当前位置:首页>文档>2024年高考生物一轮复习(新人教版)第8单元 第6课时 体液调节与神经调节的关系_09高考生物_2024年新高考资料_1.2024一轮复习_2024年高考生物一轮复习讲义(新人教版)

2024年高考生物一轮复习(新人教版)第8单元 第6课时 体液调节与神经调节的关系_09高考生物_2024年新高考资料_1.2024一轮复习_2024年高考生物一轮复习讲义(新人教版)

  • 2026-04-06 08:17:22 2026-04-06 08:14:48

文档预览

2024年高考生物一轮复习(新人教版)第8单元 第6课时 体液调节与神经调节的关系_09高考生物_2024年新高考资料_1.2024一轮复习_2024年高考生物一轮复习讲义(新人教版)
2024年高考生物一轮复习(新人教版)第8单元 第6课时 体液调节与神经调节的关系_09高考生物_2024年新高考资料_1.2024一轮复习_2024年高考生物一轮复习讲义(新人教版)
2024年高考生物一轮复习(新人教版)第8单元 第6课时 体液调节与神经调节的关系_09高考生物_2024年新高考资料_1.2024一轮复习_2024年高考生物一轮复习讲义(新人教版)
2024年高考生物一轮复习(新人教版)第8单元 第6课时 体液调节与神经调节的关系_09高考生物_2024年新高考资料_1.2024一轮复习_2024年高考生物一轮复习讲义(新人教版)
2024年高考生物一轮复习(新人教版)第8单元 第6课时 体液调节与神经调节的关系_09高考生物_2024年新高考资料_1.2024一轮复习_2024年高考生物一轮复习讲义(新人教版)
2024年高考生物一轮复习(新人教版)第8单元 第6课时 体液调节与神经调节的关系_09高考生物_2024年新高考资料_1.2024一轮复习_2024年高考生物一轮复习讲义(新人教版)
2024年高考生物一轮复习(新人教版)第8单元 第6课时 体液调节与神经调节的关系_09高考生物_2024年新高考资料_1.2024一轮复习_2024年高考生物一轮复习讲义(新人教版)
2024年高考生物一轮复习(新人教版)第8单元 第6课时 体液调节与神经调节的关系_09高考生物_2024年新高考资料_1.2024一轮复习_2024年高考生物一轮复习讲义(新人教版)
2024年高考生物一轮复习(新人教版)第8单元 第6课时 体液调节与神经调节的关系_09高考生物_2024年新高考资料_1.2024一轮复习_2024年高考生物一轮复习讲义(新人教版)
2024年高考生物一轮复习(新人教版)第8单元 第6课时 体液调节与神经调节的关系_09高考生物_2024年新高考资料_1.2024一轮复习_2024年高考生物一轮复习讲义(新人教版)
2024年高考生物一轮复习(新人教版)第8单元 第6课时 体液调节与神经调节的关系_09高考生物_2024年新高考资料_1.2024一轮复习_2024年高考生物一轮复习讲义(新人教版)
2024年高考生物一轮复习(新人教版)第8单元 第6课时 体液调节与神经调节的关系_09高考生物_2024年新高考资料_1.2024一轮复习_2024年高考生物一轮复习讲义(新人教版)
2024年高考生物一轮复习(新人教版)第8单元 第6课时 体液调节与神经调节的关系_09高考生物_2024年新高考资料_1.2024一轮复习_2024年高考生物一轮复习讲义(新人教版)
2024年高考生物一轮复习(新人教版)第8单元 第6课时 体液调节与神经调节的关系_09高考生物_2024年新高考资料_1.2024一轮复习_2024年高考生物一轮复习讲义(新人教版)
2024年高考生物一轮复习(新人教版)第8单元 第6课时 体液调节与神经调节的关系_09高考生物_2024年新高考资料_1.2024一轮复习_2024年高考生物一轮复习讲义(新人教版)
2024年高考生物一轮复习(新人教版)第8单元 第6课时 体液调节与神经调节的关系_09高考生物_2024年新高考资料_1.2024一轮复习_2024年高考生物一轮复习讲义(新人教版)
2024年高考生物一轮复习(新人教版)第8单元 第6课时 体液调节与神经调节的关系_09高考生物_2024年新高考资料_1.2024一轮复习_2024年高考生物一轮复习讲义(新人教版)
2024年高考生物一轮复习(新人教版)第8单元 第6课时 体液调节与神经调节的关系_09高考生物_2024年新高考资料_1.2024一轮复习_2024年高考生物一轮复习讲义(新人教版)
2024年高考生物一轮复习(新人教版)第8单元 第6课时 体液调节与神经调节的关系_09高考生物_2024年新高考资料_1.2024一轮复习_2024年高考生物一轮复习讲义(新人教版)
2024年高考生物一轮复习(新人教版)第8单元 第6课时 体液调节与神经调节的关系_09高考生物_2024年新高考资料_1.2024一轮复习_2024年高考生物一轮复习讲义(新人教版)
2024年高考生物一轮复习(新人教版)第8单元 第6课时 体液调节与神经调节的关系_09高考生物_2024年新高考资料_1.2024一轮复习_2024年高考生物一轮复习讲义(新人教版)
2024年高考生物一轮复习(新人教版)第8单元 第6课时 体液调节与神经调节的关系_09高考生物_2024年新高考资料_1.2024一轮复习_2024年高考生物一轮复习讲义(新人教版)
2024年高考生物一轮复习(新人教版)第8单元 第6课时 体液调节与神经调节的关系_09高考生物_2024年新高考资料_1.2024一轮复习_2024年高考生物一轮复习讲义(新人教版)

文档信息

文档格式
docx
文档大小
1.812 MB
文档页数
19 页
上传时间
2026-04-06 08:14:48

文档内容

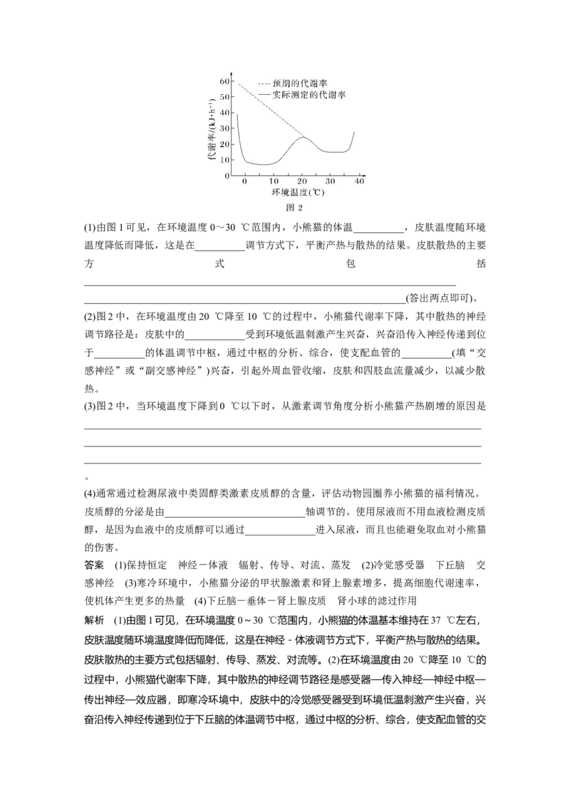
第 6 课时 体液调节与神经调节的关系 课标要求 1.举例说出神经调节与体液调节相互协调共同维持机体的稳态,如体温调节和 水盐平衡的调节等。2.举例说明其他体液成分参与稳态的调节,如二氧化碳对呼吸运动的调 节等。 考点一 体液调节与神经调节 1.体液调节概念 激素等化学物质,通过体液传送的方式对生命活动进行调节,称为体液调节。激素调节是体 液调节的主要内容。 注意 除激素外,其他一些化学物质,如组胺、某些气体分子(NO、CO等)以及一些代谢 产物(如CO),也能作为体液因子对细胞、组织和器官的功能起调节作用。 2 选择性必修1 P “相关信息”:临床上给患者输入O 时,往往采用含有5%左右的CO 的混 57 2 2 合气体,以达到刺激呼吸中枢的目的。 2.体液调节和神经调节的区别与联系 (1)区别 比较项目 体液调节 神经调节 作用途径 体液运输 反射弧 反应速度 较缓慢 迅速 作用范围 较广泛 准确、比较局限 作用时间 比较长 短暂 作用对象 靶细胞、靶器官 效应器 (2)联系 ①内分泌腺分泌的激素可以影响神经系统的发育和功能,两者常常同时调节生命活动。 ②不少内分泌腺直接或间接地受中枢神经系统的调节,在这种情况下,体液调节可以看作是 神经调节的一个环节。下丘脑是调节内脏活动的较高级枢纽,如图为其参与的部分调节模式图,请据图回答下列问 题: (1)人在寒冷环境中,通过途径②(填“①”“②”或“③”)使甲状腺激素分泌增加,促进了 机体的产热,使体温维持正常。调查发现,在寒冷的室外比温暖的室内“精神头”要大,从 神经调节和体液调节之间的关系的角度分析其原因。 提示 在寒冷环境中甲状腺激素分泌增加,而甲状腺激素具有提高神经系统兴奋性的作用。 (2)临床上,由于下丘脑或垂体等损伤引起途径③中激素E分泌不足,导致尿崩症(尿特别多 等症状),则激素E是抗利尿激素,从激素调节的特点分析,激素E分泌正常情况下的尿崩 症的原因。 提示 可能是肾小管和集合管抗利尿激素的受体损伤或减少(或靶器官、靶细胞上相应的受 体的损伤或减少)。 (3)据图分析,神经调节占主导地位的原因是什么? 提示 内分泌腺往往是反射弧的效应器的组成部分,受神经的控制。 1.下列有关神经调节和体液调节的叙述,错误的是( ) A.与神经调节相比,体液调节反应速度较慢,作用范围比较局限 B.内分泌腺分泌的某些激素会影响脑的发育和神经系统的兴奋性 C.寒冷刺激下,机体甲状腺激素分泌增多的过程属于神经—体液调节 D.神经调节和体液调节都有信息分子参与,且信息分子与相应受体结合 答案 A 解析 与神经调节相比,体液调节反应速度较慢,作用范围比较广泛,A错误。 2.(2023·江苏南通高三检测)肾上腺素既是肾上腺髓质分泌的激素,也是某些神经元分泌的 神经递质。这种神经递质可与相应的受体结合,引起内脏及皮肤血管收缩,心跳加速,汗腺 分泌,肝糖原分解。下列相关叙述错误的是( ) A.肾上腺髓质分泌肾上腺素受神经的直接支配 B.肾上腺素可引起突触后膜发生由“电信号→化学信号”的变化 C.肾上腺素能通过体液运输到达心脏,引起心跳加速 D.神经元分泌肾上腺素的过程与细胞呼吸有关 答案 B解析 肾上腺素可引起突触后膜发生“化学信号→电信号”的变化,B错误;肾上腺素也属 于激素,能随体液运输达到靶器官,与靶细胞膜上的特异性受体结合,C正确;神经元分泌 肾上腺素的过程为胞吐,需要细胞呼吸产生的能量,D正确。 考点二 体温的调节 1.热量的来源和散失途径 (1)来源:安静状态下,人体主要通过肝、脑等器官的活动提供热量;运动时,骨骼肌成为 主要的产热器官。 (2)散失:皮肤是人体最主要的散热器官,皮肤散热主要通过辐射、传导、对流以及蒸发的 方式进行。 2.体温相对恒定的原因:机体的产热和散热过程保持动态平衡。 3.体温调节主要过程 4.调节过程分析 (1)调节中枢:下丘脑。 (2)冷、热觉中枢在大脑皮层,人和高等动物皮肤中分布着感受温度变化的温度感受器,包 括冷觉感受器和热觉感受器。 (3)调节机制:由神经调节和体液调节共同实现。 5.体温调节失调:人体调节体温的能力是有限的。体温过低或过高都会影响物质代谢的正 常进行,使细胞、组织和器官发生功能紊乱,破坏内环境稳态,严重时会危及生命。体温调定点学说认为,人体存在体温调定点。假如,人的体温调定点是 37 ℃,当体温高于 或低于37 ℃时,机体能通过相关调节使体温恢复到37 ℃左右。人体的体温调定点并非一 成不变,如病菌、病毒感染等不利因素能引起人体产生致热原(EP),EP会引起体温调定点 改变进而导致发热。 某人受病毒感染引起发烧,如图是他的体温测量记录。 (1)AB段病人常表现为皮肤血管收缩、骨骼肌战栗等,并常伴有“害冷”的感觉,结合资料 分析其原因。 提示 病毒感染产生的致热原(EP)使人体体温调定点升高至40 ℃左右,低于调定点的体温 刺激冷觉感受器产生兴奋,一方面传至大脑皮层产生冷觉,另一方面传至下丘脑再经传出神 经引起皮肤血管收缩以减少散热,引起骨骼肌战栗以增加产热,使体温迅速升高。 (2)人体受到寒冷刺激时,会起鸡皮疙瘩(或打寒战)时反射类型是条件反射还是非条件反射? 请写出该反射的反射弧。 提示 非条件反射。皮肤冷觉感受器→传入神经→下丘脑体温调节中枢→传出神经→立毛肌 (骨骼肌)收缩。 3.某同学从温暖的教室里走到寒冷的室外,机体经过一系列调节达到相对稳定状态。在此 状态下,下列有关说法错误的是( ) A.皮肤血管收缩,在室外的散热速率大于室内 B.血液中促甲状腺激素增多,会促进甲状腺激素的分泌 C.细胞内ATP的分解速率大于合成速率 D.机体的热量主要来自骨骼肌和肝脏产热 答案 C 解析 寒冷时,血液中促甲状腺激素增多,会促进甲状腺激素的分泌,增强产热,B正确; 正常机体内细胞内ATP的分解速率等于合成速率,C错误;机体的产热量主要来自骨骼肌 和肝脏产热,体温的恒定是机体产热量与散热量相对稳定的结果,D正确。 4.(2023·北京房山区高三模拟)在夏季高温环境中,体液的大量丢失会导致严重的血液循环 障碍,为了维持脑和心脏最基础的氧气供应,机体会关闭皮肤血液循环,汗液分泌随之关闭, 体温失去体温调节中枢的控制,机体核心温度迅速升高,超过 40 ℃,进而导致器官系统损伤,这就是热射病。下列相关分析不正确的是( ) A.夏季高温时,及时补水是预防热射病的有效措施 B.导致热射病病人体温升高的主要原因是散热不畅 C.热射病病人的排汗量减少,抗利尿激素分泌量减少 D.热射病病人体温过高,细胞内酶活性改变,细胞代谢紊乱 答案 C 解析 热射病患者在夏季高温环境中,体液的大量丢失,细胞外液渗透压升高,抗利尿激素 分泌量增多,C错误;热射病患者体温可以超过40 ℃,人体内酶活性的最适温度为37 ℃ 左右,因此患者细胞内酶活性改变,细胞代谢紊乱,D正确。 归纳总结 关于体温调节的六点理解 (1)人体通过调节产热与散热的动态平衡来维持体温的恒定。外界环境温度低时,机体产热 多,散热也多;外界环境温度高时,机体产热少,散热也少。 (2)寒冷环境中比炎热环境中散热更快、更多;寒冷环境中机体代谢旺盛,产热也增加,以 维持体温的恒定。 (3)体温感受器的适宜刺激为“温度的变化”而不是“冷”“热”本身。 (4)在发高烧时,人体的产热不一定大于散热,除非病人的体温继续升高,如果体温保持不 变,则产热仍等于散热。 (5)温度感受器是感受温度变化的感觉神经末梢,它不只分布在皮肤,还广泛分布在黏膜及 内脏器官中。 (6)体温调节是由神经调节和体液调节共同实现的。 考点三 水和无机盐平衡的调节 1.水盐来源和排出途径 (1)水 (2)无机盐(以Na+为例) 2.Na+的浓度对于细胞外液渗透压的维持具有重要作用,机体对水和无机盐的调节,是基 于保持细胞外液 Na + 浓度 ,即保持细胞外液渗透压不变。因此,水平衡和盐平衡的调节过程 密切相关,通常称为渗透压调节,主要是通过肾完成的。 3.调节过程 (1)抗利尿激素的分泌及调节过程(2)醛固酮的分泌及调节过程 4.调节过程分析 (1)调节中枢:下丘脑。 (2)渴觉中枢在大脑皮层。 (3)调节机制:神经调节和激素调节的共同作用下,通过调节尿量和尿的成分实现的。 (4)在水盐平衡调节中,下丘脑既是感受器,又是调节中枢,还能作为效应器。 (1)源于选择性必修1 P “旁栏思考”:一般情况下,冬天人的尿较多,夏天人的尿较少的 60 原因:冬天相比于夏天,汗液分泌减少,同时由于环境温度低,机体因代谢生成的水增加, 会导致尿液量增加。 (2)源于选择性必修1 P “正文小字”:K+不仅在维持细胞内液的渗透压上起决定性作用, 62 而且还具有维持心肌舒张、保持心肌正常兴奋等重要作用。 (3)源于选择性必修1 P “复习与提高·选择题4”:醛固酮具有吸钠排钾的作用。 64 如图表示体温调节和水盐调节的过程,据图分析回答下列问题:(1)图中字母表示的分别是什么激素? 提示 a是促甲状腺激素释放激素,b是促甲状腺激素,c是甲状腺激素,d是抗利尿激素。 (2)在寒冷环境中,皮肤会发生怎样的变化? 提示 汗腺分泌减少、毛细血管收缩、立毛肌收缩等。 (3)以小鼠为实验材料,验证下丘脑是水盐调节的中枢并写出实验思路。 提示 将小鼠分为实验组与对照组两组,实验组手术处理,破坏下丘脑,对照组只做手术处 理但保留下丘脑,两组供给相同的水量,测定各自的尿量。 5.下图为人体水平衡调节机理,据图分析,下列说法错误的是( ) A.图示中的b、c分别为肾小管和集合管、渴觉中枢 B.图示a是由垂体分泌,并通过体液运送才能发挥作用 C.当血浆渗透压升高时,能感受其变化的感受器在下丘脑 D.由图可知通过调节水的来源和去路可以维持水的平衡 答案 B 解析 图中a、b、c依次是抗利尿激素、肾小管和集合管、大脑皮层(渴觉中枢),A正确;a 抗利尿激素由下丘脑分泌,由垂体释放,B错误;渗透压感受器在下丘脑,C正确;水的来 源和去路的相对平衡,可以维持水的平衡,D正确。 6.(2023·江苏新高考基地学校高三模拟)尿崩症分两种:因抗利尿激素(ADH)的缺乏引起的 中枢性尿崩症(CDI)和因肾脏对ADH敏感性缺陷引起的肾性尿崩症(NDI),临床上可通过禁 水加压(禁止饮水10 h后补充ADH)实验进行确诊。下列有关说法不正确的是( ) A.NDI患者体内ADH的含量与正常人相比要多 B.NDI患者的尿液渗透压明显低于血浆渗透压 C.禁水加压实验后,CDI患者的尿液渗透压将升高 D.禁水加压实验后,NDI患者的尿液渗透压将降低 答案 D解析 禁水加压实验后,CDI患者缺乏的ADH得以补充能促进肾小管和集合管对水的重吸 收,使尿液渗透压升高,C正确;禁水加压实验后补充ADH,由于NDI患者的ADH的作用 弱,水分流失不变,因此尿液渗透压不变,D错误。 归纳总结 下丘脑功能总结 (1)感受:可以感受细胞外液渗透压变化和血糖浓度变化。 (2)传导:在水盐平衡调节中,下丘脑可将渗透压感受器产生的兴奋传导至大脑皮层。 (3)效应器的分泌功能:分泌促激素释放激素,作用于垂体,使之分泌相应的促激素,如在 外界环境温度低时分泌促甲状腺激素释放激素;也能分泌调节水盐的抗利尿激素。 (4)调节中枢:体温调节中枢、血糖调节中枢和渗透压调节中枢。 1.(2022·河北,17改编)交感神经兴奋引起血管收缩,肌细胞的代谢产物具有舒血管效应。 运动时交感神经兴奋性增强,肌细胞的代谢产物增多,这种调控机制可使肌肉运动状态时的 血流量增加到静息状态时的15~20倍。下列叙述正确的是( ) A.肌细胞的代谢产物进入内环境,参与体液调节 B.肌肉处于运动状态时,体液调节对肌肉血流量的影响大于神经调节 C.肌细胞的代谢产物经组织液大部分进入血液,血流量增多不利于维持肌细胞直接生活环 境的稳定 D.运动时肌细胞的代谢产物使组织液渗透压升高,机体抗利尿激素释放减少 答案 A 解析 由题干信息“肌细胞的代谢产物具有舒血管效应”可知,肌细胞的代谢产物进入内环 境,参与体液调节,A正确;肌肉处于运动状态时,神经调节对肌肉血流量的影响大于体液 调节,B错误;运动时肌细胞的代谢产物使组织液渗透压升高,引起细胞外液渗透压升高, 机体抗利尿激素释放增加,促进肾小管和集合管重吸收水分,使细胞外液渗透压降低,D错 误。 2.(2022·辽宁,21)小熊猫是我国二级重点保护野生动物,其主要分布区年气温一般在 0~ 25 ℃之间。测定小熊猫在不同环境温度下静止时的体温、皮肤温度(图1),以及代谢率(即 产热速率,图2)。回答下列问题:(1)由图1可见,在环境温度0~30 ℃范围内,小熊猫的体温__________,皮肤温度随环境 温度降低而降低,这是在__________调节方式下,平衡产热与散热的结果。皮肤散热的主要 方 式 包 括 __________________________________________________________________________ ________________________________________________________________(答出两点即可)。 (2)图2中,在环境温度由20 ℃降至10 ℃的过程中,小熊猫代谢率下降,其中散热的神经 调节路径是:皮肤中的____________受到环境低温刺激产生兴奋,兴奋沿传入神经传递到位 于__________的体温调节中枢,通过中枢的分析、综合,使支配血管的__________(填“交 感神经”或“副交感神经”)兴奋,引起外周血管收缩,皮肤和四肢血流量减少,以减少散 热。 (3)图2中,当环境温度下降到0 ℃以下时,从激素调节角度分析小熊猫产热剧增的原因是 _______________________________________________________________________________ _______________________________________________________________________________ _______________________________________________________________________________ 。 (4)通常通过检测尿液中类固醇类激素皮质醇的含量,评估动物园圈养小熊猫的福利情况。 皮质醇的分泌是由____________________________轴调节的。使用尿液而不用血液检测皮质 醇,是因为血液中的皮质醇可以通过______________进入尿液,而且也能避免取血对小熊猫 的伤害。 答案 (1)保持恒定 神经-体液 辐射、传导、对流、蒸发 (2)冷觉感受器 下丘脑 交 感神经 (3)寒冷环境中,小熊猫分泌的甲状腺激素和肾上腺素增多,提高细胞代谢速率, 使机体产生更多的热量 (4)下丘脑-垂体-肾上腺皮质 肾小球的滤过作用 解析 (1)由图1可见,在环境温度0~30 ℃范围内,小熊猫的体温基本维持在37 ℃左右, 皮肤温度随环境温度降低而降低,这是在神经-体液调节方式下,平衡产热与散热的结果。 皮肤散热的主要方式包括辐射、传导、蒸发、对流等。(2)在环境温度由20 ℃降至10 ℃的 过程中,小熊猫代谢率下降,其中散热的神经调节路径是感受器—传入神经—神经中枢— 传出神经—效应器,即寒冷环境中,皮肤中的冷觉感受器受到环境低温刺激产生兴奋,兴 奋沿传入神经传递到位于下丘脑的体温调节中枢,通过中枢的分析、综合,使支配血管的交感神经兴奋,引起外周血管收缩,皮肤和四肢血流量减少,以减少散热。(3)分析题意可知, 若从激素调节角度分析,当环境温度下降到0 ℃以下时,小熊猫产热剧增的原因,应考虑 甲状腺激素和肾上腺素的作用,即寒冷环境中,小熊猫分泌的甲状腺激素和肾上腺素增多, 提高细胞代谢速率,使机体产生更多的热量。(4)皮质醇是由肾上腺皮质分泌的,受下丘脑 和垂体的分级调节,即是由下丘脑-垂体-肾上腺皮质轴调节的。因为血液中的皮质醇可以 通过肾小球的滤过作用进入尿液,故使用尿液而不用血液检测皮质醇,而且也能避免取血对 小熊猫的伤害。 3.(2020·江苏,26)如图是人体稳态调节机制的示意图,①~④表示相关的激素。请据图回 答下列问题: (1)某同学长跑时心跳加速,血压升高,压力感受器激活心血管中枢,传出神经释放神经递 质,神经递质作用于心脏及血管细胞膜上的____________,从而降低血压,该调节方式属于 ____________调节。 (2)该同学因运动大量出汗,血浆渗透压升高,激活位于__________的神经元A,促使其合 成和分泌________________(填①的名称),进而促进肾脏对水的重吸收,该调节方式属于 ____________调节。 (3)该同学因运动体温升高,体温调节中枢通过调节皮肤血管和汗腺,增加散热;运动后, 神 经 元 B 合 成 和 分 泌 ② 减 少 , 导 致 ③ ④ 合 成 和 分 泌 _____________________________________,减少产热,维持体温相对稳定。激素②的名称 是________________,其生理作用是___________ _______________________________________________________________________________ 。 答案 (1)(特异性)受体 神经(或负反馈) (2)下丘脑 抗利尿激素 神经—体液(或负反馈) (3)下降 促甲状腺激素释放激素 促进(腺)垂体合成与分泌促甲状腺激素 解析 (1)长跑时,心跳加速、血压升高作为信号刺激压力感受器,压力感受器接受刺激后激活心血管中枢,传出神经释放神经递质,神经递质通过作用于心脏及血管细胞膜上的(特 异性)受体,从而使血压降低,此过程是通过反射弧完成的,所以该调节方式为神经调节。 (2)运动时大量出汗,体内缺水,血浆渗透压升高,该刺激会激活下丘脑的神经分泌细胞合 成并分泌抗利尿激素,抗利尿激素由垂体释放进入血液,抗利尿激素的增加促进肾小管和集 合管对水的重吸收,导致排尿量减少。血浆渗透压升高刺激下丘脑,使神经分泌细胞合成并 分泌抗利尿激素的过程为神经调节,抗利尿激素促进肾脏对水的重吸收过程为体液调节,故 整个过程的调节方式为神经—体液调节。(3)据图分析可知,④由甲状腺分泌,则④为甲状 腺激素,进而可知激素②为促甲状腺激素释放激素,③为促甲状腺激素。促甲状腺激素释放 激素具有促进腺垂体合成并分泌促甲状腺激素的作用,促甲状腺激素又能促进甲状腺激素的 合成与分泌,甲状腺激素能够提高代谢水平,促进产热,所以运动后,体温升高时,三者的 分泌量均应减少,以维持体温的相对稳定。 4.(2018·江苏,30)正常人体感染病毒会引起发热,发热过程分为体温上升期、高温持续期 和体温下降期。下图为体温上升期机体体温调节过程示意图,其中体温调定点是为调节体温 于恒定状态,下丘脑体温调节中枢预设的一个温度值,正常生理状态下为 37 ℃。请回答下 列问题: (1)图中激素甲的名称是_______________________,激素乙通过________________________ 的途径作用于甲状腺。 (2)体温上升期,人体骨骼肌不随意的节律性收缩,即出现“寒战”,有助于体温 ________________________________________________________________________。综合图 解分析,体温上升期人体进行体温调节的方式有____________________________。 (3)高温持续期,人体产热量________(填“大于”“小于”或“等于”)散热量。此阶段人体 有时会出现脱水现象,垂体释放抗利尿激素增加,肾小管和集合管______________________, 从而减少尿量。 (4)体温下降期,机体增加散热的途径有________________________________。 (5)体温上升期,人体会出现心率加快、血压轻度升高等症状,易引发慢性心血管疾病急性 发作。请解释血压升高的可能原因:__________________________________。 答案 (1)促甲状腺激素释放激素 体液运输 (2)上升到已上调的体温调定点(上升到38.5℃) 神经调节、体液调节 (3)等于 重吸收水的能力增强(重吸收水量增加) (4)汗腺分泌 量增加,皮肤血管舒张 (5)心脏血液输出量增加,外周血管收缩 解析 (1)下丘脑—垂体—甲状腺之间存在着分级调节机制。由图中的下丘脑、垂体和甲状 腺之间的关系可以推出激素甲是促甲状腺激素释放激素,激素乙是促甲状腺激素。激素乙通 过体液运输作用于甲状腺。(2)体温上升期产热量大于散热量,“寒战”有助于增加产热, 可使体温上升到已上调的体温调定点。由图可知,下丘脑中的体温调节中枢,通过传出神经 支配骨骼肌收缩和皮肤血管收缩,这种调节方式属于神经调节;而“下丘脑→垂体→甲状腺 →甲状腺激素→细胞代谢增强”这种调节方式属于体液调节。(3)因体温调定点已上调,故 高温持续期体温可一直维持在38.5 ℃,这时机体产热量等于散热量。此阶段垂体释放的抗 利尿激素增加,肾小管和集合管对水的重吸收能力增强,从而使尿量减少。(4)体温下降期, 机体产热量小于散热量,皮肤分泌汗液增加,皮肤血管舒张,血流量增加,从而增加散热量。 (5)体温上升期,心率加快,使心脏血液输出量增加,但同时外周血管收缩以减少散热,从 而导致血压轻度升高。 1.判断关于体液调节与神经调节的叙述 (1)体液调节和神经调节是所有生物调节生命活动的重要方式( × ) (2)与神经调节相比,体液调节通常作用缓慢、持续时间长( √ ) (3)体液调节作用范围比较广泛,因为激素可作用于各种组织细胞( × ) 2.判断关于体温的调节的叙述 (1)下丘脑是体温调节中枢,能产生冷觉( × ) (2)人从炎热环境进入寒冷环境中,散热量会减少( × ) (3)炎热环境中,机体可通过减少产热甚至不产热来降低机体的体温( × ) (4)人通过生理性调节和行为性调节来维持体温的相对恒定,其中生理性调节是基本调节方 式 ( √ ) (5)寒冷刺激使血液中肾上腺素含量升高促进产热,属于体液调节( × ) 3.判断关于水和无机盐平衡的调节的叙述 (1)体内血浆渗透压降低,抗利尿激素释放减少( √ ) (2)下丘脑分泌的抗利尿激素能够升高细胞外液的渗透压( × ) (3)如果排出的尿量过少,代谢废物不能及时随尿液排出体外,就会引起中毒而损害健康 ( √ ) (4)剧烈运动过程中,汗液的大量分泌是为了保持体温和渗透压的相对稳定( × ) (5)肾小管通过主动运输吸收水的过程受抗利尿激素的调节( × ) 4.填空默写(1)(选择性必修1 P )体液调节:激素等化学物质,通过体液传送的方式对生命活动进行调节。 57 (2)(选择性必修1 P )激素调节是体液调节的主要内容。 57 (3)(选择性必修1 P )神经—体液调节:通过神经影响激素的分泌,再由激素对机体功能实施 58 调节的方式。 (4)(选择性必修1 P )神经调节和体液调节的关系:一方面,不少内分泌腺直接或间接地受中 62 枢神经系统的调节,体液调节可以看作是神经调节的一个环节;另一方面,激素又能影响神 经系统的发育和功能。 课时精练 一、选择题 1.(2023·牡丹江高三模拟)人体肾交感神经兴奋时,神经末梢释放的去甲肾上腺素作用于肾 上腺髓质,引起肾上腺髓质分泌α 肾上腺素,α 肾上腺素与相应受体结合后会增加肾小管 1 1 和集合管对Na+、Cl-和水的重吸收。下列有关叙述正确的是( ) A.题中的去甲肾上腺素和α 肾上腺素属于神经递质 1 B.服用α 肾上腺素拮抗剂类药物会引起人体血浆中Na+减少 1 C.人体尿量的调节过程属于体液调节 D.抗利尿激素和α 肾上腺素作用的靶器官和生理功能相同 1 答案 B 解析 神经递质由突触前膜释放,作用于突触后膜,α 肾上腺素是肾上腺髓质分泌的,不属 1 于神经递质,A错误;抗利尿激素可促进肾小管和集合管对水的重吸收,α 肾上腺素与相应 1 受体结合后会增加肾小管和集合管对Na+、Cl-和水的重吸收,二者的生理功能不同,D错 误。 2.(2023·江苏连云港高三月考)某运动员在参加滑雪比赛过程中,下列选项中关于他身体变 化描述,正确的是( ) A.比赛在寒冷的冰雪环境下进行,他身体的产热量大于散热量以维持体温恒定 B.比赛时,肝糖原和肌糖原都能分解成葡萄糖以维持血糖平衡 C.比赛时,外界环境的变化和体内细胞代谢活动的进行,会使他的内环境稳态失调 D.比赛项目刚结束,运动员的心脏跳动速度仍较快,这与体液调节的作用特点有关 答案 D 解析 正常身体的产热量等于散热量,以维持体温恒定,A错误;肌糖原不能分解成葡萄糖 以维持血糖平衡,B错误;人体有维持稳态的调节能力,比赛时外界环境的变化和体内细胞 代谢活动的进行,会使内环境的各种化学成分和理化性质不断发生变化,但不会出现稳态失 调,C错误。 3.(2023·安徽六安高三模拟)生物体内调节生物节律的机制称为生物钟。褪黑素俗称脑白金,其分泌有昼夜节律,晚上分泌得多,白天分泌得少,具有调整睡眠的作用。如图所示为光周 期信号通过“视网膜→松果体”途径对生物钟的调控,下列说法错误的是( ) A.动物体调节睡眠生物钟的中枢是下丘脑视交叉上核 B.长期熬夜会因褪黑素的分泌减少而扰乱自身生物钟 C.机体褪黑素分泌调节的过程体现了分级调节的特点 D.褪黑素和甲状腺激素对下丘脑的调节机制相类似 答案 C 解析 分级调节是一种分层控制的方式,常见的调控为下丘脑→垂体→内分泌腺,图中过程 未体现分级调节,C错误;由图可知,褪黑素含量增多时,其抑制下丘脑向松果体传递兴奋, 即存在负反馈调节,这与甲状腺激素对下丘脑的调节机制类似,D正确。 4.如图为人体内体温与水盐平衡调节的示意图,下列叙述正确的是( ) ①当受到寒冷刺激时,a、b、c、d四种激素的分泌量均会增加 ②c、d激素分泌增多,可 使骨骼肌与内脏代谢活动增强,产热量增加 ③下丘脑是感觉体温变化的主要中枢,是形成 冷觉、热觉的部位 ④下丘脑内具有渗透压感受器,同时能合成e激素 ⑤寒冷能刺激下丘 脑,使其分泌的促甲状腺激素释放激素增多,进而直接促进甲状腺的活动来调节体温 A.①②③ B.③④⑤ C.①④⑤ D.①②④ 答案 D 解析 由题图可知,a为促甲状腺激素释放激素,b为促甲状腺激素,c为甲状腺激素,d为 肾上腺素,e为抗利尿激素。下丘脑是体温调节中枢,形成冷觉、热觉的部位在大脑皮层, ③错误;寒冷能刺激下丘脑,使其分泌的促甲状腺激素释放激素增多,进而作用于垂体,使 之分泌的促甲状腺激素增多,促甲状腺激素再通过促进甲状腺的活动来调节体温,⑤错误。 5.如图表示科研人员测定大鼠皮肤冷觉感受器和热觉感受器在不同温度时的传入神经放电 频率(敏感程度)。下列相关叙述正确的是( )A.冷觉感受器和热觉感受器的敏感温度范围相同 B.环境温度越低冷觉感受器越敏感 C.当温度偏离感受器的敏感温度时传入神经放电频率增大 D.大鼠的正常体温接近于两个曲线交点对应的温度 答案 D 解析 由题图可知,冷觉感受器的敏感温度范围在10~40 ℃之间,热觉感受器的敏感温度 范围在36~47 ℃之间,不同的温度感受器有其特定的敏感温度范围,A错误;环境温度为 28 ℃时冷觉感受器最敏感,B错误;当温度偏离感受器的敏感温度时传入神经放电频率减 小,C错误;正常体温时能感受环境中温度的升高和降低,所以大鼠的正常体温接近两个曲 线交点对应的温度,D正确。 6.(2023·江苏金陵中学高三调研)骑行是一种有氧运动,能增进健康,已成为众多运动爱好者 的选择。下列有关分析正确的是( ) A.因为骑行过程中需要增加散热,骑行运动过程中甲状腺激素分泌量减少 B.因为骑行过程中血糖消耗增加且收缩肌群对胰岛素利用增加,机体胰岛素含量会减少 C.因为骑行过程中汗腺分泌增加,垂体细胞合成分泌的抗利尿激素的量增加 D.因为骑行是一种有氧运动,骑行前后呼吸能保持稳定,其调节中枢位于下丘脑 答案 B 解析 因为骑行过程中细胞代谢加快,甲状腺激素可以促进代谢,因此骑行运动过程中甲状 腺激素分泌量增多,A错误;抗利尿激素是由下丘脑合成,经垂体释放,C错误;呼吸中枢 位于脑干,D错误。 7.如图表示人体血液流经肾脏部位的简要示意图,下列叙述正确的是( ) A.当血钠含量升高时,醛固酮的分泌量增加,肾小管和集合管对Na+的重吸收减少 B.抗利尿激素作用的靶细胞包括肾小管和集合管细胞 C.血液中的血细胞、蛋白质、无机盐等不会进入肾小囊 D.饮水不足时细胞外液渗透压降低,肾小管重吸收水的能力增强 答案 B解析 当血钠含量降低时,醛固酮的分泌量增加,肾小管和集合管对 Na+的重吸收增加,A 错误;血液中的血细胞、蛋白质一般不会进入肾小囊,水和无机盐等都可以经肾小球过滤到 肾小囊中,C错误;饮水不足时,细胞外液渗透压升高,最终导致肾小管重吸收水的能力增 强,D错误。 8.(2023·江苏徐州七中高三调研)神经—体液—免疫调节网络是维持人体稳态的主要调节机制, 下列相关叙述正确的是( ) A.人体血浆中CO 增多,直接刺激下丘脑呼吸中枢产生兴奋呼吸加快 2 B.人饮水过多,抗利尿激素释放增加,肾小管、集合管对水的重吸收加强,排出多余水分 C.破伤风疫苗是用破伤风类毒素制成的,注射到人体后能通过细胞免疫产生抗毒素 D.神经系统、内分泌系统、免疫系统之间可通过神经递质、激素、细胞因子等信息分子相 互调节 答案 D 解析 呼吸中枢位于脑干,A错误;人饮水过多,细胞外液渗透压下降,抗利尿激素释放减 少,肾小管、集合管对水的重吸收减弱,排出多余水分,B错误;抗毒素属于抗体,是由体 液免疫产生,C错误。 9.胃液是重要的消化液,胃液分泌的调节途径主要有3条: 途径1:食物的颜色、气味以及咀嚼、吞咽动作反射性地促进胃液分泌; 途径2:蛋白质的消化产物—肽和氨基酸直接作用于胃部G细胞引起促胃液素分泌,进而促 进胃液分泌; 途径3:胃部扩张刺激胃幽门部的感受器,通过胃壁内神经作用于胃部G细胞引起促胃液素 分泌,进而促进胃液分泌。 下列相关说法错误的是( ) A.途径1中引起胃液分泌的机制有条件反射和非条件反射 B.途径2中的促胃液素发挥作用后会被灭活 C.途径3的胃液分泌调节方式是神经—体液调节 D.胃部周围细胞外液中存在大量促胃液素 答案 D 解析 食物的颜色、气味等对视、嗅觉器官的刺激引起的胃液分泌属于条件反射,咀嚼和吞 咽时,食物刺激口腔、舌和咽等处的机械和化学感受器引起的胃液分泌属于非条件反射,A 正确;胃部周围细胞外液中存在少量促胃液素,因为激素的调节具有微量和高效的特点,D 错误。 10.(2023·哈尔滨高三模拟)老年人对温度变化的敏感性降低,机体不能及时将环境温度变化 信号传至体温调节中枢,导致不能快速进行体温调节,容易出现“低体温症”。下列相关说 法正确的是( ) A.热觉感受器和冷觉感受器都只分布于皮肤中B.老年人机体对温度变化的反应较慢可能与神经细胞的衰老有关 C.冷觉感受器受到刺激后,体温调节中枢通过相关神经使血管舒张 D.由于对环境温度变化反应迟钝,老年人对高温、低温环境的适应能力更强 答案 B 解析 皮肤、黏膜和内脏器官中都分布有热觉感受器和冷觉感受器,A错误;老年人的机体 不能及时根据环境温度的变化调节体温,与年轻人相比,对高温、低温环境的适应能力更弱, D错误。 11.节食减肥能有效地控制人的体重,但节食往往会导致记忆力减退、反应迟钝、计算能力 下降,过度节食还会诱发骨质疏松、贫血、低血钾、内分泌失调、情绪低落等多种症状。下 列有关叙述错误的是( ) A.人体记忆与脑内神经递质的作用有关 B.情绪低落会影响免疫系统的调节功能 C.血钾含量降低可能是体内醛固酮降低的结果 D.过度节食可能使血钙含量降低,影响骨骼发育 答案 C 解析 长期心情低落,会影响全身各种激素的分泌,导致内环境的紊乱,引起免疫力低下, 免疫力低,容易诱发感染,导致并发症等,B正确;醛固酮能够起到保钠、排钾的作用,醛 固酮增多就会导致排钾增多,所以就会出现血钾偏低,C错误。 12.(2023·南昌高三模拟)肾上腺的髓质分泌肾上腺素,它的分泌活动受内脏神经的直接支配。 人在恐惧、严重焦虑、剧痛等紧急情况下,肾上腺素分泌会增多,因此肾上腺素也被称为 “应急激素”。如图表示肾上腺素发挥作用的几种机制,下列相关叙述正确的是( ) A.图甲中的肾上腺素可作用于肝细胞,起到降低血糖的作用 B.肾上腺素可作用于小肠壁血管增加散热,维持体温稳定 C.剧痛引起的肾上腺素分泌增加属于神经—体液调节 D.由图可知,肾上腺素的作用效果与靶细胞及受体种类均有关 答案 D 解析 肾上腺素可作用于小肠壁血管,使其收缩而减少散热,维持体温稳定,B错误;剧痛 引起的肾上腺素分泌增加属于神经调节,C错误。二、非选择题 13.将生理状态相同,生活于室温25 ℃的家兔(平均体温38.5 ℃)随机分为甲、乙、丙三组, 甲组放入5 ℃环境中1 h,乙组放入35 ℃环境中1 h,丙组置于室温环境中1 h,期间连续 测定家兔体温,发现5 ℃环境与室温环境下家兔体温基本不变,但在35 ℃环境下家兔体温 可达40.2 ℃。回答下列问题: (1)实验中,甲组家兔刚刚进入5 ℃环境时,散热量________(填“增加”或“减少”),骨 骼 肌 战 栗 增 加 产 热 , 这 个 调 节 的 反 射 弧 为 _______________________________________________ _______________________________________________________________________________ 。 (2) 与 室 温 环 境 相 比 , 乙 组 家 兔 在 35 ℃ 环 境 下 体 温 上 升 的 直 接 原 因 是 ________________________________________________________________________。 (3)甲状腺激素缺乏的幼龄期家兔表现出神经系统发育异常,若将其放在 35 ℃环境中则出现 暂时的兴奋性降低,这说明体液调节与神经调节的关系是_____________________________。 (4)研究发现,药物X可能抑制甲状腺滤泡上皮细胞分泌甲状腺激素,请利用以下实验材料 及用具,设计实验,验证药物X的作用。简要写出实验设计思路并预期实验结果。实验材 料及用具:生理状态相同的健康家兔若干只,一定浓度的药物 X溶液,生理盐水,注射器, 甲状腺激素定量检测仪器等。 _______________________________________________________________________________ _______________________________________________________________________________ _______________________________________________________________________________ _______________________________________________________________________________ 。 答案 (1)增加 冷觉感受器→传入神经→下丘脑体温调节中枢→传出神经→骨骼肌 (2)机 体的产热量大于散热量 (3)激素可以影响神经系统的发育和功能 (4)实验设计思路:将家 兔随机均分成甲、乙两组,甲组注射一定浓度的药物 X溶液,乙组注射等量生理盐水,一 段时间后测定甲状腺激素含量 预期实验结果:甲组甲状腺激素含量明显低于乙组含量 解析 (2)体温由产热量和散热量决定,所以体温上升的直接原因是产热量大于散热量。(3) 高温环境,生物分泌的甲状腺激素减少,甲状腺激素能促进神经系统发育,提高神经系统兴 奋性,所以激素可以影响神经系统的发育和功能。(4)本实验目的是验证药物X抑制甲状腺 滤泡上皮细胞分泌甲状腺激素,所以自变量为有无药物X,因变量是甲状腺激素的含量,设 计实验思路及预期结果见答案。 14.体温调节是指温度感受器接受体内、外环境温度变化的刺激后,机体通过一系列的反应, 调整产热和散热,使体温保持在相对恒定的水平。如图为人体体温调节的示意图。请回答下列问题: (1)科学家一般用“体温调定点学说”解释人体体温恒定。由下丘脑设定一个调定温度(37 ℃),当机体体温偏离这个温度时,便启动一系列的调节过程,让体温恢复到下丘脑设定的 温度。从反射弧的角度分析,下丘脑在体温调节过程中既是感受器,又是________________。 正常人的体温稳定在37 ℃左右,说明体温调节是______(填“正”或“负”)反馈调节。 (2)据图可知,病原体感染机体并引起机体发热至38.5 ℃时,下丘脑和垂体分泌的激素依次 为________________________________________。激素b通过体液运输作用于甲状腺,使其 分泌的甲状腺激素增多,最终使乙细胞__________增强、产热增多,从而使机体体温上升。 (3)据图可知,除了(2)所叙述途径外,导致机体体温升高的另一条途径是________________ _______________________________________________________________________________ _______________________________________________________________________________ 。 (4)图中甲细胞接收的信息分子是__________________________________________________。 答案 (1)神经中枢和效应器 负 (2)促甲状腺激素释放激素、促甲状腺激素(或TRH、 TSH) 代谢(或有氧呼吸) (3)通过神经调节直接作用于甲细胞,促进糖原分解,使其代谢 增强,产热增多;同时皮肤毛细血管收缩以减少散热,使体温上升 (4)神经递质 解析 (1)下丘脑能够感知温度变化,还能根据接收到的信号分泌相应激素,所以在体温调 节中既是感受器,又是神经中枢和效应器。正常人的体温可以稳定在一定范围内,是负反馈 调节的结果。(2)病原体感染机体并引起机体发热至38.5 ℃时,下丘脑和垂体分泌的激素依 次为促甲状腺激素释放激素(TRH)、促甲状腺激素(TSH)。激素b通过体液运输作用于甲状 腺,使其分泌的甲状腺激素增多,最终使乙细胞代谢增强、产热增多,从而使机体体温上升。 (3)据图可知,除了(2)所述途径外,导致机体体温升高的另一条途径是通过神经调节直接作 用于甲细胞,促进糖原分解,使其代谢增强,产热增多;同时皮肤毛细血管收缩以减少散热, 使体温上升。(4)图中甲细胞受神经调节,所以其接收的信息分子是神经递质。