直分布,该现象的主要意义是___________________________ _______________________________________________________________________________ 。 答案 (1)垂直结构 受光照强度的影响 植物为动物提供了食物和栖息空间 ② (2)③和 ④ (3)②④ 先增加(失去天敌),后减少(受食物制约而使种内竞争加剧),最后趋于稳定 (4)记名计算法和目测估计法 取样器取样 (5)有利于提高对阳光等自然资源的利用率解析 (1)根据表格分析,表格中的植物和动物都有明显的分层现象,属于群落的垂直结构; 影响植物分层的因素是光照强度,而植物又可以为动物提供食物和栖息空间,进而导致动物 也出现分层现象,这有利于减轻物种之间的竞争,即图中的②。(2)A中根瘤菌与豆科植物 之间的关系为互利共生,对应③;D中麻风杆菌和宿主细胞之间的关系为寄生,对应④。 (3)从曲线图可以看出,②④中b都不断增加,而a都下降甚至消失,因此两图中若b死亡, 对a都是有利的。兔是被捕食者,狐是捕食者,若狐死亡,则兔的数量会先因缺乏天敌而不 断增加,后又因食物的限制而减少,最后趋于稳定。 14.(2023·河北承德高三模拟)蚜虫是常见的农业害虫之一,其刺吸式口器可以从小麦、玉米 等农作物组织中吸取汁液造成作物产量下降。捕食性瓢虫可有效地防止蚜虫对农作物的危害, 然而,长期大量使用化学农药在防治蚜虫等害虫的同时,也造成捕食性瓢虫等天敌昆虫的数 量减少。我国科研人员将蛇床草等功能草种植在小麦、玉米等农田的田埂上,提升了捕食性 瓢虫等天敌对蚜虫等害虫的控制作用。请回答下列问题: (1)蚜虫与小麦的种间关系是____________,调查农田中蚜虫的种群密度常用的方法是 ________________。 (2)化学防治和生物防治都可以使害虫的生存环境恶化,从而降低其____________,达到降 低害虫种群密度的目的。害虫防治主要是控制害虫种群的大小,而不是彻底消灭害虫,目的 是保护________________________________________________________________________。 (3)以蛇床草为代表的多种功能草在农田中发挥了生态调控的作用,蛇床草开花可为瓢虫提 供大量的花粉食物和栖息生境,金盏菊的挥发气味能够诱集瓢虫并干扰蚜虫对农作物的识别。 据此分析,种植功能草控制害虫的原理是___________________________________________ _______________________________________________________________________________ _______________________________________________________________________________ 。 答案 (1)寄生 样方法 (2)环境容纳量(K值) 生物多样性 (3)功能草为天敌昆虫提供食 物、栖息地,有利于害虫天敌的数量增加;功能草干扰害虫取食农作物,不利于害虫的生存