当前位置:首页>文档>专练三十九 战后资本主义的新变化_07高考历史_通用版(老高考)复习资料_2023年复习资料_2023《微专题·小练习》·历史

专练三十九 战后资本主义的新变化_07高考历史_通用版(老高考)复习资料_2023年复习资料_2023《微专题·小练习》·历史

  • 2026-04-07 06:51:12 2026-04-07 06:50:21

文档预览

专练三十九 战后资本主义的新变化_07高考历史_通用版(老高考)复习资料_2023年复习资料_2023《微专题·小练习》·历史
专练三十九 战后资本主义的新变化_07高考历史_通用版(老高考)复习资料_2023年复习资料_2023《微专题·小练习》·历史
专练三十九 战后资本主义的新变化_07高考历史_通用版(老高考)复习资料_2023年复习资料_2023《微专题·小练习》·历史
专练三十九 战后资本主义的新变化_07高考历史_通用版(老高考)复习资料_2023年复习资料_2023《微专题·小练习》·历史

文档信息

文档格式
docx
文档大小
0.073 MB
文档页数
2 页
上传时间
2026-04-07 06:50:21

文档内容

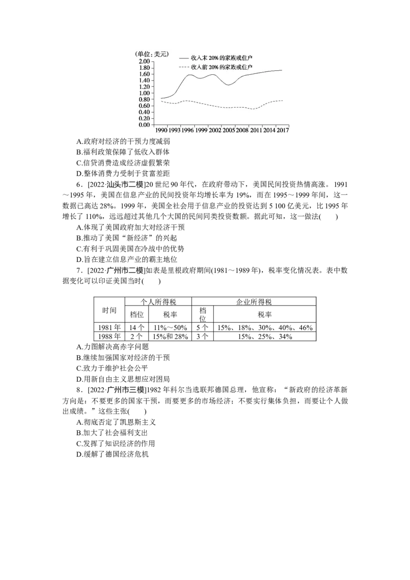
专练三十九 战后资本主义的新变化 1.[2022·兰州市二模]1947年初,法国政府制定“莫内计划”,对煤、电、钢铁、水 泥、农机及运输六种主要工业部门规定了为期四年的生产指标,并计划大量进口原料和机 械。法国此举旨在( ) A.应对来自两极格局的挑战 B.借鉴苏联的成功经验 C.加大国家干预经济的力度 D.促进经济复苏与发展 2.[2022·贵州遵义三模]下图为“美国股票持有者增长图”。据此可知( ) A.美国资本的社会化趋势日益明显 B.少数的大股东丧失了企业决定权 C.股份公司成为发达国家经济主体 D.美国人民的财产性收入增长迅速 3.[2022·益阳市一模]有学者研究指出:西方国家福利制度以二战作为分水岭,战前以 社会保障为主的福利制度只是各国为了缓和劳资关系而采取应急措施;二战后,则变成了 各国政府稳定经济和社会的一种战略性的长远措施。这种变化有利于( ) A.减少经济危机频繁发生 B.提高工人阶级的生活水平 C.保持社会政治经济稳定 D.从根本上消除了两极分化 4.[2022·孝感市二模]二战后,英国艾德里工党政府先后在煤炭、铁路运输、电力、煤 气、航空、电讯、航运等部门推行国有化。与此同时,政府还实行福利政策,如对工伤事 故和职业病者、孕妇、失业者发放补助金,为全体国民免费医疗等。这些做法表明英国( ) A.实行社会主义计划经济模式 B.彻底变革资本主义市场经济 C.实现了“伟大社会”的承诺 D.大力加强国家对经济的干预 5.[2022·榆林市三模]美国劳工统计局的一项消费调查显示(如图):不同群体相对1984 年每增加1美元收入,对应消费增加情况。它反映出美国( )A.政府对经济的干预力度减弱 B.福利政策保障了低收入群体 C.信贷消费造成经济虚假繁荣 D.整体消费力受制于贫富差距 6.[2022·汕头市二模]20世纪90年代,在政府带动下,美国民间投资热情高涨。1991 ~1995年,美国在信息产业的民间投资年均增长率为 19%,而在1995~1999年间,这一 数据已高达28%。1999年,美国全社会用于信息产业的投资达到5 100亿美元,比1995年 增长了110%,远远超过其他几个大国的民间同类投资数额。据此可知,这一做法( ) A.体现了美国政府加大对经济干预 B.推动了美国“新经济”的兴起 C.有利于巩固美国在冷战中的优势 D.旨在建立信息产业的霸主地位 7.[2022·广州市二模]如表是里根政府期间(1981~1989年),税率变化情况表。表中数 据变化可以印证美国当时( ) 个人所得税 企业所得税 时间 档 档位 税率 税率 位 1981年 14个 11%~50% 5个 15%、18%、30%、40%、46% 1988年 2个 15%和28% 3个 15%、25%、34% A.力图解决高赤字问题 B.继续加强国家对经济的干预 C.致力于维护社会公平 D.用新自由主义思想应对困局 8.[2022·广州市三模]1982年科尔当选联邦德国总理,他宣称:“新政府的经济革新 方向是:不要更多的国家干预,而要更多的市场经济;不要实行集体负担,而要让个人做 出成绩。”这些主张( ) A.彻底否定了凯恩斯主义 B.加大了社会福利支出 C.发挥了知识经济的作用 D.缓解了德国经济危机