当前位置:首页>文档>中考数学几何专项练习:动点路径线段最值问题(解析版)_02中考总复习(2026版更新中)_02-数学-中考总复习_2024年中考复习资料_专项复习资料_2024年中考数学几何专项练习_解析版

中考数学几何专项练习:动点路径线段最值问题(解析版)_02中考总复习(2026版更新中)_02-数学-中考总复习_2024年中考复习资料_专项复习资料_2024年中考数学几何专项练习_解析版

  • 2026-04-30 16:07:22 2026-04-07 01:20:26

文档预览

中考数学几何专项练习:动点路径线段最值问题(解析版)_02中考总复习(2026版更新中)_02-数学-中考总复习_2024年中考复习资料_专项复习资料_2024年中考数学几何专项练习_解析版
中考数学几何专项练习:动点路径线段最值问题(解析版)_02中考总复习(2026版更新中)_02-数学-中考总复习_2024年中考复习资料_专项复习资料_2024年中考数学几何专项练习_解析版
中考数学几何专项练习:动点路径线段最值问题(解析版)_02中考总复习(2026版更新中)_02-数学-中考总复习_2024年中考复习资料_专项复习资料_2024年中考数学几何专项练习_解析版
中考数学几何专项练习:动点路径线段最值问题(解析版)_02中考总复习(2026版更新中)_02-数学-中考总复习_2024年中考复习资料_专项复习资料_2024年中考数学几何专项练习_解析版
中考数学几何专项练习:动点路径线段最值问题(解析版)_02中考总复习(2026版更新中)_02-数学-中考总复习_2024年中考复习资料_专项复习资料_2024年中考数学几何专项练习_解析版
中考数学几何专项练习:动点路径线段最值问题(解析版)_02中考总复习(2026版更新中)_02-数学-中考总复习_2024年中考复习资料_专项复习资料_2024年中考数学几何专项练习_解析版
中考数学几何专项练习:动点路径线段最值问题(解析版)_02中考总复习(2026版更新中)_02-数学-中考总复习_2024年中考复习资料_专项复习资料_2024年中考数学几何专项练习_解析版
中考数学几何专项练习:动点路径线段最值问题(解析版)_02中考总复习(2026版更新中)_02-数学-中考总复习_2024年中考复习资料_专项复习资料_2024年中考数学几何专项练习_解析版
中考数学几何专项练习:动点路径线段最值问题(解析版)_02中考总复习(2026版更新中)_02-数学-中考总复习_2024年中考复习资料_专项复习资料_2024年中考数学几何专项练习_解析版
中考数学几何专项练习:动点路径线段最值问题(解析版)_02中考总复习(2026版更新中)_02-数学-中考总复习_2024年中考复习资料_专项复习资料_2024年中考数学几何专项练习_解析版
中考数学几何专项练习:动点路径线段最值问题(解析版)_02中考总复习(2026版更新中)_02-数学-中考总复习_2024年中考复习资料_专项复习资料_2024年中考数学几何专项练习_解析版
中考数学几何专项练习:动点路径线段最值问题(解析版)_02中考总复习(2026版更新中)_02-数学-中考总复习_2024年中考复习资料_专项复习资料_2024年中考数学几何专项练习_解析版
中考数学几何专项练习:动点路径线段最值问题(解析版)_02中考总复习(2026版更新中)_02-数学-中考总复习_2024年中考复习资料_专项复习资料_2024年中考数学几何专项练习_解析版
中考数学几何专项练习:动点路径线段最值问题(解析版)_02中考总复习(2026版更新中)_02-数学-中考总复习_2024年中考复习资料_专项复习资料_2024年中考数学几何专项练习_解析版
中考数学几何专项练习:动点路径线段最值问题(解析版)_02中考总复习(2026版更新中)_02-数学-中考总复习_2024年中考复习资料_专项复习资料_2024年中考数学几何专项练习_解析版
中考数学几何专项练习:动点路径线段最值问题(解析版)_02中考总复习(2026版更新中)_02-数学-中考总复习_2024年中考复习资料_专项复习资料_2024年中考数学几何专项练习_解析版
中考数学几何专项练习:动点路径线段最值问题(解析版)_02中考总复习(2026版更新中)_02-数学-中考总复习_2024年中考复习资料_专项复习资料_2024年中考数学几何专项练习_解析版
中考数学几何专项练习:动点路径线段最值问题(解析版)_02中考总复习(2026版更新中)_02-数学-中考总复习_2024年中考复习资料_专项复习资料_2024年中考数学几何专项练习_解析版
中考数学几何专项练习:动点路径线段最值问题(解析版)_02中考总复习(2026版更新中)_02-数学-中考总复习_2024年中考复习资料_专项复习资料_2024年中考数学几何专项练习_解析版
中考数学几何专项练习:动点路径线段最值问题(解析版)_02中考总复习(2026版更新中)_02-数学-中考总复习_2024年中考复习资料_专项复习资料_2024年中考数学几何专项练习_解析版
中考数学几何专项练习:动点路径线段最值问题(解析版)_02中考总复习(2026版更新中)_02-数学-中考总复习_2024年中考复习资料_专项复习资料_2024年中考数学几何专项练习_解析版
中考数学几何专项练习:动点路径线段最值问题(解析版)_02中考总复习(2026版更新中)_02-数学-中考总复习_2024年中考复习资料_专项复习资料_2024年中考数学几何专项练习_解析版
中考数学几何专项练习:动点路径线段最值问题(解析版)_02中考总复习(2026版更新中)_02-数学-中考总复习_2024年中考复习资料_专项复习资料_2024年中考数学几何专项练习_解析版
中考数学几何专项练习:动点路径线段最值问题(解析版)_02中考总复习(2026版更新中)_02-数学-中考总复习_2024年中考复习资料_专项复习资料_2024年中考数学几何专项练习_解析版
中考数学几何专项练习:动点路径线段最值问题(解析版)_02中考总复习(2026版更新中)_02-数学-中考总复习_2024年中考复习资料_专项复习资料_2024年中考数学几何专项练习_解析版
中考数学几何专项练习:动点路径线段最值问题(解析版)_02中考总复习(2026版更新中)_02-数学-中考总复习_2024年中考复习资料_专项复习资料_2024年中考数学几何专项练习_解析版
中考数学几何专项练习:动点路径线段最值问题(解析版)_02中考总复习(2026版更新中)_02-数学-中考总复习_2024年中考复习资料_专项复习资料_2024年中考数学几何专项练习_解析版
中考数学几何专项练习:动点路径线段最值问题(解析版)_02中考总复习(2026版更新中)_02-数学-中考总复习_2024年中考复习资料_专项复习资料_2024年中考数学几何专项练习_解析版
中考数学几何专项练习:动点路径线段最值问题(解析版)_02中考总复习(2026版更新中)_02-数学-中考总复习_2024年中考复习资料_专项复习资料_2024年中考数学几何专项练习_解析版
中考数学几何专项练习:动点路径线段最值问题(解析版)_02中考总复习(2026版更新中)_02-数学-中考总复习_2024年中考复习资料_专项复习资料_2024年中考数学几何专项练习_解析版
中考数学几何专项练习:动点路径线段最值问题(解析版)_02中考总复习(2026版更新中)_02-数学-中考总复习_2024年中考复习资料_专项复习资料_2024年中考数学几何专项练习_解析版
中考数学几何专项练习:动点路径线段最值问题(解析版)_02中考总复习(2026版更新中)_02-数学-中考总复习_2024年中考复习资料_专项复习资料_2024年中考数学几何专项练习_解析版
中考数学几何专项练习:动点路径线段最值问题(解析版)_02中考总复习(2026版更新中)_02-数学-中考总复习_2024年中考复习资料_专项复习资料_2024年中考数学几何专项练习_解析版
中考数学几何专项练习:动点路径线段最值问题(解析版)_02中考总复习(2026版更新中)_02-数学-中考总复习_2024年中考复习资料_专项复习资料_2024年中考数学几何专项练习_解析版
中考数学几何专项练习:动点路径线段最值问题(解析版)_02中考总复习(2026版更新中)_02-数学-中考总复习_2024年中考复习资料_专项复习资料_2024年中考数学几何专项练习_解析版
中考数学几何专项练习:动点路径线段最值问题(解析版)_02中考总复习(2026版更新中)_02-数学-中考总复习_2024年中考复习资料_专项复习资料_2024年中考数学几何专项练习_解析版
中考数学几何专项练习:动点路径线段最值问题(解析版)_02中考总复习(2026版更新中)_02-数学-中考总复习_2024年中考复习资料_专项复习资料_2024年中考数学几何专项练习_解析版
中考数学几何专项练习:动点路径线段最值问题(解析版)_02中考总复习(2026版更新中)_02-数学-中考总复习_2024年中考复习资料_专项复习资料_2024年中考数学几何专项练习_解析版
中考数学几何专项练习:动点路径线段最值问题(解析版)_02中考总复习(2026版更新中)_02-数学-中考总复习_2024年中考复习资料_专项复习资料_2024年中考数学几何专项练习_解析版
中考数学几何专项练习:动点路径线段最值问题(解析版)_02中考总复习(2026版更新中)_02-数学-中考总复习_2024年中考复习资料_专项复习资料_2024年中考数学几何专项练习_解析版
中考数学几何专项练习:动点路径线段最值问题(解析版)_02中考总复习(2026版更新中)_02-数学-中考总复习_2024年中考复习资料_专项复习资料_2024年中考数学几何专项练习_解析版
中考数学几何专项练习:动点路径线段最值问题(解析版)_02中考总复习(2026版更新中)_02-数学-中考总复习_2024年中考复习资料_专项复习资料_2024年中考数学几何专项练习_解析版
中考数学几何专项练习:动点路径线段最值问题(解析版)_02中考总复习(2026版更新中)_02-数学-中考总复习_2024年中考复习资料_专项复习资料_2024年中考数学几何专项练习_解析版
中考数学几何专项练习:动点路径线段最值问题(解析版)_02中考总复习(2026版更新中)_02-数学-中考总复习_2024年中考复习资料_专项复习资料_2024年中考数学几何专项练习_解析版
中考数学几何专项练习:动点路径线段最值问题(解析版)_02中考总复习(2026版更新中)_02-数学-中考总复习_2024年中考复习资料_专项复习资料_2024年中考数学几何专项练习_解析版
中考数学几何专项练习:动点路径线段最值问题(解析版)_02中考总复习(2026版更新中)_02-数学-中考总复习_2024年中考复习资料_专项复习资料_2024年中考数学几何专项练习_解析版
中考数学几何专项练习:动点路径线段最值问题(解析版)_02中考总复习(2026版更新中)_02-数学-中考总复习_2024年中考复习资料_专项复习资料_2024年中考数学几何专项练习_解析版
中考数学几何专项练习:动点路径线段最值问题(解析版)_02中考总复习(2026版更新中)_02-数学-中考总复习_2024年中考复习资料_专项复习资料_2024年中考数学几何专项练习_解析版
中考数学几何专项练习:动点路径线段最值问题(解析版)_02中考总复习(2026版更新中)_02-数学-中考总复习_2024年中考复习资料_专项复习资料_2024年中考数学几何专项练习_解析版
中考数学几何专项练习:动点路径线段最值问题(解析版)_02中考总复习(2026版更新中)_02-数学-中考总复习_2024年中考复习资料_专项复习资料_2024年中考数学几何专项练习_解析版
中考数学几何专项练习:动点路径线段最值问题(解析版)_02中考总复习(2026版更新中)_02-数学-中考总复习_2024年中考复习资料_专项复习资料_2024年中考数学几何专项练习_解析版
中考数学几何专项练习:动点路径线段最值问题(解析版)_02中考总复习(2026版更新中)_02-数学-中考总复习_2024年中考复习资料_专项复习资料_2024年中考数学几何专项练习_解析版
中考数学几何专项练习:动点路径线段最值问题(解析版)_02中考总复习(2026版更新中)_02-数学-中考总复习_2024年中考复习资料_专项复习资料_2024年中考数学几何专项练习_解析版
中考数学几何专项练习:动点路径线段最值问题(解析版)_02中考总复习(2026版更新中)_02-数学-中考总复习_2024年中考复习资料_专项复习资料_2024年中考数学几何专项练习_解析版
中考数学几何专项练习:动点路径线段最值问题(解析版)_02中考总复习(2026版更新中)_02-数学-中考总复习_2024年中考复习资料_专项复习资料_2024年中考数学几何专项练习_解析版
中考数学几何专项练习:动点路径线段最值问题(解析版)_02中考总复习(2026版更新中)_02-数学-中考总复习_2024年中考复习资料_专项复习资料_2024年中考数学几何专项练习_解析版
中考数学几何专项练习:动点路径线段最值问题(解析版)_02中考总复习(2026版更新中)_02-数学-中考总复习_2024年中考复习资料_专项复习资料_2024年中考数学几何专项练习_解析版
中考数学几何专项练习:动点路径线段最值问题(解析版)_02中考总复习(2026版更新中)_02-数学-中考总复习_2024年中考复习资料_专项复习资料_2024年中考数学几何专项练习_解析版
中考数学几何专项练习:动点路径线段最值问题(解析版)_02中考总复习(2026版更新中)_02-数学-中考总复习_2024年中考复习资料_专项复习资料_2024年中考数学几何专项练习_解析版
中考数学几何专项练习:动点路径线段最值问题(解析版)_02中考总复习(2026版更新中)_02-数学-中考总复习_2024年中考复习资料_专项复习资料_2024年中考数学几何专项练习_解析版
中考数学几何专项练习:动点路径线段最值问题(解析版)_02中考总复习(2026版更新中)_02-数学-中考总复习_2024年中考复习资料_专项复习资料_2024年中考数学几何专项练习_解析版
中考数学几何专项练习:动点路径线段最值问题(解析版)_02中考总复习(2026版更新中)_02-数学-中考总复习_2024年中考复习资料_专项复习资料_2024年中考数学几何专项练习_解析版
中考数学几何专项练习:动点路径线段最值问题(解析版)_02中考总复习(2026版更新中)_02-数学-中考总复习_2024年中考复习资料_专项复习资料_2024年中考数学几何专项练习_解析版
中考数学几何专项练习:动点路径线段最值问题(解析版)_02中考总复习(2026版更新中)_02-数学-中考总复习_2024年中考复习资料_专项复习资料_2024年中考数学几何专项练习_解析版
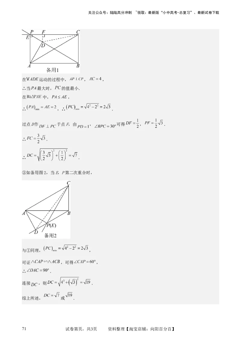
中考数学几何专项练习:动点路径线段最值问题(解析版)_02中考总复习(2026版更新中)_02-数学-中考总复习_2024年中考复习资料_专项复习资料_2024年中考数学几何专项练习_解析版
中考数学几何专项练习:动点路径线段最值问题(解析版)_02中考总复习(2026版更新中)_02-数学-中考总复习_2024年中考复习资料_专项复习资料_2024年中考数学几何专项练习_解析版
中考数学几何专项练习:动点路径线段最值问题(解析版)_02中考总复习(2026版更新中)_02-数学-中考总复习_2024年中考复习资料_专项复习资料_2024年中考数学几何专项练习_解析版
中考数学几何专项练习:动点路径线段最值问题(解析版)_02中考总复习(2026版更新中)_02-数学-中考总复习_2024年中考复习资料_专项复习资料_2024年中考数学几何专项练习_解析版
中考数学几何专项练习:动点路径线段最值问题(解析版)_02中考总复习(2026版更新中)_02-数学-中考总复习_2024年中考复习资料_专项复习资料_2024年中考数学几何专项练习_解析版
中考数学几何专项练习:动点路径线段最值问题(解析版)_02中考总复习(2026版更新中)_02-数学-中考总复习_2024年中考复习资料_专项复习资料_2024年中考数学几何专项练习_解析版
中考数学几何专项练习:动点路径线段最值问题(解析版)_02中考总复习(2026版更新中)_02-数学-中考总复习_2024年中考复习资料_专项复习资料_2024年中考数学几何专项练习_解析版
中考数学几何专项练习:动点路径线段最值问题(解析版)_02中考总复习(2026版更新中)_02-数学-中考总复习_2024年中考复习资料_专项复习资料_2024年中考数学几何专项练习_解析版
中考数学几何专项练习:动点路径线段最值问题(解析版)_02中考总复习(2026版更新中)_02-数学-中考总复习_2024年中考复习资料_专项复习资料_2024年中考数学几何专项练习_解析版
中考数学几何专项练习:动点路径线段最值问题(解析版)_02中考总复习(2026版更新中)_02-数学-中考总复习_2024年中考复习资料_专项复习资料_2024年中考数学几何专项练习_解析版
中考数学几何专项练习:动点路径线段最值问题(解析版)_02中考总复习(2026版更新中)_02-数学-中考总复习_2024年中考复习资料_专项复习资料_2024年中考数学几何专项练习_解析版
中考数学几何专项练习:动点路径线段最值问题(解析版)_02中考总复习(2026版更新中)_02-数学-中考总复习_2024年中考复习资料_专项复习资料_2024年中考数学几何专项练习_解析版
中考数学几何专项练习:动点路径线段最值问题(解析版)_02中考总复习(2026版更新中)_02-数学-中考总复习_2024年中考复习资料_专项复习资料_2024年中考数学几何专项练习_解析版
中考数学几何专项练习:动点路径线段最值问题(解析版)_02中考总复习(2026版更新中)_02-数学-中考总复习_2024年中考复习资料_专项复习资料_2024年中考数学几何专项练习_解析版
中考数学几何专项练习:动点路径线段最值问题(解析版)_02中考总复习(2026版更新中)_02-数学-中考总复习_2024年中考复习资料_专项复习资料_2024年中考数学几何专项练习_解析版
中考数学几何专项练习:动点路径线段最值问题(解析版)_02中考总复习(2026版更新中)_02-数学-中考总复习_2024年中考复习资料_专项复习资料_2024年中考数学几何专项练习_解析版
中考数学几何专项练习:动点路径线段最值问题(解析版)_02中考总复习(2026版更新中)_02-数学-中考总复习_2024年中考复习资料_专项复习资料_2024年中考数学几何专项练习_解析版
中考数学几何专项练习:动点路径线段最值问题(解析版)_02中考总复习(2026版更新中)_02-数学-中考总复习_2024年中考复习资料_专项复习资料_2024年中考数学几何专项练习_解析版

文档信息

文档格式
docx
文档大小
4.104 MB
文档页数
78 页
上传时间
2026-04-07 01:20:26

文档内容

关注公众号:陆陆高分冲刺 ~领取:最新版“小中高考-总复习”、最新试卷下载 中考数学几何专项练习:动点路径线段最值问题 一、填空题 1.如图,在平行四边形ABCD中,AB=2,∠ABC=45°,点E为射线AD上一动点,连接BE,将BE绕点B 逆时针旋转60°得到BF,连接AF,则AF的最小值是 . 【答案】 . 【分析】如图,以AB为边向下作等边△ABK,连接EK,在EK上取一点T,使得AT=TK.证明△ABF≌△KBE (SAS),推出AF=EK,根据垂线段最短可知,当KE⊥AD时,KE的值最小,用勾股定理求出EK即可解决 问题. 【详解】如图,以AB为边向下作等边△ABK,连接EK,在EK上取一点T,使得AT=TK. ∵BE=BF,BK=BA, 又∵∠EBF=∠ABK=60°, ∴∠ABF=∠KBE, ∴△ABF≌△KBE(SAS), ∴AF=EK, 根据垂线段最短可知,当KE⊥AD时,KE的值最小, ∵四边形ABCD是平行四边形, ∴AD∥BC, ∵∠ABC=45°, 1 试卷第页,共3页 资料整理【淘宝店铺:向阳百分百】 学科网(北京)股份有限公司关注公众号:陆陆高分冲刺 ~领取:最新版“小中高考-总复习”、最新试卷下载 ∴∠BAD=180°﹣∠ABC=135°, ∵∠BAK=60°, ∴∠EAK=75°, ∵∠AEK=90°, ∴∠AKE=15°, ∵TA=TK, ∴∠TAK=∠AKT=15°, ∴∠ATE=∠TAK+∠AKT=30°, 设AE=a,则AT=TK=2a,ET= a, 在Rt△AEK中,∵AK2=AE2+EK2, ∴a2+(2a+ a)2=4, ∴a= , ∴EK=2a+ a= , ∴AF的最小值为 . 故答案为 . 【点睛】本题考查旋转的性质,平行四边形的性质,等边三角形的性质,全等三角形的判定和性质,垂线 段最短,勾股定理等知识,解题的关键是学会添加常用辅助线,构造全等的三角形解决问题,学会用转化 的思想思考问题. 2.如图,在一个 的网格中,点 都在格点上, ,点P是线段AB上的一个动点, 连接OP,将线段OA沿直线OP进行翻折,点A落在点C处,连接BC,以BC为斜边在直线BC的左侧(或下 方)构造等腰直角三角形 ,则点P从A运动到B的过程中,线段BC的长的最小值为 , 线段BD所扫过的区域内的格点的个数为(不包含所扫过的区域边界上的点) . 2 试卷第页,共3页 资料整理【淘宝店铺:向阳百分百】 学科网(北京)股份有限公司关注公众号:陆陆高分冲刺 ~领取:最新版“小中高考-总复习”、最新试卷下载 【答案】 4 【分析】根据 仅当C在OB上时等号成立,由折叠性质可知OA=OC,从而求出BC的最小值; 再证明 ,而且相似比为 :1,从而得出点D在以 为半径的圆弧 上运动,由 此画出图形即可得出格点的个数. 【详解】解:如图,连接OB,AD. ∵ , ∴ , 又∵ 仅当C在OB上时等号成立, 3 试卷第页,共3页 资料整理【淘宝店铺:向阳百分百】 学科网(北京)股份有限公司关注公众号:陆陆高分冲刺 ~领取:最新版“小中高考-总复习”、最新试卷下载 ∴BC的最小值 , 又∵ , ∴BC的最小值 , ∵ 和 均为等腰直角三角形, ∴ , , 又∵ , , ∴ , ∴ , ∴ ,即 , ∴如图:点D在以 为半径的圆弧 上运动,当点P与点A重合时,点D在 处,当点P与点B重 合时,点D在 处, ∴线段BD所扫过的区域内的格点的个数为(不包含所扫过的区域边界上的点)4个. 故答案为: ,4. 【点睛】本题主要考查了对称变换和旋转相似,解题关键是通过旋转相似证明 ,从而 得出点D在以 为半径的圆弧 上运动,再根据画图得出结论. 3.如图,在Rt△ABC中,∠BAC=90°,AB=6,AC=8,点P为BC上任意一点,连接PA,以PA,PC为邻 边作平行四边形PAQC,连接PQ,则PQ的最小值为 . 【答案】 / /4.8 4 试卷第页,共3页 资料整理【淘宝店铺:向阳百分百】 学科网(北京)股份有限公司关注公众号:陆陆高分冲刺 ~领取:最新版“小中高考-总复习”、最新试卷下载 【分析】设 , 交于点 ,四边形PAQC是平行四边形,则 ,即求 的最小值即可,当 时, 取得最小值,即 最小,过点 作 于点 ,当 重合时, 最小,据此 即可求得 的最小值. 【详解】如图,设 , 交于点 ,过点 作 于点 , 四边形PAQC是平行四边形, , 当 时, 取得最小值,即 最小,当 重合时, 最小, ∠BAC=90°,AB=6,AC=8, , 又 故答案为: 【点睛】本题考查了平行四边形的性质,垂线段最短,相似三角形的性质与判定,求得 的长是解题的 关键. 4.如图Rt△ABC中,∠BAC=90°,AB=3,AC=4,点P为BC上任意一点,连接PA,以PA,PC为邻边作 5 试卷第页,共3页 资料整理【淘宝店铺:向阳百分百】 学科网(北京)股份有限公司关注公众号:陆陆高分冲刺 ~领取:最新版“小中高考-总复习”、最新试卷下载 平行四边形PAQC,连接PQ,则PQ的最小值为 . 【答案】 【分析】利用勾股定理得到BC边的长度,根据平行四边形的性质,得知OP最短即为PQ最短,利用垂线段 最短得到点P的位置,再证明△CAB∽△CP′O利用对应线段的比得到OP的长度,继而得到PQ的长度. 【详解】∵∠BAC=90°,AB=3,AC=4, ∴BC= =5, ∵四边形APCQ是平行四边形, ∴PO=QO,CO=AO, ∵PQ最短也就是PO最短, ∴过O作BC的垂线OP′, ∵∠ACB=∠P′CO,∠CP′O=∠CAB=90°, ∴△CAB∽△CP′O, ∴ , ∴ , ∴OP′= , ∴则PQ的最小值为2OP′= , 6 试卷第页,共3页 资料整理【淘宝店铺:向阳百分百】 学科网(北京)股份有限公司关注公众号:陆陆高分冲刺 ~领取:最新版“小中高考-总复习”、最新试卷下载 故答案为: . 【点睛】考查线段的最小值问题,结合了平行四边形性质和相似三角形求线段长度,本题的关键是利用垂 线段最短求解,学生要掌握转换线段的方法才能解出本题. 5.如图,Rt△ABC中,∠ACB=90°,AC=BC=8,F为AC中点,D是线段AB上一动点,连接CD,将线段 CD绕点C沿逆时针方向旋转90°得到线段CE,连接EF,则点D在运动过程中,EF的最大值为 ,最小值 为 . 【答案】 【分析】取BC的中点G,连接DG,依据△DCG≌△ECF(SAS),即可得出EF=DG,再根据点D是线段AB上 一动点,利用勾股定理即可得到EF的最大值以及最小值. 【详解】解:如图所示,取BC的中点G,连接DG, 由旋转可得DC=EC,∠DCE=90°, 又∵∠ACB=90°,AC=BC=8,F为AC中点, ∴CG=CF,∠DCG+∠ACD=∠ECF+∠ACD=90°, ∴∠DCG=∠ECF, ∴△DCG≌△ECF(SAS), ∴EF=DG, ①如图1所示, 当GD⊥AB时,DG最短,此时△BDG是等腰直角三角形, ∴DG=BG×sin45°=4× =2 , 7 试卷第页,共3页 资料整理【淘宝店铺:向阳百分百】 学科网(北京)股份有限公司关注公众号:陆陆高分冲刺 ~领取:最新版“小中高考-总复习”、最新试卷下载 即EF的最小值为2 ; ②当D与B重合时,DG=BG=4; ③如图2所示, 当D与A重合时,DG= = >4, 即EF的最大值为 . 故答案为: ,2 . 【点睛】本题主要考查了等腰直角三角形的性质以及旋转的性质的运用,全等三角形的判定是结合全等三 角形的性质证明线段和角相等的重要工具.在判定三角形全等时,关键是选择恰当的判定条件. 6.已知:如图,等腰直角 , , ,点D为 外一点, ,连接 CD, , ,BC的长为 . 【答案】 【分析】过 作 于 ,过 作 交 的延长线于 ,由 , ,得到 ,证出 ,推出 ,得到 , ,设 8 试卷第页,共3页 资料整理【淘宝店铺:向阳百分百】 学科网(北京)股份有限公司关注公众号:陆陆高分冲刺 ~领取:最新版“小中高考-总复习”、最新试卷下载 , ,根据勾股定理得到 , , ,于是得到 . 【详解】解:过 作 于 ,过 作 交 的延长线于 , , , , , 在 与 中, , , , , , , 设 , , 在 中, ,即: , 解得: ; (不合题意,舍去). , , , . 故答案为: . 【点睛】本题考查了全等三角形的判定和性质,等腰直角三角形的性质,勾股定理的应用,正确的作出辅 助线构造全等三角形是解题的关键. 9 试卷第页,共3页 资料整理【淘宝店铺:向阳百分百】 学科网(北京)股份有限公司关注公众号:陆陆高分冲刺 ~领取:最新版“小中高考-总复习”、最新试卷下载 7.如图,在Rt△ABC中,∠BAC=90°,BC=5,AB=3,点D是线段BC上一动点,连接AD,以AD为边作 △ADE∽△ABC,点N是AC的中点,连接NE,当线段NE最短时,线段CD的长为 . 【答案】 【分析】如图,连接EC,作AH⊥BC于H.首先证明EC⊥BC,推出EN⊥EC时,EN的值最小,解直角三角形 求出CH,DH即可解决问题; 【详解】解:如图,连接EC,作AH⊥BC于H. ∵△ABC∽△ADE, ∴∠AED=∠ACD, ∴A,D,C,E四点共圆, ∴∠DAE+∠DCE=180°, ∴∠DCE=∠DAE=90°, ∴EC⊥BC, ∴NE⊥EC时,EN的值最小,作AG⊥CE交CE的延长线于G. 在Rt△ABC中,∵BC=5,AB=3, ∴AC=4, ∵△ENC∽△△ACB, ∴ , ∴ , ∴EC= , ∴AH=CG= , ∵NE∥AG,AN=NC, 10 试卷第页,共3页 资料整理【淘宝店铺:向阳百分百】 学科网(北京)股份有限公司关注公众号:陆陆高分冲刺 ~领取:最新版“小中高考-总复习”、最新试卷下载 ∴GE=EC= , ∵∠HAG=∠DAE, ∴∠DAH=∠EAG, ∵∠AHD=∠G=90°, ∴△AHD∽△AGE, ∴ , ∴ , ∴DH= , ∴CD=DH+CH= . 故答案为 . 【点睛】本题考查相似三角形的性质、勾股定理、垂线段最短、四点共圆等知识,解题的关键是熟练掌握 基本知识,属于中考填空题中的压轴题. 8.如图,在 中, , , ,点E为边AB上的一个动点,连接ED并延长至点 F,使得 ,以EC、EF为邻边构造 ,连接EG,则EG的最小值为 . 【答案】9 . 【分析】连接FC,作DM//FC,得△DEM∽△FEO,△DMN∽△CON,进一步得出DM= ,EO= ,过C 作CH⊥AB于H,可求出CH= ,根据题意,EG必过点N,当EN⊥CD时,EG最小,此时四边形EHCN是矩 11 试卷第页,共3页 资料整理【淘宝店铺:向阳百分百】 学科网(北京)股份有限公司关注公众号:陆陆高分冲刺 ~领取:最新版“小中高考-总复习”、最新试卷下载 形,故可得EN=CH= ,代入EO= 求出EO即可得到结论. 【详解】解:连接FC,交EG于点O,过点D作DM//FC,交EG于点M,如图所示, ∵ ∴ ∵DM//FC, ∴△DEM∽△FEO, ∴ , ∵DM//FC, ∴△DMN∽△CON, ∴ , ∵四边形ECGF是平行四边形, ∴CO=FO, ∴ ∴ , ∴ , 过点C作CH⊥AB于点H, 在Rt△CBH,∠B=60︒,BC=8, ∴CH=BCsin60︒=4 , 根据题意得,EG必过点N,当EN⊥CD时,EG最小,此时四边形EHCN是矩形, ∴EN=CH=4 , 12 试卷第页,共3页 资料整理【淘宝店铺:向阳百分百】 学科网(北京)股份有限公司关注公众号:陆陆高分冲刺 ~领取:最新版“小中高考-总复习”、最新试卷下载 ∴EO= , ∴EG=2EO=9 . 故答案为:9 . 【点睛】本题考查了平行四边形的性质,解直角三角形,相似三角形的判定和性质等知识,解题的关键是 学会添加常用辅助线,构造相似三角形解决问题,学会用转化的思想思考问题. 9.如图,在矩形 中, , , , 分别为 , 边的中点.动点 从点 出发沿 向点 运动,同时,动点 从点 出发沿 向点 运动,连接 ,过点 作 于点 ,连接 .若点 的速度是点 的速度的2倍,在点 从点 运动至点 的过程中,线段 长度的最大值为 ,线段 长度的最小值为 . 【答案】 【分析】连接EF,则EF⊥AB,过点P作PG⊥CD于点G,如图1,由于 ,而PG=3,所以当 GQ最大时PQ最大,由题意可得当P、A重合时GQ最大,据此即可求出PQ的最大值;设EF与PQ交于点M, 连接BM,取BM的中点O,连接HO,如图2,易证△FQM∽△EPM,则根据相似三角形的性质可得EM为定值 2,于是BM的长度可得,由∠BHM=∠BEM=90°可得B、E、H、M四点共圆,且圆心为点O,于是当D、H、O 三点共线时,DH的长度最小,最小值为DO-OH,为此只需连接DO,求出DO的长即可,可过点O作ON⊥CD 于点N,作OK⊥BC于点K,如图3,构建Rt△DON,利用勾股定理即可求出DO的长,进而可得答案. 【详解】解:连接EF,则EF⊥AB,过点P作PG⊥CD于点G,如图1,则PE=GF,PG=AD=3, 设FQ=t,则GF=PE=2t,GQ=3t, 在Rt△PGQ中,由勾股定理得: , ∴当t最大即EP最大时,PQ最大, 由题意知:当点P、A重合时,EP最大,此时EP=2,则t=1, ∴PQ的最大值= ; 13 试卷第页,共3页 资料整理【淘宝店铺:向阳百分百】 学科网(北京)股份有限公司关注公众号:陆陆高分冲刺 ~领取:最新版“小中高考-总复习”、最新试卷下载 设EF与PQ交于点M,连接BM,取BM的中点O,连接HO,如图2, ∵FQ∥PE,∴△FQM∽△EPM, ∴ , ∵EF=3, ∴FM=1,ME=2, ∴ , ∵∠BHM=∠BEM=90°, ∴B、E、H、M四点共圆,且圆心为点O, ∴ , ∴当D、H、O三点共线时,DH的长度最小, 连接DO,过点O作ON⊥CD于点N,作OK⊥BC于点K,如图3,则OK=BK=1, ∴NO=2,CN=1,∴DN=3, 则在Rt△DON中, , 14 试卷第页,共3页 资料整理【淘宝店铺:向阳百分百】 学科网(北京)股份有限公司关注公众号:陆陆高分冲刺 ~领取:最新版“小中高考-总复习”、最新试卷下载 ∴DH的最小值=DO-OH= . 故答案为: , . 【点睛】本题考查了矩形的性质、勾股定理、相似三角形的判定和性质、四点共圆以及线段的最值等知识, 涉及的知识点多、综合性强、具有相当的难度,属于中考压轴题,正确添加辅助线、熟练掌握上述知识是 解题的关键. 10.如图,∠MON=90°,矩形ABCD的顶点A、B分别在边OM、ON上,当B在边ON上运动时,A随之在OM 上运动,矩形ABCD的形状保持不变,其中AB=4,BC=2.运动过程中点D到点O的最大距离是 . 【答案】 +2 【分析】取AB的中点E,连接OE、DE、OD,根据三角形的任意两边之和大于第三边可知当O、D、E三点共 线时,点D到点O的距离最大,再根据勾股定理列式求出DE的长,根据直角三角形斜边上的中线等于斜边 的一半求出OE的长,两者相加即可得解. 【详解】如图,取AB的中点E,连接OE、DE、OD, ∵OD≤OE+DE, ∴当O、D、E三点共线时,点D到点O的距离最大, 此时,∵AB=4,BC=2, ∴OE=AE= AB=2, 15 试卷第页,共3页 资料整理【淘宝店铺:向阳百分百】 学科网(北京)股份有限公司关注公众号:陆陆高分冲刺 ~领取:最新版“小中高考-总复习”、最新试卷下载 DE= = , ∴OD的最大值为: +2, 故答案为 +2. 【点睛】本题考查了直角三角形斜边中线的性质,三角形的三边关系,矩形的性质,勾股定理,根据三角 形的三边关系判断出点O、E、D三点共线时,点D到点O的距离最大是解题的关键. 11.如图,点E,F分别在矩形 的边 上,连接 ,将 沿直线 翻折得到 .连接 ,当点F在线段 上运动时,则四边形 面 积的最小值是 . 【答案】 【分析】连接 ,作 于点M,利用 得到 ,求出 ,再由 ,当 的面积最小时, 的面积最小计算即可. 【详解】如图,连接 ,作 于点M, 16 试卷第页,共3页 资料整理【淘宝店铺:向阳百分百】 学科网(北京)股份有限公司关注公众号:陆陆高分冲刺 ~领取:最新版“小中高考-总复习”、最新试卷下载 在 中, , ∵ , ∴ ∵ , ∴ , ∴ 即: , , , ∴当 的面积最小时, 的面积最小, ∵当 与 重合时,点H到直线 的距离最小,最小值为: , ∴ 最小值为: , ∴ 的面积最小值为: 故答案为: . 【点睛】本题考查勾股定理,相似三角形的判定与性质,利用分割法表示四边形的面积是解题的关键. 12.已知菱形 中, , ,边 上有点 点 两动点,始终保持 ,连 接 取 中点 并连接 则 的最小值是 . 17 试卷第页,共3页 资料整理【淘宝店铺:向阳百分百】 学科网(北京)股份有限公司关注公众号:陆陆高分冲刺 ~领取:最新版“小中高考-总复习”、最新试卷下载 【答案】3 【分析】过D点作DH⊥BC交BC延长线与H点,延长EF交DH与点M,连接BM.由菱形性质和 可 证明 ,进而可得 ,由BM最小值为BH即可求解. 【详解】解:过D点作DH⊥BC交BC延长线与H点,延长EF交DH与点M,连接BM. ∵在菱形 中, , , ∴ , , ∴ , ∵ , , ∴ , ∴ , 又∵ , ∴ , ∴ , 又∵ , ∴ , ∴当BM最小时FG最小, 根据点到直线的距离垂线段最短可知,BM的最小值等于BH, ∵在菱形 中, , 18 试卷第页,共3页 资料整理【淘宝店铺:向阳百分百】 学科网(北京)股份有限公司关注公众号:陆陆高分冲刺 ~领取:最新版“小中高考-总复习”、最新试卷下载 ∴ 又∵在Rt△CHD中, , ∴ , ∴ , ∴AM的最小值为6, ∴ 的最小值是3. 故答案为:3. 【点睛】本题考查了动点线段的最小值问题,涉及了菱形的性质、等腰三角形性质和判定、垂线段最短、 中位线定理等知识点;将“两动点”线段长通过中位线转化为“一定一动”线段长求解是解题关键. 13.如图,在四边形ABCD中, , , 且 ,点E是AB的中点,连接DE,当 DE取最大值时,AC的长为 . 【答案】 【分析】如图1,连接CE,过点E作EF⊥ED,且EF=DE,连接CF、DF,根据等腰直角三角形的性质可得 CE=AE,CE⊥AB,根据角的和差关系可得∠AED=∠CEF,利用SAS可证明△AED≌△CEF,根据全等三角形的 性质可得AD=CF,根据三角形三边关系可得当C、D、F共线时DF最长,此时DE取最大值,如图2,过E作 EG⊥DF于G,根据等腰直角三角形的性质可得EG= DF=3,进而可求出CG的长,利用勾股定理可求出CE的 长,利用勾股定理即可得答案. 【详解】如图1,连接CE,过点E作EF⊥ED,且EF=DE,连接CF、DF, ∵ 且 , ∴△ABC是等腰直角三角形, ∵点E为AB中点, ∴CE=AE,CE⊥AB, ∵∠DCE+∠AED=90°,∠DCE+∠CEF=90°, ∴∠AED=∠CEF, 19 试卷第页,共3页 资料整理【淘宝店铺:向阳百分百】 学科网(北京)股份有限公司关注公众号:陆陆高分冲刺 ~领取:最新版“小中高考-总复习”、最新试卷下载 在△AED和△CEF中, , ∴△AED≌△CEF, ∴AD=CF, ∵在△CDF中,CD+CF>DF, ∴当C、D、F共线时DF最长,此时DF=CD+CF=CD+AD=6, ∵△DEF是等腰直角三角形, ∴DF取最大值时,DE取最大值, 如图2,当C、D、F共线时,过E作EG⊥DF于G, ∵DF=6,△DEF是等腰直角三角形, ∴EG=DG= DF=3, ∴CG=DG-CD=3-2=1, ∴CE= = = , ∴AC= = . 故答案为: 【点睛】本题考查等腰直角三角形的性质、全等三角形的判定与性质、三角形的三边关系及勾股定理,熟 练掌握等腰三角形“三线合一”的性质及全等三角形的判定定理是解题关键. 20 试卷第页,共3页 资料整理【淘宝店铺:向阳百分百】 学科网(北京)股份有限公司关注公众号:陆陆高分冲刺 ~领取:最新版“小中高考-总复习”、最新试卷下载 14.如图,在△ABC中,BC=9,AC=12,AB=15,D为直线AB上方一点,连接AD,BD,且∠ADB=90°, 过D作直线BC的垂线,垂足为E,则线段BE的长度的最大值为 . 【答案】12. 【分析】依题意得 ,所以 是直角三角形,又因为∠ADB=90°,所以点A、D、C、B 在以AB为直径的圆上,依题意可知当 时,BE最大,据此求解即可. 【详解】解:在△ABC中,BC=9,AC=12,AB=15, , , , ∵∠ADB=90°, 共圆 取 的中点 连接 ,过点 作 于点 如图,当 时, 最大,此时 , , , 四边形 是矩形, , 21 试卷第页,共3页 资料整理【淘宝店铺:向阳百分百】 学科网(北京)股份有限公司关注公众号:陆陆高分冲刺 ~领取:最新版“小中高考-总复习”、最新试卷下载 , 故答案为:12. 【点睛】本题考查了四点共圆,平行线的判定,垂径定理,矩形的判定和性质等知识,判定四点共圆是解 题的关键. 15.如图,在 和 中, ,E为 的中点, 将 绕点O旋转,直线 , 交于点F,连接 ,则 的最小值是 . 【答案】 【分析】取 的中点 ,连接 ,则 ,当 三点共线时, 最小,证明 ,进而推出 ,进而得到 ,根据三角形中位线定理以及斜边上的中 线等于斜边的一半,求出 ,进而求出 的最小值. 【详解】解:取 的中点 ,连接 , 则 , ∴当 三点共线时, 最小, ∵ , ∴ , 22 试卷第页,共3页 资料整理【淘宝店铺:向阳百分百】 学科网(北京)股份有限公司关注公众号:陆陆高分冲刺 ~领取:最新版“小中高考-总复习”、最新试卷下载 ∴ , ∴ , ∵ , ∴ , ∴ , ∴ , ∵ , ∴ , ∴ , ∴ , ∵ , ∴ , ∵ 是 的中点, 为 的中点, ∴ , ∴ 的最小值为: ; 故答案为: . 【点睛】本题考查相似三角形的判定和性质,中位线定理,斜边上的中线.熟练掌握相似三角形的判定方 法,证明三角形相似,是解题的关键. 16.如图,△ABC中,AB=2,∠ABC=60°,∠ACB=45°,点D在直线BC上运动,连接AD,在AD的右侧 作△ADE∽△ABC,点F为AC中点,连接EF,则EF的最小值为 . 23 试卷第页,共3页 资料整理【淘宝店铺:向阳百分百】 学科网(北京)股份有限公司关注公众号:陆陆高分冲刺 ~领取:最新版“小中高考-总复习”、最新试卷下载 【答案】 【分析】作射线CE,设AC交DE于点J,过点A作AH⊥BC于点H.利用相似三角形的判定和性质证明∠ACE =60°,推出点E的运动轨迹是射线CE,当EF⊥CE时,EF的值最小,此时EF=CF•sin60°. 【详解】解:作射线CE,设AC交DE于点J,过点A作AH⊥BC于点H. 在Rt△ABH中,AH=AB•sin60°= , ∵∠ACH=45°, ∴AH=CH= ,AC= AH= , ∴AF=CF= , ∵△ADE∽△ABC, ∴∠JCD=∠AEJ,∠ABC=∠ADE=60°, ∵∠AJE=∠DJC, ∴△AJE∽△DJC, ∴ , ∴ , ∵∠AJD=∠EJC, ∴△AJD∽△EJC, ∴∠ADJ=∠ACE=60°, ∴点E的运动轨迹是射线CE, ∴当EF⊥CE时,EF的值最小,此时EF=CF•sin60°= . 24 试卷第页,共3页 资料整理【淘宝店铺:向阳百分百】 学科网(北京)股份有限公司关注公众号:陆陆高分冲刺 ~领取:最新版“小中高考-总复习”、最新试卷下载 故答案为: . 【点睛】本题考查相似三角形的判定和性质,解直角三角形等知识,解题的关键是正确寻找相似三角形解 决问题,属于中考常考题型. 17.如图,在矩形ABCD中,AB=4,BC ,对角线AC、BD相交于点O,现将一个直角三角板OEF的直 角顶点与O重合,再绕着O点转动三角板,并过点D作DH⊥OF于点H,连接AH.在转动的过程中,AH的最 小值为 . 【答案】2 ﹣2 【分析】取OD的中点G,过G作GP⊥AD于P,连接HG,AG,依据∠ADB=30°,可得PG DG=1,依据 ∠DHO=90°,可得点H在以OD为直径的⊙G上,再根据AH+HG≥AG,即可得到当点A,H,G三点共线,且 点H在线段AG上时,AH最短,根据勾股定理求得AG的长,即可得出AH的最小值. 【详解】如图,取OD的中点G,过G作GP⊥AD于P,连接HG,AG. ∵AB=4,BC=4 AD,∴BD 8,∴BD=2AB,DO=4,HG=2,∴∠ADB=30°,∴PG DG=1, ∴PD ,AP=3 . ∵DH⊥OF,∴∠DHO=90°,∴点H在以OD为直径的⊙G上. ∵AH+HG≥AG,∴当点A,H,G三点共线,且点H在线段AG上时,AH最短,此时,Rt△APG中,AG ,∴AH=AG﹣HG=2 2,即AH的最小值为2 2. 故答案为2 2. 25 试卷第页,共3页 资料整理【淘宝店铺:向阳百分百】 学科网(北京)股份有限公司关注公众号:陆陆高分冲刺 ~领取:最新版“小中高考-总复习”、最新试卷下载 【点睛】本题考查了圆和矩形的性质,勾股定理的综合运用,解决问题的关键是根据∠DHO=90°,得出点 H在以OD为直径的⊙G上. 18.如图,点 在线段 上,等腰 的顶角 ,点 是矩形 的对角线 的中点, 连接 ,若 , ,则 的最小值为为 . 【答案】 【分析】过D作DG⊥AC于G,取FC中点H,连接MH,HB由等腰 的顶角 ,可得DG平分 ∠ADC,AG=CG= ,可求∠GDC=60°,∠DCG=30°,在Rt△DGC中,由勾股定理DC2=DG2+GC2,即 4DG2=DG2+9,可求DG= ,CD=2 由M,H为中点,可得MH= ,根据两点之间线段最短,可得MB MH+HB,MH为定值,HB最小时,MB最短,BH⊥CF,可求∠HCB=60°,CH= ,由勾 股定理BH= ,BH = . 最小 【详解】解:过D作DG⊥AC于G,取FC中点H,连接MH,HB, ∵等腰 的顶角 , 26 试卷第页,共3页 资料整理【淘宝店铺:向阳百分百】 学科网(北京)股份有限公司关注公众号:陆陆高分冲刺 ~领取:最新版“小中高考-总复习”、最新试卷下载 ∴DG平分∠ADC,AG=CG= , ∴∠GDC=60°,∠DCG=90°-∠GDC=90°-60°=30°, ∴CD=2DG, 在Rt△DGC中,由勾股定理DC2=DG2+GC2,即4DG2=DG2+9, ∴DG= ,CD=2 , ∵M,H为中点, ∴MH= , 根据两点之间线段最短,则有MB MH+HB,MH为定值, ∴HB最小时,MB最短, ∴BH⊥CF, ∠HCB=180°-∠DCA-∠DCF=180°-30°-90°=60°, CH= , BH= , BH = , 最小 故答案为: . 【点睛】本题考查等腰三角形的性质,勾股定理,30°角直角三角形性质,三角形中位线,三角形三边关 系,掌握等腰三角形的性质,勾股定理,30°角直角三角形性质,三角形中位线,三角形三边关系是解题 关键. 19.如图,正方形 的边长为8,线段 绕着点 逆时针方向旋转,且 ,连接 ,以 为 边作正方形 , 为 边的中点,当线段 的长最小时, . 27 试卷第页,共3页 资料整理【淘宝店铺:向阳百分百】 学科网(北京)股份有限公司关注公众号:陆陆高分冲刺 ~领取:最新版“小中高考-总复习”、最新试卷下载 【答案】 【分析】连接BD,BF,FD,证明△EBC∽△FBD,根据题意,知道M,F,D三点一线时,FM最小,然后过点 M作MG⊥BD,垂足为G,根据等腰直角三角形的性质、勾股定理分别求出MG和DG的长,再根据正切的定义 计算即可. 【详解】解:连接BD,BF,FD,如图, ∵ , ∴ , ∵∠FBD+∠DBE=45°,∠EBC+∠DBE=45°, ∴∠FBD=∠EBC, ∴△EBC∽△FBD, ∴∠FDB=∠ECB, , ∴DF= , 由题意知:FM、DF、DM三条线段满足FM+DF≥MD,其中DM、DF的值一定, ∴当M,F,D三点一线时,FM最小, 过点M作MN⊥BD,垂足为G, 28 试卷第页,共3页 资料整理【淘宝店铺:向阳百分百】 学科网(北京)股份有限公司关注公众号:陆陆高分冲刺 ~领取:最新版“小中高考-总复习”、最新试卷下载 ∵∠MBN=45°,BM= AB=4, ∴MN=BN=2 , ∵MD= =4 , ∴DG= =6 , ∴ = , 故答案为: . 【点睛】本题考查了正方形的性质,手拉手相似模型,锐角三角函数,勾股定理,三角形面积,线段最值 模型,熟练构造相似模型,准确确定线段最小值的条件是解题的关键. 20.如图,在矩形ABCD中,AB=4,BC= ,M为BC边中点,E为AD边上的一动点,过点A作BE的垂线, 垂足为F,连接FM,则FM的最小值为 .在线段FM上取点G,使GM= FM,将线段GM绕点M顺时 针旋转60°得到NM,连接GN,CN,则CN的最小值为 . 【答案】 2 【分析】如图,取AB的中点O,连接OF,OM,在MO上截取MR,使得MR= MO,将MR绕点M顺时针旋转 60°得到MT,连接RT,TN,CT,RG.求出TN,TC,根据CN≥TC-TN,可得结论. 【详解】解:如图,取AB的中点O,连接OF,OM,在MO上截取MR,使得MR= MO,将MR绕点M顺时针旋 转60°得到MT,连接RT,TN,CT,RG. 29 试卷第页,共3页 资料整理【淘宝店铺:向阳百分百】 学科网(北京)股份有限公司关注公众号:陆陆高分冲刺 ~领取:最新版“小中高考-总复习”、最新试卷下载 ∵MR= MO,MG= FM, ∴ , ∴RG∥OF, ∴ , ∴RG= , ∵四边形ABCD是矩形, ∴∠OBM=90°, ∵AB=4,BC= ,M为BC边中点,O为AB边中点, ∵OB=2,BM=2 , ∴OM= =4, ∵FM≥OM-OF, ∴FM≥4-2=2, ∴FM的最小值为2, ∵tan∠BMO= , ∴∠BMO=30°, ∵∠RMT=60°, ∴∠BMT=∠TMC=90°, ∵MT=MR= OM=3, ∴CT= , ∵∠RMT=∠GMN=60°, 30 试卷第页,共3页 资料整理【淘宝店铺:向阳百分百】 学科网(北京)股份有限公司关注公众号:陆陆高分冲刺 ~领取:最新版“小中高考-总复习”、最新试卷下载 ∴∠RMG=∠TMN, 在△RNG和△TMN中, , ∴△RMG≌△TMN(SAS), ∴RG=TN= , ∴CN≥CT-TN= , ∴CN的最小值为 . 故答案为:2, . 【点睛】本题考查了三角形三条边的关系,矩形的性质,全等三角形的判定与性质,平行线分线段成比例 定理,解直角三角形等知识,解题的关键是学会添加常用辅助项,构造全等三角形解决问题,属于填空题 中的压轴题. 21.如图,在矩形 中, , ,动点 从点 出发沿 运动,同时,点 从点 出发沿 运动.连接 ,过点 作 于点 ,连接 ,若点 的运动速度是点 的 倍,则在点 从点 运动到点 的过程个,线段 的最小值是 . 【答案】 【分析】如图,延长 交 的延长线于 ,证明 , ,可得 ,由 ,可得 在以 为直径的圆上运动,而 ,设 的中点为 ,则 ,过 作 ,由 ,则 在 上,可得 , 31 试卷第页,共3页 资料整理【淘宝店铺:向阳百分百】 学科网(北京)股份有限公司关注公众号:陆陆高分冲刺 ~领取:最新版“小中高考-总复习”、最新试卷下载 , ,当 , , 三点共线时, 最小,从而可得答案. 【详解】解:如图,延长 交 的延长线于 , ∵点 的运动速度是点 的 倍, ∴ , ∵矩形 , ∴ , ∴ , ∴ , , , 又 在以 为直径的圆上运动,而 , 设 的中点为 ,则 , 过 作 ,由 ,则 在 上, ∴ , 则 , , , 当 , , 三点共线时, 最小, ∴ . 32 试卷第页,共3页 资料整理【淘宝店铺:向阳百分百】 学科网(北京)股份有限公司关注公众号:陆陆高分冲刺 ~领取:最新版“小中高考-总复习”、最新试卷下载 故答案为: . 【点睛】本题考查的是矩形的性质,相似三角形的判定与性质,圆周角定理的应用,垂径定理的应用,证 明 在以 为直径的圆上运动是解本题的关键. 22.如图,在矩形 中, .点E是 上的动点,点F是 的中点 相交于点 G,则 的最小值为 . 【答案】 【分析】如图:分别以 所在直线建立直角坐标系,作 ,延长 交 于点 P;先通过判定 、 得到 、 ;设 , 则 ,得到 ,即 ;说明点G在直线 上且 , 的最 小值为点A到直线 的垂线段长度,最后根据两点间距离公式和二次函数的性质即可解答. 【详解】解:如图:分别以 所在直线建立直角坐标系,作 ,延长 交 于 点P ∵四边形 为矩形 33 试卷第页,共3页 资料整理【淘宝店铺:向阳百分百】 学科网(北京)股份有限公司关注公众号:陆陆高分冲刺 ~领取:最新版“小中高考-总复习”、最新试卷下载 ∴ ∴ ∵ ∴ ∴ ∵ ∴ ∴ ∴ ∴ ∴ ∵ ∴ , ∴ 又∵ 分别是 和 对应边上的高 ∴ ∴ 设 ,则 ∴ ,即 ∵ ∴ ∴ ∴ ,即 ∴ ,即 34 试卷第页,共3页 资料整理【淘宝店铺:向阳百分百】 学科网(北京)股份有限公司关注公众号:陆陆高分冲刺 ~领取:最新版“小中高考-总复习”、最新试卷下载 ∵ ∴点G在直线 上且 ∴ 的最小值为点A到直线 的垂线段长度 ∴ ∵ ∴ ∴当 时, 有最小值 ,则 的最小值为 . 故答案为 . 【点睛】本题主要考查了矩形的性质、相似三角形的判定与性质、二次函数求最值等知识点,通过三角形 的判定与性质得到点G在直线 上且 成为解答本题的关键. 23.如图,在边长为4的正方形 中,点 是边 上的动点(点 不与 , 重合),连接 ,过 点 作 于点 ,点 是点 关于直线 的对称点,连接 , , .则当 取得最小值时, 的面积是 . 【答案】 【分析】先确定F点的位置,再求出G点到 的距离,最后求出G点到 的距离后即可求解. 【详解】解:∵点 是点 关于直线 的对称点, ∴ , 35 试卷第页,共3页 资料整理【淘宝店铺:向阳百分百】 学科网(北京)股份有限公司关注公众号:陆陆高分冲刺 ~领取:最新版“小中高考-总复习”、最新试卷下载 ∵ , ∴ , ∴F点在以 为直径的圆上,如图所示,连接 , 当C点、F点、O点三点共线时, 最小, ∴ 与 的交点即为当 取得最小值时F点的位置, 连接 与 的延长线交于点N, 由题意得 , ∴ , ∴ , ∵正方形 中, , , ∴ , ∴ , ∴ , ∴ , 过F点作 于P, ∴ , ∴ , ∴ , ∵ 是直径,且 , ∴ , ∴ , ∴ , ∴ , ∴ , 36 试卷第页,共3页 资料整理【淘宝店铺:向阳百分百】 学科网(北京)股份有限公司关注公众号:陆陆高分冲刺 ~领取:最新版“小中高考-总复习”、最新试卷下载 ∴ , ∵点 是点 关于直线 的对称点, ∴ , ∴ , 设G点到 的距离为a,则到 的距离为 , ∴ , ∴ , ∴ , ∴ 的面积是 , 故答案为: . 【点睛】本题考查了正方形的性质、相似三角形的判定与性质、轴对称、辅助圆等知识,解题关键是能利 用辅助圆确定动点的轨迹,能构造相似三角形,利用相似三角形的性质求线段的长. 24.已知在 中, , ,点 , 分别在直角边 和 上运动, , 当点 到达点 时,点 停止运动,点 为 的中点,则 的最小值为 . 37 试卷第页,共3页 资料整理【淘宝店铺:向阳百分百】 学科网(北京)股份有限公司关注公众号:陆陆高分冲刺 ~领取:最新版“小中高考-总复习”、最新试卷下载 【答案】 【分析】取 的中点 , 的中点 ,连接 ,根据题意,当 在 上运动时, 在 上运动,当 时,取得最小值,进而勾股定理即可求解. 【详解】解:如图,取 的中点, , 的中点 ,连接 , ∴ , ∵ , , ∴ , , , ∴ , , ∴ , , 根据题意可得,当 在 点时, 在 点,点 与点 重合, 当 在 点时, 在 点,点 与点 重合, ∴当 在 上运动时, 在 上运动,当 时,取得最小值, 在 中, , ∴ , 38 试卷第页,共3页 资料整理【淘宝店铺:向阳百分百】 学科网(北京)股份有限公司关注公众号:陆陆高分冲刺 ~领取:最新版“小中高考-总复习”、最新试卷下载 故答案为: . 【点睛】本题考查了勾股定理,三角形中位线的性质,确定 的运动轨迹是解题的关键. 25.如图,在边长为 的等边 中,动点 在 边上(与点 , 均不重合),点 在边 上,且 , 与 相交于点 ,连接 当点 在 边上运动时, 的最小值为 . 【答案】 【分析】作辅助线,建立全等三角形,证明 和 ,证明 , 再作 的外接圆 ,即点 在以 为圆心, 为半径的圆上运动,计算 和 的长,计算其差可 得结论. 【详解】解:如图,过点 作 ,过点 作 , 是等边三角形, 四边形 是菱形, , , , , , , , , , , , , 39 试卷第页,共3页 资料整理【淘宝店铺:向阳百分百】 学科网(北京)股份有限公司关注公众号:陆陆高分冲刺 ~领取:最新版“小中高考-总复习”、最新试卷下载 , , , , 如图,作 的外接圆 ,即点 在以 为圆心, 为半径的圆上运动, , , , 连接 ,交 于 ,交 于 ,此时 最小, 是 的垂直平分线, , , , , , , , , , , 的最小值为 . 故答案为: . 【点睛】本题考查了菱形的判定,等边三角形的性质,等腰三角形的性质和判定,三角形的全等的性质和 判定,圆周角定理,垂径定理等知识,正确作辅助线证明 是解本题的关键. 26.在菱形 中, ,点P是对角线 上一动点,点Q是 边上一动点, 与 始 终相等,连结 ,交点为E,连结 ,则 的最小值是 . 40 试卷第页,共3页 资料整理【淘宝店铺:向阳百分百】 学科网(北京)股份有限公司关注公众号:陆陆高分冲刺 ~领取:最新版“小中高考-总复习”、最新试卷下载 【答案】 【分析】先证明 ,根据定长定角构造辅助圆,当 与 相切时, 最大,此时 最小,设半径 ,然后利用解直角三角形和相似三角形的性质列出关于 的方程,表示出 即可求出 的最小值. 【详解】解:∵在菱形 中, , ∴ , , 又∵ , ∴ , ∴ , ∴ , ∴点P在对角线 上运动时, 的大小保持不变, 作 的外接圆,圆心为O,连接 、连接 交 于点F, 则 , , 当 与 相切时, 最大,此时 最小, 设 ,则菱形边长为 , , ∴在 中 , 在 中 , 41 试卷第页,共3页 资料整理【淘宝店铺:向阳百分百】 学科网(北京)股份有限公司关注公众号:陆陆高分冲刺 ~领取:最新版“小中高考-总复习”、最新试卷下载 ∵ , , ∴ , ∴ ,即 , 解得 , ∴ , ∴ 的最小值是 , 故答案为 . 【点睛】本题主要考查了几何最值问题,全等三角形的判定和性质,菱形的性质,解直角三角形,相似三 角形的判定和性质,难度较大,解题的关键是根据定长定角构造辅助圆,利用相似三角形的性质列出方程 求解. 27.如图,在菱形 中, ,对角线 , 交于点 ,将点 绕点 顺时针旋转 得到点 ,连接 , ,当线段 的长度最小时, 的长为 . 【答案】 【分析】如图,连接 延长 到T,使得 ,连接 .构造三角形的中位线,求 出 最小时, 的位置,可得结论. 【详解】如图,连接 延长 到T,使得 ,连接 . ∵ , ∴ 是等边三角形, ∴ , ∴ ∴ 42 试卷第页,共3页 资料整理【淘宝店铺:向阳百分百】 学科网(北京)股份有限公司关注公众号:陆陆高分冲刺 ~领取:最新版“小中高考-总复习”、最新试卷下载 ∵ ∴ ∴ , ∴ , ∵ , ∴ , ∴ 的最小值为 ∵四边形 是菱形, ∴ , ∵ , ∴ , ∵ , 的最小值为 ∴ 与 在同一直线上,即D,C,T三点共线 ∵ ∴ ∴当点T在 的延长线上时, 值最小,即 的值最小,如图2中,过点 作 于点J. ∴ , ∴ ∵ 43 试卷第页,共3页 资料整理【淘宝店铺:向阳百分百】 学科网(北京)股份有限公司关注公众号:陆陆高分冲刺 ~领取:最新版“小中高考-总复习”、最新试卷下载 ∴ , ∴ , ∵ , ∴ ∴ 故答案为: . 【点睛】本题考查菱形的性质,三角形中位线定理,解直角三角形,勾股定理,旋转变换等知识,解题的 关键是学会添加常用辅助线,构造三角形中位线解决问题. 28.如图,在正方形ABCD中,AB=2 ,将线段CD绕点C顺时针旋转α至射线l,作点D关于射线l的 对称点M,连接BM交直线l于点N,当α= °时,线段AN取得最大值;线段AN的最大值为 . 【答案】 45 4 【分析】通过证明∠BCD=∠BND=90°,可得点N在以BD为直径的圆上,可得AN最大值为直径BD=4,即此 时点N与点C重合,可求α的值. 【详解】解:连接BD,DN,CM 44 试卷第页,共3页 资料整理【淘宝店铺:向阳百分百】 学科网(北京)股份有限公司关注公众号:陆陆高分冲刺 ~领取:最新版“小中高考-总复习”、最新试卷下载 ∵四边形ABCD是正方形 ∴BC=CD=2 ,∠BCD=90° ∴ ∵点D,点M关于射线l对称 ∴CM=CD,MN=DN,且CN=CN ∴△MCN≌△DCN(SSS) ∴∠CMB=∠CDN ∵CD=BC,CM=CD ∴CM=BC ∴∠CBM=∠CMB ∴∠CBM=∠CDN,且∠BOC=∠DON ∴∠BCD=∠BND=90° ∴点N在以BD为直径的圆上, ∴AN最大值为直径BD ∴AN最大值为4, 即点N与点C重合,且∠MND=90° ∴α=45° 故答案为45,4 【点睛】本题考查了旋转的性质,正方形的性质,确定点N的轨迹是本题的关键. 29.如图,矩形ABCD中,AB=6,AD=3,E为AB的中点,F为EC上一动点,P为DF中点,连接PB,则PB 的最大值是 . 45 试卷第页,共3页 资料整理【淘宝店铺:向阳百分百】 学科网(北京)股份有限公司关注公众号:陆陆高分冲刺 ~领取:最新版“小中高考-总复习”、最新试卷下载 【答案】 【分析】取 中点 ,连接 , ,可证四边形 是平行四边形,可得 ,由三角形中 位线定理可得 ,可得点 在 上,可证 ,则当点 与点 重合时,此时点 与点 重合, 有最大值,在直角三角形 中,由勾股定理可求 的长. 【详解】解:如图,取 中点 ,连接 , ,设 与 的交点为 ,连接 , 四边形 是矩形, , , , 点 是 中点,点 是 中点, , 四边形 是平行四边形, , 点 是 的中点,点 是 的中点, , 点 在 上, , , , , , , 46 试卷第页,共3页 资料整理【淘宝店铺:向阳百分百】 学科网(北京)股份有限公司关注公众号:陆陆高分冲刺 ~领取:最新版“小中高考-总复习”、最新试卷下载 , 当点 与点 重合时,此时点 与点 重合, 有最大值, , 故答案为: . 【点睛】本题考查了矩形的性质,三角形中位线定理,等腰三角形的性质,平行四边形的性质,勾股定理 等知识,确定点 的运动轨迹是本题的关键. 30.如图,在平面直角坐标系xOy中,一次函数y=﹣ x+4的图象与x轴、y轴交于A、B点,点C在线 段OA上,点D在直线AB上,且CD=2,△DEC是直角三角形(∠EDC=90°),DE= DC,连接AE,则AE 的最大值为 . 【答案】 【分析】以CD为边作等边三角形DCG,以G点为圆心,DG为半径作⊙G,利用圆周角定理说明点A在⊙G上, 得AG=DG=DC=2,再在△EHG中,求EG,当A、G、E三点共线时,AE最大,即可求解. 【详解】解:如图,以CD为边作等边三角形DCG,以G点为圆心,DG为半径作⊙G, 47 试卷第页,共3页 资料整理【淘宝店铺:向阳百分百】 学科网(北京)股份有限公司关注公众号:陆陆高分冲刺 ~领取:最新版“小中高考-总复习”、最新试卷下载 在直线y= 中,当x=0时,y=4, 当y=0时,x= , ∴A点坐标为( ,0),B点坐标为(0,4), 在Rt△AOB中,OA= ,OB=4, ∴tan∠DAC= , ∴∠DAC=30°, ∴点A在⊙G上, ∴AG=DG=DC=2, ∵DEC是直角三角形(∠EDC=90°),DE= DC, ∴∠DEC=30°,DE=2 , 在Rt△DGH中,∠HDH=30°, ∴DE= ,GH=1, 在Rt△EHG中,EG= = =2 , 当A、G、E三点共线时,AE最大,最大值为2 +2. 【点睛】本题考查了定边对定角模型的建立,圆周角定理,勾股定理,一次函数图象上点的特征,解题关 键是线段最值问题时看三角形,已知两边,第三边的最大值就是三点共线时. 31.平面直角坐标系 如图所示,以原点 为圆心,以2为半径的 中,弦 长为 ,点 是弦 48 试卷第页,共3页 资料整理【淘宝店铺:向阳百分百】 学科网(北京)股份有限公司关注公众号:陆陆高分冲刺 ~领取:最新版“小中高考-总复习”、最新试卷下载 的中点,点 坐标为 ,连接 ,当弦 在 上滑动, 的最大值是 ;线段 扫过的面积为 . 【答案】 【分析】由垂径定理,可知OC=1,即C是以O为圆心,1为半径的圆上的动点,所以当P、O、C三点共线 时,PC最大,PC扫过的图形就是四边形PMON和大扇形MON,据此计算即可. 【详解】解:连接OC、OB ∵C为AB的中点, ∴OC⊥AB 在Rt△OBC中, ,OB=2 ∴OC= 即C是以O为圆心,1为半径的圆上的动点 ∴当P、O、C三点共线时,PC最大 ∴PC=PO+OC= 49 试卷第页,共3页 资料整理【淘宝店铺:向阳百分百】 学科网(北京)股份有限公司关注公众号:陆陆高分冲刺 ~领取:最新版“小中高考-总复习”、最新试卷下载 如图,PC扫过的图形为阴影部分,设C点运动形成的以O为圆心,1为半径的圆与x轴交于N点, 则ON=1, ∵P(1, ) ∴PN⊥x轴,即PN是⊙O的切线, 过P点作⊙O的切线PM,交⊙O于M,连接OM,则OM⊥PM, ∴△PON≌△POM 在Rt△PON中,tan∠PON= ∴∠PON=75° ∴∠MON=150° ∴PC扫过的图形的面积: . 【点睛】本题考查了垂径定理,圆的面积、勾股定理、扇形的面积,明确当P、O、C三点共线时PC取得最 大值是解题的关键. 32.如图,在正方形ABCD中,AB=4,点G为BC中点,以BG为边在BC右侧作正方形BEFG,直线AG,CE 交于点P.现将正方形BEFG绕点B顺时针旋转. (1)当旋转30°时,CE= ; (2)当正方形BEFG绕点B旋转一周时,点P经过的路径长为 . 50 试卷第页,共3页 资料整理【淘宝店铺:向阳百分百】 学科网(北京)股份有限公司关注公众号:陆陆高分冲刺 ~领取:最新版“小中高考-总复习”、最新试卷下载 【答案】 【分析】 延长CB,过点 作 ,根据正方形的性质以及旋转的性质,得出 ,得到 , ,运用勾股定理求得CE的长; 当正方形 旋转到点 、 、 在一条直线上时,点 到达最高点,连接 、 ,求出 ;当正方形 旋转到点 、 、 在一条直线上时,点 到达最低点;连接 、 ,求出 ,求得点 运动弧所对圆心角,利用弧长公式 求解; 【详解】(1)解:如图,延长CB过点 作 , , , , ∵AB=4,点G为BC中点, ∴ , ∴ , ∴ , 51 试卷第页,共3页 资料整理【淘宝店铺:向阳百分百】 学科网(北京)股份有限公司关注公众号:陆陆高分冲刺 ~领取:最新版“小中高考-总复习”、最新试卷下载 ∴ , 在 中, ∴ , 故答案为: ; (2) 正方形 ,正方形 , , , , , , , 同理可证,正方形 绕点B旋转过程中,存在 ,所以点 在以 为直径的圆上运动,, , , , 如图: 当点 、 、 在同一直线上时,点 与点 重合, , 52 试卷第页,共3页 资料整理【淘宝店铺:向阳百分百】 学科网(北京)股份有限公司关注公众号:陆陆高分冲刺 ~领取:最新版“小中高考-总复习”、最新试卷下载 , , , , , 同理可得,当点 、 、 在同一直线上时, , 所以点 路径对应的圆心角是 , ; 故答案为: . 【点睛】本题属于四边形综合题,主要考查了正方形的性质,勾股定理,全等三角形的判定及性质以及旋 转的性质的综合应用,解决问题的关键是画出图形,作辅助线构造直角三角形,结合勾股定理进行计算求 解.解题时注意分类讨论思想的运用. 33.如图,在 中, .若点 为平面上一个动点,且满足 , 则线段 长度的最小值为 ,最大值为 . 【答案】 【分析】根据题意进行分类讨论,即当点D在AC右侧时,点D在 上运动;当点D在AC左侧时,点D在 上运动,再分别计算即可. 【详解】①如图, 53 试卷第页,共3页 资料整理【淘宝店铺:向阳百分百】 学科网(北京)股份有限公司关注公众号:陆陆高分冲刺 ~领取:最新版“小中高考-总复习”、最新试卷下载 以AC为底边,在AC的右侧作等腰三角形AOC,使 则 以O为圆心,以CO长为半径画优弧 ,连接BO交 于点E 则当点D在AC右侧时,点D在 上运动 过点O作 于F 过点O作 于M 四边形MCFO为矩形 在 中, 54 试卷第页,共3页 资料整理【淘宝店铺:向阳百分百】 学科网(北京)股份有限公司关注公众号:陆陆高分冲刺 ~领取:最新版“小中高考-总复习”、最新试卷下载 当点D于点E不重合时, 当点D于点E重合时, 当B、D、O三点共线时(此时,点D与E重合),BD有最小值为 ②如图, 以AC为底边,在AC的左侧作等腰三角形A C,使 则 以 为圆心,以C 长为半径画优弧 ,连接B 并延长交 于点E 则当点D在AC左侧时,点D在 上运动 过点O作 于F 同①可求 在 中, 当点D于点E不重合时, 当点D于点E重合时, 55 试卷第页,共3页 资料整理【淘宝店铺:向阳百分百】 学科网(北京)股份有限公司关注公众号:陆陆高分冲刺 ~领取:最新版“小中高考-总复习”、最新试卷下载 当B、D、O三点共线时(此时,点D与E重合),BD有最大值为 故答案为: , . 【点睛】本题考查了动点问题,涉及等腰三角形的性质、解直角三角形、勾股定理、矩形的判定等,熟练 掌握知识点是解题的关键. 34.在 中, , , ,点 是直线 上一点,连接 ,将线段 绕 逆时针旋转120°得到 ,点 、 分别是线段 、 中点,连接 ,则线段 的最小值为 . 【答案】 【分析】先利用已知条件求出AB的长,再通过图形判断当P在直线CD上运动是点N的轨迹是一条直线, 当MN垂直于NN时值最小,然后通过已知条件求值即可. 1 2 【详解】解:点P在直线CD上移动时,点N的轨迹是一条直线,当MN垂直于NN时值最小, 1 2 如图所示: 当P和C重合时N是CB的中点,当PA′和CD重合时,N是PA′的中点, 1 2 ∵AC=CB=4,∠ACB=120°, ∴CD⊥AB,CD=2,AD=2 , 56 试卷第页,共3页 资料整理【淘宝店铺:向阳百分百】 学科网(北京)股份有限公司关注公众号:陆陆高分冲刺 ~领取:最新版“小中高考-总复习”、最新试卷下载 则AB=2AD=4 , ∵M、N分别是AC、BC中点, 1 ∴MN∥AB,MN=2 ,DE=1 1 1 ∵PA′是PA绕点P逆时针旋转120°得到的,当PA′和CD重合时, PA′=PA,∠APA′=120°, ∴∠APD=60°, ∴ , DP=AP•cos60°=4× =2, ∵N是PA′的中点, 2 ∴PN=2,EN=2+2+1=5, 2 2 ∵MN∥AB,CD⊥AB, 1 ∴MN⊥CD, 1 在△MEN和△NEN中, 2 1 2 , ∴△MEN≌△NEN, 2 1 2 NM=NN, 2 2 1 在Rt△MNE中, , 2 ∴ , 又∵ , 即 , ∴ . 故答案为: 【点睛】本题主要考查旋转的性质、中位线,三角形全等和垂线段最短等知识,关键是对知识的掌握和运 57 试卷第页,共3页 资料整理【淘宝店铺:向阳百分百】 学科网(北京)股份有限公司关注公众号:陆陆高分冲刺 ~领取:最新版“小中高考-总复习”、最新试卷下载 用. 35.如图,正方形 中, ,O是 边的中点,点E是正方形内一动点, ,连接 ,将 线段 绕点D逆时针旋转 得 ,连接 、 .则线段 长的最小值为 . 【答案】 【分析】连接DO,将线段DO绕点D逆时针旋转90°得DM,连接OF,FM,OM,证明△EDO≌△FDM ,可得 FM=OE=2,由勾股定理可得OM= ,根据OF+MF≥OM,即可得出OF的最小值. 【详解】如图,连接DO,将线段DO绕点D逆时针旋转90°得DM,连接OF,FM,OM, ∵ ∠EDF= ∠ODM=90°, ∴ ∠EDO=∠FDM, 在△EDO与△FDM中, ∴ △EDO≌△FDM (SAS) , ∴ FM=OE=2, ∵正方形ABCD中, AB=4,O是BC边的中点, ∴ OC=2, 58 试卷第页,共3页 资料整理【淘宝店铺:向阳百分百】 学科网(北京)股份有限公司关注公众号:陆陆高分冲刺 ~领取:最新版“小中高考-总复习”、最新试卷下载 ∴ ∴ ∵OF+MF OM, ∴ ∴线段OF长的最小值为 故答案为: 【点睛】本题考查线段长度最短的问题,考查三角形的三边关系、勾股定理.正方形的性质,灵活的使用 三角形的三边关系的不等式解决最值问题是难点也是常考点. 36.如图,在Rt△ABC中,∠ACB=90°,∠A=60°,AC=2 ,点P为AB边上的一个动点,连接PC,过 点P作PQ⊥PC交BC边于点Q,则BQ的最大值为 . 【答案】2 【分析】过Q作QE⊥AB于E,过C作CF⊥AB于F,利用相似三角形的性质根据一元二次方程,利用根的判 别式解决问题即可. 【详解】解:过Q作QE⊥AB于E,过C作CF⊥AB于F, ∵在Rt△ABC中,∠ACB=90°,∠A=60°,AC=2 , ∴∠B=30°, ∴AB=2AC=4 ,BC= AC=6, ∵∠AFC=90°,∠A=60°, ∴∠ACF=30°, 59 试卷第页,共3页 资料整理【淘宝店铺:向阳百分百】 学科网(北京)股份有限公司关注公众号:陆陆高分冲刺 ~领取:最新版“小中高考-总复习”、最新试卷下载 ∴AF= ,CF=3, 设PF=x,BQ=y, ∴QE= BQ= y,BE= y, ∴PE=3 ﹣ y﹣x, ∵PQ⊥PC, ∴∠PEQ=∠CFP=∠CPQ=90°, ∴∠EQP+∠EPQ=∠EPQ+∠CPF=90°, ∴∠PQE=∠CPF, ∴△PEQ∽△CFP, ∴ , ∴ ∴x2+( y﹣3 )x+ =0, ∵方程有实数解, ∴△≥0, ∴( y﹣3 )2﹣6y≥0, 整理得,y2﹣20y+36≥0, 解得y≤2或y≥18(舍弃), ∴BQ≤2, ∴BQ的最大值为2. 故答案为2. 【点睛】本题主要考查解直角三角形,相似三角形的判定和性质,一元二次方程的根的判别式等知识,解 题的关键是学会利用参数解决问题,学会用转化的思想思考问题,属于中考压轴题. 37.如图,在 中, ,D是 边上任意一点,分别作点D关于 、 的对称点E、 F,以 、 为邻边作平行四边形 ,边 交 于点H,则 的最小值为 60 试卷第页,共3页 资料整理【淘宝店铺:向阳百分百】 学科网(北京)股份有限公司关注公众号:陆陆高分冲刺 ~领取:最新版“小中高考-总复习”、最新试卷下载 【答案】 【分析】根据对称轴的性质推出C、B、E三点共线,设 , ,证明平行四边形 是正 方形,进而推出 ,得到 ,进而用 的二次函数表示出 ,利用最值即可得到 答案. 【详解】解: 点D和点E关于 对称, , , , 、B、E在同一条直线上, 设 , , 同理可得: , , , , 是等腰直角三角形, , , 四边形 是平行四边形, 平行四边形 是正方形, , , , , , , 61 试卷第页,共3页 资料整理【淘宝店铺:向阳百分百】 学科网(北京)股份有限公司关注公众号:陆陆高分冲刺 ~领取:最新版“小中高考-总复习”、最新试卷下载 , , , , , 当 时, 有最小值,最小值为 , 故答案为: . 【点睛】本题考查了轴对称的性质,二次函数的最值,正方形的判定和性质,平行四边形的性质,相似三 角形的判定和性质等知识,解题关键是设线段长,建立二次函数关系式求最值 38.如图,在矩形 中, ,E是 上一个动点,连接 ,过点C作 的垂线l,过点D作 交l于点F,过点D作 于点G, ,点H是 中点,连接 ,则 的最小值为 . 【答案】 / 【分析】证明 ,得出 ,再证 ,求出 ,所以 ,即 ,可得 .作 的垂直平分线 ,交 的延 62 试卷第页,共3页 资料整理【淘宝店铺:向阳百分百】 学科网(北京)股份有限公司关注公众号:陆陆高分冲刺 ~领取:最新版“小中高考-总复习”、最新试卷下载 长线于点T,连接 ,过点E作 于点Q,求出 ,所以 .求 的最小值,即为求 的最小值,过点H作 于点J, 即为所求最小值.设 ,根据勾股定理可得出 ,所以 ,由 ,可求得 的长度. 【详解】解:在矩形 中, , ∴ , ∵ 于点C, ∴ , ∴ . ∴ . 同理可证 , ∴ , ∴ , ∵ , ∴ , ∴ , ∵ 于点G, ∴ , ∵ , ∴ , ∴ ,即 , ∵ , ∴ , ∴ , ∴ . 63 试卷第页,共3页 资料整理【淘宝店铺:向阳百分百】 学科网(北京)股份有限公司关注公众号:陆陆高分冲刺 ~领取:最新版“小中高考-总复习”、最新试卷下载 如图,作 的垂直平分线 ,交 的延长线于点T,连接 ,过点E作 于点Q, ∴ , ∴ ,即 . ∴ . ∴ , ∴求 的最小值,即为求 的最小值, 过点H作 于点J,HJ即为所求最小值. 设 ,则 , 在 中,由勾股定理可知, , 解得 , ∴ . 如图,连接 , , ∵点H是 的中点, ∴ , ∵ , ∴ , 即 , 解得 . 64 试卷第页,共3页 资料整理【淘宝店铺:向阳百分百】 学科网(北京)股份有限公司关注公众号:陆陆高分冲刺 ~领取:最新版“小中高考-总复习”、最新试卷下载 故答案为: . 【点睛】本题考查相似三角形的性质与判定,解直角三角形,勾股定理,垂线段最短,三角形的面积等相 关知识,根据题意作出辅助线,将所求目标转化为求垂线段的长度是解题关键. 39.如图,在矩形 中, , ,点 , 分别在边 , 上,且 ,沿直线 翻折,点 的对应点 恰好落在对角线 上,点 的对应点为 ,点 为线段 上一动点,则 的最小值为 . 【答案】 【分析】过点M作 于点N,作点E关于 的对称点G,连接 .由勾股定理求出 的长,根 据锐角三角函数的知识可得 ,从而可得当G,M,N三点共线时 取得最小值,即 取得最小值,然后利用锐角三角函数和勾股定理可求出 的长. 【详解】解:如图,过点M作 于点N,作点E关于 的对称点G,连接 ,则 . 由折叠的性质可知, , , , ∴ . ∵四边形 是矩形, ∴ , . ∴ . ∵ , ∴ , 65 试卷第页,共3页 资料整理【淘宝店铺:向阳百分百】 学科网(北京)股份有限公司关注公众号:陆陆高分冲刺 ~领取:最新版“小中高考-总复习”、最新试卷下载 ∴ , ∴ , ∴当G,M,N三点共线时 取得最小值,即 取得最小值, ∵ , , ∴ , ∴ . ∵ , , ∴ , ∴ , ∴ , ∴ , ∴ . 即 取得最小值是 . 故答案为: . 66 试卷第页,共3页 资料整理【淘宝店铺:向阳百分百】 学科网(北京)股份有限公司关注公众号:陆陆高分冲刺 ~领取:最新版“小中高考-总复习”、最新试卷下载 【点睛】本题考查了矩形的性质,解直角三角形,折叠的性质,轴对称的性质,以及勾股定理等知识,正 确作出辅助线是解答本题的关键. 40.如图,矩形 中, , ,点 是 的中点,点 是 边上一动点.将 沿着 翻折,使得点 落在点 处,若点 是矩形内一动点,连接 、 、 ,则 的最 小值为 . 【答案】 / 【分析】将 绕点 顺时针旋转 得到 ,连接 ,连接 ,由等腰三角形 得出 ,再由折叠得出点 的轨迹在点 为圆心, 为半径的圆周上,所以 的最小值为 ,即 的最小值为 ,经计算答出答案即可. 【详解】解:将 绕点 顺时针旋转 得到 , 连接 ,连接 , 则 , , 共线, , , , 点 是 的中点, , , 67 试卷第页,共3页 资料整理【淘宝店铺:向阳百分百】 学科网(北京)股份有限公司关注公众号:陆陆高分冲刺 ~领取:最新版“小中高考-总复习”、最新试卷下载 , 由 折叠成 , , 点 在以点 为圆心, 为半径的圆上, , 两点间线段最短, , 即 , , 则 的最小值为 . 故答案为: . 【点睛】本题考查了两点之间线段最短的应用,掌握图形的旋转及图形的折叠对称的性质,添加辅助线是 解题关键. 二、解答题 41.如图1,在 中, , , ,点D,E分别是 中点,连接 .在同一平面内,将 绕点A逆时针旋转,射线 相交于点P. 68 试卷第页,共3页 资料整理【淘宝店铺:向阳百分百】 学科网(北京)股份有限公司关注公众号:陆陆高分冲刺 ~领取:最新版“小中高考-总复习”、最新试卷下载 (1)如图2,在旋转过程中, 的角度是否不变?若不变,请求出 的度数. (2)如图2,当 时,求线段 的长. (3)连接 ,当线段 取得最小值时,求线段 的值. 【答案】(1)不变, (2) (3) 或 【分析】(1)首先证明出 ,然后根据三角形内角和证明即可; (2)连接 .首先证明出 ,进而得到 ,然后证明出 和 ,利用相似三角形的性质得到 ,然后利用勾股定理求出 ,最后利用相似三角形的性质求解即可; (3)根据题意分两种情况讨论,当E,P第一次重合时和当E,P第二次重合时,分别根据勾股定理和相似 三角形的性质求解即可. 【详解】(1)不变,理由如下: ∵点D,E分别为 中点, ∴ . ∵ , ∴ . ∴ , ∴ . ∵ , ∴ . (2)连接 . 69 试卷第页,共3页 资料整理【淘宝店铺:向阳百分百】 学科网(北京)股份有限公司关注公众号:陆陆高分冲刺 ~领取:最新版“小中高考-总复习”、最新试卷下载 ∵ , , ∴ , ∴ . ∵ , ∴ . ∴ , ∴ . ∵ , , ∴ , ∴ , ∴ . ∵ , , ,点D,E分别是 中点, ∴ , ∴ . ∴ . ∵ , , ∴ . ∴ , ∴ . (3)①如备用图1,当E,P第一次重合时, 70 试卷第页,共3页 资料整理【淘宝店铺:向阳百分百】 学科网(北京)股份有限公司关注公众号:陆陆高分冲刺 ~领取:最新版“小中高考-总复习”、最新试卷下载 在 运动的过程中, , , ∴当 最大时, 的值最小. 在 中, , ∴ ,∴ . 过点D作 于点F,由 , 可得 , . ∴ . ∴ . ②如备用图2,当E,P第二次重合时, 与①同理, , 可证 ,可得 , ∴ . 连接 ,则 . 综上所述, 或 . 71 试卷第页,共3页 资料整理【淘宝店铺:向阳百分百】 学科网(北京)股份有限公司关注公众号:陆陆高分冲刺 ~领取:最新版“小中高考-总复习”、最新试卷下载 【点睛】此题考查了旋转综合题,相似三角形的性质和判定,勾股定理等知识,解题的关键是熟练掌握以 上知识点. 42.如图,在 和 中, , , ,点 为 中点,连接 . (1)如图1所示,若点 正好在 边上,求证: ; (2)如图2所示,点 在 边上,分别延长 , ,相交于点 ,当 , 时,求线 段 的长度; (3)如图3所示,若 , ,取 的中点 ,连接 ,在 绕点 逆时针旋转过 程中,求线段 的最大值. 【答案】(1)见解析;(2) ;(3) . 【分析】(1)证明△BAD≌△CAE,推出∠ACE=∠B,可得结论. (2)如图2中.过点G作GH⊥BC于H.首先证明D,H共点,求出AC,AG,可得结论. (3)如图3中,取DE的中点F,AC的中点G,连接AF,BG,NG.求出BG,GN可得结论. 【详解】(1)证明:如图1中, , , , , 72 试卷第页,共3页 资料整理【淘宝店铺:向阳百分百】 学科网(北京)股份有限公司关注公众号:陆陆高分冲刺 ~领取:最新版“小中高考-总复习”、最新试卷下载 , , , , , . (2)解:如图2中.过点 作 于 . , , , . , , 可以假设 , , , , , , , , , , , , , , 与 重合, 73 试卷第页,共3页 资料整理【淘宝店铺:向阳百分百】 学科网(北京)股份有限公司关注公众号:陆陆高分冲刺 ~领取:最新版“小中高考-总复习”、最新试卷下载 , , , , , . (3)解:如图3中,取 的中点 , 的中点 ,连接 , , . , , , , , , , , , , , , , , 的最大值为 . 【点评】本题属于几何变换综合题,考查了等腰直角三角形的性质和判定,解直角三角形,全等三角形的 74 试卷第页,共3页 资料整理【淘宝店铺:向阳百分百】 学科网(北京)股份有限公司关注公众号:陆陆高分冲刺 ~领取:最新版“小中高考-总复习”、最新试卷下载 判定和性质,三角形中位线定理等知识,解题的关键是正确寻找全等三角形解决问题,学会利用参数构建 方程解决问题. 43.在△ABC中,AC=BC=5,tanA= ,E分别是AB,AC边上的动点,作△ADE关于DE对称的图形 △A′DE. (1)如图1,当点A′恰好与点C重合,求DE的长; (2)如图2,当点A’落在BC的延长线上,且A’E⊥AB,求AD的长; (3)如图3,若AE=CE,连接A’B,F是A’B的中点,连接CF,在D点的运动过程中,求线段CF长度的最 大值. 【答案】(1) (2) (3) 【分析】(1)由轴对称的性质可得AE=CE,∠AED=90°,由锐角三角函数可求解; (2)由锐角函数和勾股定理可求AB=8,AF= ,A'F= ,即可求解; (3)由三角形的中位线定理可得FO= A'E= ,则点F在以点O为圆心,OF为半径的圆上运动,即当点 F在CO的延长线上时,CF有最大值,由三角形中位线定理和勾股定理可求解. 【详解】(1)由题意可得:AE=CE,∠AED=90°, ∵AC=5, ∴AE= , ∵tanA= = , 75 试卷第页,共3页 资料整理【淘宝店铺:向阳百分百】 学科网(北京)股份有限公司关注公众号:陆陆高分冲刺 ~领取:最新版“小中高考-总复习”、最新试卷下载 ∴ ; (2)如图,过点 作 于 ,延长 交 于点 , , , , , 设 , , , ∴ (负值舍去), , , , , , , 设 , , 则 , , , , , , , 76 试卷第页,共3页 资料整理【淘宝店铺:向阳百分百】 学科网(北京)股份有限公司关注公众号:陆陆高分冲刺 ~领取:最新版“小中高考-总复习”、最新试卷下载 由题意可得: , , , ; (3)如图,过点 作 于 ,取 的中点 ,连接 , ,过点 作 于 , , , 点 是 的中点,点 是 的中点, , 点 在以点 为圆心, 为半径的圆上运动, 当点 在 的延长线上时, 有最大值, ,点 是 的中点, , , , 又 , , , , , , 77 试卷第页,共3页 资料整理【淘宝店铺:向阳百分百】 学科网(北京)股份有限公司关注公众号:陆陆高分冲刺 ~领取:最新版“小中高考-总复习”、最新试卷下载 在 中,由勾股定理可得: , 的最大值为 . 【点睛】本题是几何变换综合题,考查了锐角三角函数,勾股定理,相似三角形的判定和性质,轴对称的 性质等知识,确定点 的轨迹是解题的关键. 78 试卷第页,共3页 资料整理【淘宝店铺:向阳百分百】 学科网(北京)股份有限公司